Pricing Decisions for Recycled Building Materials with Misrepresentation of Information from Social Exchange Theory
Abstract
1. Introduction
2. Literature Review
2.1. CDW Management
2.2. Misrepresentation of Information
2.3. Social Exchange Theory
2.4. Supply Chain Pricing Decisions
3. Methodology
3.1. Research Method
3.2. Model Descriptions
3.3. Assumptions
3.4. Modeling and Solving
3.4.1. Information Symmetry (NL)
3.4.2. Misrepresentation of Information (TL)
4. Model Analysis
- when , is negatively correlated with respect to ;
- when , if , under , is positively correlated with respect to ;
- under , is negatively correlated with respect to ;
- and if , then is negatively correlated with respect to .
5. Numerical Simulation and Discussion
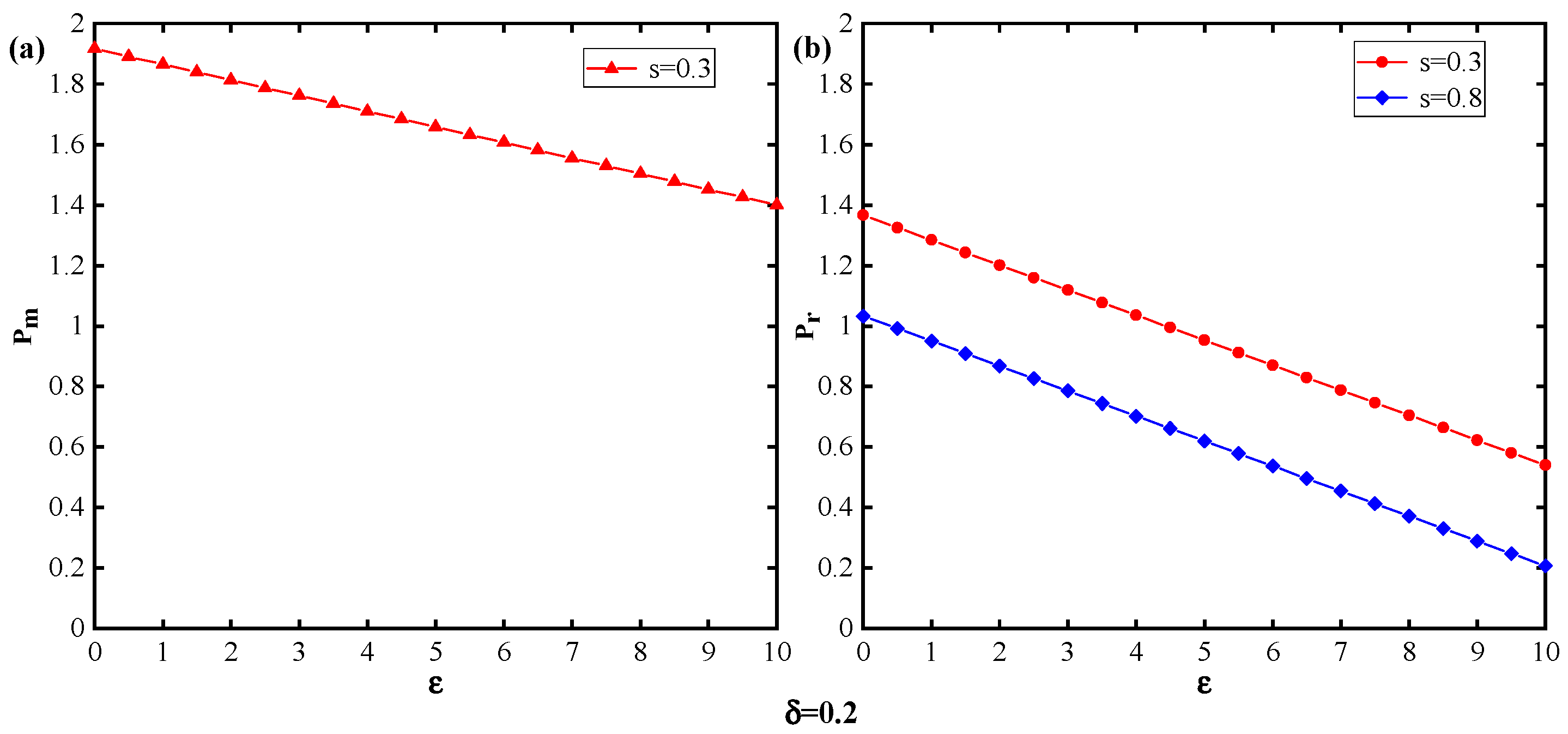
5.1. Impact on the Prices of Building Products and Recycled Building Materials
5.2. Impact on Manufacturers’ Profits
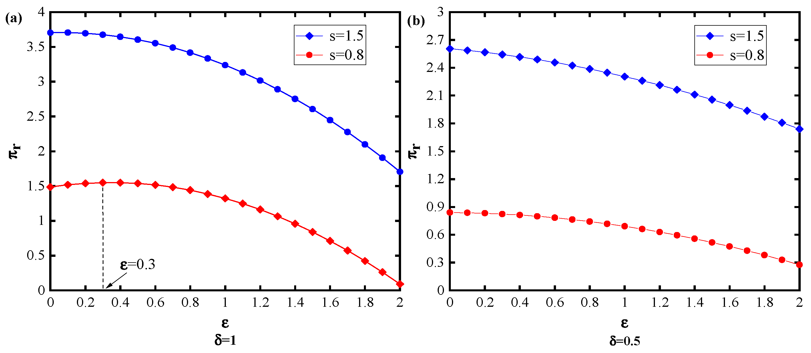
5.3. Impact on Remanufacturers’ Profits
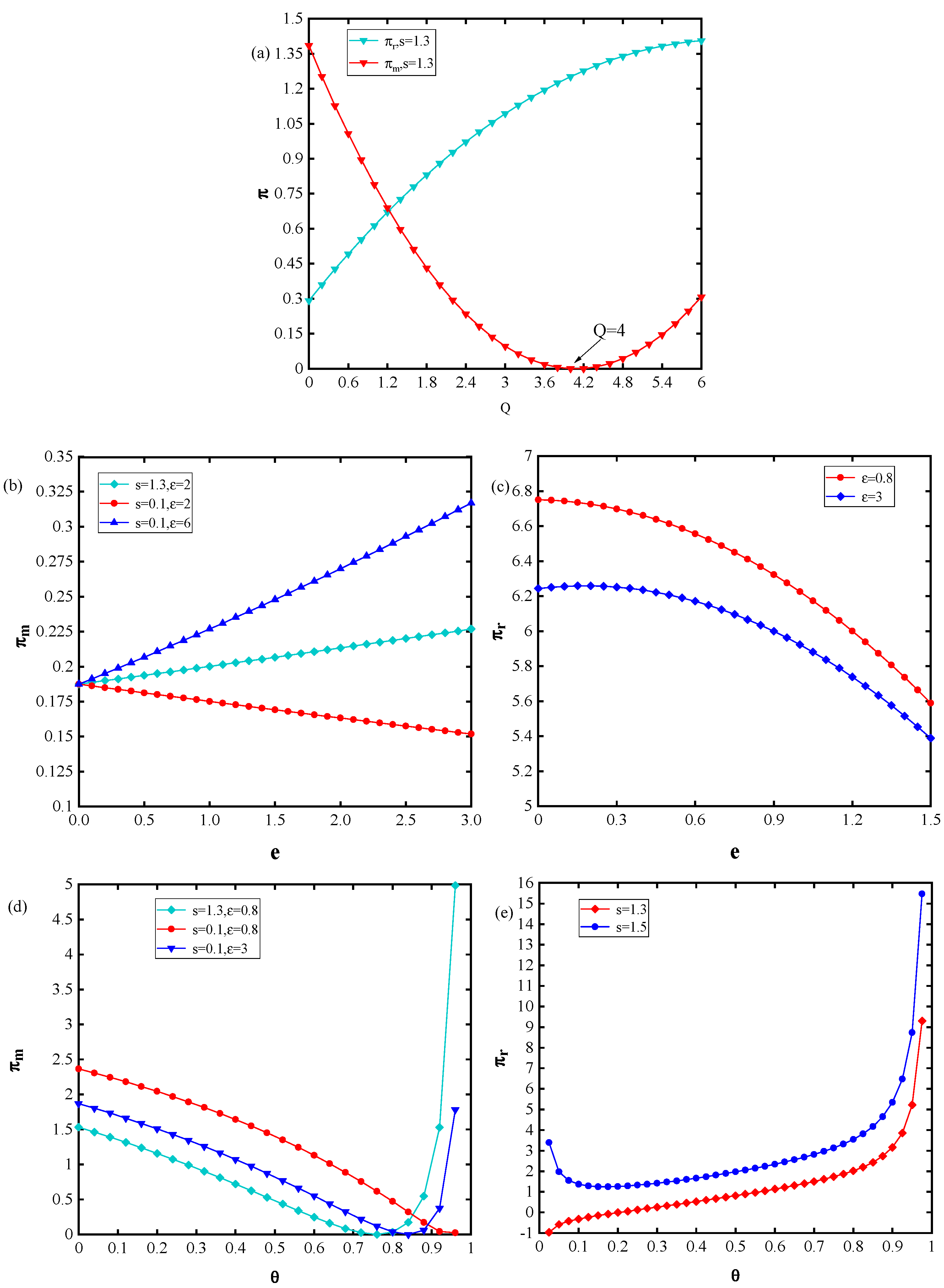
5.4. Sensitivity Analysis
6. Conclusions and Implications
6.1. Conclusions
6.2. Implications
6.3. Limitations
Author Contributions
Funding
Data Availability Statement
Conflicts of Interest
Appendix A
References
- Shooshtarian, S.; Maqsood, T.; Caldera, S.; Ryley, T. Transformation towards a circular economy in the Australian construction and demolition waste management system. Sustain. Prod. Consum. 2022, 30, 89–106. [Google Scholar] [CrossRef]
- Li, X.; Li, J.; Shen, Q. Infection mechanism of greenwashing behavior of construction material enterprises under multi-agent interaction. Dev. Built Environ. 2024, 17, 100321. [Google Scholar] [CrossRef]
- Moschen-Schimek, J.; Kasper, T.; Huber-Humer, M. Critical review of the recovery rates of construction and demo-lition waste in the European Union—An analysis of influencing factors in selected EU countries. Waste Manag. 2023, 167, 150–164. [Google Scholar] [CrossRef] [PubMed]
- Zhao, J.; Wang, C.; Xu, L. Decision for pricing, service, and recycling of closed-loop supply chains considering different remanufacturing roles and technology authorizations. Comput. Ind. Eng. 2019, 132, 59–73. [Google Scholar] [CrossRef]
- Nasir, M.H.A.; Genovese, A.; Acquaye, A.A.; Koh, S.; Yamoah, F. Comparing linear and circular supply chains: A case study from the construction industry. Int. J. Prod. Econ. 2016, 183, 443–457. [Google Scholar] [CrossRef]
- Hjaltadóttir, R.E.; Hild, P. Circular Economy in the building industry European policy and local practices. Eur. Plan. Stud. 2021, 29, 2226–2251. [Google Scholar] [CrossRef]
- Han, Y.; Zheng, H.; Huang, Y.; Li, X. Considering consumers’ green preferences and government subsidies in the decision making of the construction and demolition waste recycling supply chain: A Stackelberg Game approach. Buildings 2022, 12, 832. [Google Scholar] [CrossRef]
- Zheng, L.; Wu, H.; Zhang, H.; Duan, H.; Wang, J.; Jiang, W.; Dong, B.; Liu, G.; Zuo, J.; Song, Q. Characterizing the generation and flows of construction and demolition waste in China. Constr. Build. Mater. 2017, 136, 405–413. [Google Scholar] [CrossRef]
- Liu, J.; Gong, E.; Wang, X. Economic benefits of construction waste recycling enterprises under tax incentive policies. Environ. Sci. Pollut. Res. 2021, 29, 12574–12588. [Google Scholar] [CrossRef]
- Asgari, A.; Ghorbanian, T.; Yousefi, N.; Dadashzadeh, D.; Khalili, F.; Bagheri, A.; Raei, M.; Mahvi, A.H. Quality and quantity of construction and demolition waste in Tehran. J. Environ. Health Sci. Eng. 2017, 15, 14. [Google Scholar] [CrossRef]
- Huang, B.; Wang, X.; Kua, H.; Geng, Y.; Bleischwitz, R.; Ren, J. Construction and demolition waste management in China through the 3R principle. Resour. Conserv. Recycl. 2018, 129, 36–44. [Google Scholar] [CrossRef]
- Ortiz, O.; Pasqualino, J.; Castells, F. Environmental performance of construction waste: Comparing three scenarios from a case study in Catalonia, Spain. Waste Manag. 2010, 30, 646–654. [Google Scholar] [CrossRef]
- Yang, H.; Xia, J.; Thompson, J.R.; Flower, R.J. Urban construction and demolition waste and landfill failure in Shenzhen, China. Waste Manag. 2017, 63, 393–396. [Google Scholar] [CrossRef]
- Ajayi, S.O.; Oyedele, L.O.; Bilal, M.; Akinade, O.O.; Alaka, H.A.; Owolabi, H.A.; Kadiri, K.O. Waste effectiveness of the construction industry: Understanding the impediments and requisites for improvements. Resour. Conserv. Recycl. 2015, 102, 101–112. [Google Scholar] [CrossRef]
- Ajayi, S.O.; Oyedele, L.O. Policy imperatives for diverting construction waste from landfill: Experts’ recommendations for UK policy expansion. J. Clean. Prod. 2017, 147, 57–65. [Google Scholar] [CrossRef]
- Guangzhou City Management Committee (CMC); Guangzhou City Housing and Urban and Rural Construction Committee (GCHURCC); Guangzhou City Bureau of Finance (GCBF). The Tentative Management Measures for Financial Subsidies of Guangzhou City Construction Waste Comprehensive Utilization. 2015. Available online: https://www.gz.gov.cn/gfxwj/sbmgfxwj/gzscsglhzhzfj/content/post_5486460.html (accessed on 15 March 2025).
- Han, X.-H.; Xue, S.-J. Cooperation mechanism analysis for closed-loop supply chain under asymmetric information. Comput. Integr. Manuf. Syst. 2008, 14, 731–743. Available online: https://en.cnki.com.cn/Article_en/CJFDTOTAL-JSJJ200804016.htm (accessed on 15 March 2025).
- Li, X.; Ding, Z. Decision-making mechanisms of greenwashing behaviors of building materials manufacturers: A media disclosure and consumer skepticism perspective. Environ. Technol. Innov. 2024, 35, 103705. [Google Scholar] [CrossRef]
- Zhao, J.; Sun, N. Government subsidies-based profits distribution pattern analysis in closed-loop supply chain using game theory. Neural Comput. Appl. 2019, 32, 1715–1724. [Google Scholar] [CrossRef]
- Shen, L.Y.; Tam, V.W.Y.; Tam, C.M.; Drew, D. Mapping approach for examining waste management on construction sites. J. Constr. Eng. Manag. 2004, 130, 472–481. [Google Scholar] [CrossRef]
- Ding, Z.; Wang, Y.; Zou, P.X. An agent based environmental impact assessment of building demolition waste management: Conventional versus green management. J. Clean. Prod. 2016, 133, 1136–1153. [Google Scholar] [CrossRef]
- Gao, P.; Liu, S.; Zeng, L.; Peng, J.; Wang, Y.; Zhang, H.; Li, X. Leader and employee behavioral decision-making in construction and demolition waste recycling projects under psychological contract theory. Buildings 2024, 14, 2519. [Google Scholar] [CrossRef]
- Yi, B.; Zou, Y.; Chen, W.; Li, Z.; He, Y.; Jin, Z.; Zhang, H.; Li, X. Coevolution mechanism of remanufacturer–construction enterprise–public in construction and demolition waste resource utilization projects under green value co-creation. Buildings 2024, 14, 2214. [Google Scholar] [CrossRef]
- Liu, Y.; Hao, J.; Li, C.; Li, Y.; Zhou, C.; Zheng, H.; Xu, S.; Chen, W.; Li, X. How can construction and demolition waste recycling public–private partnership projects performance compensate during the operation period? A two-stage perspective of recycling and remanufacturing. Systems 2023, 11, 170. [Google Scholar] [CrossRef]
- Coronado, M.; Dosal, E.; Coz, A.; Viguri, J.R.; Andrés, A. Estimation of construction and demolition waste (C&DW) generation and multicriteria analysis of C&DW management alternatives: A case study in Spain. Waste Biomass Valorization 2011, 2, 209–225. [Google Scholar] [CrossRef]
- Li, D.; Peng, Y.; Guo, C.; Tan, R. Pricing strategy of construction and demolition waste considering retailer fairness concerns under a governmental regulation environment. Int. J. Environ. Res. Public Health 2019, 16, 3896. [Google Scholar] [CrossRef]
- Xu, W.; Zhang, Z.; Gong, D. Cooperative supply chain management under asymmetric information. J. Appl. Res. Technol. 2014, 12, 182–191. [Google Scholar] [CrossRef]
- Cachon, G.P.; Lariviere, M.A. Contracting to assure supply: How to share demand forecasts in a supply chain. Manag. Sci. 2001, 47, 629–646. [Google Scholar] [CrossRef]
- Wu, K.; Liu, M.; Xu, M. Misreporting strategies and coordination with supplier’s carbon emission reduction investment under different market powers. J. Syst. Manag. 2020, 29, 782. [Google Scholar]
- Zhao, S.; Mao, R. Contract design for a closed-loop supply chain considering information asymmetry of remanufacturing process innovation. Kybernetes 2023, 53, 3019–3040. [Google Scholar] [CrossRef]
- Chen, Z.; Huang, L. Digital twins for information-sharing in remanufacturing supply chain: A review. Energy 2021, 220, 119712. [Google Scholar] [CrossRef]
- Zhao, Y.; Zhou, H.; Wang, Y. Outsourcing remanufacturing and collecting strategies analysis with information asymmetry. Comput. Ind. Eng. 2021, 160, 107561. [Google Scholar] [CrossRef]
- Ahmad, R.; Nawaz, M.R.; Ishaq, M.I.; Khan, M.M.; Ashraf, H.A. Social exchange theory: Systematic review and future directions. Front. Psychol. 2023, 13, 1015921. [Google Scholar] [CrossRef]
- Foa, U.G.; Foa, E.B. Societal Structures of the Mind; Charles C Thomas: Springfield, IL, USA, 1974. [Google Scholar]
- Cook, K.S.; Cheshire, C.; Rice, E.R.W.; Nakagawa, S. Social exchange theory. In Handbooks of Sociology and Social Research; Springer: Dordrecht, The Netherlands, 2013; pp. 61–88. [Google Scholar] [CrossRef]
- Cropanzano, R.; Anthony, E.L.; Daniels, S.R.; Hall, A.V. Social exchange theory: A critical review with theoretical remedies. Acad. Manag. Ann. 2017, 11, 479–516. [Google Scholar] [CrossRef]
- Cropanzano, R.; Mitchell, M.S. Social exchange theory: An interdisciplinary review. J. Manag. 2005, 31, 874–900. [Google Scholar] [CrossRef]
- Church, M.; Thambusamy, R.; Nemati, H. User misrepresentation in online social networks: How competition and altruism impact online disclosure behaviours. Behav. Inf. Technol. 2019, 39, 1320–1340. [Google Scholar] [CrossRef]
- Li, P.; Rao, C.; Goh, M.; Yang, Z. Pricing strategies and profit coordination under a double echelon green supply chain. J. Clean. Prod. 2020, 278, 123694. [Google Scholar] [CrossRef]
- Chen, J.; Zhou, Y.; Zhong, Y. A pricing/ordering model for a dyadic supply chain with buyback guarantee financing and fairness concerns. Int. J. Prod. Res. 2017, 55, 5287–5304. [Google Scholar] [CrossRef]
- Barman, A.; De, P.K.; Chakraborty, A.K.; Lim, C.P.; Das, R. Optimal pricing policy in a three-layer dual-channel supply chain under government subsidy in green manufacturing. Math. Comput. Simul. 2022, 204, 401–429. [Google Scholar] [CrossRef]
- Zhang, X.; Xu, Y.; Chen, X.; Liang, J. Pricing decision models of manufacturer-led dual-channel supply chain with free-rider problem. Sustainability 2023, 15, 4087. [Google Scholar] [CrossRef]
- Wang, S.; Liu, L.; Wen, J.; Wang, G. Product pricing and green decision-making considering consumers’ multiple preferences under chain-to-chain competition. Kybernetes 2022, 53, 152–187. [Google Scholar] [CrossRef]
- Guo, H.; Liu, Z.; Hu, B.; Lin, H.; Shi, L.; Meng, C. Pricing and coordination mechanism of supply chain considering product recycling under asymmetric power. Math. Probl. Eng. 2021, 2021, 5579655. [Google Scholar] [CrossRef]
- Meng, Q.; Li, M.; Liu, W.; Li, Z.; Zhang, J. Pricing policies of dual-channel green supply chain: Considering government subsidies and consumers’ dual preferences. Sustain. Prod. Consum. 2021, 26, 1021–1030. [Google Scholar] [CrossRef]
- Zhang, Y.; Zhang, W. Optimal pricing and greening decisions in a supply chain when considering market segmentation. Ann. Oper. Res. 2022, 324, 93–130. [Google Scholar] [CrossRef]
- Peng, J.; Zou, Y.; Zhang, H.; Zeng, L.; Wang, Y.; Li, X. Pricing decision-making considering ambiguity tolerance in consumers: Evidence from recycled building material enterprises. Systems 2025, 13, 98. [Google Scholar] [CrossRef]
- Savaskan, R.C.; Bhattacharya, S.; Van Wassenhove, L.N. Closed-loop supply chain models with product remanufacturing. Manag. Sci. 2004, 50, 239–252. [Google Scholar] [CrossRef]
- Maiti, T.; Giri, B. A closed loop supply chain under retail price and product quality dependent demand. J. Manuf. Syst. 2015, 37, 624–637. [Google Scholar] [CrossRef]
- Zhang, H.; Chen, W.; Peng, J.; Wang, Y.; Zeng, L.; Gao, P.; Zhu, X.; Li, X. Pricing decisions in construction and demolition waste recycling supply chains under carbon tax scenarios. Systems 2024, 12, 35. [Google Scholar] [CrossRef]
- Zhao, L.; Chang, J.; Du, J. Dynamics analysis on competition between manufacturing and remanufacturing in context of government subsidies. Chaos Solitons Fractals/Chaos Solitons Fractals 2019, 121, 119–128. [Google Scholar] [CrossRef]
- Doerner, K.; Focke, A.; Gutjahr, W.J. Multicriteria tour planning for mobile healthcare facilities in a developing country. Eur. J. Oper. Res. 2007, 179, 1078–1096. [Google Scholar] [CrossRef]
- Ding, B.; Zhu, Y. Impact of information misreporting on decision-making of remanufacturing closed-loop supply chain. J. Shandong Univ. (Nat. Sci.) 2023, 58, 84–100. Available online: https://link.cnki.net/urlid/37.1389.N.20230516.1709.014 (accessed on 15 March 2025).
- He, P.; He, Y.; Xu, H. Channel structure and pricing in a dual-channel closed-loop supply chain with government subsidy. Int. J. Prod. Econ. 2019, 213, 108–123. [Google Scholar] [CrossRef]
- Zhu, X.; Ren, M.; Chu, W.; Chiong, R. Remanufacturing subsidy or carbon regulation? An alternative toward sustainable production. J. Clean. Prod. 2019, 239, 117988. [Google Scholar] [CrossRef]
- He, Z.; Zhang, T.; Yang, X. A study on the pricing decision of remanufacturing products considering government subsidies in a carbon trading environment. Math. Probl. Eng. 2022, 2022, 1849404. [Google Scholar] [CrossRef]
- Zhang, L.; Zhang, Z. Complex effects of cooperative behavior on authorized remanufacturing supply chain decisions under subsidies. PLoS ONE 2023, 18, e0291940. [Google Scholar] [CrossRef]
- Wan, X.; Yang, D.; Wang, T.; Deveci, M. Closed-loop supply chain decision considering information reliability and security: Should the supply chain adopt federated learning decision support systems? Ann. Oper. Res. 2023. [Google Scholar] [CrossRef]





| Research Topics | Dimensions | Sources |
|---|---|---|
| CDW management | Importance of CDW management | [20,21] |
| CDW management is influenced by business, the public, and government | [22,23,24] | |
| Developed and applied a two-step methodology for CDW quantification and management analysis | [25] | |
| Analyze the best government policies based on the remanufacturing capacity of CDW recycling units | [26] | |
| Misrepresentation of information | Information is one of the main factors determining the competitiveness of enterprises | [27,28] |
| Firms misrepresenting or withholding information based on their own profits | [29] | |
| Information asymmetry undermines supply chain profitability and efficiency | [30,31] | |
| Digital twin technology facilitates the problem of misrepresentation of information | [31] | |
| Optimal decision making based on remanufacturing outsourcers’ misrepresentation of information | [32] | |
| Social exchange theory | The usefulness of social exchange theory is a typical social transaction | [33] |
| The value of the results of social exchanges depends on the subjective feelings of the parties concerned | [34] | |
| The party exchanges with others under the expectation of receiving a return | [35] | |
| There are positive and negative behaviors in social exchange | [36,37,38] | |
| Supply chain pricing decisions | Impact of pricing decisions on profit and coordination strategies of supply chain members | [39] |
| Preferences of supply chain members in pricing strategies | [39,40] | |
| Influence mechanisms of supply chain members in pricing strategies | [41,42,43,44] |
| Parameter | Description | Unit | Source Papers |
|---|---|---|---|
| Unit market price of building material products | USD/t | [47] | |
| Unit market price of recycled building material products | USD/t | [47] | |
| Recycling efforts | 1 | [48] | |
| Unit cost of building products | USD/t | [49] | |
| Unit cost of recycled building material products | USD/t | [49] | |
| Market demand for building products | t | [50] | |
| Market demand for recycled building products | t | [50] | |
| Recovery effort cost factor | 1 | [48] | |
| Recovery effort elasticity coefficient | 1 | [22] | |
| Initial recovery mass when no recovery effort is invested | 1 | [26] | |
| Remanufacturing process level | 1 | [24] | |
| Remanufacturing process misrepresentation factor () | 1 | [17] | |
| Amount of government subsidy for unit remanufactured products () | USD/t | [51] | |
| Total market size | hundred billion dollars | [24] | |
| Ratio of consumer perceived value of recycled building materials to new products () | 1 | [47] |
Disclaimer/Publisher’s Note: The statements, opinions and data contained in all publications are solely those of the individual author(s) and contributor(s) and not of MDPI and/or the editor(s). MDPI and/or the editor(s) disclaim responsibility for any injury to people or property resulting from any ideas, methods, instructions or products referred to in the content. |
© 2025 by the authors. Licensee MDPI, Basel, Switzerland. This article is an open access article distributed under the terms and conditions of the Creative Commons Attribution (CC BY) license (https://creativecommons.org/licenses/by/4.0/).
Share and Cite
Zeng, L.; Ding, Z.; Wang, Y.; Peng, J.; Zhang, H.; Li, X. Pricing Decisions for Recycled Building Materials with Misrepresentation of Information from Social Exchange Theory. Buildings 2025, 15, 967. https://doi.org/10.3390/buildings15060967
Zeng L, Ding Z, Wang Y, Peng J, Zhang H, Li X. Pricing Decisions for Recycled Building Materials with Misrepresentation of Information from Social Exchange Theory. Buildings. 2025; 15(6):967. https://doi.org/10.3390/buildings15060967
Chicago/Turabian StyleZeng, Lianghui, Zuoyi Ding, Yuhan Wang, Jie Peng, Hao Zhang, and Xingwei Li. 2025. "Pricing Decisions for Recycled Building Materials with Misrepresentation of Information from Social Exchange Theory" Buildings 15, no. 6: 967. https://doi.org/10.3390/buildings15060967
APA StyleZeng, L., Ding, Z., Wang, Y., Peng, J., Zhang, H., & Li, X. (2025). Pricing Decisions for Recycled Building Materials with Misrepresentation of Information from Social Exchange Theory. Buildings, 15(6), 967. https://doi.org/10.3390/buildings15060967

