An Innovative Steel Sleeve Dry Connection SRCC Frame: Seismic Performance Evaluation
Abstract
1. Introduction
2. Methodology Validation
2.1. Overview of the Test
2.2. Simulation Validation
3. Numerical Simulation
3.1. Finite Element Model
3.2. Loading Scheme
3.3. Measurement Scheme
4. Performance of SRCC Joint
4.1. Displacement Analysis
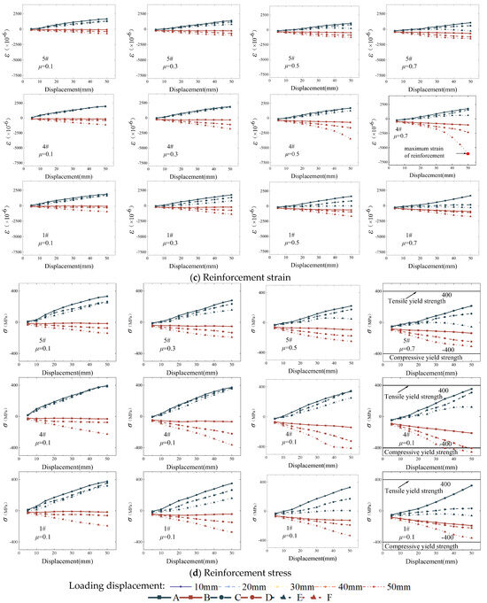
4.2. Strain and Stress Analysis
4.3. Parametric Analysis
4.3.1. Influence of the Cross-Sectional Equal Division Ratio
4.3.2. Influence of the Axial Compression Ratio
4.3.3. Influence of the Concrete Strength
4.3.4. Influence of the Hoop Ratio
4.3.5. Influence of the Strength Grade of the Steel Sleeve
4.3.6. Influence of the Thickness of the Vertical Spacer Plate
4.4. Shear-Bearing Capacity Prediction of Core Area
4.4.1. Underlying Assumption
4.4.2. Shear Capacity of Internal Vertical Steel Partitions Vw
4.4.3. Shear Capacity of Hoop Reinforcement Vsv
4.4.4. Shear Capacity Provided by Steel Sleeves Vjw
4.4.5. Shear-Bearing Capacity Provided by Concrete Vc
4.4.6. Comparison of Shear-Bearing Capacity Calculation Results
5. Performance of SRCC Frame
5.1. Mechanism Analysis
5.2. FE Modle of the Frame
5.3. Modal Analysis
5.4. Time History Analysis
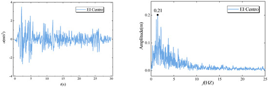
5.4.1. Selection of Seismic Wave
5.4.2. Inter-Story Drift Angle
5.4.3. Acceleration Response
5.4.4. Maximum Base Shear
- The relative motion among SRCCs during seismic events will induce friction and localized plastic deformation. These mechanisms effectively dissipate energy, reducing the shear force transmitted to the foundation.
- The SRCC structure’s small units can transmit and absorb seismic force independently, avoiding force concentration on a single component and reducing MBS growth.
- In high seismic intensity, the NRCC structure exhibits dynamic amplification due to its rigidity, resulting in a significant increase in MBS. The SRCC structure effectively mitigates dynamic amplification through its inherent flexibility and energy dissipation capabilities.
6. Conclusions
- Under horizontal loading, the shear forces distributed among the small columns are uniform. Also, the strain distribution in each section of the split small columns adheres to the flat section assumption, validating the structural integrity under such loading conditions.
- The stress levels in the concrete within the core area of the node are significantly lower than those outside the core area. This demonstrates that the steel sleeve effectively serves its function in the dry connection, akin to continuous spiral reinforcement, thereby providing concrete protection. This observation corroborates the design principle of “strong joints and weak components”.
- The axial compression ratio and cross-sectional equal division ratio are key factors affecting the performance of the SRCC joint. As the axial compression ratio increases, both stiffness and ultimate load-carrying capacity increase, while ductility decreases. Similarly, an increase in the cross-sectional equal division ratio results in reductions in stiffness, ultimate load-carrying capacity, and ductility. The ductility of SRCC is 2–3 times higher than that of NRCC.
- Theoretical formulations for the shear capacity of sleeve-jointed SRCC frame joints have been developed. Comparative analysis with numerical simulations indicates a high degree of concordance between the theoretical values and the simulation results. These formulations provide a reliable reference for future investigations and practical applications in engineering.
- The displacement response of the SRCC frame is greater than that of the NRCC, and ISDA exceeds the limit, with the first story being the most serious. Additional support will be added for further study.
- The acceleration response and the base shear of the SRCC frame structure is smaller than that of the NRCC, indicating that the split columns are more effective in reducing the dynamic amplification effect, distributing the force, and dissipating energy.
Author Contributions
Funding
Data Availability Statement
Acknowledgments
Conflicts of Interest
References
- Celik, O.C.; Ulker, M.B.C.; Gocer, C.; Guntepe, S.; Koz, O.; Eyupgiller, M.M.; Aksu, M.; Yaz, A. Multidisciplinary reconnaissance investigation covering structural, geotechnical, and architectural based damage to mid-rise residential buildings following the February 6th, 2023 Kahramanmaraş, Türkiye earthquake doublets (Mw 7.8, Mw 7.6). Soil Dyn. Earthq. Eng. 2024, 182, 108738. [Google Scholar] [CrossRef]
- Yetkin, M.; Dedeoglu, İ.Ö.; Tunc, G. February 6, 2023, Kahramanmaraş twin earthquakes: Evaluation of ground motions and seismic performance of buildings for Elazığ, southeast of Türkiye. Soil Dyn. Earthq. Eng. 2024, 181, 108678. [Google Scholar] [CrossRef]
- Wang, J.; Wu, M.; Liu, F.; Bin, J.; He, J. Rubber-sand infilled soilbags as seismic isolation cushions: Experimental validation. Geosynth. Int. 2024, 1–14. [Google Scholar] [CrossRef]
- Liu, F.; Wang, J.; Zhou, B.; Wu, M.; He, J.; Bin, J. Shaking table study on rubber-sand mixture cored composite block as low-cost isolation bearing for rural houses. J. Build. Eng. 2023, 76, 107413. [Google Scholar] [CrossRef]
- Liu, H.; Qu, Z. Effect of loading sequence on the ultra-low-cycle fatigue performance of all-steel BRBs. J. Constr. Steel Res. 2024, 222, 108987. [Google Scholar] [CrossRef]
- Wang, X.; Qu, Z.; Gong, T. Role of dampers on the seismic performance of pin-supported wall-frame structures. Earthq. Eng. Eng. Vib. 2023, 22, 453–467. [Google Scholar] [CrossRef]
- Qu, Z.; Ji, X.; Shi, X.; Wang, Y.; Liu, H. Cyclic loading test of steel coupling beams with mid-span friction dampers and RC slabs. Eng. Struct. 2020, 203, 109876. [Google Scholar] [CrossRef]
- Zhang, P.; Lv, X.; Zhang, H.; Liu, Y.; Chen, B.; Gao, D.; Sheikh, S.A. Experimental investigations of GFRP-reinforced columns with composite spiral stirrups under concentric compression. J. Build. Eng. 2022, 46, 103768. [Google Scholar] [CrossRef]
- Yu, M.; Liao, W.; Liu, S.; Wang, T.; Yu, C.; Cheng, S. Axial compressive performance of ultra-high performance concrete-filled steel tube stub columns at different concrete age. Structures 2023, 55, 664–676. [Google Scholar] [CrossRef]
- Hui, C.; Li, Y.; Li, K.; Hai, R.; Myers, J.J.; Li, C. Experimental study and analysis on seismic performance of special-shaped steel reinforced concrete column frame. Structures 2022, 37, 353–363. [Google Scholar] [CrossRef]
- Fayaz, Q.; Kaur, G.; Bansal, P.P. Numerical Modelling of Seismic Behaviour of an Exterior RC Beam Column Joint Strengthened with UHPFRC and CFRP. Arab. J. Sci. Eng. 2021, 47, 4971–4986. [Google Scholar] [CrossRef]
- Du, Y.; Zhang, Y.; Chen, Z.; Dong, S.; Deng, X.-F.; Qian, K. Seismic behavior of CFRP confined rectangular CFST columns using high-strength materials: Numerical analysis and restoring force model. Structures 2021, 34, 4237–4253. [Google Scholar] [CrossRef]
- Wang, Q.; Lv, J.; Lu, C.-L.; Zhu, W.-X. Experimental study on seismic performance of square RC columns strengthened with multi-layer prestressed CFRP fabric. J. Build. Eng. 2022, 45, 103589. [Google Scholar] [CrossRef]
- Wang, Q.; Liang, X.-H.; Liu, S.-H.; Liu, Y.-H.; Lu, C.-L. Seismic performance of precast columns strengthened with prestressed CFRP. Structures 2023, 58, 105625. [Google Scholar] [CrossRef]
- Qian, K.; Xue, T.-Q.; Deng, X.-F.; Ma, J. Experimental investigation on seismic behavior of Ultra-high performance concrete columns reinforced with GFRP bars. Structures 2023, 53, 568–580. [Google Scholar] [CrossRef]
- Shi, Z.; Cheng, Z.; Xiang, H. Periodic Structures: Theory and Applications to Seismic Isolation and Vibration Reduction; Science Press: Beijing, China, 2017. [Google Scholar]
- Wu, M.; Wang, B.; Ba, Z.; Dai, K.; Liang, J. Vibration isolation of infinitely periodic pile barriers for anti-plane shear waves: An exact series solution. Soil Dyn. Earthq. Eng. 2024, 176, 108347. [Google Scholar] [CrossRef]
- Wu, M.; Wang, B.; Ba, Z.; Dai, K.; Liang, J. Propagation attenuation of elastic waves in multi-row infinitely periodic pile barriers: A closed-form analytical solution. Eng. Struct. 2024, 315, 118480. [Google Scholar] [CrossRef]
- Que, W.-Z.; Yang, X.-D. Longitudinal wave attenuation and bandgap analysis of a novel type hybrid tunable resonator metamaterial. Eng. Struct. 2024, 301, 117308. [Google Scholar] [CrossRef]
- Zhang, F.; Tao, Y.; He, Y.; Qiu, S. Optimization and thermal characterization of a new liquid-cooled plate with branching channels of fractal geometry. Appl. Therm. Eng. 2024, 254, 123881. [Google Scholar] [CrossRef]
- Balankin, A.S. A survey of fractal features of Bernoulli percolation. Chaos Solitons Fractals 2024, 184, 115044. [Google Scholar] [CrossRef]
- Das, A. Fractal pattern of [formula omitted]-hydride with stress-state. Chaos Solitons Fractals 2024, 186, 115148. [Google Scholar] [CrossRef]
- Qin, B.; Zhang, Y. Comprehensive analysis of the mechanism of sensitivity to initial conditions and fractal basins of attraction in a novel variable-distance magnetic pendulum. Chaos Solitons Fractals 2024, 183, 114933. [Google Scholar] [CrossRef]
- Liu, F.C.; Hu, J.; Wang, S.H. Study on the effect of axial compression ratio on lateral stiffness and energy dissipation performance of RC split columns. Build. Struct. 2021, 51, 968–973. [Google Scholar]
- Hao, Y.C.; Hu, Q.C.; Xu, Y.F.; Kang, G. Experimental study on the application of split columns to improve the seismic performance of short columns with high axial compression ratio. J. Build. Struct. 1998, 6, 2–11. [Google Scholar] [CrossRef]
- Hao, Y.C.; Hu, Q.C.; Xu, Y.F.; Kang, G. Experimental study on bearing capacity of split columns under repeated horizontal loads at low circumference. J. Build. Struct. 1999, 6, 18–25. [Google Scholar] [CrossRef]
- Li, Z.X.; Hao, Y.C.; Zhang, J.Y. Seismic performance of joints in beams and columns of reinforced concrete split column frames. J. Build. Struct. 2001, 22, 55–60. [Google Scholar]
- Li, Z.X.; Hao, Y.C.; Zhou, B.; Kang, G.Y.; Hu, Q.C.; Xu, Y.F. Model test study on seismic performance of reinforced concrete split column frames. J. Build. Struct. 2003, 6, 1–10+31. [Google Scholar]
- Xu, C.S.; Wang, Y.S.S.; Du, X.L.; Xu, Z.-G.; Zhang, Z.-H. Study on seismic damping effect of split columns in underground station structures. J. Geotech. Eng. 2021, 43, 624–633. [Google Scholar] [CrossRef]
- Wang, H.D.; Gong, Y.L.; Jiang, D.S.; Tan, W. Numerical simulation of seismic toughness of subway stations with split columns. J. Civ. Eng. Manag. 2023, 40, 1–6. [Google Scholar] [CrossRef]
- Borgohain, A.; Bediwy, A.G.; El-Salakawy, E.F. Performance of GFRP-Reinforced Concrete Corbels under Monotonic Loading. J. Compos. Constr. 2024, 28, 04023067. [Google Scholar] [CrossRef]
- Sophianopoulos, D.S.; Deri, A.E. Steel beam-to-column RBS connections with European profiles: I. Static optimization. J. Constr. Steel Res. 2017, 139, 101–109. [Google Scholar] [CrossRef]
- Li, J.; Wang, Y.; Zhang, Z.; Mou, B. Seismic behavior of steel frames with different joints: Shaking table test and finite element analysis. J. Build. Eng. 2023, 70, 106377. [Google Scholar] [CrossRef]
- Dong, J.; Zheng, S.; Zhang, Z.; Liu, H.; Li, Y. Experimental study on seismic performance of RC beam—CFST column joint combination using ECC. Eng. Struct. 2024, 312, 118188. [Google Scholar] [CrossRef]
- He, Y.X.; Zhao, Y.G.; Lin, S.Q.; Zhang, Z.J. Prefabricated bolted PEC beam-to-CFST column joints: Development and its seismic behavior. Eng. Struct. 2024, 314, 118442. [Google Scholar] [CrossRef]
- Hu, G.; Zhang, Z.; Cao, B.; Pan, Z.; Zeng, L. Seismic behavior of precast concrete beam-column joints with bending moment-shear separation controllable plastic hinge. Eng. Struct. 2024, 304, 117585. [Google Scholar] [CrossRef]
- Hung, C.-C.; Hsiao, H.-J. Retrofitting RC beam-column joint subassemblies using UHPC jackets reinforced with high-strength steel mesh. Eng. Struct. 2024, 305, 117764. [Google Scholar] [CrossRef]
- Zhang, J.; Zhang, X.; Pei, Z.; Yuan, W.; Zhang, T. Experimental investigation on seismic behavior of innovative buckling-restrained braced PC frames with energy dissipated connectors. Eng. Struct. 2024, 314, 118394. [Google Scholar] [CrossRef]
- Miceli, E.; Ferrara, S.; Castaldo, P. Confinement effects within the seismic design of reinforced concrete frames: Reliability assessment and comparison. Eng. Struct. 2024, 313, 118248. [Google Scholar] [CrossRef]
- Gu, X.-L.; Zhou, T.; Nagai, K.; Zhang, H.; Yu, Q.-Q. Prediction of seismic performance of a masonry-infilled RC frame based on DEM and ANNs. Eng. Struct. 2024, 316, 118531. [Google Scholar] [CrossRef]
- Dong, G.; Garcia, R.; Pilakoutas, K.; Hajirasouliha, I. A review of optimum seismic design of RC frames: State-of-the-art, challenges and future directions. Eng. Struct. 2024, 315, 118455. [Google Scholar] [CrossRef]
- GB 50010-2010; Code for Design of Concrete Structures. China Architecture & Building Press: Beijing, China, 2010.
- Deng, Y.; Li, A.; Zhang, Y.L.; Li, Y. Seismic performance analysis of new assembled pinned concrete beam-column joint. J. Southeast Univ. 2022, 52, 461–470. [Google Scholar] [CrossRef]
- GB 50010-2010; Code for Structural Design of Buildings. China Architecture & Building Press: Beijing, China, 2024.
- JGJ 138-2016; Technical Specification for Combined Structures. China Architecture & Building Press: Beijing, China, 2016.
- GB 50936-2014; Technical Specification for Steel Pipe Concrete Structures. China Architecture & Building Press: Beijing, China, 2014.
- Jia, J.Q.; Zhu, W.Q.; Wang, J.Z. Study on shear bearing capacity of joints in section steel ultrahigh-strength concrete frames. J. Civ. Eng. 2013, 46, 1–8. [Google Scholar] [CrossRef]
- Elghazouli, A.Y.; Elnashai, A.S. Performance of composite steel/concrete members under earthquake loading. Part II: Parametric studies and design considerations. Earthq. Eng. Struct. Dyn. 1993, 22, 347–368. [Google Scholar] [CrossRef]
- Parra-Montesinos, G.; Wight, J.K. Modeling Shear Behavior of Hybrid RCS Beam-Column Connections. J. Struct. Eng. 2001, 127, 3–11. [Google Scholar] [CrossRef]
- Ma, H.; Li, S.Z.; Li, Z.; Wang, Z.; Liang, J.F. Study on shear bearing capacity of section steel-recycled concrete column-steel beam combination frame joint. Eng. Mech. 2018, 35, 176–186. [Google Scholar] [CrossRef]
- Su, Q.T.; Du, X.; Li, C.; Jiang, X. Testing of basic physical parameters at the interface between steel and concrete. J. Tongji Univ. 2016, 44, 499–506. [Google Scholar]
- Ditommaso, R.; Lamarucciola, N.; Ponzo, F. Prediction of the fundamental period of infilled RC framed structures considering the maximum inter-story drift at different design limit states. Structures 2024, 63, 106422. [Google Scholar] [CrossRef]





























| Name | Concrete | Steel | Gypsum |
|---|---|---|---|
| Density (kg/m3) | 2400 | 7800 | 3000 |
| Modulus of elasticity (MPa) | 3.0 × 104 | 2.06 × 105 | 8 × 104 |
| Yield stress (MPa) | 26.8/2.41(Pressure resistance/Tensile) | 400 | - |
| Poisson’s ratio | 0.2 | 0.3 | 0.23 |
| Dilation angle ψ | 30 | - | - |
| Eccentricity e | 0.1 | - | - |
| Stress ratio Kc | 0.6667 | - | - |
| Viscosity parameter v | 0.0001 | - | - |
| Name | SRCC Joint | NRCC Joint |
|---|---|---|
| Column section size | 9 × (200 × 200) | 600 × 600 |
| Heights (mm) | 4000 | 4000 |
| Longitudinal bar | 36φ14 | 8φ22&4φ28 |
| Hooped bar | φ8@100 | φ14@100 |
| Thickness of protective layer (mm) | 20 | 20 |
| Concrete grade | C40 | C40 |
| Reinforcing steel grade | HRB400 | HRB400 |
| Steel sleeve | Q345 | / |
| Steel sleeve size (mm) | 640 × 640 | / |
| Beam size (mm) | 250 × 600 × 2000 | 250 × 600 × 2000 |
| Working Condition | u | Gc | Gs | p (%) | n | tw (mm) |
|---|---|---|---|---|---|---|
| ZTZ | 0.5 | C40 | - | 1.1 | - | - |
| FDF2 | 0.5 | C40 | Q345 | 1.2 | 2 × 2 | 10 |
| FDF3 | 3 × 3 | |||||
| FDF4 | 4 × 4 | |||||
| FZY1 | 0.1 | C40 | Q345 | 1.2 | 2 × 2 | 10 |
| FZY3 | 0.3 | |||||
| FZY5 | 0.5 | |||||
| FZY7 | 0.7 | |||||
| FC30 | 0.5 | C30 | Q345 | 1.2 | 3 × 3 | 10 |
| FC40 | C40 | |||||
| FC50 | C50 | |||||
| FC60 | C60 | |||||
| FQ235 | 0.5 | C40 | Q235 | 1.2 | 3 × 3 | 10 |
| FQ345 | Q345 | |||||
| FQ460 | Q460 | |||||
| FPG1 | 0.5 | C40 | Q345 | 1.2 | 3 × 3 | 10 |
| FPG2 | 2 | |||||
| FPG3 | 2.8 | |||||
| FPG4 | 3.9 | |||||
| FHD8 | 0.5 | C40 | Q345 | 1.2 | 3 × 3 | 8 |
| FHD10 | 10 | |||||
| FHD12 | 12 |
| Working Condition | Analog Value V (kN) | Theoretical Value Vjc (kN) | V/Vjc |
|---|---|---|---|
| FZY1 | 672.8 | 691.1 | 0.973 |
| FZY3 | 713.7 | 712 | 1.002 |
| FTZ5 | 773.8 | 837 | 0.924 |
| FZY7 | 878.9 | 868 | 1.012 |
| dr,LS,i (%) | |||
|---|---|---|---|
| SLS | 5.92 | 0.75 | 0.1% |
| DLS | 2.50 | 0.75 | 0.5% |
| ULS | 1.87 | 0.75 | 1.2% |
| Frames | |||
|---|---|---|---|
| NRCC frame | 1.6460 | 1.7516 | 0.6075 |
| SRCC frame | 0.7157 | 0.8013 | 1.3972 |
| Seismic Wave | PGA (m/s2) | Original Wave Duration (s) | Interception Duration (s) | Time Interval (s) |
|---|---|---|---|---|
| El Centro | 3.49 | 50 | 30 | 0.02 |
Disclaimer/Publisher’s Note: The statements, opinions and data contained in all publications are solely those of the individual author(s) and contributor(s) and not of MDPI and/or the editor(s). MDPI and/or the editor(s) disclaim responsibility for any injury to people or property resulting from any ideas, methods, instructions or products referred to in the content. |
© 2025 by the authors. Licensee MDPI, Basel, Switzerland. This article is an open access article distributed under the terms and conditions of the Creative Commons Attribution (CC BY) license (https://creativecommons.org/licenses/by/4.0/).
Share and Cite
He, Y.; Liu, F.; Ge, R.; Zhao, W.; Hu, J.; He, J.; Yang, Y. An Innovative Steel Sleeve Dry Connection SRCC Frame: Seismic Performance Evaluation. Buildings 2025, 15, 307. https://doi.org/10.3390/buildings15030307
He Y, Liu F, Ge R, Zhao W, Hu J, He J, Yang Y. An Innovative Steel Sleeve Dry Connection SRCC Frame: Seismic Performance Evaluation. Buildings. 2025; 15(3):307. https://doi.org/10.3390/buildings15030307
Chicago/Turabian StyleHe, Yuxuan, Fangcheng Liu, Ruirui Ge, Wenbo Zhao, Jie Hu, Jie He, and Yuan Yang. 2025. "An Innovative Steel Sleeve Dry Connection SRCC Frame: Seismic Performance Evaluation" Buildings 15, no. 3: 307. https://doi.org/10.3390/buildings15030307
APA StyleHe, Y., Liu, F., Ge, R., Zhao, W., Hu, J., He, J., & Yang, Y. (2025). An Innovative Steel Sleeve Dry Connection SRCC Frame: Seismic Performance Evaluation. Buildings, 15(3), 307. https://doi.org/10.3390/buildings15030307

