Nonlinear Analysis of Corrugated Core Sandwich Plates Using the Element-Free Galerkin Method
Abstract
1. Introduction
2. The Mesh-Free Galerkin Method
3. Determination of Elastic Constants of the Corrugated Cores
- <1>.
- Sinusoidally corrugated core
- <2>.
- Trapezoidal corrugated core
4. Meshless Control Equations for Geometric Nonlinearities in Corrugated Sandwich Plates
4.1. Displacement Field Function
4.2. Plate Stress and Strain
4.2.1. Linear Strain
4.2.2. Nonlinear Strain
4.3. Nonlinear Equilibrium Equations for Corrugated Plates
4.4. Boundary Conditions and Displacement Coordination Conditions
4.4.1. Full Transformation Method
4.4.2. Treatment of Boundary Conditions
5. Results and Discussion
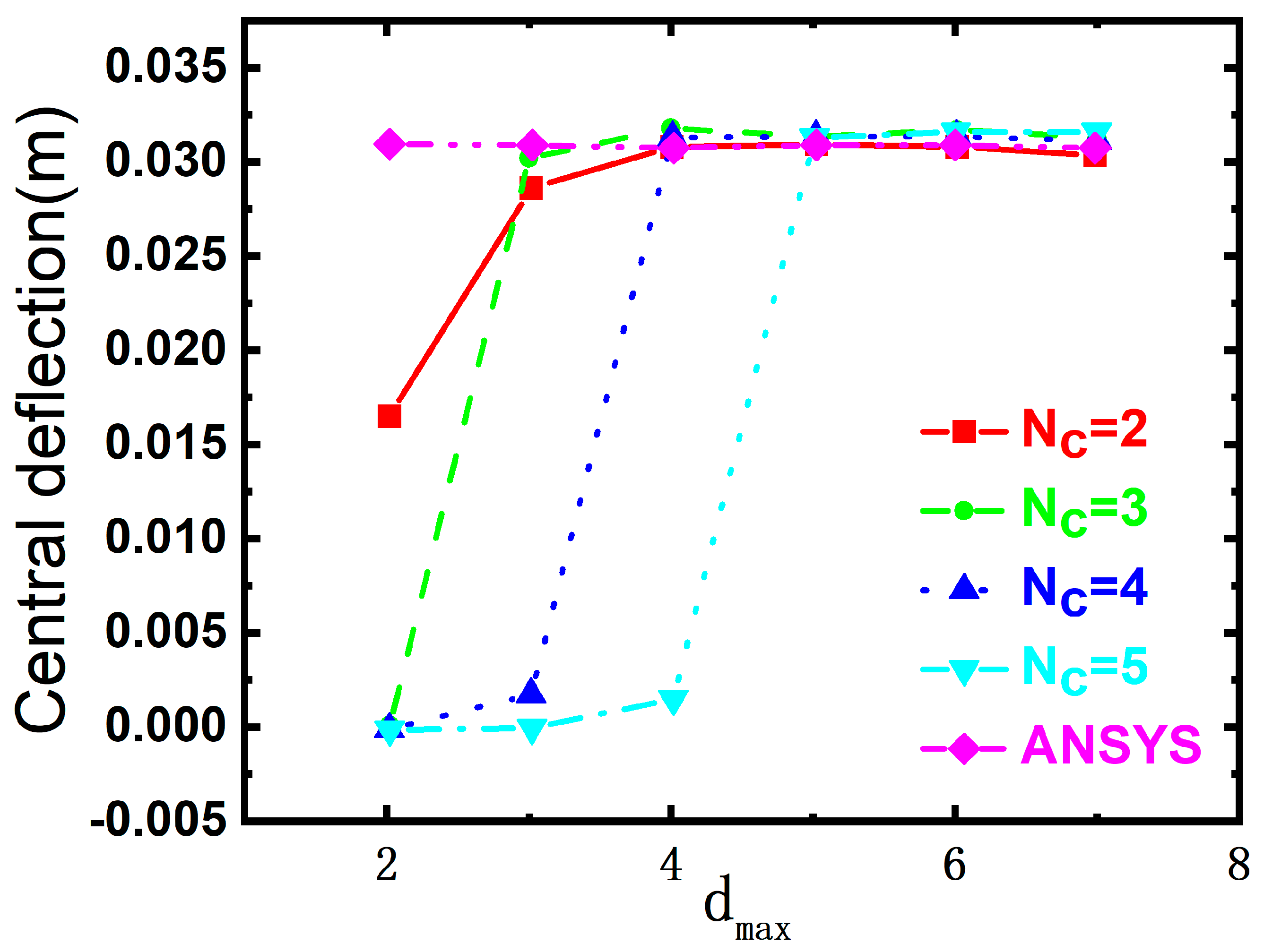
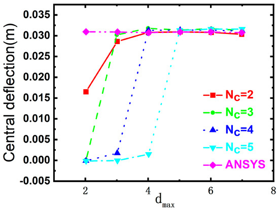
5.1. Validation Studies
5.2. Four-Side Fixed Support Corrugated Sandwich Plate
5.3. Four-Side Simply Supported Corrugated Sandwich Plates
6. Conclusions
- (1)
- The proposed meshless model achieves high accuracy while requiring significantly fewer computational nodes compared to traditional finite element methods (FEMs) with fine mesh discretization;
- (2)
- The close agreement between the meshless and FEM solutions confirms the effectiveness and reliability of the proposed approach;
- (3)
- The method exhibits high computational efficiency and is well suited for numerical implementation, making it a promising tool for analyzing the nonlinear behavior of corrugated sandwich plate structures.
Author Contributions
Funding
Data Availability Statement
Conflicts of Interest
References
- Reissner, E. On bending of elastic plates. Q. Appl. Math 1947, 5, 23–28. [Google Scholar] [CrossRef]
- Reissner, E. finite deflections of sandwich plates. J. Appl. Sci. 1948, 15, 18–26. [Google Scholar] [CrossRef]
- Seydel, E.B. Schubknickversuche mit Wellblechtafeln, Jahrbuch d; Deutsch Versuchsanstallt für Luftfahrt: München, Germany; Berlin, Germany, 1931; pp. 233–235. [Google Scholar]
- Briassoulis, D. Equivalent orthotropic properties of corrugated sheets. Comput. Struct. 1986, 23, 129–138. [Google Scholar] [CrossRef]
- Easley, J.T. Buckling formulas for corrugated metal shear diaphragms. J. Struct. Div.-ASCE 1975, 101, 1403–1417. [Google Scholar] [CrossRef]
- Davies, J.M. Calculation of steel diaphragm behavior. J. Struct. Div. 1976, 102, 1411–1430. [Google Scholar] [CrossRef]
- Libove, C.; Batdorf, S.B. A General Small-Deflection Theory for Flat Sandwich Plates; NACA TN: Langley Field, VA, USA, 1948; p. 15. [Google Scholar]
- Libove, C.; Hubka, R.E. Elastic constants for corrugated core sandwich plates. J. Struct. Eng. ASCE 1951, 122, 958–966. [Google Scholar]
- Chang, W.-S.; Ventsel, E. Bending behavior of corrugated-core sandwich plates. Compos. Struct. 2005, 70, 81–89. [Google Scholar] [CrossRef]
- Caillerie, D.; Nedelec, J.C. Thinelastic and periodeic plates. Math. Mathods Appl. Sci. 1984, 6, 159–191. [Google Scholar] [CrossRef]
- Buannic, N.; Cartraud, P. Homogenization of corrugated core sandwich panels. Compos. Struct. 2003, 59, 299–312. [Google Scholar] [CrossRef]
- Chen, W. Meshfree boundary partcle method applied to Helmholtz problems. Elements 2002, 26, 577–581. [Google Scholar]
- Plantema, F.J. Sandwich Constructions, the Bending and Buckling of Sandwich Beams Plates and Shells; John Wiley: New York, NY, USA, 1966. [Google Scholar]
- Allen, H.G. Analysis and Design of Structural Sandwich Panels; Pergamon Press: New York, NY, USA, 1969. [Google Scholar]
- Noor, A.K.; Burton, W.S.; Bert, C.W. Computational models for sandwich panels and shells. Appl. Mech. Rev. 1995, 155, 155–199. [Google Scholar] [CrossRef]
- Belytschko, T.; Krongauz, Y.; Organ, D.; Fleming, M.; Krysl, P. Meshless methods: An overview and recent developments. Comput. Methods Appl. Mech. Eng. 1996, 139, 3–47. [Google Scholar] [CrossRef]
- Li, S.; Hao, W.; Liu, W.K. Numerical simulations of large deformation of thin shell structures using meshfree methods. Comput. Mech. 2000, 25, 102–116. [Google Scholar] [CrossRef]
- Chen, J.S.; Pan, C.; Wu, C.T.; Liu, W.K. Reproducing kernel particle methods for large deformation analysis of non-linear structures. Comput. Methods Appl. Mech. Engrg. 1996, 139, 195–227. [Google Scholar] [CrossRef]
- Chen, J.S.; Pan, C.; Wu, C.T. Large deformation analysis of rubber based on a reproducing kernel particle method. Comput. Mech. 1997, 19, 211–227. [Google Scholar] [CrossRef]
- Liew, K.M.; Ng, T.Y.; Wu, Y.C. Meshfree method for large deformation analysis-a reproducing kernel particle approach. Engineeing Struct. 2002, 24, 543–551. [Google Scholar] [CrossRef]
- Van-Chinh, N.; Tran, H.-Q.; Tran, M.-T. Nonlinear Free Vibration Analysis of Multi-Directional Functionally Graded Porous Sandwich Plates. Thin-Walled Struct. 2024, 203, 112204. [Google Scholar]
- Wen, D.; Liu, X.-T.; Sun, B.-H. Bending Response of Integrated Multilayer Corrugated Sandwich Panels. Appl. Compos. Mater. 2023, 30, 1493–1512. [Google Scholar]
- Civalek, O.; Jalaei, M.H. Shear Buckling Analysis of Functionally Graded (FG) Carbon Nanotube Reinforced Skew Plates with Different Boundary Conditions. Aerosp. Sci. Technol. 2020, 99, 105753. [Google Scholar] [CrossRef]
- Zhu, P.; Lei, Z.X.; Liew, K.M. Static and Free Vibration Analyses of Carbon Nanotube-Reinforced Composite Plates Using Finite Element Method with First Order Shear Deformation Plate Theory. Compos. Struct. 2012, 94, 1450–1460. [Google Scholar] [CrossRef]

























| P (Pa) | EFG Linear Solution (w/m) | ANSYS Linear Solution (w/m) | EFG Nonlinear Solution (w/m) | ANSYS Nonlinear Solution (w/m) | Relative Error of Linear Solution (%) | Relative Error of Nonlinear Solution (%) |
|---|---|---|---|---|---|---|
| 50 | 0.012669 | 0.012892 | 0.01069 | 0.011193 | −1.73363 | −4.49031 |
| 100 | 0.025337 | 0.025785 | 0.017106 | 0.018208 | −1.73744 | −6.05064 |
| 150 | 0.038006 | 0.038667 | 0.021497 | 0.023068 | −1.71076 | −6.81203 |
| 200 | 0.050674 | 0.05157 | 0.024836 | 0.026829 | −1.73744 | −7.43002 |
| 250 | 0.063343 | 0.064462 | 0.027727 | 0.029931 | −1.73668 | −7.36461 |
| P (Pa) | EFG Linear Solution (w/m) | ANSYS Linear Solution (w/m) | EFG Nonlinear Solution (w/m) | ANSYS Nonlinear Solution (w/m) | Relative Error of Linear Solution (%) | Relative Error of Nonlinear Solution (%) |
|---|---|---|---|---|---|---|
| 50 | 0.012669 | 0.012858 | 0.01069 | 0.010883 | −1.47379 | −1.76973 |
| 100 | 0.025337 | 0.025717 | 0.017106 | 0.01745 | −1.47762 | −1.96963 |
| 150 | 0.038006 | 0.038575 | 0.021497 | 0.021934 | −1.47634 | −1.99416 |
| 200 | 0.050674 | 0.051435 | 0.024836 | 0.025375 | −1.47954 | −2.12571 |
| 250 | 0.063343 | 0.064294 | 0.027727 | 0.028195 | −1.47992 | −1.66093 |
| P (Pa) | EFG Linear Solution (w/m) | ANSYS Linear Solution (w/m) | EFG Nonlinear Solution (w/m) | ANSYS Nonlinear Solution (w/m) | Relative Error of Linear Solution (%) | Relative Error of Nonlinear Solution (%) |
|---|---|---|---|---|---|---|
| 50 | 0.011952 | 0.012201 | 0.010213 | 0.010786 | −2.04409 | −5.30873 |
| 100 | 0.023903 | 0.024402 | 0.016484 | 0.01781 | −2.0445 | −7.44357 |
| 150 | 0.035855 | 0.036604 | 0.020795 | 0.02273 | −2.04704 | −8.5143 |
| 200 | 0.047806 | 0.048805 | 0.024134 | 0.026546 | −2.04631 | −9.08649 |
| 250 | 0.059758 | 0.061001 | 0.026593 | 0.029696 | −2.03736 | −10.4482 |
| P (Pa) | EFG Linear Solution (w/m) | ANSYS Linear Solution (w/m) | EFG Nonlinear Solution (w/m) | ANSYS Nonlinear Solution (w/m) | Relative Error of Linear Solution (%) | Relative Error of Nonlinear Solution (%) |
|---|---|---|---|---|---|---|
| 50 | 0.012669 | 0.012858 | 0.01069 | 0.010883 | −1.47379 | −1.76973 |
| 100 | 0.025337 | 0.025717 | 0.017106 | 0.01745 | −1.47762 | −1.96963 |
| 150 | 0.038006 | 0.038575 | 0.021497 | 0.021934 | −1.47634 | −1.99416 |
| 200 | 0.050674 | 0.051435 | 0.024836 | 0.025375 | −1.47954 | −2.12571 |
| 250 | 0.063343 | 0.064294 | 0.027727 | 0.028195 | −1.47992 | −1.66093 |
| F (m) | EFG Linear Solution (w/m) | ANSYS Linear Solution (w/m) | EFG Nonlinear Solution (w/m) | ANSYS Nonlinear Solution (w/m) | Relative Error of Linear Solution (%) | Relative Error of Nonlinear Solution (%) |
|---|---|---|---|---|---|---|
| 0.004 | 0.026359 | 0.026887 | 0.017539 | 0.01835 | −1.96526 | −4.41962 |
| 0.006 | 0.025337 | 0.025785 | 0.017106 | 0.018208 | −1.73744 | −6.05064 |
| 0.008 | 0.024022 | 0.024384 | 0.016534 | 0.017819 | −1.48335 | −7.20916 |
| 0.010 | 0.02251 | 0.022787 | 0.015852 | 0.017378 | −1.21692 | −8.77892 |
| 0.015 | 0.018434 | 0.018528 | 0.013866 | 0.015538 | −0.50518 | −10.7607 |
| 0.020 | 0.014664 | 0.014625 | 0.011775 | 0.013224 | 0.263932 | −10.9566 |
| 0.025 | 0.011573 | 0.01145 | 0.009834 | 0.010869 | 1.075109 | −9.52544 |
| 0.030 | 0.009172 | 0.009001 | 0.008148 | 0.008795 | 1.899345 | −7.35873 |
| 0.035 | 0.007342 | 0.007149 | 0.006743 | 0.007074 | 2.69786 | −4.68476 |
| 0.040 | 0.005951 | 0.00575 | 0.005597 | 0.005725 | 3.490435 | −2.24192 |
| 0.045 | 0.004885 | 0.004688 | 0.004674 | 0.004682 | 4.211391 | −0.17514 |
| 0.050 | 0.004063 | 0.003874 | 0.003933 | 0.003874 | 4.87842 | 1.530718 |
| P (Pa) | EFG Linear Solution (w/m) | ANSYS Linear Solution (w/m) | EFG Nonlinear Solution (w/m) | ANSYS Nonlinear Solution (w/m) | Relative Error of Linear Solution (%) | Relative Error of Nonlinear Solution (%) |
|---|---|---|---|---|---|---|
| 25 | 0.021303 | 0.021565 | 0.014526 | 0.013974 | −1.21725 | 3.953056 |
| 50 | 0.042605 | 0.043131 | 0.021289 | 0.021346 | −1.21977 | −0.26937 |
| 75 | 0.063907 | 0.064696 | 0.025818 | 0.026334 | −1.21893 | −1.96134 |
| 100 | 0.08521 | 0.086261 | 0.029322 | 0.029484 | −1.21851 | −0.54979 |
| 125 | 0.106512 | 0.107827 | 0.032257 | 0.03342 | −1.21955 | −3.48025 |
| P (Pa) | EFG Linear Solution (w/m) | ANSYS Linear Solution (w/m) | EFG Nonlinear Solution (w/m) | ANSYS Nonlinear Solution (w/m) | Relative Error of Linear Solution (%) | Relative Error of Nonlinear Solution (%) |
|---|---|---|---|---|---|---|
| 25 | 0.021303 | 0.021352 | 0.014526 | 0.01461 | −0.23183 | −0.57221 |
| 50 | 0.042605 | 0.042705 | 0.021289 | 0.021411 | −0.2344 | −0.57214 |
| 75 | 0.063907 | 0.064058 | 0.025818 | 0.025963 | −0.2351 | −0.56041 |
| 100 | 0.08521 | 0.085411 | 0.029322 | 0.029484 | −0.23545 | −0.54979 |
| 125 | 0.106512 | 0.106765 | 0.032257 | 0.0324 | −0.23697 | −0.44167 |
| W (m) | EFG Linear Solution (w/m) | ANSYS Linear Solution (w/m) | EFG Nonlinear Solution (w/m) | ANSYS Nonlinear Solution (w/m) | Relative Error of Linear Solution (%) | Relative Error of Nonlinear Solution (%) |
|---|---|---|---|---|---|---|
| 1.5 | 0.027784 | 0.017167 | 0.027643 | 0.016175 | 0.50863 | 6.13230 |
| 1.8 | 0.042224 | 0.021207 | 0.042289 | 0.021398 | −0.15347 | −0.89307 |
| 2.1 | 0.056862 | 0.024546 | 0.056859 | 0.025291 | 0.00475 | −2.94453 |
| 2.4 | 0.070602 | 0.027482 | 0.070818 | 0.028572 | −0.30557 | −3.81457 |
| 2.7 | 0.082882 | 0.030141 | 0.083039 | 0.031475 | −0.18907 | −4.23987 |
| 3.0 | 0.093516 | 0.032616 | 0.093830 | 0.034148 | −0.33422 | −4.48665 |
| 3.3 | 0.102536 | 0.034984 | 0.102778 | 0.036661 | −0.23546 | −4.57352 |
| 3.6 | 0.110080 | 0.037418 | 0.110408 | 0.039058 | −0.29708 | −4.19863 |
| 3.9 | 0.116325 | 0.039686 | 0.116572 | 0.041393 | −0.21189 | −4.12437 |
| 4.2 | 0.121457 | 0.041876 | 0.121740 | 0.043642 | −0.23246 | −4.04633 |
| 4.5 | 0.125647 | 0.043999 | 0.125853 | 0.045842 | −0.16368 | −4.02011 |
| 4.8 | 0.129048 | 0.045940 | 0.129266 | 0.047966 | −0.16864 | −4.22403 |
| 5.1 | 0.131794 | 0.047955 | 0.131956 | 0.050033 | −0.12277 | −4.15426 |
| 5.4 | 0.133997 | 0.049912 | 0.134171 | 0.052029 | −0.12969 | −4.0685 |
Disclaimer/Publisher’s Note: The statements, opinions and data contained in all publications are solely those of the individual author(s) and contributor(s) and not of MDPI and/or the editor(s). MDPI and/or the editor(s) disclaim responsibility for any injury to people or property resulting from any ideas, methods, instructions or products referred to in the content. |
© 2025 by the authors. Licensee MDPI, Basel, Switzerland. This article is an open access article distributed under the terms and conditions of the Creative Commons Attribution (CC BY) license (https://creativecommons.org/licenses/by/4.0/).
Share and Cite
Peng, L.; Zhang, Z.; Wei, D.; Tang, P.; Mo, G. Nonlinear Analysis of Corrugated Core Sandwich Plates Using the Element-Free Galerkin Method. Buildings 2025, 15, 1235. https://doi.org/10.3390/buildings15081235
Peng L, Zhang Z, Wei D, Tang P, Mo G. Nonlinear Analysis of Corrugated Core Sandwich Plates Using the Element-Free Galerkin Method. Buildings. 2025; 15(8):1235. https://doi.org/10.3390/buildings15081235
Chicago/Turabian StylePeng, Linxin, Zhaoyang Zhang, Dongyan Wei, Peng Tang, and Guikai Mo. 2025. "Nonlinear Analysis of Corrugated Core Sandwich Plates Using the Element-Free Galerkin Method" Buildings 15, no. 8: 1235. https://doi.org/10.3390/buildings15081235
APA StylePeng, L., Zhang, Z., Wei, D., Tang, P., & Mo, G. (2025). Nonlinear Analysis of Corrugated Core Sandwich Plates Using the Element-Free Galerkin Method. Buildings, 15(8), 1235. https://doi.org/10.3390/buildings15081235

