Efficiency of Stochastic Finite Element Random Fields and Variables to Predict Shear Strength of Fiber-Reinforced Concrete Beams Without Stirrups
Abstract
1. Introduction
2. Context and Paper Objectives
3. Experimental Evaluation of Shear Strength of RC Beams Without Stirrups
3.1. Concrete Materials and Mechanical Properties
3.2. Shear Strength Properties of RC Beams
4. Deterministic FE Model Results
4.1. Description of the Model
4.2. Field Damage Distribution
4.3. The Load-Deflection Curves
5. Stochastic FE Model Results
- ⁻
 - Random fields (RF), involving the discretized random values at different locations of the considered spatial domain, guided by the specified statistical properties and autocorrelation input (i.e., functions and lengths). The effect of the uncertainty on the quantities of interest (i.e., critical stress, threshold displacement, probability of failure, etc.) is assessed by means of an adequate uncertainty propagation method, such as the well-known Monte Carlo simulation [38,59,60,61].
 - ⁻
 
5.1. Uncertainties of Stochastic Modeling Based on RF Generation
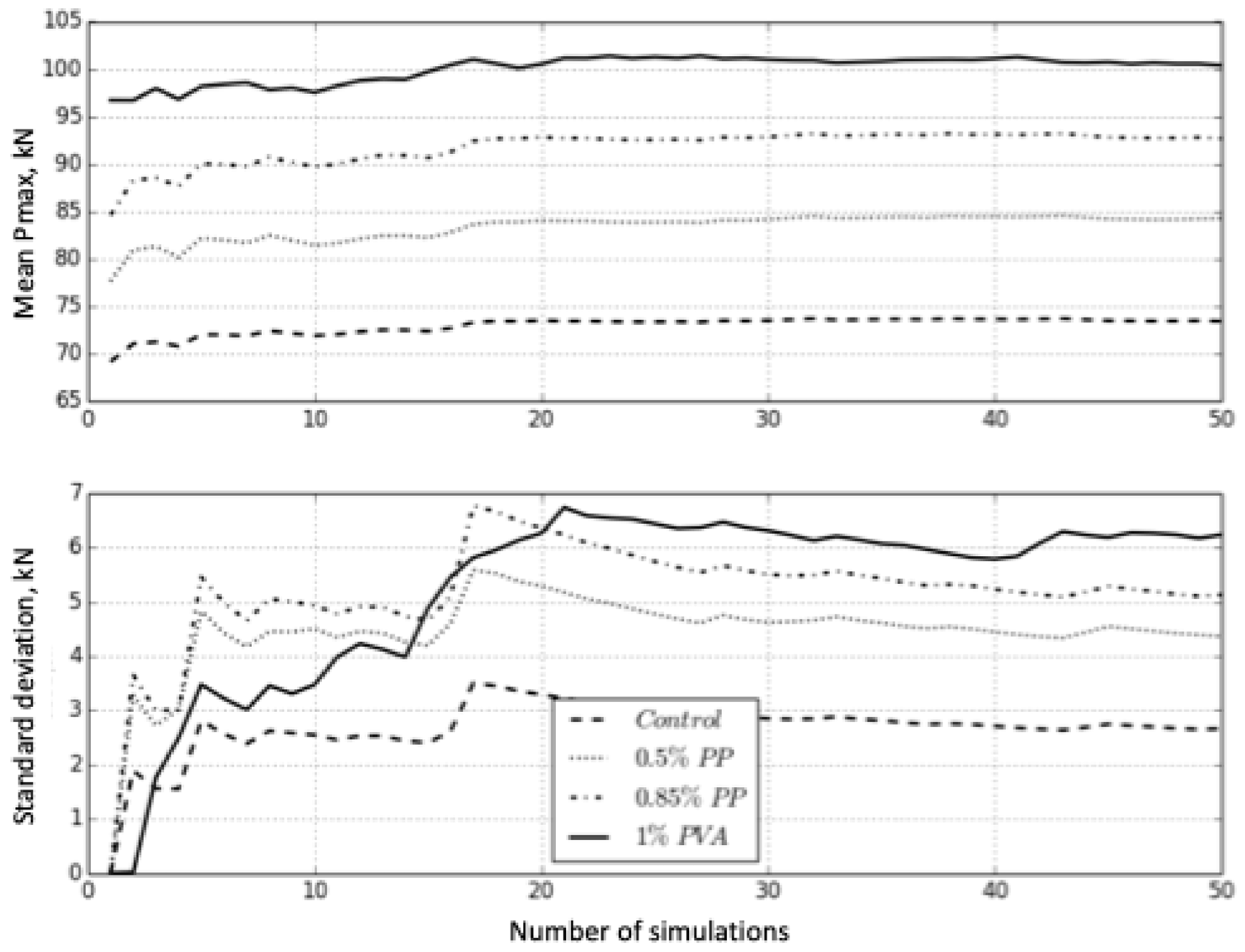
5.1.1. Description of the RF Approach
5.1.2. Prediction of Load-Deflection Curves Through RF Generation
5.1.3. Prediction of Cracking Patterns Through RF Generation
5.2. Uncertainties of Stochastic Modeling Based on RV Generation
6. Conclusions
- ⁻
 - The deterministic FE approach successfully measured and with a maximum error of 10.9% and 22.9%, respectively. However, symmetrical damage and crack propagation were noted at the different loading stages, unlike the observed patterns that resulted from experimental testing.
 - ⁻
 - Unlike the deterministic modelling, the stochastic FE with RF generation yielded a range of and values, suggesting the benefits of this approach to predict the range of failure boundaries, in addition to their conservative values for the safe design and evaluation of FRC beams.
 - ⁻
 - The sensitivity analysis showed that the parameter is more appropriate than to determine the uncertainty of Pmax and δmax propagations, due to fiber additions. The spatial randomness of E associated with better strain accumulation and redistribution in FRC beams, which led to fewer flexural cracks in the tension zone.
 - ⁻
 - The RF generation approximated fairly well the damage and corresponding distributions at failure. Hence, while the control beam exhibited two major symmetrical diagonal shear cracks at failure, the FRC beams containing PP or PVA fibers showed substantially different cracking patterns, characterized by a single crack, which was identical to the results of experimental testing.
 - ⁻
 - The and values are accurately predicted using stochastic FE with RV generation, although with reduced variability. This is because this method underestimates the scattering of the output parameters, especially when higher percentages of PP and PVA fibers are introduced into the FRC beam. Conversely, RF generation seems to be more accurate in estimating the variability of and , and provides closer COV estimates to those derived from experimental results.
 - ⁻
 - The cumulative density function frequency curves become significantly wider for FRC beams containing high fiber content (i.e., 0.85% PP and 1% PVA), reflecting increased variability in the output parameters. This variability arises from the random distribution of PP and PVA fibers in the concrete, leading to higher performance fluctuations in the RC beam.
 - ⁻
 - The effectiveness of using SFE with RF generation for FRC beams is validated. However, the discussion primarily focuses on the mechanical property to be modelled as RF. However, RF generation also depends on factors such as the autocorrelation function and autocorrelation length, which have been explored in the literature for plain concrete. Additionally, future research should address the validity of SFE models in predicting the behavior of full-scale beams and the performance of beams with stirrups, designed to fail in flexural mode.
 
Author Contributions
Funding
Data Availability Statement
Conflicts of Interest
References
- Mohammadi, Y.; Singh, S.P.; Kaushik, S.K. Properties of steel fibrous concrete containing mixed fibers in fresh and hardened state. Constr. Build. Mater. 2008, 22, 956–965. [Google Scholar] [CrossRef]
 - Shah, A.A.; Ribakov, Y. Recent trends in steel fibered high-strength concrete. Mater. Des. 2011, 32, 4122–4151. [Google Scholar] [CrossRef]
 - ASTM C1116/C1116M—10a; Standard specification for Fiber-reinforced concrete. ASTM International: West Conshohocken, PA, USA, 2023. [CrossRef]
 - Beglarigale, A.; Yazıcı, H. Pull-out behavior of steel fiber embedded in flowable RPC and ordinary mortar. Constr. Build. Mater. 2015, 75, 255–265. [Google Scholar] [CrossRef]
 - Bentur, A.; Mindess, S. Fibre Reinforced Cementitious Composites; CRC Press: Boca Raton, FL, USA, 2006. [Google Scholar]
 - Liu, Y.; Wang, L.; Cao, K.; Sun, L. Review on the Durability of Polypropylene Fibre-Reinforced Concrete. Adv. Civ. Eng. 2021, 2021, 6652077. [Google Scholar] [CrossRef]
 - Ramezanianpour, A.; Esmaeili, M.; Ghahari, S.; Najafi, M. Laboratory study on the effect of polypropylene fiber on durability, and physical and mechanical characteristic of concrete for application in sleepers. Constr. Build. Mater. 2013, 44, 411–418. [Google Scholar] [CrossRef]
 - Rashid, M.A.; Mansur, M.A. Reinforced High-Strength Concrete Beams in Flexure. ACI Struct. J. 2005, 102, 462–471. [Google Scholar]
 - Söylev, T.; Özturan, T. Durability, physical and mechanical properties of fiber-reinforced concretes at low-volume fraction. Constr. Build. Mater. 2014, 73, 67–75. [Google Scholar] [CrossRef]
 - Banthia, N.; Gupta, R. Influence of polypropylene fiber geometry on plastic shrinkage cracking in concrete. Cem. Concr. Res. 2006, 36, 1263–1267. [Google Scholar] [CrossRef]
 - Khoury, G.A. Concrete spalling assessment methodologies and polypropylene fibre toxicity analysis in tunnel fires. Struct. Concr. 2008, 9, 11–18. [Google Scholar] [CrossRef]
 - Matar, P.; Assaad, J.J. Concurrent effects of recycled aggregates and polypropylene fibers on workability and key strength properties of self-consolidating concrete. Constr. Build. Mater. 2019, 199, 492–500. [Google Scholar] [CrossRef]
 - Li, V.C.; Wang, S.; Wu, C. Tensile strain-hardening behavior of polyvinyl alcohol engineered cementitious composite (PVA-ECC). Mater. J. 2001, 98, 483–492. [Google Scholar]
 - Meng, D.; Lee, C.; Zhang, Y. Flexural and shear behaviours of plain and reinforced polyvinyl alcohol-engineered cementitious composite beams. Eng. Struct. 2017, 151, 261–272. [Google Scholar] [CrossRef]
 - Said, S.H.; Razak, H.A. Structural behavior of RC engineered cementitious composite (ECC) exterior beam–column joints under reversed cyclic loading. Constr. Build. Mater. 2016, 107, 226–234. [Google Scholar] [CrossRef]
 - Pakravan, H.R.; Ozbakkaloglu, T. Synthetic fibers for cementitious composites: A critical and in-depth review of recent advances. Constr. Build. Mater. 2019, 207, 491–518. [Google Scholar] [CrossRef]
 - Yuan, F.; Pan, J.; Xu, Z.; Leung, C.K.Y. A comparison of engineered cementitious composites versus normal concrete in beam-column joints under reversed cyclic loading. Mater. Struct. 2013, 46, 145–159. [Google Scholar] [CrossRef]
 - Zhang, P.; Sun, X.; Wei, J.; Wang, J.; Gao, Z. Influence of PVA fibers on the durability of cementitious composites under the wet–heat–salt coupling environment. Rev. Adv. Mater. Sci. 2023, 62, 20230155. [Google Scholar] [CrossRef]
 - Abou El-Mal HS, S.; Sherbini, A.S.; Sallam HE, M. Mode II fracture toughness of hybrid FRCs. Int. J. Concr. Struct. Mater. 2015, 9, 475–486. [Google Scholar] [CrossRef]
 - Chowdhury, A.; Islam, M.; Zahid, Z.I. Finite Element Modeling of Compressive and Splitting Tensile Behavior of Plain Concrete and Steel Fiber Reinforced Concrete Cylinder Specimens. Adv. Civ. Eng. 2016, 2016, 6579434. [Google Scholar] [CrossRef]
 - Guenet, T. Modélisation du comportement des bétons fibrés à ultra-hautes performances par la micromécanique: Effet de l’orientation des fibres à l’échelle de la structure. Ph.D. Thesis, Université Paris-Est, Paris, France, 2016. [Google Scholar]
 - Matthews, F.L.; Davies GA, O.; Hitchings, D.; Soutis, C. Finite Element Modelling of Composite Materials and Structures; Elsevier: Amsterdam, The Netherlands, 2000. [Google Scholar]
 - Gontero, R. Modélisation du Comportement Mécanique des Structures en Bétons Fibrés à Ultra-Hautes. Ph.D. Thesis, Université de Toulouse, Toulouse, France, 2022. [Google Scholar]
 - Chen, L.; Sun, W.; Chen, B.; Shi, Z.; Lai, J.; Feng, J. Multiscale study of fibre orientation effect on pullout and tensile behavior of steel fibre reinforced concrete. Constr. Build. Mater. 2021, 283, 122506. [Google Scholar] [CrossRef]
 - Khan, Q.U.Z.; Ali, M.; Ahmad, A.; Raza, A.; Iqbal, M. Experimental and finite element analysis of hybrid fiber reinforced concrete two-way slabs at ultimate limit state. SN Appl. Sci. 2021, 3, 73. [Google Scholar] [CrossRef]
 - Huo, L.; Bi, J.; Zhao, Y.; Wang, Z. Constitutive model of steel fiber reinforced concrete by coupling the fiber inclining and spacing effect. Constr. Build. Mater. 2021, 280, 122423. [Google Scholar] [CrossRef]
 - Buratti, N.; Ferracuti, B.; Savoia, M. Concrete crack reduction in tunnel linings by steel fibre-reinforced concretes. Constr. Build. Mater. 2013, 44, 249–259. [Google Scholar] [CrossRef]
 - El-Khatib, A.; Assaad, J.J. Flexural shear strengths of structural concrete containing plastic wastes styrene–butadiene rubber latex. Int. J. Civ. Eng. 2022, 20, 967–979. [Google Scholar] [CrossRef]
 - Soetens, T.; Matthys, S. Different methods to model the post-cracking behaviour of hooked-end steel fibre reinforced concrete. Constr. Build. Mater. 2014, 73, 458–471. [Google Scholar] [CrossRef]
 - Głodkowska, W.; Laskowska-Bury, J. Proposition for Determining the Residual Strength of Fiber-Reinforced Cement Composite. Materials 2022, 15, 7546. [Google Scholar] [CrossRef]
 - Castaldo, P.; Gino, D.; Marano, G.C.; Mancini, G. Aleatory uncertainties with global resistance safety factors for non-linear analyses of slender reinforced concrete columns. Eng. Struct. 2022, 255, 113920. [Google Scholar] [CrossRef]
 - Chen, J.; Ren, X.; Feng, D.-C.; Kohler, J.; Sørensen, J.D.; Wu, J.-Y.; Le, J.-L.; Caspeele, R. Recent developments in mechanical and uncertainty modelling of concrete. Struct. Saf. 2024, 113, 102526. [Google Scholar] [CrossRef]
 - Ghanem, R.G.; Spanos, P.D. Stochastic Finite Elements: A Spectral Approach; Courier Corporation: North Chelmsford, MA, USA, 2003. [Google Scholar]
 - Rossi, P.; Wu, X.; Liao, F.; Huang, Z.; Yue, L.L.; Taerwe, L.; Ng, P.-L.; Kwan, A.K.-H. Probabilistic model for material behaviour analysis and appraisement of concrete structures. Mag. Concr. Res. 1992, 44, 271–280. [Google Scholar] [CrossRef]
 - Ghannoum, M.; Abdelkhalek, L.; Assaad, J.J. Application of Stochastic Finite Element Modeling to Reinforced Lightweight Concrete Beams Containing Expanded Polystyrene Beads. Buildings 2023, 13, 2294. [Google Scholar] [CrossRef]
 - Abbas, Y.M. Shear behavior of ultra-high-performance reinforced concrete beams–Finite element and uncertainty quantification study. In Structures; Elsevier: Amsterdam, The Netherlands, 2023; Volume 47, pp. 2365–2380. [Google Scholar]
 - Ponsi, F.; Bassoli, E.; Buratti, N.; Vincenzi, L. Parameter estimation and uncertainty quantification of a fiber-reinforced concrete model by means of a multi-level Bayesian approach. Constr. Build. Mater. 2024, 438, 136994. [Google Scholar] [CrossRef]
 - de Larrard, T.; Colliat, J.; Benboudjema, F.; Torrenti, J.; Nahas, G. Effect of the Young modulus variability on the mechanical behaviour of a nuclear containment vessel. Nucl. Eng. Des. 2010, 240, 4051–4060. [Google Scholar] [CrossRef]
 - Stefanou, G. The stochastic finite element method: Past, present and future. Comput. Methods Appl. Mech. Eng. 2009, 198, 1031–1051. [Google Scholar] [CrossRef]
 - Zhang, H.; Huang, Y.-J.; Yang, Z.-J.; Guo, F.-Q.; Shen, L.-H. 3D meso-scale investigation of ultra high performance fibre reinforced concrete (UHPFRC) using cohesive crack model and Weibull random field. Constr. Build. Mater. 2022, 327, 127013. [Google Scholar] [CrossRef]
 - Jabbour, R.; Assaad, J.J.; Hamad, B. Cost-to-performance assessment of polyvinyl alcohol fibers in concrete structures. Mech. Adv. Mater. Struct. 2022, 29, 2973–2983. [Google Scholar] [CrossRef]
 - Khayat, K.H.; Assaad, J.J. Measurement systems for determining formwork pressure of highly-flowable concrete. Mater. Struct. 2007, 41, 37–46. [Google Scholar] [CrossRef]
 - Nciri, M.; Notta-Cuvier, D.; Lauro, F.; Chaari, F.; Maalej, Y.; Zouari, B. Viscoelastic–viscoplastic model for short-fiber-reinforced composites with complex fiber orientation. Mech. Adv. Mater. Struct. 2019, 26, 842–853. [Google Scholar] [CrossRef]
 - Mardani, A.; Şahin, H.G.; Kaya, Y.; Mardani, N.; Assaad, J.J.; El-Hassan, H. Enhancing strength and durability of recycled fine aggregate mixtures using steel fibers, silica fume, and latex polymers. Dev. Built Environ. 2025, 21, 100599. [Google Scholar] [CrossRef]
 - ASTM C469/C469M-14; Standard Test Method for Static Modulus of Elasticity and Poisson’s Ratio of Concrete in Compression. Annual Book of ASTM Standards. ASTM International: West Conshohocken, PA, USA, 2014.
 - ASTM C642-13; Standard Test Method for Density, Absorption, and Voids in Hardened Concrete. Annual Book of ASTM Standards. ASTM International: West Conshohocken, PA, USA, 2013.
 - ASTM C39/C39M-18; Standard Test Method for Compressive Strength of Cylindrical Concrete Specimens. Annual Book of ASTM Standards. ASTM International: West Conshohocken, PA, USA, 2018.
 - ASTM C78/C78M-18; Standard Test Method for Flexural Strength of Concrete (Using Simple Beam with Third-Point Loading). Annual Book of ASTM Standards. ASTM International: West Conshohocken, PA, USA, 2018.
 - Assaad, J.J.; Issa, C.A. Effect of recycled acrylic-based polymers on bond stress-slip behavior in reinforced concrete structures. J. Mater. Civ. Eng. 2017, 29, 04016173. [Google Scholar] [CrossRef]
 - El Mir, A.; Nehme, S.G.; Assaad, J.J. Durability of self-consolidating concrete containing natural waste perlite powders. Heliyon 2020, 6, e03165. [Google Scholar] [CrossRef] [PubMed]
 - Truong, G.T.; Choi, K.-K. Tensile behavior of hybrid composites of carbon fibers—Steel wire mesh reinforced polymer. Mech. Adv. Mater. Struct. 2021, 28, 154–166. [Google Scholar] [CrossRef]
 - Zéhil, G.-P.; Assaad, J.J. Feasibility of concrete mixtures containing cross-linked polyethylene waste materials. Constr. Build. Mater. 2019, 226, 1–10. [Google Scholar] [CrossRef]
 - Soutsos, M.; Le, T.; Lampropoulos, A. Flexural performance of fibre reinforced concrete made with steel and synthetic fibres. Constr. Build. Mater. 2012, 36, 704–710. [Google Scholar] [CrossRef]
 - Jahami, A.; Dayaa, L.; Assaad, J.J.; Baalbaki, O.; Khatib, J. Flexural Strength of Structural Beams Cast Using Combined Normal-Weight and Lightweight Concrete Mixtures. Buildings 2024, 14, 3787. [Google Scholar] [CrossRef]
 - Raad, D.; Assaad, J.J. Structural properties of fiber-reinforced concrete containing thermosetting polymer plastic wastes. J. Sustain. Cem. Mater. 2021, 11, 137–147. [Google Scholar] [CrossRef]
 - CEA. Description of the Finite Element Code Cast3m. 2015. Available online: http://www-cast3m.cea.fr/ (accessed on 1 January 2025).
 - Mazars, J. A description of micro- and macroscale damage of concrete structures. Eng. Fract. Mech. 1986, 25, 729–737. [Google Scholar] [CrossRef]
 - Giry, C.; Dufour, F.; Mazars, J. Stress-based nonlocal damage model. Int. J. Solids Struct. 2011, 48, 3431–3443. [Google Scholar] [CrossRef]
 - Breysse, D. Numerical study of the effect of inhomogeneities and boundary conditions on the tensile strength of concrete. Mater. J. 1991, 88, 489–498. [Google Scholar]
 - Van Vliet, M.R.; Van Mier, J.G. Experimental investigation of size effect in concrete and sandstone under uniaxial tension. Eng. Fract. Mech. 2000, 65, 165–188. [Google Scholar] [CrossRef]
 - Syroka-Korol, E.; Tejchman, J.; Mróz, Z. FE calculations of a deterministic and statistical size effect in concrete under bending within stochastic elasto-plasticity and non-local softening. Eng. Struct. 2013, 48, 205–219. [Google Scholar] [CrossRef]
 - Metropolis, N.; Ulam, S. The monte carlo method. J. Am. Stat. Assoc. 1949, 44, 335–341. [Google Scholar] [CrossRef] [PubMed]
 - Bouhjiti, D.-M.; Baroth, J.; Briffaut, M.; Dufour, F.; Masson, B. Statistical modeling of cracking in large concrete structures under Thermo-Hydro-Mechanical loads: Application to Nuclear Containment Buildings. Part 1: Random field effects (reference analysis). Nucl. Eng. Des. 2018, 333, 196–223. [Google Scholar] [CrossRef]
 - Ghannoum, M.; Baroth, J.; Millard, A.; Rospars, C. Stochastic finite element modeling of heterogeneities in massive concrete and reinforced concrete structures. Int. J. Numer. Anal. Methods Géoméch. 2024, 48, 1227–1244. [Google Scholar] [CrossRef]
 

















| Mix | HRWR, % of Cem. | Mechanical Properties | Shear Strength Properties | ||||||
|---|---|---|---|---|---|---|---|---|---|
| ,  MPa  | ,  MPa  | ,  GPa,  | ,  MPa  | Load for 1st Crack, kN | Pmax, kN | δmax, mm | Max. Crack Opening, mm | ||
| Control | 1.67 | 41.5 (4.8%)  | 3.2 (5.8%)  | 29.5 (6.2)  | 4.41 (5%)  | 68 (14%)  | 73.23 (7.6%)  | 2.74 (10.5%)  | 0.63 (12.2%)  | 
| 1% PVA | 3.56 | 41.2 (6.5%)  | 4.32 (7%)  | 27.6 (8%)  | 6.21 (5.8%)  | 91 (9.5%)  | 109.87 (9.2%)  | 3.66 (13.3%)  | 0.28 (8.8%)  | 
| 0.5% PP | 3.19 | 33.7 (6%)  | 2.64 (6.4%)  | 29.3 (8.3%)  | 5.05 (6.1%)  | 73 (11%)  | 82.02 (7.9%)  | 3.41 (15%)  | 0.48 (10.2%)  | 
| 0.85% PP | 4.04 | 30.7 (7.2%)  | 2.93 (7.3%)  | 24.8 (9%)  | 4.92 (7.4%)  | 84.5 (16.6%)  | 101.1 (12.2%)  | 4.7 (14.2%)  | 0.33 (9.6%)  | 
| Control | 0.5% PP | 0.85% PP | 1% PVA | |
| Variability ft | 0.9 × 10−2 | 1.5 × 10−2 | 3 × 10−2 | 5 × 10−2 | 
| Variability E | 3 × 10−2 | 3.8 × 10−2 | 5 × 10−2 | 9 × 10−2 | 
| Experimental Pmax | Pmax by RF | Pmax by RV | ||||
| Mean, kN | Deviation, kN COV, % | Mean, kN | Deviation, kN COV, % | Mean, kN | Deviation, kN COV, % | |
| Control | 73.23 | 5.56 (7.6%) | 68.19 | 5.07 (7.44%) | 73.51 | 2.65 (3.6%) | 
| 0.5% PP | 82.02 | 6.48 (7.9%) | 76.41 | 5.7 (7.46%) | 84.23 | 4.39 (3.21%) | 
| 0.85% PP | 101.1 | 12.33 (12.2%) | 95.29 | 8.57 (9%) | 92.67 | 5.12 (5.53%) | 
| 1% PVA | 109.87 | 10.11 (9.2%) | 94.6 | 9.21 (9.74%) | 100.37 | 6.24 (6.22%) | 
| Experimental δmax | δmax by RF | δmax by RV | ||||
| Mean, mm | Deviation, mm COV, % | Mean, mm | Deviation, mm COV, % | Mean, mm | Deviation, mm COV, % | |
| Control | 2.74 | 0.28 (10.5%) | 2.69 | 0.43 (15.9%) | 2.9 | 0.013 (0.5%) | 
| 0.5% PP | 3.41 | 0.51 (15%) | 3.24 | 0.55 (17%) | 3.6 | 0.028 (0.77%) | 
| 0.85% PP | 4.7 | 0.67 (14.2%) | 5.28 | 0.71 (13.5%) | 4.32 | 0.07 (1.6%) | 
| 1% PVA | 3.66 | 0.48 (13.3%) | 4.34 | 0.9 (20.8%) | 4.23 | 0.03 (1.7%) | 
Disclaimer/Publisher’s Note: The statements, opinions and data contained in all publications are solely those of the individual author(s) and contributor(s) and not of MDPI and/or the editor(s). MDPI and/or the editor(s) disclaim responsibility for any injury to people or property resulting from any ideas, methods, instructions or products referred to in the content.  | 
© 2025 by the authors. Licensee MDPI, Basel, Switzerland. This article is an open access article distributed under the terms and conditions of the Creative Commons Attribution (CC BY) license (https://creativecommons.org/licenses/by/4.0/).
Share and Cite
Ghannoum, M.; Shamoun, L.; Nasr, D.; Assaad, J.J.; Riahi, H.; Khatib, J. Efficiency of Stochastic Finite Element Random Fields and Variables to Predict Shear Strength of Fiber-Reinforced Concrete Beams Without Stirrups. Buildings 2025, 15, 721. https://doi.org/10.3390/buildings15050721
Ghannoum M, Shamoun L, Nasr D, Assaad JJ, Riahi H, Khatib J. Efficiency of Stochastic Finite Element Random Fields and Variables to Predict Shear Strength of Fiber-Reinforced Concrete Beams Without Stirrups. Buildings. 2025; 15(5):721. https://doi.org/10.3390/buildings15050721
Chicago/Turabian StyleGhannoum, Maria, Lara Shamoun, Dana Nasr, Joseph J. Assaad, Hassen Riahi, and Jamal Khatib. 2025. "Efficiency of Stochastic Finite Element Random Fields and Variables to Predict Shear Strength of Fiber-Reinforced Concrete Beams Without Stirrups" Buildings 15, no. 5: 721. https://doi.org/10.3390/buildings15050721
APA StyleGhannoum, M., Shamoun, L., Nasr, D., Assaad, J. J., Riahi, H., & Khatib, J. (2025). Efficiency of Stochastic Finite Element Random Fields and Variables to Predict Shear Strength of Fiber-Reinforced Concrete Beams Without Stirrups. Buildings, 15(5), 721. https://doi.org/10.3390/buildings15050721
        
