Overall Lifting Construction Control Method for Large-Segment Steel Arch Bridges Based on Unstressed State Control Theory
Abstract
1. Introduction
2. Review of Unstressed State Control Theory
3. Analytical Control Method for the Overall Lifting Method
3.1. Analytical Formula of Temporary Horizontal Tension
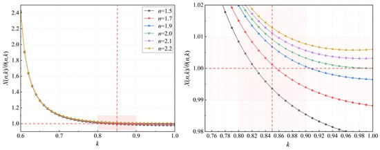
3.2. Coefficient Analysis
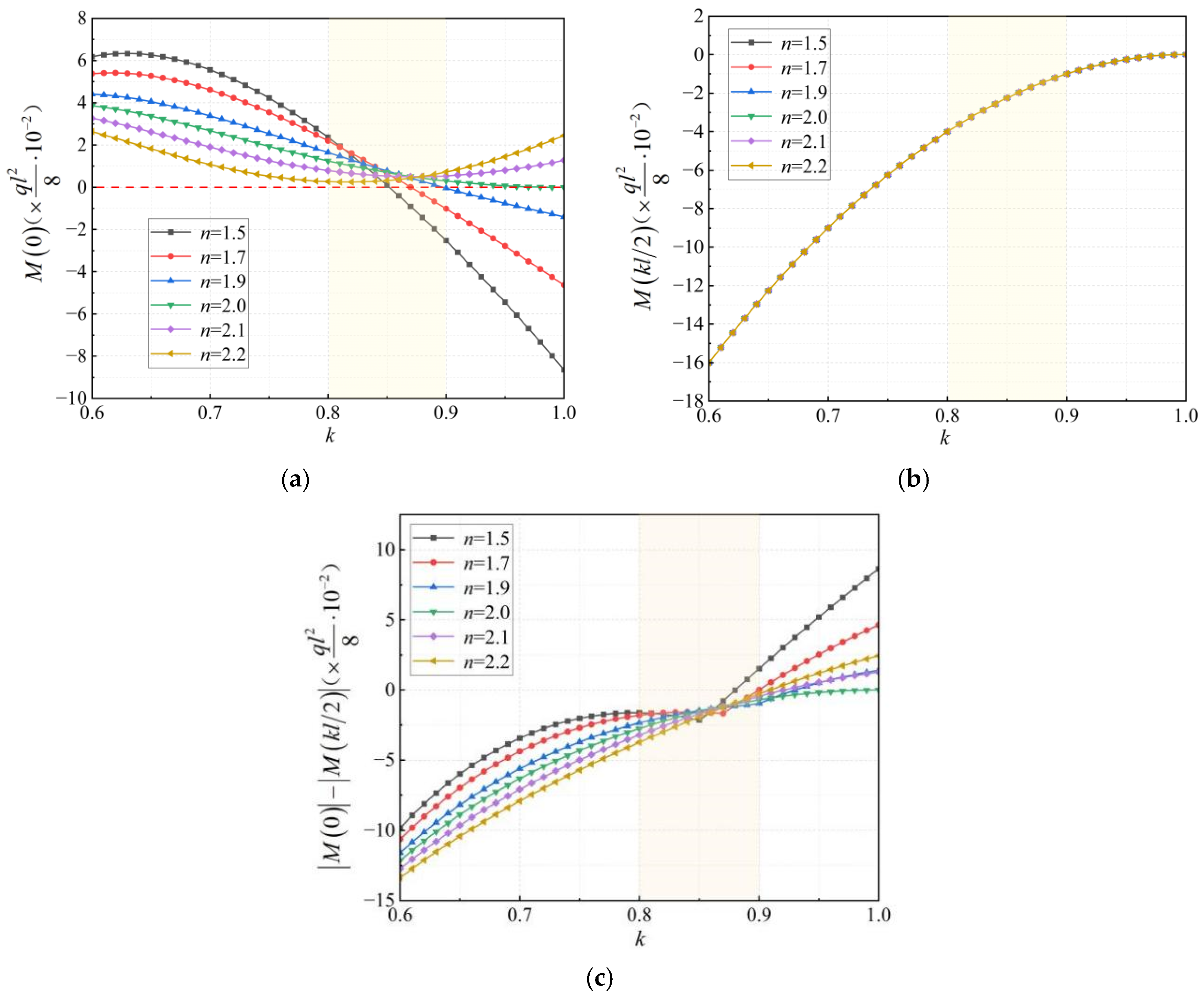
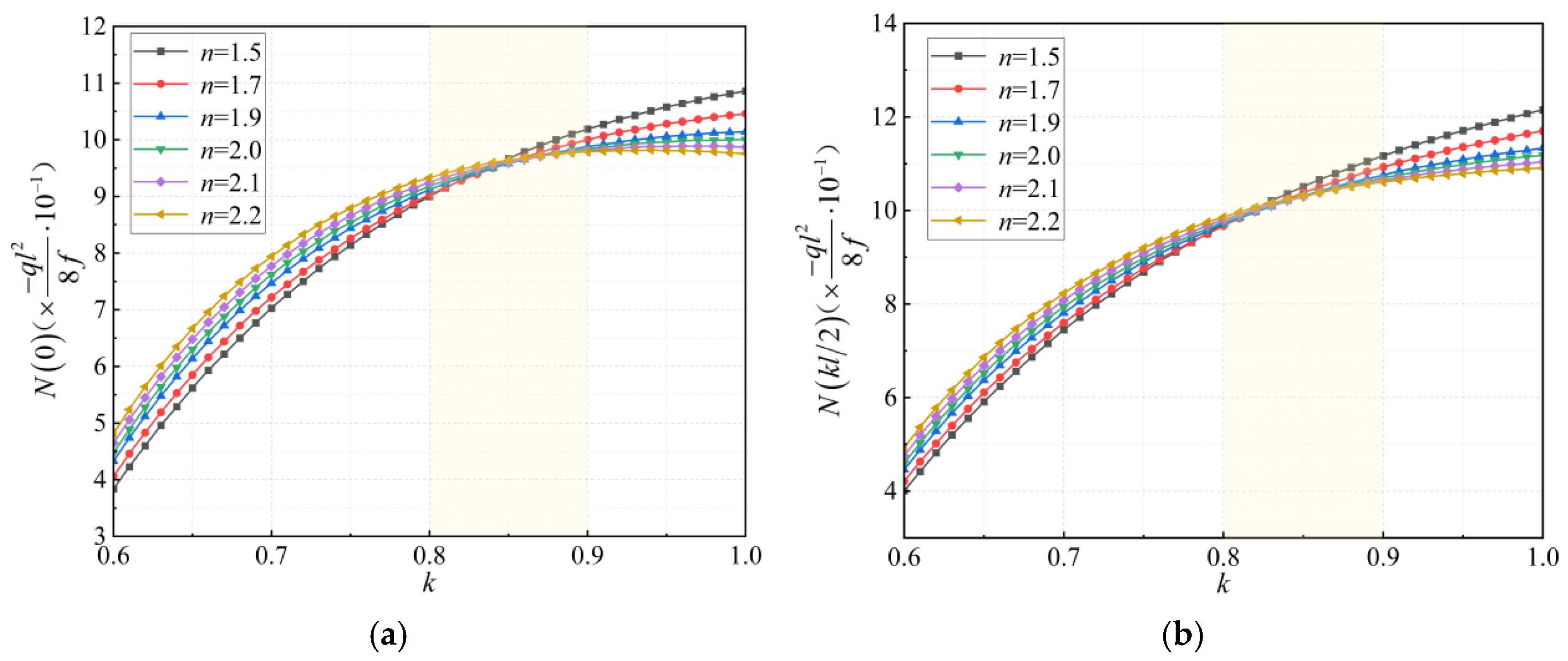
3.3. Internal Force Analysis of Key Sections of Steel Arch Segment
3.4. Selection of Lifting Point and Calculation of Temporary Horizontal Tension
3.5. Example Verification
4. Application of Proposed Construction Control Method
4.1. Design Overview
4.2. Construction Method Overview
4.3. Finite Element Analysis Model
4.4. Finite Element Analysis Results
4.4.1. Calculation Results of Beam Element Model
4.4.2. Calculation Results of Local Shell Element Model
4.5. On-Site Monitoring Results
5. Conclusions and Discussion
5.1. Conclusions
- (1)
- In the proposed overall lifting construction control method, the position of the lifting point significantly impacts the deformation and internal forces of the steel arch. According to the proposed analytical control method, for steel arch bridges whose main arch axis is an n-order parabola, the reasonable range of the parameter k is 0.8~0.9 under the action of uniformly distributed dead loads. The specific value is related to the parameter n.
- (2)
- Once the reasonable lifting points are determined, the tension force in the temporary horizontal rods can be quickly determined by using the theoretical formula provided in this study. By using the recommended lifting point positions and temporary horizontal tension force, the horizontal displacement and rotation angle at the end of the lifted arch segment can be controlled at around 0 simultaneously, and the bending moments at the vault and lifting points can be maintained within relatively low ranges and at similar values. The axial force of the arch rib is also within a reasonable range.
- (3)
- In the whole lifting process of the middle arch segment of Shunjiang Bridge, the lifting point parameter k was set as 0.815 based on the proposed analytical control method, and the tension force of the temporary horizontal tie rod was further determined through the finite element analysis. On-site monitoring indicates that the deformation and stress distributions of the main arch during the overall lifting process are effectively controlled. The methods proposed in this paper provide direct and effective guidance for steel arch bridge construction using the overall lifting construction method.
5.2. Discussion
Author Contributions
Funding
Data Availability Statement
Conflicts of Interest
Abbreviations
| l | Horizontal projection length of the axis of the whole lifting arch rib segment |
| f | Sagittal height of the axis of the whole lifting arch rib segment |
| n | Sub-parabolic axis shape parameter of the arch rib |
| A | Cross-sectional area of the whole lifting arch rib segment |
| E | Elastic modulus of the arch rib material |
| I | Moment of inertia of the arch rib section around the transverse bridge direction |
| k | Ratio of the horizontal distance between the two lifting points to the horizontal projected length of the arch rib |
| q | Arch rib bears a uniformly distributed vertical load |
| P | Temporary horizontal tension |
| M | Bending moment |
| N | Axial force |
References
- Xie, K.; Wang, H.; Guo, X.; Zhou, J. Study on the safety of the concrete pouring process for the main truss arch structure in a long-span concrete-filled steel tube arch bridge. Mech. Adv. Mater. Struct. 2019, 6, 731–740. [Google Scholar] [CrossRef]
- Chen, B.C.; Liu, J.P. Review of construction and technology development of arch bridges in the world. J. Traffic Transp. Eng. 2020, 20, 27–41. (In Chinese) [Google Scholar]
- Qi, L.; Zhao, Y.Y. Stress optimization analysis of long-span concrete-flled steel tube arch bridge based on midas full-bridge fnite element analysis model. Proc. Indian Natl. Sci. Acad. 2023, 89, 267–278. [Google Scholar] [CrossRef]
- Zheng, J.L.; Wang, J.J. Concrete-flled steel tube arch bridges in China. Engineering 2018, 4, 143–155. [Google Scholar] [CrossRef]
- Sun, J.; Li, J.; Jiang, Y.; Ma, X.; Tan, Z.; Zhufu, G. Key construction technology and monitoring of long-span steel box tied arch bridge. Int. J. Steel Struct. 2023, 23, 191–207. [Google Scholar] [CrossRef]
- Feng, Y.; Qi, J.; Wang, J.; Zhang, W.; Zhang, Q. Rotation construction of heavy swivel arch bridge for high-speed railway. Structures 2020, 26, 755–764. [Google Scholar] [CrossRef]
- Shi, Y.C. Theoretical Analysis and Model Test Study on Integral Lifting of Six Thousands Tons’ Steel Box Arch Bridge. Master’s Dissertation, Southwest Jiaotong University, Chengdu, China, 2018. [Google Scholar]
- Ruan, R.; Lai, M.; Jiang, C.; Wang, J.; Lin, Y. Integral Lifting of Steel Structure Corridor between Two Super High-Rise Buildings under Wind Load. Buildings 2023, 13, 2441. [Google Scholar] [CrossRef]
- Li, G.; Mo, T.; Xu, N.; Zhang, W.; Lu, H.; Deng, D. Improvement of overall lifting construction technology of large span steel structure hangar. In Proceedings of the 2nd International Conference on Internet of Things and Smart City, Xiamen, China, 18–20 February 2022; SPIE: Bellingham, WA, USA, 2022; Volume 12249, pp. 923–928. [Google Scholar] [CrossRef]
- Zhou, G.J. Construction technology of main bridge superstructure of Cuijiaying Hanjiang river bridge on Han-Shi High-speed railway. World Bridges 2021, 49, 10314. (In Chinese) [Google Scholar]
- Wang, J.F.; Xiang, H.W.; Zhang, J.T.; Wu, T.M.; Xu, R.Q. Geometric state transfer method for construction control of a large-segment steel box girder with hoisting installation. J. Zhejiang Univ.-Sci. A 2020, 21, 382–391. [Google Scholar] [CrossRef]
- Zhang, Z.; Pan, W. Lift planning and optimization in construction: A thirty-year review. Autom. Constr. 2020, 118, 103271. [Google Scholar] [CrossRef]
- Song, W.H. Study on Mechanical Performance and Key Issues of Long-span Steel Box Arch Bridge During Integral Lifting and Incremental Launching Construction. Master’s Dissertation, Southeast University, Nanjing, China, 2021. [Google Scholar]
- Zheng, J. Recent Construction Technology Innovations and Practices for Large-Span Arch Bridges in China. Engineering 2024, 41, 110–129. [Google Scholar] [CrossRef]
- Nassiraei, H. Probabilistic Analysis of Strength in Retrofitted X-Joints under Tensile Loading and Fire Conditions. Buildings 2024, 14, 2105. [Google Scholar] [CrossRef]
- Wen, F.; Liang, X.; Chen, C.; Xu, L.; Feng, Q. Construction Control and Monitoring Platform of a Large-Segment Steel Box Girder with Hoisting Installation. Appl. Sci. 2023, 13, 9573. [Google Scholar] [CrossRef]
- Miao, X.; Yuan, A.; Wang, X.; Chen, Q. Arch First and Beam Later Technology: An Accelerated and Safe Construction for Tied Arch Bridges. Struct. Eng. Int. 2024, 1–9. [Google Scholar] [CrossRef]
- Xiang, H.; Xia, D.; Wang, S.; Zhang, Z.; Luo, S.; Chen, W. Stress and deformation analysis of the steel pipe arch integral lifting construction process of a continuous beam arch bridge. Sci. Rep. 2024, 14, 10314. [Google Scholar] [CrossRef] [PubMed]
- Qin, S.Q. Theory and Practice of Stress-Free-State Control Method; People’s Communications Press: Beijing, China, 2006. (In Chinese) [Google Scholar]
- Qin, S.Q. Stress-free-state control method for bridges constructed in stages bridge construction. Bridge Constr. 2008, 1, 8–14. (In Chinese) [Google Scholar]
- Qin, S.; Wei, K.; Qin, J.; Yuan, R.; Xu, L.; Dan, Q. Stress-free-state based structural analysis and construction control theory for staged construction bridges. Adv. Bridge Eng. 2020, 1, 1. [Google Scholar] [CrossRef]
- Du, M.; Tang, H.; Xue, X.; Wang, H.; Wu, G.; Gao, Q. Intelligent control method of large-span arch bridge based on stress-free state. In Proceedings of the International Conference on Mathematics and Machine Learning, Nanjing, China, 24–26 November 2023; pp. 287–291. [Google Scholar] [CrossRef]
- Wei, S.Y.; Gong, W.F.; Wu, X.G.; Zhang, Z.H. Nonlinear Stress-Free-State Forward Analysis Method of Long-Span Cable-Stayed Bridges Constructed in Stages. Buildings 2023, 13, 1735. [Google Scholar] [CrossRef]
- Xanthakos, P.P. Theory and Design of Bridges; John Wiley & Sons: Hoboken, NJ, USA, 1994. [Google Scholar] [CrossRef]
- Strydom, J.H.; Elvin, A. Optimizing the design of steel bridges using the principle of virtual work. In Insights and Innovations in Structural Engineering, Mechanics and Computation; CRC Press: Boca Raton, FL, USA, 2016. [Google Scholar] [CrossRef]
- JTG D64-2015; Industry Standards of the People’s Republic of China. Code for Design of Highway steel Bridges. Ministry of Transport of the People’s Republic of China: Beijing, China, 2015.



















| 1.5 | 0.815 | 0.9224 | |||
| 1.6 | 0.830 | 0.9401 | |||
| 1.7 | 0.845 | 0.9548 | |||
| 1.8 | 0.860 | 0.9664 | |||
| 1.9 | 0.875 | 0.9749 | |||
| 2.0 | 0.890 | 0.9801 | |||
| 2.1 | 0.895 | 0.9796 | |||
| 2.2 | 0.900 | 0.9788 |
| Parabola Shape Parameter n | Arch Longitudinal Length l (m) | Arch Rise f (m) | Elastic Modulus E (kN/m2) | Area of Arch Vault Section A (m2) | Inertia Moment of Arch Vault Section I (m4) | Volumetric Weight γ (kN/m3) |
|---|---|---|---|---|---|---|
| 1.5 | 103.8 | 22.6 | 2.06 × 108 | 0.2621 | 0.2257 | 78.50 |
| Number | Measuring Result (m) | Coordinates Before Lifting (m) | Deviation Value (mm) | ||||||
|---|---|---|---|---|---|---|---|---|---|
| Direction Along Bridge | Direction Across Bridge | Vertical Direction | Direction Along Bridge | Direction Across Bridge | Vertical Direction | Direction Along Bridge | Direction Across Bridge | Vertical Direction | |
| 1# | 36.18377 | 6.47273 | 45.36168 | 36.1736 | 6.4644 | 23.05662 | 10.17 | 8.33 | 15.06 |
| 2# | 51.09771 | 5.51281 | 54.87641 | 51.09866 | 5.51012 | 32.57208 | −0.95 | 2.69 | 14.33 |
| 3# | 88.13294 | 4.23741 | 67.08195 | 88.13951 | 4.24834 | 44.78131 | −6.57 | −10.93 | 10.64 |
| 4# | 123.31742 | 5.36685 | 55.75667 | 123.31981 | 5.36909 | 33.45448 | −2.39 | −2.24 | 12.19 |
| 5# | 139.54647 | 6.47551 | 45.56474 | 139.55481 | 6.45929 | 23.26053 | −8.34 | 16.22 | 14.21 |
Disclaimer/Publisher’s Note: The statements, opinions and data contained in all publications are solely those of the individual author(s) and contributor(s) and not of MDPI and/or the editor(s). MDPI and/or the editor(s) disclaim responsibility for any injury to people or property resulting from any ideas, methods, instructions or products referred to in the content. |
© 2025 by the authors. Licensee MDPI, Basel, Switzerland. This article is an open access article distributed under the terms and conditions of the Creative Commons Attribution (CC BY) license (https://creativecommons.org/licenses/by/4.0/).
Share and Cite
Li, Z.; Dong, X.; Chen, H.; Chi, L.; Zhang, Z. Overall Lifting Construction Control Method for Large-Segment Steel Arch Bridges Based on Unstressed State Control Theory. Buildings 2025, 15, 523. https://doi.org/10.3390/buildings15040523
Li Z, Dong X, Chen H, Chi L, Zhang Z. Overall Lifting Construction Control Method for Large-Segment Steel Arch Bridges Based on Unstressed State Control Theory. Buildings. 2025; 15(4):523. https://doi.org/10.3390/buildings15040523
Chicago/Turabian StyleLi, Zhongpei, Xuetao Dong, Hairong Chen, Liangjun Chi, and Zhicheng Zhang. 2025. "Overall Lifting Construction Control Method for Large-Segment Steel Arch Bridges Based on Unstressed State Control Theory" Buildings 15, no. 4: 523. https://doi.org/10.3390/buildings15040523
APA StyleLi, Z., Dong, X., Chen, H., Chi, L., & Zhang, Z. (2025). Overall Lifting Construction Control Method for Large-Segment Steel Arch Bridges Based on Unstressed State Control Theory. Buildings, 15(4), 523. https://doi.org/10.3390/buildings15040523

