A Quantitative Monitoring Study of Environmental Factors Activating Caihua and Wooden Heritage Cracks in the Palace Museum, Beijing, China
Abstract
1. Introduction
2. Materials and Methods
2.1. Monitoring Target
2.2. Camera Relocation
2.3. Image Registration and Crack Quantification
2.4. Environment Monitoring
2.5. Numerical Simulations
3. Results
3.1. Crack Activity
3.2. Correlation Between Monitored Variables and Crack Width
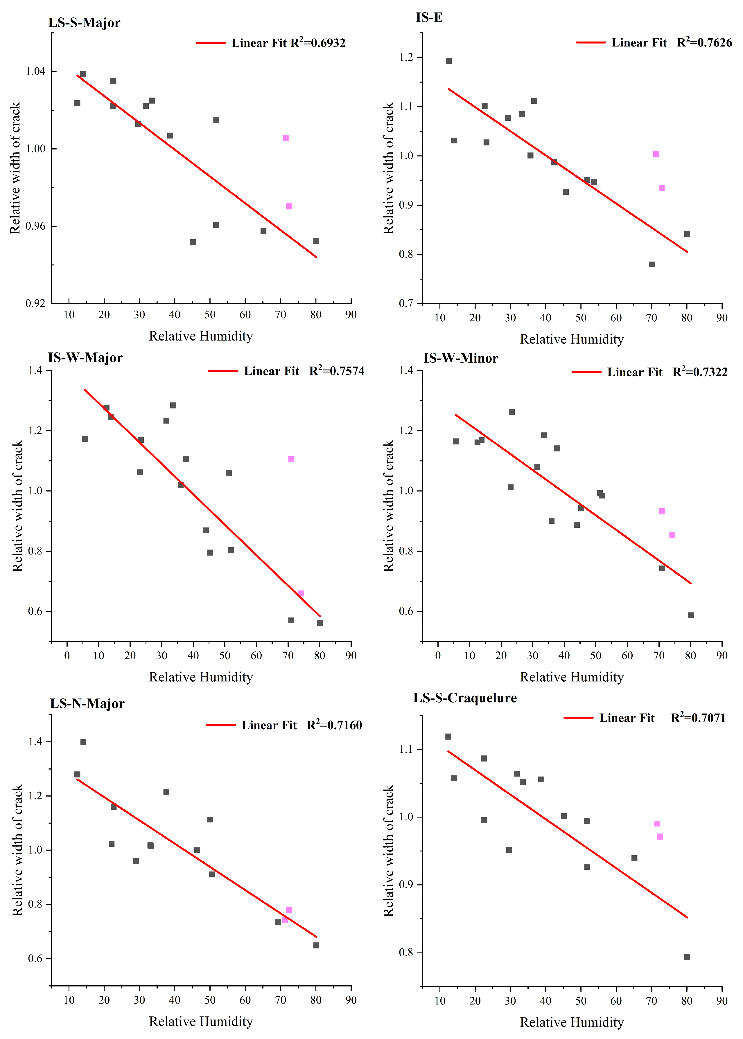
3.3. Linear Fitting of Humidity and Relative Crack Width
4. Discussion
4.1. Simulation of Crack Width Variation
4.2. Indicators for Timber Degradation
5. Conclusions
Supplementary Materials
Author Contributions
Funding
Data Availability Statement
Acknowledgments
Conflicts of Interest
References
- Fu, P.; Teri, G.; Li, J.; Huo, Y.; Yang, H.; Li, Y. Analysis of an Ancient Architectural Painting from the Jiangxue Palace in the Imperial Museum, Beijing, China. Anal. Lett. 2021, 54, 684–697. [Google Scholar] [CrossRef]
- Qin, P.F.; Yi, D.Q.; Meng, Q.; Sun, A.J.; Sun, J.Q.; Zhang, Z.J.; Hao, J.W. Study and Restoration of the Yi Ma Wu Hui Layer of the Ancient Coating on the Putuo Zongcheng Temple. Int. J. Archit. Herit. 2020, 15, 1707–1721. [Google Scholar]
- Bratasz, L.; Akoglu, K.G.; Kekicheff, P. Fracture saturation in paintings makes them less vulnerable to environmental variations in museums. Herit. Sci. 2020, 8, 58. [Google Scholar] [CrossRef]
- Chen, M.; Zhao, B.; Zhao, H.; Jiang, Q.; Zhou, Q.; Tong, H. Character-Defining Elements Comparison and Heritage Regeneration for the Former Command Posts of the Jinan Campaign—A Case of Chinese Rural Revolutionary Heritage. Buildings 2023, 13, 1923. [Google Scholar] [CrossRef]
- Wu, Y.; Li, Q.; Tong, H.; He, Z.; Qu, J.; Zhang, B. Monitoring the Deterioration of Masonry Relics at a UNESCO World Heritage Site. KSCE J. Civ. Eng. 2021, 25, 3097–3106. [Google Scholar] [CrossRef]
- Rossi, M.; Bournas, D. Structural Health Monitoring and Management of Cultural Heritage Structures: A State-of-the-Art Review. Appl. Sci. 2023, 13, 6450. [Google Scholar] [CrossRef]
- Armesto, J.; Arias, P.; Roca, J.; Lorenzo, H. Monitoring and assessing structural damage in historic buildings. Photogramm. Rec. 2008, 23, 36–50. [Google Scholar] [CrossRef]
- van Dijk, N.P.; Gamstedt, E.K.; Bjurhager, I. Monitoring archaeological wooden structures: Non-contact measurement systems and interpretation as average strain fields. J. Cult. Herit. 2016, 17, 102–113. [Google Scholar] [CrossRef]
- Mi, X.C.; Meng, X.J.; Yang, Q.S.; Li, T.Y.; Wang, J.P. Analysis of the Residual Deformation of Yingxian Wood Pagoda. Adv. Civ. Eng. 2020, 2020, 2341375. [Google Scholar] [CrossRef]
- Yang, N.; Li, T.; Zhao, G. Health assessment of Tibetan ancient wood structures based on the predicted value of strain monitoring data. Eng. Mech. 2023, 40, 112. [Google Scholar]
- Alarcon, M.; Soto, P.; Hernandez, F.; Guindos, P. Structural health monitoring of South America’s first 6-Story experimental light-frame timber-building by using a low-cost RaspberryShake seismic instrumentation. Eng. Struct. 2023, 275, 115278. [Google Scholar] [CrossRef]
- Giovanna, P.; Simone, M.; Davide, C.; Annamaria, B. Evaluation of Natural Stone Weathering in Heritage Building by Infrared Thermography. Heritage 2022, 5, 2594–2614. [Google Scholar] [CrossRef]
- Barbero-Alvarez, M.A.; Menendez, J.M.; Rodrigo, J.A.; Ramirez-Barat, B.; Cano, E. Assessment of the Robustness of a Color Monitoring Chart Calibration Method for Crowdsourcing-Based Preventive Conservation. Appl. Sci. 2021, 11, 10067. [Google Scholar] [CrossRef]
- Ma, J.; Yan, W.; Liu, G.; Xing, S.; Niu, S.; Wei, T. Complex Texture Contour Feature Extraction of Cracks in Timber Structures of Ancient Architecture Based on YOLO Algorithm. Adv. Civ. Eng. 2022, 2022, 7879302. [Google Scholar] [CrossRef]
- Yuan, Q.; He, X.; Han, X.; Guo, H. Automatic recognition of craquelure and paint loss on polychrome paintings of the Palace Museum using improved U-Net. Herit. Sci. 2023, 11, 65. [Google Scholar] [CrossRef]
- Mishra, M. Machine learning techniques for structural health monitoring of heritage buildings: A state-of-the-art review and case studies. J. Cult. Herit. 2021, 47, 227–245. [Google Scholar] [CrossRef]
- Kato, S.; Wada, N.; Shiogai, K.; Tamaki, T.; Kagawa, T.; Toyosaki, R.; Nobuhara, H. Crack Severity Classification from Timber Cross-Sectional Images Using Convolutional Neural Network. Appl. Sci. 2023, 13, 1280. [Google Scholar] [CrossRef]
- Zheng, L. A Study on the Architectural Evolution of Zone 1 in Wenhua Palace Area; The Second Academic Symposium of the Chinese Forbidden City Society: Beijing, China, 1997; pp. 89–98. (In Chinese) [Google Scholar]
- Wang, C. Discussion on the Well Pavilion in the Forbidden City. Shanxi Archit. 2015, 41, 7–9. (In Chinese) [Google Scholar]
- Yue, Q. Change Detection of outdoor Cultural Relics: Method and System. Master’s Thesis, Tianjin University, Tianjin, China, 2016. [Google Scholar]
- Tang, C.; Shi, B.; Liu, C.; Zhao, L.; Wang, B. Influencing factors of geometrical structure of surface shrinkage cracks in clayey soils. Eng. Geol. 2008, 101, 204–217. [Google Scholar] [CrossRef]
- Nopens, M.; Riegler, M.; Hansmann, C.; Krause, A. Simultaneous change of wood mass and dimension caused by moisture dynamics. Sci. Rep. 2019, 9, 10309. [Google Scholar] [CrossRef]
- Cunningham, M.J.; Keey, R.; Kerdemelidis, C. Isothermal moisture transfer coefficients in Pinus radiata above the fiber-saturation point, using the moment method. Wood Fiber Sci. 1989, 21, 112–122. [Google Scholar]
- Perkowski, Z.; Swirska-Perkowska, J.; Gajda, M. Comparison of moisture diffusion coefficients for pine, oak and linden wood. J. Build. Phys. 2017, 41, 135–161. [Google Scholar] [CrossRef]
- Han, L.; Xi, G.; Dai, W.; Zhou, Q.; Sun, S.; Han, X.; Guo, H. Influence of Natural Aging on the Moisture Sorption Behaviour of Wooden Structural Components. Molecules 2023, 28, 1946. [Google Scholar] [CrossRef] [PubMed]





| Parameter I | RH | RWn of Major Crack | RWn of Minor Crack/Craquelure | |||||||
|---|---|---|---|---|---|---|---|---|---|---|
| Parameter II | MC | Tair | Tair | RH | MC | Tair | RH | MC | RWn of Major Crack | |
| IS-E | Correlation Coefficient | 0.571 * | 0.333 | −0.317 | −0.617 ** | −0.429 | \ | \ | \ | \ |
| Significance | 0.048 | 0.072 | 0.087 | 0.001 | 0.138 | \ | \ | \ | \ | |
| N | 8 | 16 | 16 | 16 | 8 | \ | \ | \ | \ | |
| IS-W | Correlation Coefficient | 0.704 ** | 0.362 * | −0.324 | −0.627 ** | −0.611 * | −0.250 | −0.613 ** | −0.667 * | 0.750 ** |
| Significance | 0.009 | 0.043 | 0.070 | <0.001 | 0.022 | 0.161 | <0.001 | 0.012 | <0.001 | |
| N | 9 | 17 | 17 | 17 | 9 | 17 | 17 | 9 | 17 | |
| LS-S | Correlation Coefficient | 0.733 * | 0.364 | −0.402 * | −0.581 ** | −0.733 ** | −0.110 | −0.543 ** | −0.333 | 0.505 ** |
| Significance | 0.039 | 0.060 | 0.037 | 0.003 | 0.039 | 0.584 | 0.005 | 0.348 | 0.009 | |
| N | 6 | 15 | 15 | 15 | 6 | 14 | 15 | 6 | 15 | |
| LS-N | Correlation Coefficient | 0.689 ** | 0.295 | −0.067 | −0.657 ** | −0.511 * | 0.143 | 0.143 | −0.222 | −0.276 |
| Significance | 0.006 | 0.125 | 0.729 | <0.001 | 0.040 | 0.477 | 0.477 | 0.404 | 0.444 | |
| N | 10 | 15 | 15 | 15 | 10 | 14 | 14 | 9 | 6 | |
| Linear Fit R2 | |||
|---|---|---|---|
| Data in June | Included | Excluded | |
| Crack | LS-S-Major | 0.5797 | 0.6932 |
| IS-E | 0.6344 | 0.7626 | |
| IS-W-Major | 0.6311 | 0.7574 | |
| IS-W-Minor | 0.6907 | 0.7322 | |
| LS-N-Major | 0.7730 | 0.7160 | |
| Craquelure | LS-S-Craquelure | 0.5871 | 0.7071 |
| Fitting Parameter | Sigmoid p | Linear b (10−3) | Degradation Degree of the Beam | |
|---|---|---|---|---|
| Crack | LS-S-Major | 5.468 | −1.39 | Low |
| IS-E | 4.987 | −4.89 | Relatively low | |
| IS-W-Major | 4.536 | −10.11 | Relatively high | |
| IS-W-Minor | 1.973 | −7.52 | ||
| LS-N-Major | 0.895 | −8.58 | High | |
| Craquelure | LS-S-Craquelure | 2.308 | −3.62 | \ |
Disclaimer/Publisher’s Note: The statements, opinions and data contained in all publications are solely those of the individual author(s) and contributor(s) and not of MDPI and/or the editor(s). MDPI and/or the editor(s) disclaim responsibility for any injury to people or property resulting from any ideas, methods, instructions or products referred to in the content. |
© 2025 by the authors. Licensee MDPI, Basel, Switzerland. This article is an open access article distributed under the terms and conditions of the Creative Commons Attribution (CC BY) license (https://creativecommons.org/licenses/by/4.0/).
Share and Cite
He, X.; Li, H.; Liu, Y.; Wu, B.; Cai, M.; Han, X.; Guo, H. A Quantitative Monitoring Study of Environmental Factors Activating Caihua and Wooden Heritage Cracks in the Palace Museum, Beijing, China. Buildings 2025, 15, 827. https://doi.org/10.3390/buildings15050827
He X, Li H, Liu Y, Wu B, Cai M, Han X, Guo H. A Quantitative Monitoring Study of Environmental Factors Activating Caihua and Wooden Heritage Cracks in the Palace Museum, Beijing, China. Buildings. 2025; 15(5):827. https://doi.org/10.3390/buildings15050827
Chicago/Turabian StyleHe, Xiang, Hong Li, Yilun Liu, Binhao Wu, Mengmeng Cai, Xiangna Han, and Hong Guo. 2025. "A Quantitative Monitoring Study of Environmental Factors Activating Caihua and Wooden Heritage Cracks in the Palace Museum, Beijing, China" Buildings 15, no. 5: 827. https://doi.org/10.3390/buildings15050827
APA StyleHe, X., Li, H., Liu, Y., Wu, B., Cai, M., Han, X., & Guo, H. (2025). A Quantitative Monitoring Study of Environmental Factors Activating Caihua and Wooden Heritage Cracks in the Palace Museum, Beijing, China. Buildings, 15(5), 827. https://doi.org/10.3390/buildings15050827

