Next Article in Journal
A Study on the Longitudinal Deformation of the Underlying Oblique Crossing Tunnel Induced by Foundation Excavation
Previous Article in Journal
An Edge-Computing-Driven Approach for Augmented Detection of Construction Materials: An Example of Scaffold Component Counting
 
 
Font Type:
Arial Georgia Verdana
Font Size:
Aa Aa Aa
Line Spacing:
Column Width:
Background:
Article

A Study on Cement-Based Crack Injection Materials Using Reactive Ultra-Fine Fly Ash, Portland Cement (Type I), and Sulfoaluminate Cement

1
Department of Harbor and River Engineering, National Taiwan Ocean University, Keelung 20231, Taiwan
2
Astray Limited Company, Taipei City 10516, Taiwan
*
Author to whom correspondence should be addressed.
Buildings 2025, 15(7), 1193; https://doi.org/10.3390/buildings15071193
Submission received: 12 March 2025 / Revised: 29 March 2025 / Accepted: 3 April 2025 / Published: 5 April 2025
(This article belongs to the Section Building Materials, and Repair & Renovation)

Abstract

The primary objective of this study is to determine appropriate mixes for cement-based crack injection materials by combining Portland cement (type I) and sulfoaluminate cement (SAC) with reactive ultra-fine fly ash (RUFA). Various weight percentages of SAC (WSAC) and Portland cement (type I) (WC) as binder materials were considered, while the weight percentage of RUFA (WRUFA) in the binder was fixed at 5%. The usage of RUFA enhances the fluidity and strength of the paste, while SAC helps to mitigate shrinkage and improve early strength. The results indicate that the mixture with a water-to-binder ratio of 0.4, WSAC = 75%, WC = 20%, and WRUFA = 5% can meet the requirements of relevant standards in terms of injectability, average splitting tensile strength, bleeding rate, and volume change. In addition, this mixture provides optimal performance in terms of setting time, compressive strength, slanted shear strength, and length change.

1. Introduction

Cracks and voids are primary types of damage in concrete structures that can weaken their load-bearing capacity and integrity, potentially resulting in structural failure [1]. Various types of repair materials are available and, in order to identify more effective and functional repair materials, in-depth research and analysis are required.
As mentioned in EN 1504-5 [2], crack repair materials used for filling cracks, voids, and interstices can be classified into three kinds: force-transmitting (type F), ductile (type D), and swelling-fitted (type S) injection materials. From the chemical reaction aspect, the injection products can be categorized in terms of the use of reactive polymer (P) or hydraulic (H) binders. Epoxy resin is the most widely used injection product in the market. Issa and Debs [3] conducted a study focused on repairing cracks in concrete using epoxy resin. They showed that, when cracks occurred, the compressive strength of the concrete decreased by 40.93%; meanwhile, after repair with epoxy resin, the strength reduction was restored to only 8.23%. Ekenel and Myers [4] used both carbon-fiber-reinforced polymer (CFRP) and epoxy resin fibers for crack strengthening. Their results showed that epoxy resin alone only increased the initial stiffness; however, the CFRP fibers not only enhanced the initial stiffness but also contributed to the ultimate strength. If we compare epoxy resin with cement-based repair materials, the epoxy resin has some drawbacks: (1) Higher Cost: epoxy resin is relatively expensive, especially compared to ordinary cement-based repair materials, increasing construction costs. (2) Higher Thermal Expansion Coefficient [5]: Epoxy resin has a much higher thermal expansion coefficient than concrete. When temperature changes occur, stress may develop between the two materials, leading to delamination or cracking. (3) Poor UV Resistance [6]: Epoxy resin is prone to discoloration or degradation when exposed to ultraviolet (UV) light for long periods, affecting both its appearance and performance. This is particularly important for outdoor applications. (4) Low Water Vapor Permeability [7]: Epoxy resin has poor breathability, which may lead to moisture being trapped inside the substrate (e.g., concrete). This can weaken its adhesion performance or cause blistering. (5) Reduced Adhesion on Moist Substrates [8]: while epoxy resin has strong adhesive properties, its bonding strength decreases on damp or water-saturated substrates, potentially affecting the effectiveness of the repair. (6) Strict Application Requirements [8]: epoxy resin requires dry and controlled environmental conditions (e.g., proper temperature and humidity) for proper curing, making the application process more demanding. (7) Environmental and Health Concerns: During curing, epoxy resin may release volatile organic compounds (VOCs). Some epoxy resins can be irritating to the skin and respiratory system, requiring good ventilation and proper personal protective measures during their application. (8) Elasticity and Brittleness Issues: Epoxy resin is relatively rigid and lacks the toughness of cement-based materials. This may lead to stress concentration under certain conditions, making it prone to cracking, especially in structures subjected to dynamic loads. Due to these drawbacks, cement-based materials which can avoid the drawbacks of epoxy resin are considered good alternatives for use as repair materials.
Polymer Cement Composite (PCC) is used for concrete structure repair and bridge deck rehabilitation in engineering applications. Allahvirdizadeh et al. [9] mentioned that the annual maintenance cost of concrete coated with an applied isolation coating is higher than that of polymer concrete, as the isolation coating may need to be reapplied multiple times within the same service life. This is likely because the service life of polymer repairs is much longer than that of traditional concrete repair methods. Teng et al. [10] mentioned that when the TSL brushing thickness is greater than or equal to 4.2 mm and the brushing frequency exceeds 3 times, a crack repair effect is observed. This is mainly because the TSL completely fills the cracks and forms a bonding effect at the original crack sites. The enhancement of this bonding effect leads to the repair effect. ElGawady et al. [11] have mentioned that cement-based crack injection products could increase the interfacial shear bond strength of multi-layer stone walls by 25 to 40 times, with the volume ratio of each component influencing the improvement in shear performance. Minoru et al. [12] found that using cementitious materials for repair enhanced the bonds between cracks and contributed to improvements in compressive strength and elastic modulus. Perret et al. [13] have demonstrated that using high early-strength cement and partially replacing it with silica fume yielded good economic benefits. Perret et al. [14] also demonstrated that the interactions between cement and admixtures influenced the rheological behavior of grout as well as its final setting time. Khayat et al. [15] found that, when the water-to-binder ratio was 0.6 and a high-range water reducer was added at 2%, the cement grout achieved a balance between rheological properties and mechanical performance. Song et al. [16] pointed out that polymer-modified materials improve flexural strength and reduce shrinkage. The addition of fibers and the application of an interface agent enhance the bond capability between cement-based repair materials and the concrete. Beril et al. [17] pointed out that there are few established standards or comprehensive methods for the evaluation of injection grouting materials. It is evident that systematic research is needed in terms of the workability and performance characteristics, testing methods, as well as preparation and curing conditions for these materials.
Zhang et al. [18] found that sulfoaluminate cement (SAC) mortar reduces drying shrinkage and chloride ion permeability compared to Portland cement. The early formation of ettringite provides nucleation sites, promoting hydration and benefiting the early strength development of SAC, while negatively affecting strength at a later stage. Kim et al. [19] discovered that including SAC accelerated the early hydration of Portland cement. The combination of Portland cement and SAC improved the rapid development of strength, reduced pH levels, and enhanced the crack-healing capability. Huo et al. [20] demonstrated that SAC is a low-carbon cementitious material, and the addition of CaO has a significant benefit in improving the compressive strength of SAC composites. Khalil et al. [21] found that, when Portland cement and SAC were mixed, they exhibited a synergistic effect. Compared to 100% Portland cement and 100% SAC paste, the mixture produced 57% and 45% more ettringite, respectively. Their results indicated that the amount of SAC influenced the reactivity of the Portland cement/SAC blend. Pimraksa and Chindaprasirt [22] have demonstrated that SAC possesses excellent properties, as the calcium sulfoaluminate helped to mitigate cracks caused by the shrinkage of Portland cement. The formation of ettringite allows for rapid setting and early strength development were achieved quickly, with rapid setting being a crucial characteristic in repair work.
Lin [23] has explained that early curing of reactive ultra-fine fly ash (RUFA) has significant benefits in filling the pores in the concrete structure and accelerating the formation of ettringite. RUFA improved the bond strength of concrete, enhanced both early and late compressive strength, reduced drying shrinkage, and increased durability. It has also been proven that RUFA enhances adhesion, promotes the pozzolanic reaction, and forms C-S-H gel. This effectively filled the pore structure, increasing density and compressive strength while reducing drying shrinkage, improving workability, and lowering permeability. Krishnaraj and Ravichandran [24] found that adding RUFA to Portland cement improved the performance of the specimens; specifically, the addition of 45% RUFA in construction applications enhanced the overall engineering quality. Maeijer et al. [25] emphasized that refining the fineness of fly ash improved the workability of the mixture, and partially replacing cement with RUFA enhanced its mechanical strength. Moghaddam et al. [26] found that finer fly ash paste enhanced the release of hydration heat, resulting in a denser microstructure. As the fineness of the fly ash increased, it improved the fluidity and compressive strength of the cement paste. Delihowski et al. [27] discovered that the use of finer fly ash increases reactivity, better flowability, and viscosity. Smaller particle sizes lead to higher strength, forming a dense and uniform microstructure, offering advantages in terms of cost, workability, and sustainability. Finer particles will enhance the pozzolanic reactivity, as their larger specific surface area causes particle collisions to happen more frequently, such that the chemical reaction rate increases. Another strategy to enhance the mechanical and durability performance utilizes the Fuller–Thompson formula for particle size distribution [28].
The main objective of this study was to identify a suitable mixture based on the EN 1504-5 standard. Portland cement (type I), SAC, and RUFA are adopted to produce cement-based injection material. SAC shortens the setting time, increases early strength, and reduces shrinkage. However, when SAC is used together with Portland cement (type I), the interaction between the two cements lead to a decrease in strength. To address the issues caused by the addition of SAC, RUFA is selected because of its strong pozzolanic reactivity and its ability to enhance late-stage strength. Additionally, the spherical structure of RUFA improves the compactness of the paste and provides better workability. For this purpose, injection grout was prepared using SAC (WSAC = 0%, 15%, 35%, 55%, 75%, 95%), Portland cement (type I) (WC = 0%, 20%, 40%, 60%, 80%, 95%), and RUFA (WRUFA = 5%). Based on the requirements of the standard in terms of injection time, bleeding, volume change, and splitting strength, mixtures that met all the conditions were selected. Further tests assessing setting time, compressive strength, slant shear strength, and mortar length change were conducted to evaluate the mixtures and determine those with optimal performance.

2. Materials and Methods

2.1. Materials

In this study, we used Portland cement (type I) (after 1 h of grinding using a planetary ball mill) with a specific gravity of 3.15 and a BET specific surface area of 17,468 cm2/g (measured using a Nova 800BET produced by Anton Paar Company (Graz, Austria)). The SAC (provided by Triaxis Company (Taipei, Taiwan), after 1 h of grinding using the planetary ball mill) had a specific gravity of 2.7 and a BET specific surface area of 29,592 cm2/g, while the RUFA (provided by Triaxis Company) had a specific gravity of 2.4 and a BET specific surface area of 79,717 cm2/g (no grinding). The reasons for grinding SAC and Portland cement (type I) were as follows: (1) The finer the grinding, the larger the specific surface area, which accelerated the reaction between cement and water, enhancing early strength. (2) Greater fineness might have shortened the setting time, causing the cement to harden more quickly. (3) Proper grinding of cement improved its density, reduced permeability, and enhanced durability. However, the fineness of RUFA itself reached the micron level. If it had been further ground by ball milling, its spherical structure would have been damaged. Therefore, RUFA was not ground.
According to the ASTM 311-11b [29] test, the activity index of RUFA was 110.29% at 7 days and increased to 128.84% at 28 days. Figure 1 shows the SEM image of a RUFA sample taken with a Hitachi S2400, where a spherical structure is observed. This suggests that RUFA exhibits a ball-bearing effect [30], which enhances the flowability of the mortar. Figure 2 presents the QXRD analysis results of RUFA obtained using a Rigaku micro-XRD, indicating a crystallinity of 7.4% and an amorphous content of 92.6%, confirming the amorphous structure of RUFA (similar to silica fume and metakaolin). The amorphous phase of RUFA suggests strong reactivity, which can trigger a faster pozzolanic reaction compared to conventional fly ash. The coal powder was coated with dolomite, acting as combustion accelerant. The temperature of combustion reached 1400 °C (almost twice the temperature used in a conventional power plant). The coal fly ash produced from this procedure is very fine, and can be collected using a special dust collector. Conventional coal fly ash and the RUFA predominantly differ in terms of their (1) particle size and (2) crystallinity [31]. To achieve the required workability according to the standard, a retarder (boric acid powder) and a powdered PCE superplasticizer were added. The retarder had a specific gravity of 1.51, with a dosage range of 0.5% of the total weight for the two cements; meanwhile, the dosage range of the PCE was 1% of the cementitious materials by weight. The chemical compositions (obtained following the method detailed in ASTM C114 [32]) of the Portland cement (type I) (product of Taiwan Cement Company (Taipei, Taiwan)), SAC and RUFA are tabulated in Table 1. The results of laser particle size analysis (INSITEC laser diffraction particle size analyzer) for the ground Portland cement (type I), ground SAC, and RUFA are illustrated in Figure 3.
SAC was used to promote early strength development and delay setting time, a phenomenon that has been confirmed in the literature [22]. The interaction between SAC and Portland cement (Type I) may reduce strength. To address this situation, certain pozzolanic materials are needed as supplementary cementitious materials to enhance strength. It is well-known that traditional fly ash has low benefits for late-strength development, while pozzolanic materials with higher reactivity contribute to late-strength development. Therefore, this study selected RUFA as the pozzolanic material.
Limestone, bauxite, and gypsum are burned at a high temperature (1300–1350 °C) to form SAC, resulting in clinker mainly composed of anhydrous calcium sulfoaluminate (C4A3S) and dicalcium silicate (C2S). The manufacturing process consumes less energy and produces lower carbon dioxide emissions. SAC can enhance early strength and shorten setting time, making it suitable for time-sensitive projects, repair works, and permeability resistance projects. SAC also has the benefit of handling high-borate concentrated waste, as borate ions have a reduced impact on delaying SAC hydration compared to Portland cement [33].
RUFA exhibits strong pozzolanic reactivity and a spherical structure, which can improve the homogeneity, adhesion, and strength of the mortar [23]. The spherical shape of RUFA leads to the so-called ball-bearing effect, which reduces the friction among particles and increases the flowability of cement grout. As the average particle size of the RUFA is about 1 μm, and its specific surface area is 79,717 cm2/g, once the amount of RUFA is too high, more water is required to wrap the RUFA particles; in this scenario, the cement grout becomes viscous, and its flowability worsens. According to previous experience, the optimal dosage for RUFA should be 5–10% with respect to the total cementitious materials; such a dosage guarantees the flowability of the resulting cement grout. The RUFA has strong pozzolanic activity, which derives from two mechanisms. The first is its high specific surface area: as the particles become finer, the reactivity increases [34]. The second is the amorphous phase of RUFA: as the percentage of amorphous phase in RUFA increases, the amorphous Al2O3 dissolves faster in an alkaline environment, consequently resulting in a better chemical reaction. A similar phenomenon has been reported in [35].
As SAC hardens fast, boric acid was adopted to retard the setting time. In addition, PCE was added as a superplasticizer. The flowability of cement grout depends on the interactions between cement particles and superplasticizers. As an admixture in cement grout, superplasticizers possess charged characteristics that induce electrostatic repulsion between cement particles, releasing water and enhancing the flowability and viscosity of the cement mixture. In the microscopic structural characteristics of PCE, its chains extend from the cement surface into the pore solution, promoting the dispersion of cement particles and effectively improving the workability of high-performance concrete. This is particularly beneficial for delaying the rapid hardening of certain cements, such as SAC or calcium aluminate cement [36]. The workability retention performance of PCE is one of the key reasons for its selection as the superplasticizer in this study.

2.2. Mix Design and Curing Conditions

During the preliminary experiments in this study, it was found that using a water-to-binder ratio lower than 0.4 resulted in the mixtures having high viscosity due to insufficient moisture, causing the injection test to fail completely. Of course, this observation was true while Portland cement (type I) and SAC were ground for 1 h; as such, increasing the grinding time such that the cement particles become smaller may resolve the above-mentioned problem. However, how long the grinding time should be extended in order to obtain smaller particles and the energy efficiency of the grinding process require further study. Based on the results of our preliminary study, the water-to-binder ratio was explored starting from 0.4, with ratios of 0.4, 0.425, and 0.45 selected for further investigation. The contents of SAC (WSAC = 0%, 15%, 35%, 55%, 75%, 95%) and Portland cement (type I) (WC = 0%, 20%, 40%, 60%, 80%, 95%) were adjusted based on the weight percentage of the binder material, while the RUFA content was kept fixed at WRUFA = 5%. The RUFA was used as the addition of SAC to Portland cement (type I) resulted in a viscous mixture; however, if too much RUFA was added, the required water content increased, leading to too little free water and making the mixture even more viscous, thereby preventing smooth injection. After a literature review and a series of trial and error, it was decided to fix the RUFA content at WRUFA = 5% to improve the flowability of the mixture. The reason for selecting the proportion of RUFA at 5% was as follows: if the proportion of RUFA exceeds 10%, the cement grout will become too viscous, and the injectability test cannot be performed. If the proportion of RUFA is below 5%, the lower occurrence of spherical structures may affect the compactness and later-stage strength. Therefore, considering that the sum of the weight percentages for the two cements had to equal 95%, we selected six combinations of the two cements (including using Portland cement (type I) only and SAC only). As injection tests require higher flowability, a powdered PCE superplasticizer (provided by Takemoto Company (Tokyo, Japan)) was used, with the dosage determined through testing (i.e., set at 1% of the binder weight percentage, where the binder includes Portland cement (type I), SAC and RUFA). Additionally, as SAC reacts quickly, it could affect the working time and may cause rapid setting, leading to increased viscosity and failure of the injection test. Therefore, a retarder (boric acid, provided by Emperor Chemical Co., Ltd. (Taipei, Taiwan)) was used, with a dosage of 0.5% weight percentage of the cementitious materials (Portland cement (type I) and SAC). Both the PCE superplasticizer and the retarder were considered as additional additives. This meant that, for all mixtures, the total material weight based on the water-to-binder ratio remained unchanged. Detailed information on all the mixture ratios is provided in Table 2. In this table, the ‘Group’ labels are explained as follows: the letter ‘S’ refers to SAC, the letter ‘C’ refers to Portland cement (type I), and the letter ‘F’ refers to RUFA. The number following each letter indicates the weight percentage of the material in the total binder amount.
The mixing procedure for grout was carried out in accordance with ASTM C1780 [37]: (1) add the appropriate amounts of water, powdered PCE superplasticizer, and retarder into separate containers and mix for 65 s. (2) Moisten the mixing vessel with water, then wipe it dry with a damp cloth until the surface no longer has any water. (3) Pour the pre-mixed grout materials into the mixing vessel and slowly and evenly add the appropriate amount of water along the inner wall of the vessel. At the beginning of this step, the mixer (Humboldt H-3841) operates at a low speed of 136 rpm for 1 min. (4) Continue mixing at a medium speed of 281 rpm for another 4 min to ensure that all materials are thoroughly and evenly mixed.

2.3. Experiments and Tests Conducted

According to EN 1504-5, the first condition to be met is that the injection time for the grout material should correspond to the standard for different crack widths. A material mixture that completes the cylindrical injection within 4 min should be used for cracks with a width of 0.1 mm. A mixture that completes the sand column injection within 8 min should be used for cracks with a width of 0.2 mm. A mixture that completes the cylindrical injection within 12 min should be used for cracks with a width of 0.3 mm. In the 2004 version of EN1504-5: 2004 [38], only the requirement for completing the injection within 8 min is defined; therefore, in this study, the injection test was focused on completing the injection within 8 min. For the injected grout, as per EN-1771 [39], it was injected into a transparent tube pre-filled with dry fine aggregate. The time required for the grout to pass through every 5 cm was recorded, and the condition of the grout passing through was noted. This allowed us to determine whether the grout mixture had adequate injection performance. The second condition to be met was based on the EN 445/3.3 [40] bleeding and volume stability tests for screening. The bleeding should be less than 1% of the initial volume within 3 h for the injected grout, and the volume change should meet the condition of −1% < volume change < +5% of the initial volume. For the grout that passed both the injection test and the bleeding and volume stability tests, the third condition required was that, after hardening, it should be cured for 28 days at a temperature of 21 ± 2 °C and relative humidity of 60 ± 10%. Then, the splitting test should be carried out according to ASTM C496 [41]. The average splitting strength should be greater than 3 MPa, thus confirming that the mixture has sufficient bonding capacity. For mixtures that meet the above conditions, setting time tests, shear strength and compressive strength tests, and mortar length change tests were carried out. All tests and their corresponding standards are as described below.

2.3.1. Viscosity Test

Viscosity testing is crucial for determining the pot-life and workable time of injection grout. In EN 1504-5, viscosity-testing instruments to measure the relationship between viscosity and time are mentioned, which can be used to assess the workable time of the grout. This study conducted viscosity tests according to ASTM C1749-17 [42], in order to measure the rheological behavior of the grout. The test temperature was fixed at 21 °C, and the grout was injected into a narrow concentric cylinder gap. One cylinder surface remained stationary, while the other was rotated at a fixed speed. Data were recorded once per minute for 30 min, during which the shear stress of the grout was measured. Based on the Bingham rheology theory, the relevant data for the rheological behaviors of different grout mixtures were calculated. Note that, as time increases, the viscosity changes which imply the state of cement grout differ due to the continuous hydration reactions taking place in cement. The viscosity meter used was a UALITEST ViscoQT 1800/S Series Programmable touch-screen rotary viscometer.

2.3.2. Injection Test

The injectability test is a primary test for cementitious crack injection materials. This test was conducted according to EN-1771 at a fixed temperature of 21 °C. The fine aggregate used in the transparent tube underwent sieve analysis conform to the requirements stated in EN-1771, as listed in Table 3. The primary fine aggregate used was retained on the #30 sieve. The inner diameter of the transparent tube was 22 mm, and 225.8 g of fine aggregate was uniformly filled into the tube.
According to the EN-1771 test method, the setup for the injectability test instrument was as follows: (1) the fine aggregate was dried at 105 °C for 24 h, in order to ensure it was in an oven-dry condition. (2) A release agent was evenly applied to the inner wall of the transparent tube, simplifying the procedure for taking out the hardened cylindrical sand column. (3) Fine aggregate was poured into the transparent tube up to one-third of its height. During this process, the tube was rotated while being vibrated laterally 50 times to ensure compaction. (4) The fine aggregate was added in three layers, with the second and third layers following the same procedure mentioned in (3). (5) After filling the tube, both ends were sealed, and the mass M1 was measured with an accuracy of 0.1 g.
The injectability test procedure is described as follows: (1) The mixed grout was poured into the injection pot, and the pressure vessel was secured to ensure airtightness. (2) The air compressor was activated, setting a fixed pressure of 0.075 ± 0.0025 MPa. (3) The time required for the grout to pass through each 5 cm segment was recorded. (4) The stopping time was determined, and classification was performed based on the injection time and flow rate. (5) After the injection, the mass M2 of the transparent tube and rubber hose was measured with an accuracy of 0.1 g. (6) The times required for the grout to reach 50, 100, 150, 200, 250, 300, and 350 mm were recorded. The steps for completing the injection test are shown in Figure 4.
The injectability index was calculated as follows: M2 − M1 = Id.
According to EN-1771, crack injectability was categorized as easy, feasible, or difficult, based on injection time and remaining flow. Additionally, in the 2004 version of EN 1504-5, the injection time is used to classify applicability for different crack widths: (1) for 0.1 mm wide cracks, a grout mix completing the injection test within 4 min is classified as having high injectability; (2) for 0.2 mm wide cracks, a grout mix completing the injection test within 8 min is classified as having feasible injectability. However, in the latest version of EN 1504-5, the injection time of a cement-based injection material has been adjusted to 12 min, and a grout mix completing the injection test within 12 min is classified as having feasible injectability for repairing a 0.3 mm-wide crack.
The instrument for conducting the EN-1771 test was made by a local manufacturer, in accordance with the design concept in EN-1771.

2.3.3. Bleeding and Volume Change Test

According to EN 1504-5, an F-type injection agent must meet the requirements of EN 445/3.3. This test was conducted at 21 °C to measure bleeding and volume change, with the required values as follows: (1) Bleeding after 3 h: the bleeding water should be less than 1% of the initial volume. (2) Volume change: the volume variation should be within −1% < ΔV < +5% of the initial volume.
The bleeding and volume change test equipment is described in Figure 5, and the procedures were as follows: (1) A transparent tube with a height of 1 m and a diameter of 60–80 mm was placed vertically with its opening facing upward and then secured. A standard rod was positioned at the center of the tube for reference. (2) The grout was fully poured into the tube until it reached 10 mm above the standard rod, ensuring that no air bubbles were introduced during pouring. (3) The transparent tube was sealed after filling, in order to minimize the evaporation of moisture. The initial height Ho and initial time t0 were recorded. (4) After 3 h, the height Hg and the height of the bleeding water Hw were recorded. The bleeding rate and volume change then can be calculated using the following formulas:
Bleeding rate = Hw/Ho × 100%
Volume change = (Hg − Ho)/Ho × 100%

2.3.4. Splitting Tensile Strength Test

According to the third condition of EN 1504-5, a grout mixture that has passed the injectability test must undergo a splitting tensile strength test, in which the average splitting tensile strength of each specimen must exceed 3 MPa.
The grout samples that completed the injectability test were tested according to ASTM C496. After curing in an environment with temperature of 21 ± 2 °C and 60 ± 10% relative humidity for 28 days, the specimens were ejected using a sample extruder. The usable specimens were then subjected to the splitting tensile strength test according to the following procedure: (1) Each specimen was cut vertically into six cylindrical specimens with a height-to-width ratio of 2:1. Each cylindrical specimen had a width of 22 mm and a height of 44 mm. (2) The position of each specimen within the original transparent tube was recorded. (3) The specimen was placed horizontally in the splitting test mold and positioned on the universal testing machine. (4) A constant load rate of 0.05 ± 0.01 N/mm2/s was applied without impact to perform the splitting test. (5) The maximum failure load (F) for each specimen at its corresponding position was recorded. The splitting tensile strength f was calculated using the following formula (expressed in N/mm2). (6) The final splitting tensile strength for each mixture design was determined by averaging the splitting tensile strengths of the six specimens.
The instrument for conducting the EN-445/3.3 test was made by a local manufacturer, in accordance with the design concept in EN-445/3.3.
f = 2 × F π × d × L
  • F: Maximum destructive load, expressed in N.
  • d: Specimen diameter, expressed in mm.
  • L: Specimen height, expressed in mm.
  • f: Splitting strength, expressed in N/mm².

2.3.5. Setting Time Test

The setting time of the grout is considered as a crucial parameter in this study. According to ASTM C191 [43], the initial and final setting times of different injection grouts were examined under various water-to-binder ratios. After mixing, the grout was placed in a curing environment at 21 ± 2 °C and 60 ± 10% relative humidity. Measure and setting time using the Humboldt H-3050 apparatus, following these steps: (1) The freshly mixed grout was poured into the Vicat ring and left undisturbed for 30 min. The ring was then placed under the Vicat needle, ensuring that the needle tip touched the surface of the grout, and the dial was set to zero. (2) To conduct the test, the screw was loosened, allowing the needle to penetrate the grout under its own weight. The penetration depth was recorded after 30 s. (3) When the penetration depth reached 25 mm, the initial setting time was recorded. The final setting time was determined when the needle could no longer penetrate the surface of the grout. Each penetration location was changed for every measurement, maintaining a minimum spacing of 6.4 mm. The apparatus for setting time test is shown in Figure 6.

2.3.6. Compressive Strength Test

Compressive strength is a key indicator for evaluating the development of mechanical strength in injection grout. The method for preparing mortar specimens for compressive strength testing is as follows: (1) The proportion of raw materials in the cement paste follows the ratio used for each group of admixtures. (2) The ratio of binder to sand is 1:2.75. (3) The sand grading is consistent with Table 3. Refer to ASTM C109 [44], grout specimens were cured and hardened in a controlled environment (21 ± 2 °C and 60 ± 10% relative humidity). Conduct the compressive strength test using a compression testing machine: (1) after mixing, the grout was poured into 3 × 3 × 3 cm cubic molds. According to ASTM C109, a 5 × 5 × 5 cm cubic mold should be used. However, the existing 5 × 5 × 5 cm cubic molds in our laboratory encounters a problem of holding the mortar since the mortar has high flowability and leakage of cement paste happens. To preserve the integrity of the mortar, this study used 3 × 3 × 3 cm acrylic cubic molds to prevent leakage. Although the reduced mold size may affect the loading area, the compressive strength calculation is based on dividing the maximum load by the specimen’s loading area. Of course, different size leads to size effect. However, a relative comparison among various mixes in this study is still meaningful. (2) The specimens were air-cured in a temperature and humidity-controlled chamber (21 ± 2 °C and 60 ± 10% relative humidity). (3) At 7, 14, and 28 days, the specimens were placed in the compression testing machine (as shown in Figure 7), and a compressive load was applied at the specified loading rate according to the standards. (4) The maximum load was divided by the loaded surface area to obtain the compressive strength value of the specimen. The universal testing machine used in this experiment was a Shimadzu AGXTM-V2.

2.3.7. Slanted Shear Test

According to the requirements for F-type injection agents in EN 1504-5, the concrete substrate used in the slant shear test must meet the specifications of EN 12618-3 [45] to evaluate the bonding properties of the crack repair grout. The concrete mix design is provided in Table 4.
Preparation of Concrete Substrate: Concrete with a water-to-cement ratio (W/C) of 0.4 was mixed and poured into 150 × 150 × 55 mm cubic molds. After hardening, the specimens were cured for 28 days in an environment with a temperature of 21 ± 2 °C and relative humidity of 60 ± 10%. Crack formation and injection process: (1) After curing, the concrete specimens were placed in a compression testing machine and fractured into two trapezoidal sections using trapezoidal steel plates to create controlled cracks. (2) The crack widths were set as follows: A. 0.1 mm (for grout mixes with an injection time of ≤4 min); B. 0.3 mm (for grout mixes with an injection time of ≤8 min). (3) The crack depth was approximately 55 mm, and C-clamps were used to maintain the designated crack width, as shown in Figure 8.
One injection port was reserved on the concrete substrate, while the remaining openings were sealed with waterproof tape. A low-pressure injection syringe was used to inject the grout (which met EN 1504-5 requirements) into the pre-formed crack. The repaired specimens were then left undisturbed for 28 days. After curing, the middle section of the concrete substrate was cut into 55 × 55 × 150 mm specimens. The slant shear bond strength for each mix design was determined using a compression testing machine (Shimadzu AGXTM-V2), as shown in Figure 9.

2.3.8. Length Change

The grout length change test was performed in this study with the aim of verifying whether the use of SAC can reduce shrinkage. The test was conducted according to ASTM C157 [46].
Test procedure: (1) Grout mixtures that met the EN 1504-5 requirements were prepared and poured into 25 × 25 × 285 mm rectangular molds. (2) The specimens were air-cured in a temperature- and humidity-controlled environment (21 ± 2 °C and 60 ± 10% relative humidity). (3) After hardening, the molds were removed, and the initial length (L0, mm) was measured. (4) At 3, 7, 14, and 28 days of curing, the specimens were taken out of the chamber, and their lengths (L, mm) were measured. (5) The length change percentage was calculated using the following formula:
Δ L = L L 0 250 × 100 %
The length comparator was a product from the Controls company (Taipei, Taiwan) (62-L0035/A).

2.3.9. Scanning Electron Microscope (SEM) Analysis

According to ASTM E1508-12a [47], the SEM was used to scan and observe the microscopic structure of the specimens using a high-energy electron beam. A thin layer of gold was applied to the surface of the specimen. When the electron beam contacts the surface, it generates a conductive signal which is then received by a detector to create an image. This allows for observation of the specimen’s surface microstructure and images of its surface to be captured.

2.3.10. X-Ray Diffraction (XRD) Analysis

According to ASTM E3294-22 [48], an XRD analysis was conducted to examine the mineral composition of the specimens. The target material used was a copper target. The principle behind this method is that X-rays are emitted onto the specimen’s surface. Then, X-ray diffraction occurs at a 2θ angle relative to the incident angle of the material. The different diffraction angles and intensities can be plotted in a 2θ-intensity graph. Diffraction peaks are generated when λ = 2dsinθ, and different diffraction results correspond to different compounds. Through comparing the positions of the high-intensity peaks, the chemical composition of a specimen can be identified.

3. Results

3.1. Viscosity Test Result

The viscosity of grout and its ability to smoothly inject into cracks are related. Theoretically, grout with lower viscosity will pass the injection test more easily and have the advantage of shorter injection times, while grout with higher viscosity will result in longer injection times. In this study, the temperature wa`s fixed at 21 °C and the viscosity was tested after mixing the mixtures for 300 s, with a total testing time of 30 min to explore the viscosity behavior of each mixture. The results shown in Figure 10, Figure 11 and Figure 12 indicate that, at the initial time, the viscosity of S95C0F5 with water-to-binder ratios of 0.4 and 0.425 was between 70 and 80 (mPa·s), while that of S95C0F5 with a water-to-binder ratio of 0.45 was below 70 (mPa·s). After 300 s, only the S95C0F5 with a water-to-binder ratio of 0.425 remained at 70 (mPa·s), while the other mixtures ranged between 40 and 60 (mPa·s), showing a closer viscosity value. As the water-to-binder ratio increased, the viscosity values decreased. Under all water-to-binder ratios, an increase in SAC content led to an increase in the grout’s initial viscosity. The highest initial viscosity for all three water-to-binder ratios was observed in S95C0F5, as SAC has early strength characteristics, leading to higher viscosity, which is consistent with previous research [22]. After 300 s, the spherical structure of the RUFA’s micron-sized particles took effect, improving the grout’s fluidity and workability [23], causing the viscosity of all mixtures to stabilize. Thus, the injection tests were performed 300 s after mixing. One can observe that the viscosities of the various mixes at 300 s showed the same trend as the injection times; namely, the longer the injection time, the higher the viscosity value. For some groups, the viscosity increased after 900 s, implying that the hydration of cement causes the cement slurry to become more viscous.

3.2. Injection Test Result

The injection test primarily verified whether the requirements of EN1504-5 were met. The criteria specify that mixtures completing the injection test within 4 min can be considered highly injectable and suitable for cracks with width of 0.1 mm [38], those completing the injection test within 8 min are considered to have feasible injectability and are suitable for cracks with width of 0.2 mm [38], and those completing the injection test within 12 min are also considered to have feasible injectability and are suitable for cracks with width of 0.3 mm [2]. In [2], the requirement of injectability for hydraulic binders is less strict in comparison with that in [38], as it only requires the cement grout to pass the sand column injection test within 12 min. However, in this study, the stricter requirements presented in [38] were adopted. To the best of our knowledge, cement-based injection grout which passes the requirements proposed in [38] has not been previously reported.
The results in Table 5 show that, as the water-to-binder ratio increases from 0.4 to 0.45, the injection time tends to shorten. All mixtures passed the test within 8 min, thus meeting the feasible injectability requirement. Furthermore, four of the mixtures passed within 4 min, indicating high injectability. However, among these four mixtures, three mixtures failed to satisfy the bleeding and volume change test requirements when SAC and Portland cement (type I) were used together.
From Table 5, it can be observed that as the water-to-binder ratio increases, the time for the grout to pass decreases. Additionally, reducing the SAC ratio shortens the passing time and reduces the viscosity. Based on the viscosity results described in the previous section (Section 3.1) and the injection test results in this section, it is estimated that grout with a viscosity value below 80 (mPa·s) has a high chance of meeting the condition of passing within 8 min, thus fulfilling the injectability test requirements. Therefore, a viscosity value of 80 (mPa·s) is suggested to be used for defining the pot-life time of injection grout. The mixtures that meet the injectability test requirement were selected to further perform the bleeding and volume change tests. In addition, for those passing these tests, the splitting test was conducted after 28 days of curing to check the bonding characteristics.

3.3. Bleeding and Volume Change Test Result

According to the EN1504-5 and EN 445/3.3 requirements for type F injectants, this test was conducted in an environment of 21 °C to evaluate the bleed water (with bleed water <1% of the initial volume in 3 h) and volume change (−1% < volume change < +5% of the initial volume). Excessive bleed water can lead to segregation and plastic shrinkage cracking issues, while large volume changes can cause significant shrinkage, thus leading to cracks, both of which are detrimental in terms of crack repair.
The results in Table 6 demonstrate that the mixes meeting the above requirements included S95C0F5, S75C20F5, S15C80F5 and S0C95F5 with a water-to-binder ratio of 0.4; S95C0F5 and S0C95F5 with a water-to-binder ratio of 0.425; and S95C0F5 and S0C95F5 with a water-to-binder ratio of 0.45, for a total of 8 mixes. Increasing the water-to-binder ratio showed a decreasing trend in volume change, which is estimated to be due to the higher mixing water volume, thus slowing the rate of moisture loss. However, an increase in the water-to-binder ratio led to an increase in bleed water; therefore, to prevent excessive bleed water, a lower water-to-binder ratio is suggested. To reduce the volume change, an appropriate amount of shrinkage inhibitor and/or expansion agent could be added. The bleeding rates for some groups were 0% after 3 h, the cement grout had already hardened. The volume changes were larger for groups with lower bleeding rates, which implied that hydration products had already formed and the volume change due to a smaller volume of hydration products dominated the performance.

3.4. Splitting Tensile Strength Test Result

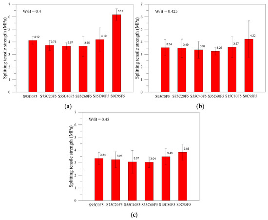
The specimens were cured for 28 days in an environment with 21 ± 2 °C and 60 ± 10% relative humidity. To investigate the bond strength between fine particles in the grout, the splitting tensile strength of the specimens needed to exceed 3 MPa. The results shown in Figure 13 indicate that the splitting tensile strength of all mixes was above 3 MPa, exhibiting a U-shaped trend with increasing Portland cement (type I) content. In the figure, the ‘I’ shape symbol represents the standard deviation.
The lowest splitting tensile strength occurred when the SAC and Portland cement (type I) ratio was close to 50%, due to the mutual influence between the hydration reactions of SAC and Portland cement (type I), leading to a decrease in strength [21]. The highest splitting tensile strength (of 6.17 MPa) was observed for S0C95F5 with a water-to-binder ratio of 0.4. At the water-to-binder ratio of 0.425, three mixes did not reach 3 MPa, while the others ranged from 3- to 4 MPa. The late-strength of SAC was significantly lower than that of Portland cement, which is consistent with previous research findings [18]. RUFA can compensate for this deficiency, as it enhances the bond strength and promotes the pozzolanic reaction, forming C-S-H gel that fills the pore structure and improves strength [23].

3.5. Setting-Time Test Result

The setting time primarily affects the crack repair process. A fast setting time may not provide enough time to repair cracks, while a slow setting time could cause delays in progress. This study investigated the setting time for each mix. The results provided in Table 7 show that, as the SAC content decreased from 95% to 55%, both the initial and final setting times decreased. Meanwhile, when the amount of Portland cement (type I) exceeded 60%, both the initial and final setting times increased. When the ratio of SAC to Portland cement (type I) was similar (i.e., each near 50%), the setting time tended to be the shortest; in contrast, when only the cement material was used, the setting time was too slow (over-retarding effect due to the retarder in conjunction with the workability retention by the superplasticizer). The long setting time may influence the time of servicing involved for the material being repaired. In addition, the U-shape trend for setting time was the same as that for compressive strength. For groups with shorter setting times, although a faster chemical reaction was observed, they did not have higher strengths. This implies that the hydration products for these groups contained larger amounts of products with lower mechanical properties, such as ettringite. Among the mixes that meet the EN1504-5 standards, the initial and final setting times for S75C20F5 with a water-to-binder ratio of 0.4 were more appropriate.

3.6. Compressive Strength Test Result

This study prepared compressive test specimens for each mix, in order to evaluate their mechanical properties at different ages. Mortar specimens were developed using the same fine aggregate obtained using the sieve analysis mentioned in EN 1771, and weight ratio between cementitious materials and fine aggregate was kept constant at 1:2.75. Cube specimens with a 5 cm edge length were cured in an environment with 21 ± 2 °C and 60 ± 10% relative humidity.
The results presented in Figure 14 show that the highest compressive strength at 28 days was obtained for S0C95F5 with a water-to-binder ratio of 0.4, reaching 60 MPa, which is consistent with the results of the splitting tensile strength test. The compressive strengths for the other mixes ranged from 22 MPa to 45 MPa. SAC showed good early strength development but had less-favorable performance in terms of late strength development, with this issue becoming more pronounced with increasing water-to-binder ratio, consistent with previous discussions. At 28 days, it is evident that the compressive strength results for mixes with a combination of SAC and Portland cement (type I) were generally lower than those for the single-component Portland cement (type I) or SAC, with the same trend observed for the splitting tensile strength. According to the literature [21], when SAC is mixed with Portland cement (type I), their reactions interfere with each other, which leads to the substitution of reactions involving the cement clinker C2S and C3S, limiting the formation of C-S-H gel and reducing the strength. It was observed that the data scattered more obviously when the W/B ratio was lower; that is, the influence of the amount of SAC becomes more apparent when the W/B ratio is lower. In addition, the order of compressive strengths at different curing ages shows a slightly different order.
It can be found, for some groups, that the highest compressive strength appeared at the age of 14 days (not the age of 28 day), which is contradictory to common sense. The reason for this derives from the difference in curing conditions. In our study, the curing environment was characterized by a temperature of 21 ± 2 °C and a relative humidity of 60 ± 10%. In the literature, the temperature of the curing environment is commonly selected as 23 ± 2 °C, with the samples immersed in saturated calcium hydroxide solution. The humidity used in our study was low; therefore, the loss of water was significant and the drying shrinkage becomes more apparent, with the formation of microcracks due to the abundant amount of ettringite. The abovementioned explanation is supported by the SEM images of hardened cement mortar and the QXRD results presented in Section 3.9 and Section 3.10, respectively.

3.7. Slant Shear Test Result

A slanted crack was first pressed onto the substrate, and a mix meeting the requirements of EN 1504-5 was used as a cement-based crack injection material to repair the crack, following which slanted shear tests were conducted. A control group was also prepared, using intact substrates without pressed cracks with a compressive strength of 53.8 MPa. Note that the liquid polycarboxylate superplasticizer was used, such that it was taken into account regarding the amount of water in the calculation of W/C.
The results of the slanted shear test are shown in Table 8, which indicate that the compressive strength of crack-repaired substrates using a water-to-binder ratio 0.4 and S95C0F5 and S0C95F5 reached 83–85% of the intact substrate’s strength. Meanwhile, S75C20F5 and S15C80F5 with a water-to-binder ratio 0.4 reached only 35% of the intact substrate’s compressive strength. The other mixes for crack repair showed compressive strengths ranging from 25% to 31% of the intact substrate’s strength. The shear strength of crack-repaired substrates using S95C0F5 and S0C95F5 with a water-to-binder ratio of 0.4 was 23 MPa, while the other mixes exhibited shear strengths between 13 MPa and 19 MPa, with S75C20F5 having the highest shear strength among these mixes. The combination of the cement-based materials resulted in slightly lower repair strength, compared to the use of a single cement-based material. Here, the shear bond strength is defined as the maximum compressive load divided by the slanted area (the surface area of inclined surfaces where the injection grout was applied to glue). If we examine the recovery percentage in compressive strength for groups with W/B = 0.4, it can be found that the recovery percentage for groups S95C0F5 (using SAC and RUFA) and S0C95F5 (using Portland cement (type I) and RUFA) exceeded 80%. This is due to the fact that these two groups performed better in terms of splitting tensile strength as well as compressive, as mentioned previously. In addition, in repairing 0.3 mm wide cracks, the recovery percentage for the S95C0F5 group decreased as the W/B ratio increased. This occurred as the mechanical strength decreased with increasing W/B ratio. When investigating the effect of the W/B ratio on the recovery percentage in compressive strength for group S0C95F5, a puzzling result can be observed; namely, the recovery percentage reached its highest value at W/B = 0.4 and its lowest value at W/B = 0.425, but its second-highest value was at W/B = 0.45. However, the reader should be reminded that this comparison is not meaningful, as the crack width was totally different. For the results of groups at W/B = 0.4 and 0.425, the repaired crack width was 0.3 mm, while that for groups at W/B = 0.45 was 0.1 mm. Although the W/B = 0.45 resulted in a weaker strength, the high injectability of mixtures allowed the injection material to penetrate the crack more easily, consequently resulting in a higher compressive strength recovery percentage.

3.8. Length Change Test Result

The mortar length change test was conducted to investigate the shrinkage behavior of the specimens. Mortar specimens used the same fine aggregate obtained through the sieve analysis mentioned in EN 1771, and the weight ratio between cementitious materials and fine aggregate was kept constant at 1:2.75. Cube specimens with 5 cm edge length were cured in an environment with 21 ± 2 °C and 60 ± 10% relative humidity after demolding.
SAC hydration products have expansive properties, which help to resist the shrinkage of Portland cement (type I) [22]. The results shown in Table 9 indicate that the lowest shrinkage after 28 days occurred in the S75C20F5 mix with a water-to-binder ratio of 0.4, while the highest shrinkage was observed in the S15C80F5 mix with a water-to-binder ratio of 0.4. When the SAC content was below 55%, the shrinkage increased, likely as the hydration reaction of Portland cement (type I) began to dominate, making the shrinkage of Portland cement (type I) greater than the expansion of SAC. In particular, the shrinkage of pure Portland cement (type I) is twice that of pure SAC. This significant difference is also due to the curing environment. In this study, the loss of water was more apparent as an average relative humidity of 60% was used. In this case, aid from the expansion product (ettringite) due to the hydration of SAC may contribute to less shrinkage (evidence for the existence of ettringite in the samples is presented in Section 3.9 and Section 3.10). These results confirm that the addition of SAC helps to reduce shrinkage.

3.9. SEM

The SEM images of mixtures with W/C = 0.4 are illustrated in Figure 15. From these images, one can first observe the existence of ettringite, either in needle or hexagonal prismatic shape. In addition, the unreacted RUFA (with spherical shape) can also be observed. Microcracks can be observed to exist in the S15C80F5 and S35C60F5 group mixtures. From the results of splitting tensile strength, the S35C60F5 group showed the lowest splitting tensile strength, and the micro-scale SEM image supports this result. Of all groups, the S0C95F5 group (using Portland cement (type I) and RUFA) had the highest splitting tensile strength. Through comprehensively examining all the SEM images it can be observed that the S0C95F5 group indeed had the most compact microstructure, thus explaining why this group has the highest splitting strength.
Using energy-dispersive spectroscopy (EDS) to analyze these SEM images, the Ca/Si ratio and Al/Si ratio for each mix were determined. The EDS was performed for areas containing the hydration cement gel, such as CASH and CSH. For a mixture, we selected five areas and averaged the results from these five sampling areas, as listed in Table 10. From this table, one can find that the Al/Si ratio had the lowest value in the S95C0F5 group and increased as the percentage of SAC in the mixture increased. This phenomenon was observed as, with increasing SAC, the amount of Al2O3 in the raw materials increases and more CASH gel results from the hydration of SAC. However, the Ca/Si ratio initially decreased as the percentage of Portland cement (type I) in the mixture decreased from its maximum. Furthermore, once the ratio of Portland cement (type I) to SAC is approximately equal, the Ca/Si ratio tends to increase again with an increasing percentage of SAC. This trend was the same as that observed for the splitting tensile strength. In the previous literature [21], the authors claimed that the U-shaped curve observed in the strength versus amount of SAC graph derives from the new product associated with the mutual chemical interaction between SAC and Portland cement (type I), with this product having worse mechanical properties, thus decreasing the strength.

3.10. X-Ray Diffraction of Hardened Cement Grout

The X-ray diffraction analysis results for the hardened cement grouts (W/C = 0.4) are illustrated in Figure 16.
The main mineral crystals observed included ettringite, yeelimite (calcium sulfoaluminate), anhydrite, calcite, larnite, calcium silicate, dolomite, portlandite, and calcium sulfate. Among these, ettringite was the most abundant hydration product.
In Figure 17a, for the S75C20F5 and S55C40F5 mixtures, a diffraction peak of anhydrite can be observed at around 2θ = 26°, while a calcite peak appears at 2θ = 28°. As the proportion of SAC decreases, the yeelimite peak also diminishes.
In Figure 17b, for the mix proportion S15C80F5, a periclase diffraction peak can be observed at 2θ = 13°. Additionally, for S35C60F5, a dolomite peak appears at 2θ = 33°. With a decrease in the Portland cement (type I) content, the peak intensities of portlandite and calcium silicate significantly reduce. The detailed percentage composition of crystalline minerals for each mixture is shown in Figure 17. Full-spectrum quantitative analysis is performed based on the individual intensity distribution diagram of the measured component ratios and the RIR values. The sample’s spectrum is then compared with the built-in spectrum database to identify its detailed crystalline mineral composition. By analyzing the intensity of the spectrum, the concentration of crystalline mineral components can be proportionally estimated, and their respective ratios can be determined.

4. Conclusions

Based on the experimental results, the comprehensive conclusions are as follows:
A.
The eight mix ratios considered in this study comply with the EN 1504-5 standard. Shown in the comprehensive evaluation of Figure 18, the mix with a water-to-binder ratio of 0.4, WSAC = 75%, WC = 20%, and WRUFA = 5% showed the best engineering performance. For most mixes, the splitting tensile strengths for sand columns were between 3.5 and 4.5 MPa, indicating that their bonding abilities did not significantly differ. Furthermore, the bleeding and volume change tests after 3 h showed those mixes that did not qualify had similar proportions of SAC and Portland cement (type I). When one considers the setting time, some mixes were found to have a very long setting time, which should be avoided. In addition, the length change test indicated that the suggested mix had the best performance. Therefore, considering its combined engineering properties, the mix with a water-to-binder ratio of 0.4, WSAC = 75%, WC = 20%, and WRUFA = 5% is suggested to be the most optimal of those considered in this study.
B.
Fixing the RUFA at WRUFA = 5% provided a dense microstructure, improved workability, and enhanced late-stage strength. The spherical structure effect of the RUFA improved the workability of the injection grout after mixing two different cements with different specific gravities, allowing the mix to meet the conditions of the injection test.
C.
Increasing the weight percentage of SAC improves early strength, increases the viscosity, and yields hydration products, which exhibit expansive properties, thus resisting shrinkage and achieving the desired effect for crack repair.
D.
The major innovation of this study is the determination of adequate mixes for cement-based crack injection materials conforming to EN requirements, which are reported here for the first time to the best of the authors’ knowledge. The combined usage of Portland cement (type I), SAC, and RUFA can have a mutually compensating effect, such that optimal values for many important engineering parameters, including setting time, drying shrinkage, mechanical properties, bleeding, and volume change, can be reached.
E.
The advantages of cement-based injection materials over conventional injection materials (epoxy) are evident in their ability to overcome the shortcomings of the conventional injection materials, such as higher cost, higher thermal expansion coefficient, poor UV resistance, low water vapor permeability, reduced adhesion on moist substrates, strict application requirements, environmental and health concerns, and elasticity and brittleness issues.

Author Contributions

P.-M.C.: Data curation, investigation, methodology, writing—original draft preparation; W.-C.Y.: methodology, project administration, writing—review and editing; R.H.: methodology, supervision; T.-A.C.: formal analysis, investigation; J.-J.C.: supervision, funding acquisition. All authors have read and agreed to the published version of the manuscript.

Funding

This research was funded by National Science and Technology Council, Taiwan No. 110-2221-E-019-018-MY2.

Data Availability Statement

Data can be provided upon request via the email address of the corresponding author.

Acknowledgments

The authors would like to express their thanks to Triaxis Co., Ltd. (Taipei, Taiwan; website: https://en.astray.com.tw/about/8, accessed on 11 March 2025) for their kind supply of the reactive ultra-fine fly ash (RUFA) and SAC. The labor support from C-C. Huang for conducting the experiments is also appreciated.

Conflicts of Interest

Author Tai-An Chen was employed by the company Astray Limited Company. The remaining authors declare that the research was conducted in the absence of any commercial or financial relationships that could be construed as a potential conflict of interest.

References

  1. Golewski, G.L. The Phenomenon of Cracking in Cement Concretes and Reinforced Concrete Structures: The Mechanism of Cracks Formation, Causes of Their Initiation, Types and Places of Occurrence, and Methods of Detection—A Review. Buildings 2023, 13, 765. [Google Scholar] [CrossRef]
  2. EN1504-5: 2013; Products and Systems for the Protection and Repair of Concrete Structures—Definitions, Requirements, Quality Control and Evaluation of Conformity—Part 5: Concrete Injection. CEN/TC 104. 91.080.40—Concrete Structures. CEN: Brussels, Belgium, 2013.
  3. Issa, C.A.; Debs, P. Experimental study of epoxy repairing of cracks in concrete. Constr. Build. Mater. 2007, 21, 157–163. [Google Scholar] [CrossRef]
  4. Ekenel, M.J.; Myers, J. Durability performance of RC beams strengthened with epoxy injection and CFRP fabrics. Constr. Build. Mater. 2007, 21, 1182–1190. [Google Scholar] [CrossRef]
  5. Sun, Y.; He, J.; Ma, L.; Di, S.; Zhang, Y.; Lin, J.; Xing, R. Experimental study on thermal expansion property of epoxy mortar in hydraulic structure repairing. In Proceedings of the 2020 3rd International Conference on Civil, Architecture and Engineering Management, Taiyuan, China, 16–18 October 2020; IOP Conf. Series: Earth and Environmental Science. IOP Publishing: Bristol, UK, 2020; Volume 636, p. 012009. [Google Scholar] [CrossRef]
  6. Ghasemi-Kahrizsangi, A.; Neshati, J.; Shariatpanahi, H.; Akbarinezhad, E. Improving the UV degradation resistance of epoxy coatings using modified carbon black nanoparticles. Prog. Org. Coat. 2015, 85, 199–207. [Google Scholar] [CrossRef]
  7. Zagarnezhad, H.; Asselin, E.; Wong, D.; Lam, C.N.C. A critical review of the time-dependent performance of Polymeric pipeline coatings: Focus on hydration of epoxy-based coatings. Polymers 2021, 13, 1517. [Google Scholar] [CrossRef] [PubMed]
  8. McLeish, A. (Ed.) Underwater Concreting and Repair; Elsevier: Great Britain, UK, 1994; ISBN 0-340-54466-X. [Google Scholar]
  9. Allahvirdizadeh, R.; Rashetnia, R.; Dousti, A.; Shekarchi, M. Patch repair Application of polymer concrete in repair of concrete structures: A literature review. In Concrete Solutions 2011, 1st ed.; CRC Press: Boca Raton, FL, USA, 2012; ISBN 9780429217258. [Google Scholar]
  10. Teng, J.; Yu, X.; Wang, P.; Liu, G.; Cui, L.; Cui, X. Repairing Performance of Polymer-Modified Cement-Based Thin Spray-On Liners on Pre-Cracked Rock-like Specimens. Coatings 2024, 14, 232. [Google Scholar] [CrossRef]
  11. ElGawady, M.; Lestuzzi, P.; Badoux, M. A review of conventional seismic retrofitting techniques for URM. In Proceedings of the 13th International Brick and Block Masonry Conference, Amsterdam, The Netherlands, 4–7 July 2004; Available online: https://www.researchgate.net/publication/312341576_A_review_of_conventional_seismic_retrofitting_techniques_for_URM (accessed on 1 October 2024).
  12. Minoru, K.; Toshiro, K.; Yuichi, U.; Keitetsu, R. Evaluation of bond properties in concrete repair materials. J. Mater. Civ. Eng. 2001, 13, 98–105. [Google Scholar] [CrossRef]
  13. Perret, S.; Khayat, K.H.; Gagnon, E.; Rhazi, J. Repair of 130-Year Old Masonry Bridge using High-Performance Cement Grout. J. Bridge Eng. 2002, 7, 31–38. [Google Scholar] [CrossRef]
  14. Perret, S.; Palardy, D.; Ballivy, G. Rheological behavior and setting time of microfine cement-based grouts. ACI Struct. J. 2000, 97, 472–478. [Google Scholar] [CrossRef]
  15. Khayat, K.H.; Ballivy, G.; Gaudreault, M. High-performance cement grout for underwater crack injection. Can. J. Civ. Eng. 2011, 24, 405–418. [Google Scholar] [CrossRef]
  16. Song, X.; Song, X.; Liu, H.; Huang, H.; Anvarovna, K.G.; Ugli, N.A.D.; Huang, Y.; Hu, J.; Wei, J.; Yu, Q. Cement-Based Repair Materials and the Interface with Concrete Substrates: Characterization, Evaluation and Improvement. Polymers 2022, 14, 1485. [Google Scholar] [CrossRef]
  17. Beril, B.S.; Griffin, I.; Bénédicte, P.B.; Rainer, L. Lime-based injection grouts for the conservation of architectural surfaces. Stud. Conserv. 2009, 54, 3–17. [Google Scholar] [CrossRef]
  18. Zhang, J.; Ye, C.; Tan, H.; Liu, X. Potential application of Portland cement-sulfoaluminate cement system in precast concrete cured under ambient temperature. Constr. Build. Mater. 2020, 251, 118869. [Google Scholar] [CrossRef]
  19. Kim, N.; Seo, J.; Kim, H.; Lee, H.K. Experimental and theoretical studies on the hydration of ordinary portland cement/calcium sulfoaluminate cement blends containing biological admixtures. Cem. Concr. Compos. 2024, 146, 105397. [Google Scholar] [CrossRef]
  20. Huo, Y.; Lu, D.; Han, X.; Hu, S. The role of admixed CaO in a sulphoaluminate cement system under winter environments. J. Build. Eng. 2023, 78, 107638. [Google Scholar] [CrossRef]
  21. Khalil, N.; Aouad, G.; Kleib, J.; Rémond, S. Portland/Sulfoaluminate Cement Blends for the Control of Early Age Hydration and Yield Stress. Buildings 2023, 13, 409. [Google Scholar] [CrossRef]
  22. Pimraksa, K.; Chindaprasirt, P. 14—Sulfoaluminate cement-based concrete. In Eco-Efficient Repair and Rehabilitation of Concrete Infrastructures; Woodheap Publishing Series in Civil and Structural Engineering; Woodhead Publishing: Cambridge, UK, 2018; pp. 355–385. [Google Scholar] [CrossRef]
  23. Lin, W.T. Reactive ultra-fine fly ash as an additive for cement-based materials. Mater. Today Commun. 2020, 25, 101466. [Google Scholar] [CrossRef]
  24. Krishnaraj, L.; Ravichandran, P.T. Characterization of ultra-fine fly ash as sustainable cementitious material for masonry construction. Ain Shams Eng. J. 2021, 12, 259–269. [Google Scholar] [CrossRef]
  25. Maeijer, P.K.; Craeye, B.; Snellings, R.; Hadi, K.K.; Loots, M.; Janssens, K.; Nuyts, G. Effect of ultra-fine fly ash on concrete performance and durability. Constr. Build. Mater. 2020, 263, 120493. [Google Scholar] [CrossRef]
  26. Moghaddam, F.; Sirivivatnanon, V.; Vessalas, K. The effect of fly ash fineness on heat of hydration, microstructure, flow and compressive strength of blended cement pastes. Case Stud. Constr. Mater. 2019, 10, e00218. [Google Scholar] [CrossRef]
  27. Delihowski, J.; Stempkowska, P.W.A.; Jarosz, M. The influence of selected grain size fractions of coal fly ash on properties of clay-cement mortars used for the flood levees construction. Sci. Rep. 2024, 14, 21485. [Google Scholar] [CrossRef]
  28. Filazi, A.; Demir, İ.; Sevim, O. Enhancement on mechanical and durability performances of binary cementitious systems by optimizing particle size distribution of fly ash. Arch. Civ. Mech. Eng. 2020, 20, 58. [Google Scholar] [CrossRef]
  29. ASTM 311-11b; Standard Test Methods for Sampling and Testing Fly Ash or Natural Pozzolans for Use in Portland-Cement Concrete. ASTM International: West Conshohocken, PA, USA, 2021.
  30. Awang, H.; Ahmad, M.H.; Ai-Mulali, M.Z. Influence of kenaf and polypropylene fibers on mechanical and durability properties of fibre reinforced lightweight foamed concrete. J. Eng. Sci. Technol. 2015, 10, 496–508. Available online: https://www.researchgate.net/publication/274845006_Influence_of_kenaf_and_polypropylene_fibres_on_mechanical_and_durability_properties_of_fibre_reinforced_lightweight_foamed_concrete (accessed on 1 October 2024).
  31. Puthipad, N.; Ouchi, M.; Rath, S.; Attachaiyawuth, A. Enhancement in self-compactability and stability in volume of entrained air in self-compacting concrete with high volume fly ash. Constr. Build. Mater. 2016, 128, 349–360. [Google Scholar] [CrossRef]
  32. ASTM C114-18; Standard Test Methods for Chemical Analysis of Hydraulic Cement. ASTM International: West Conshohocken, PA, USA, 2022.
  33. Chen, W.; Ling, X.; Li, Q.; Yuan, B.; Li, B.; Ma, H. Experimental evidence on formation of ulexite in sulfoaluminate cement paste mixed with high concentration borate solution and its retarding effects. Constr. Build. Mater. 2019, 215, 777–785. [Google Scholar] [CrossRef]
  34. Santos, A.A.M.d.; Cordeiro, G.C. Investigation of particle characteristics and enhancing the pozzolanic activity of diatomite by grinding. Mater. Chem. Phys. 2021, 270, 124799. [Google Scholar] [CrossRef]
  35. Shvarzman, A.; Kovler, K.; Grader, G.S.; Shter, G.E. The effect of dihydroxylation/amorphization degree om pozzolanic activity of kaolinite. Cem. Con. Res. 2003, 33, 405–416. [Google Scholar] [CrossRef]
  36. Akhlaghi, O.; Menceloglu, Y.Z.; Akbulut, O. Poly (carboxylate ether)-based superplasticizer achieves workability retention in calcium aluminate cement. Sci. Rep. 2013, 7, 41743. [Google Scholar] [CrossRef]
  37. ASTM C1780-20; Standard Practice for Installation Methods for Cement-based Adhered Masonry Veneer. ASTM International: West Conshohocken, PA, USA, 2023.
  38. EN1504-5: 2004; Products and Systems for the Protection and Repair of Concrete Structures—Definitions, Requirements, Quality Control and Evaluation of Conformity—Part 5: Concrete injection. CEN/TC 104. 91.080.40—Concrete Structures. CEN: Brussels, Belgium, 2004.
  39. EN 1771; Products and Systems for the Protection and Repair of Concrete Structures—Test Methods—Determination of Injectability and Splitting Test. CEN/TC 104. 91.080.40—Concrete Structures. CEN: Brussels, Belgium, 2004.
  40. EN445; Grout for Prestressing Tendons-Test Methods. CEN/TC 104, 91.100.30—Concrete and Concrete Products. CEN: Brussels, Belgium, 2007.
  41. ASTM C496-96; Standard Test Method for Splitting Tensile Strength of Cylindrical Concrete Specimens. ASTM International: West Conshohocken, PA, USA, 2017.
  42. ASTM C1749-17; Standard Guide for Measurement of the Rheological Properties of Hydraulic Cementious Paste Using a Rotational Rheometer. ASTM International: West Conshohocken, PA, USA, 2024.
  43. ASTM C191-21; Standard Test Methods for Time of Setting of Hydraulic Cement by Vicar Needle. ASTM International: West Conshohocken, PA, USA, 2021.
  44. ASTM C109; Standard Test Method for Compressive Strength of Hydraulic Cement Mortars (Using 2-in. or 50-mm Cube Specimens). ASTM International: West Conshohocken, PA, USA, 2020.
  45. EN 12618-3; Products and Systems for the Protection and Repair of Concrete Structures—Test Methods—Part 3: Determination of the Adhesion of Injection Products, with or Without Thermal Cycling—Slant Shear Method. CEN/TC 104. 91.080.40—Concrete Structures. CEN: Brussels, Belgium, 2004.
  46. ASTM C157-75; Standard Test Method for Length Change of Hardened Cement Mortar and Concrete. ASTM International: West Conshohocken, PA, USA, 2017.
  47. ASTM E1508-12a; Standard Guide for Quantitative Analysis by Energy-Dispersive Spectroscopy. ASTM International: West Conshohocken, PA, USA, 2019.
  48. ASTM E3294-22; Standard Guide for Forensic Analysis of Geological Materials by Powder X-Ray Diffraction. ASTM International: West Conshohocken, PA, USA, 2023.
Figure 1. SEM image: RUFA (magnification: 25k).
Figure 1. SEM image: RUFA (magnification: 25k).
Buildings 15 01193 g001
Figure 2. X-ray diffraction pattern: RUFA (showing amorphous structure).
Figure 2. X-ray diffraction pattern: RUFA (showing amorphous structure).
Buildings 15 01193 g002
Figure 3. Laser particle size analysis: (a) Portland cement (type I); (b) SAC; (c) RUFA.
Figure 3. Laser particle size analysis: (a) Portland cement (type I); (b) SAC; (c) RUFA.
Buildings 15 01193 g003
Figure 4. Injection test.
Figure 4. Injection test.
Buildings 15 01193 g004
Figure 5. Schematic diagram of bleeding and volume change test cross-section.
Figure 5. Schematic diagram of bleeding and volume change test cross-section.
Buildings 15 01193 g005
Figure 6. Setting-time test.
Figure 6. Setting-time test.
Buildings 15 01193 g006
Figure 7. Compressive strength test.
Figure 7. Compressive strength test.
Buildings 15 01193 g007
Figure 8. Substrate with fixed crack width.
Figure 8. Substrate with fixed crack width.
Buildings 15 01193 g008
Figure 9. Perform shear test after substrate repair.
Figure 9. Perform shear test after substrate repair.
Buildings 15 01193 g009
Figure 10. Viscosities for groups with W/B = 0.4.
Figure 10. Viscosities for groups with W/B = 0.4.
Buildings 15 01193 g010
Figure 11. Viscosities for groups with W/B = 0.425.
Figure 11. Viscosities for groups with W/B = 0.425.
Buildings 15 01193 g011
Figure 12. Viscosities for groups with W/B = 0.45.
Figure 12. Viscosities for groups with W/B = 0.45.
Buildings 15 01193 g012
Figure 13. Splitting tensile strengths: (a) W/B = 0.4, (b) W/B = 0.425, (c) W/B = 0.45.
Figure 13. Splitting tensile strengths: (a) W/B = 0.4, (b) W/B = 0.425, (c) W/B = 0.45.
Buildings 15 01193 g013
Figure 14. Compressive strengths: (a) W/B = 0.4, (b) W/B = 0.425, (c) W/B = 0.45.
Figure 14. Compressive strengths: (a) W/B = 0.4, (b) W/B = 0.425, (c) W/B = 0.45.
Buildings 15 01193 g014
Figure 15. The SEM photos: (a) S95C0F5 (magnification scale: 2.5k); (b) S75C20F5 (magnification scale: 2.5k); (c) S55C40F5 (magnification scale: 2.5k); (d) S35C60F5 (magnification scale: 2.5k); (e) S15C80F5 (magnification scale: 1.2k); (f) S0C95F5 (magnification scale: 1.2k).
Figure 15. The SEM photos: (a) S95C0F5 (magnification scale: 2.5k); (b) S75C20F5 (magnification scale: 2.5k); (c) S55C40F5 (magnification scale: 2.5k); (d) S35C60F5 (magnification scale: 2.5k); (e) S15C80F5 (magnification scale: 1.2k); (f) S0C95F5 (magnification scale: 1.2k).
Buildings 15 01193 g015
Figure 16. The XRD diagrams: (a) S95C0F5, S75C20F5, and S55C40F5; (b) S35C60F5, S15C80F5, and S0C95F5.
Figure 16. The XRD diagrams: (a) S95C0F5, S75C20F5, and S55C40F5; (b) S35C60F5, S15C80F5, and S0C95F5.
Buildings 15 01193 g016
Figure 17. The mineral crystalline composition: (a) S95C0F5; (b) S75C20F5; (c) S55C40F5; (d) S35C60F5; (e) S15C80F5; (f) S0C95F5.
Figure 17. The mineral crystalline composition: (a) S95C0F5; (b) S75C20F5; (c) S55C40F5; (d) S35C60F5; (e) S15C80F5; (f) S0C95F5.
Buildings 15 01193 g017
Figure 18. The mix ratio that complies with EN 1504-5 standards is presented in the chart with the results of the eight tests.
Figure 18. The mix ratio that complies with EN 1504-5 standards is presented in the chart with the results of the eight tests.
Buildings 15 01193 g018
Table 1. Chemical composition of materials (% by weight).
Table 1. Chemical composition of materials (% by weight).
Type ISACRUFA
SiO220.5611.67951.24
Al2O34.8715.25520.93
Fe2O33.143.0464.5
CaO62.6233.94613.27
MgO3.731.5371.92
SO32.73--
OthersBalancedBalancedBalanced
Table 2. Amounts of raw materials for injection grout mixtures (kg).
Table 2. Amounts of raw materials for injection grout mixtures (kg).
GroupW/BWaterPortland Cement (Type I)RUFASACPCE
Superplasticizer
Retarder
S95C0F50.4100012.5237.52.51.19
S75C20F51005012.5187.52.50.94
S55C40F510010012.5137.52.50.69
S35C60F510015012.587.52.50.44
S15C80F510020012.537.52.50.19
S0C90F5100237.512.502.50
S95C0F50.425100011.76223.532.351.12
S75C20F510047.0611.76176.472.350.88
S55C40F510094.1211.76129.412.350.65
S35C60F5100141.1811.7685.352.350.41
S15C80F5100188.2411.7635.292.350.18
S0C90F5100223.5311.7602.350
S95C0F50.45100011.11211.112.221.06
S75C20F510044.4411.11166.672.220.83
S55C40F510088.8911.11122.222.220.61
S35C60F5100133.3311.1177.782.220.39
S15C80F5100177.7811.1133.332.220.17
S0C90F5100211.1111.1102.220
Table 3. Sieve analysis of fine aggregates.
Table 3. Sieve analysis of fine aggregates.
Sieve No.Individual Retained (%)Cumulative Retained (%)
#400
#800
#163.33.3
#3095.999.2
#500.799.9
#1000.1100
Bottom0100
Table 4. Control concrete mix design (kg/m3).
Table 4. Control concrete mix design (kg/m3).
W/CPortland Cement
(Type I)
WaterFine AggregateCoarse AggregatePCE
Superplasticizer
0.4455173.28668878.8
Table 5. Passing times for injection test.
Table 5. Passing times for injection test.
GroupInjection Test Pass Time (Minutes: Seconds)
W/B 0.4Standard DeviationW/B 0.425Standard DeviationW/B 0.45Standard Deviation
S95C0F507:5000:0207:3800:0507:2000:06
S75C20F506:1000:0106:0800:0305:4200:03
S55C40F506:0600:0306:0100:0403:5300:04
S35C60F506:0000:0205:0000:0603:2300:08
S15C80F505:2000:0404:3900:0102:4100:05
S0C90F504:1000:0303:3500:0402:3500:03
Table 6. Bleeding and volume change (%).
Table 6. Bleeding and volume change (%).
W/BGroupBleedingStandard DeviationVolume ChangeStandard DeviationCompliance
0.4S95C0F50.50.005−0.80.007Y
S75C20F50.30.003−0.50.005Y
S55C40F500−2.470.025N
S35C60F500−1.810.018N
S15C80F50.170.002−0.9950.010Y
S0C95F50.20.001−0.2960.003Y
0.425S95C0F50.8790.009−0.8790.009Y
S75C20F500−1.20.012N
S55C40F500−1.680.017N
S35C60F500−1.6080.016N
S15C80F50.1970.002−1.380.013N
S0C95F50.500.005−0.500.004Y
0.45S95C0F50.90.010−0.90.010Y
S75C20F500−1.60.016N
S55C40F500−1.100.011N
S35C60F500−1.470.015N
S15C80F50.40.004−1.900.020N
S0C95F50.5950.006−0.5950.060Y
Table 7. Setting time (hours: minutes).
Table 7. Setting time (hours: minutes).
W/BGroupInitial SettingStandard DeviationFinal SettingStandard Deviation
0.4S95C0F513:2600:1728:1600:34
S75C20F51:3100:023:5200:05
S55C40F500:3600:011:2200:02
S35C60F500:4300:011:2400:02
S15C80F53:5100:058:1500:10
S0C95F517:2500:2136:2500:43
0.425S95C0F523:4100:2828:2100:34
S75C20F51:4800:024:1700:05
S55C40F500:4100:012:0000:02
S35C60F500:6700:012:0500:02
S15C80F53:5800:0511:1600:13
S0C95F524:2800:2937:5600:45
0.45S95C0F524:0300:2829:3500:35
S75C20F51:5300:024:2900:05
S55C40F51:2400:024:0800:05
S35C60F51:4200:024:1400:05
S15C80F54:1000:0515:4500:19
S0C95F525:1800:3043:5800:53
Table 8. Shear bond strength and compressive strength results.
Table 8. Shear bond strength and compressive strength results.
Compressive Strength and Shear Bond Strength After Crack Repair (MPa)
W/BCrack Width (mm)GroupCompressive Strength (Recovery %)Standard DeviationShear Bond StrengthStandard Deviation
0.40.3S95C0F545.7 (85%)0.923.90.5
0.40.3S75C20F535.6 (66%)0.718.70.4
0.40.3S15C80F534.6 (64%)0.718.10.4
0.40.3S0C95F544.9 (83%)0.923.50.5
0.4250.3S95C0F527.4 (51%)0.514.30.3
0.4250.1S0C95F525.7 (48%)0.513.50.3
0.450.3S95C0F524.79 (46%)0.4130.3
0.450.1S0C95F531 (58%)0.616.30.4
Table 9. Mortar length change.
Table 9. Mortar length change.
W/BGroup Mortar   Length   Change   Chart   ( × 10 6 )
3 DaysStandard Deviation7 DaysStandard Deviation14 DaysStandard Deviation28 DaysStandard Deviation
0.4S95C0F5−3283.3−4368.7−4489.0−4969.9
0.4S75C20F5−1042.1−1583.2−2725.4−3326.6
0.4S15C80F5−149630−190438.1−199639.9−206441.3
0.4S0C95F5−81816−97619.5−115223.0−120424.1
0.425S95C0F5−3807.6−4328.6−4929.8−4969.9
0.425S0C95F5−66413.3−78815.8−83216.6−87617.5
0.45S95C0F5−3687.4−4408.8−4809.6−4869.7
0.45S0C95F5−55611.1−93418.7−105221.0−111222.2
Table 10. The Ca/Si and Al/Si ratios determined via EDS.
Table 10. The Ca/Si and Al/Si ratios determined via EDS.
GroupCa/SiAl/Si
S95C0F51.4171.418
S75C20F52.9851.139
S55C40F52.691.002
S35C60F52.6340.752
S15C80F53.320.713
S0C95F53.4720.212
Disclaimer/Publisher’s Note: The statements, opinions and data contained in all publications are solely those of the individual author(s) and contributor(s) and not of MDPI and/or the editor(s). MDPI and/or the editor(s) disclaim responsibility for any injury to people or property resulting from any ideas, methods, instructions or products referred to in the content.

Share and Cite

MDPI and ACS Style

Chuang, P.-M.; Yeih, W.-C.; Huang, R.; Chen, T.-A.; Chang, J.-J. A Study on Cement-Based Crack Injection Materials Using Reactive Ultra-Fine Fly Ash, Portland Cement (Type I), and Sulfoaluminate Cement. Buildings 2025, 15, 1193. https://doi.org/10.3390/buildings15071193

AMA Style

Chuang P-M, Yeih W-C, Huang R, Chen T-A, Chang J-J. A Study on Cement-Based Crack Injection Materials Using Reactive Ultra-Fine Fly Ash, Portland Cement (Type I), and Sulfoaluminate Cement. Buildings. 2025; 15(7):1193. https://doi.org/10.3390/buildings15071193

Chicago/Turabian Style

Chuang, Pei-Min, Wei-Chung Yeih, Ran Huang, Tai-An Chen, and Jiang-Jhy Chang. 2025. "A Study on Cement-Based Crack Injection Materials Using Reactive Ultra-Fine Fly Ash, Portland Cement (Type I), and Sulfoaluminate Cement" Buildings 15, no. 7: 1193. https://doi.org/10.3390/buildings15071193

APA Style

Chuang, P.-M., Yeih, W.-C., Huang, R., Chen, T.-A., & Chang, J.-J. (2025). A Study on Cement-Based Crack Injection Materials Using Reactive Ultra-Fine Fly Ash, Portland Cement (Type I), and Sulfoaluminate Cement. Buildings, 15(7), 1193. https://doi.org/10.3390/buildings15071193

Note that from the first issue of 2016, this journal uses article numbers instead of page numbers. See further details here.

Article Metrics

Back to TopTop