Previous Article in Journal
Assessing the Seismic Performance of Prefabricated Coupling Beams Using Double-Lap Sleeves: An Experimental and Numerical Investigation
 
 
Font Type:
Arial Georgia Verdana
Font Size:
Aa Aa Aa
Line Spacing:
Column Width:
Background:
Article

Ultimate Bearing Capacity of Vertically Uniform Loaded Strip Foundations near Slopes Considering Heterogeneity, Anisotropy, and Intermediate Principal Stress Effects

by
Qing Yan
1,
Yuhao Wang
1,
Tian Su
1,2,*,
Zengzeng Zhang
1 and
Shanshan Sun
3
1
Department of Civil Engineering, School of Civil Engineering and Geomatics, Shandong University of Technology, Zibo 255000, China
2
Department of Engineering and Management, International College, Krirk University, No. 3 Soi Ramintra 1, Ramintra Road, Anusaowaree, Bangkhen, Bangkok 10220, Thailand
3
Department of Civil Engineering, School of Civil Engineering, Chang’an University, Xi’an 716000, China
*
Author to whom correspondence should be addressed.
Buildings 2025, 15(23), 4386; https://doi.org/10.3390/buildings15234386
Submission received: 14 November 2025 / Revised: 28 November 2025 / Accepted: 2 December 2025 / Published: 3 December 2025
(This article belongs to the Section Building Structures)

Abstract

Accurate prediction of the bearing capacity of foundations near slopes remains challenging when soils exhibit heterogeneity and anisotropy. Although numerical simulations can account for these effects with high precision, they are computationally demanding and provide limited physical insight. Analytical solutions that can explicitly incorporate spatial variability, directional dependence, and the influence of intermediate principal stress are still lacking. This study addresses this gap by developing an analytical solution for the ultimate bearing capacity of strip foundations near slopes based on the Unified Strength Theory (UST). The method assumes a uniformly distributed surface load and a single-sided failure mode, while introducing heterogeneity and anisotropy coefficients to represent the depth dependent and directional variation of cohesion. Validation against published theoretical, numerical, and experimental results demonstrates strong agreement, with a maximum deviation of 6.2%. Parametric sensitivity analysis indicates that increasing the heterogeneity coefficient from 0 to 1 enhances bearing capacity by 67.9–83.4%, while increasing the anisotropy coefficient from 0.6 to 1.4 reduces it by 20.8–22.3% for different base roughness. Neglecting the intermediate principal stress results in a 64.5–67.9% underestimation of the ultimate bearing capacity with different anisotropy coefficients and base roughness. The proposed analytical model based on the UST provides improved quantitative accuracy and theoretical generality, enabling safer and more economical design of foundations near slopes under heterogeneous and anisotropic soil conditions.

1. Introduction

The mechanical behavior of soils is inherently complex, characterized by spatial heterogeneity and anisotropy resulting from factors such as consolidation pressure, stress history, and cementation effects [1,2,3]. However, many existing studies simplify soils as homogeneous and isotropic materials. Field measurements and previous research have revealed considerable variations in soil shear strength with depth, as strength parameters change significantly at different burial depths [4,5]. Additionally, soil exhibits directional anisotropy, whereby strength parameters at the same depth vary with the direction of shear failure [6,7]. These characteristics critically influence the stability of geotechnical structures, including slopes, retaining walls, and foundations. For example, Yang et al. [8] employed a three-dimensional random finite element method to investigate the vertical bearing capacity of marine single pile composite foundations in rotationally anisotropic multilayered soils. Their results demonstrated that rotational anisotropy in upper soil layers significantly affects pile foundation performance. Chen et al. [9] proposed an improved upper-bound limit analysis method for assessing the seismic bearing capacity of three-dimensional heterogeneous and anisotropic slopes. This method incorporates a discrete angle failure mechanism and a modified pseudo-dynamic approach, accounting for seismic responses, soil damping, and amplification effects. Zou and Peng [10] developed a rotational-translational failure mechanism using upper bound theory to derive an analytical solution for the ultimate support pressure of shallow-buried rectangular tunnels. Their findings emphasized that anisotropy and heterogeneity substantially affect support pressure, with the width-to-height ratio being a key factor for tunnel stability in aquifers. Liu and Liu [11] derived a closed-form solution for seismic active earth pressure in heterogeneous anisotropic soils using a logarithmic spiral rotational failure mechanism, finding that anisotropy markedly reduces active earth pressure while heterogeneity has relatively minor effects. These studies collectively indicate that traditional isotropic assumptions tend to overestimate the stability of geotechnical structures. Quantitative analysis of soil anisotropy and heterogeneity is therefore crucial for optimizing engineering design.
In geotechnical engineering, foundations are often constructed near slope crests, on inclined surfaces, or adjacent to excavations. Examples include road embankments in mountainous regions and structures surrounding metro entrances, where slope effects must be considered [12,13,14,15]. Numerous researchers have investigated the influence of soil heterogeneity and anisotropy on the ultimate bearing capacity of foundations adjacent to slopes. Chu et al. [16] applied lower-bound limit analysis (LBLA) combined with an anisotropic undrained strength (AUS) model to evaluate bearing capacity under inclined loading on heterogeneous anisotropic clay slopes. Their study established multivariate influence relationships and developed predictive equations using the MARS algorithm. Similarly, Foroutan et al. [17] employed lower-bound theory and finite element analysis to investigate the impact of shear strength anisotropy on ultimate pressure capacity, presenting 3D design charts with anisotropy coefficients. Haghsheno et al. [18] integrated the limit equilibrium method with pseudo-static seismic loads and employed a particle swarm optimization algorithm to compute the seismic bearing capacity of foundations situated on heterogeneous anisotropic clay slopes. Their findings indicated that an increased heterogeneity coefficient or a reduced anisotropy ratio enhances bearing capacity. Jin et al. [4] developed a unilateral sliding failure mechanism and utilized the Improved Radial Moving Optimization (IRMO) algorithm to determine the ultimate bearing capacity of foundations adjacent to heterogeneous clay slopes. Both studies enhanced computational efficiency via optimization algorithms and quantified the influence of heterogeneity on the failure mechanisms [4,18]. Gao et al. [19] analyzed the response of strip footings on anisotropic sandy slopes by incorporating a critical state sand model that accounts for fabric evolution, coupled with a non-local approach. Their findings revealed that fabric anisotropy can result in a 100% overestimation of bearing capacity, and that the depth of the sliding surface is significantly influenced by the deposition direction.
The above studies underscore the significant impact of slope geometry on foundation failure mechanisms, providing a theoretical basis for determining bearing capacity. Despite these advances, three critical research gaps remain: (i) most existing methods assume homogeneous and isotropic soils or treat heterogeneity and anisotropy independently, without accounting for their coupled influence on the failure mechanism; (ii) many previous studies rely on numerical or semi-empirical approaches that lack generality and cannot degenerate into known solutions for specific cases (e.g., homogeneous isotropic soils or horizontal ground); and (iii) most analytical models are based on the Mohr–Coulomb failure criterion, which neglects the effect of the intermediate principal stress. Several researchers have noted that soil strength is affected by the intermediate principal stress in different degrees [20,21,22,23]. Disregarding the intermediate principal stress can introduce an inaccuracy of approximately 15–33% [24,25].
The Unified Strength Theory proposed by Yu [25,26] encompasses a range of strength criteria that can approximate major existing models. This theory effectively captures the effect of intermediate principal stress and has been widely applied in bearing capacity analysis [27,28,29,30]. This study considers a strip foundation subjected to a uniform surface load acting near a slope. The soil is modeled as a heterogeneous and anisotropic medium, where cohesion varies linearly with depth and differs with direction. A single-sided limit equilibrium failure mechanism is assumed, representing the potential sliding surface beneath the footing adjacent to the slope. The primary objective is to derive an analytical expression for the ultimate bearing capacity using the Unified Strength Theory (UST), which accounts for the effect of the intermediate principal stress through a unified strength parameter. By introducing heterogeneity and anisotropy coefficients into the UST framework, the proposed model quantitatively evaluates their individual and combined influences on bearing capacity. The analytical solution is further validated against results of existing theoretical solutions, numerical simulations and model tests. Furthermore, its behavior is investigated through sensitivity analyses over a range of key parameters.

2. Problem Definitions and Basic Theories

2.1. Unified Strength Theory (UST)

The UST proposed by Yu [25,26] accounts for the effects of all stress components on the material strength, which is applicable to materials with different tensile and compressive strength characteristics. In geotechnical engineering, compressive stress is typically defined as positive, while tensile stress is negative. Thus, the mathematical formulation of the UST expressed in terms of cohesion c and internal friction angle φ is:
f = 1 sin φ 1 + sin φ σ 1 b σ 2 + σ 3 1 + b = 2 c cos φ 1 + sin φ ,   when   σ 2 σ 1 + σ 3 2 σ 1 σ 3 2 sin φ
f = 1 sin φ 1 + b 1 + sin φ σ 1 + b σ 2 σ 3 = 2 c cos φ 1 + sin φ ,   when   σ 2 σ 1 + σ 3 2 σ 1 σ 3 2 sin φ
where f and f′ represent failure functions. σ1, σ2, and σ3 denote the major, intermediate, and minor principal stresses, respectively. The parameter b is a parameter of the UST (0 ≤ b ≤ 1) that reflects the influence of intermediate principal stress on material strength.
The optimal method for determining the parameter b involves conducting true triaxial tests to obtain the limit loci of a specific soil, which are then compared to the limit loci predicted by the UST. In the π-plane of the UST, the shape of limit loci is shown in Figure 1 [28,31]. Different values of b correspond to distinct strength criteria: when b = 0, the lower bound Mohr-Coulomb failure criterion is obtained; when b = 1, the upper bound twin-shear strength criterion is reached. Although this approach accurately determines b, it requires a substantial amount of true triaxial test data, resulting in high costs.
Yu et al. [32] summarized the internal friction angles of 106 soil types obtained from plane strain and conventional triaxial tests. By incorporating the unified slip line theory for plane strain conditions, a novel method for determining the parameter b was proposed. The calculation expression for b is:
b = 2 sin φ ps sin φ 0 2 sin φ 0 1 + sin φ 0 sin φ ps ,
where φ0 represents the internal friction angle from conventional triaxial tests, and φps represents the internal friction angle from plane strain tests.
Under plane strain conditions, σ2 can be reasonably approximated as (σ1 + σ3)/2 [26,27,28], which satisfies Equation (1b). Consequently, the UST under plane strain conditions can be expressed as:
σ 1 σ 3 2 = σ 1 + σ 3 2 sin φ t + c t cos φ t ,
Based on the stress state of a point on the Mohr circle and Equation (3), the shear strength formula under plane strain conditions derived from the UST is:
τ f = c t + σ tan φ t ,
sin φ t = 2 ( 1 + b ) sin φ 2 + b ( 1 + sin φ ) ,   c t = 2 ( 1 + b ) c cos φ 2 + b ( 1 + sin φ ) 1 cos φ t ,
where ct is the unified cohesion, and φt is the unified internal friction angle.
The varying values of the parameter b correspond to different strength criteria: when b = 0, Equation (4) reduces to the shear strength formula of the Mohr–Coulomb criterion; when b = 1, Equation (4) represents the shear strength formula of the twin-shear stress criterion under plane strain conditions; and for values of 0 < b < 1, Equation (4) yields the shear strength formula for a range of new strength criteria under plane strain conditions. The flexibility of the parameter b not only helps explain the mechanical characteristics of soil under various strength criteria but also offers greater versatility for engineering practice. By adjusting b, strength criteria tailored to specific scenarios and requirements can be derived, thereby enhancing the guidance for research on soil mechanical behavior and engineering design.

2.2. Assumptions of the Failure Mode

Consider a vertically uniform loaded strip foundation with a width B embedded near a slope. The burial depth of the foundation is D, and the slope angle is η. The horizontal distance from the foundation to the slope crest is L = aB, where a is the distance factor, representing the ratio of L to B, as illustrated in Figure 2. When the soil reaches the limit equilibrium state, the ultimate bearing capacity of the foundation is denoted as qu. The analyses conducted in this paper are based on a single-sided failure mode, which is commonly observed when the applied load is localized near the slope. When a vertical uniform load is applied near the slope, the dominant shear stresses develop on the loaded side of the slope, promoting a single-sided slip surface [14,15,16]. This makes the single-sided mode not only representative but also typically the most critical for this type of loading. Based on the single-sided failure mode shown in Figure 2, the sliding zone of foundations near slopes can be divided into three regions: Region I (ABC), Region II (BCD), and Region III (BDFE). The following assumptions are made for this failure mode:
  • The foundation soil experiences general shear failure, forming a continuous sliding surface ACDF. The soil within the sliding zone is in a state of plastic limit equilibrium and is governed by the unified shear strength formula under plane strain conditions (i.e., Equation (4)). The shear strength of the foundation’s lateral soil is neglected, and an equivalent uniformly distributed surcharge q = γD is used as a substitute.
  • The soil on the side near the slope fails first, while the soil on the opposite side of the foundation, although subjected to the same forces, does not experience sliding. It is assumed that Region I forms a symmetrical triangular elastic wedge, where the angle ψ between surfaces BC and AB depends on the roughness of the base. When the base is completely rough, ψ = φt. When the base is completely smooth, ψ = π/4 + φt/2.
  • Region II is the transitional shear zone, where surface CD follows a logarithmic spiral equation with a top angle θ1. Region III is the passive failure zone, where the angle between surface DF and the slope surface EF is π/4 − φt/2. If the angle between the radius r of any point on the logarithmic spiral CD and the initial radius r0 is θ, then r0 and r can be expressed as:
    r 0 = BC ¯ = B 2 cos ψ ,
    r = r 0 exp θ tan φ t = B 2 cos ψ exp θ 2 1 + b sin φ 2 + b 1 + sin φ 2 2 1 + b sin φ 2 ,

2.3. Heterogeneity and Anisotropy of Soil Strength

2.3.1. Characteristics of Soil Strength Heterogeneity and Computational Models

As previously mentioned, most studies on the ultimate bearing capacity of foundations near slopes assume the soil is homogeneous and isotropic [33,34]. However, due to long-term geological processes such as deposition and consolidation, the soil exhibits varying physical and mechanical properties depending on its spatial location. This study focuses exclusively on variations in cohesion with spatial position. Existing research suggests that the variation in cohesion with depth can be approximated by a linear relationship, and a corresponding heterogeneity model for soil strength is developed, as shown in Figure 3a [10,11,35]. In this model, cohesion increases linearly with depth. The cohesion at the shear plane in the horizontal direction at the ground surface is denoted as ch0, while χ is defined as the gradient coefficient representing the rate of cohesion variation with depth. Consequently, the cohesion ch at a depth H below the foundation burial depth can be expressed as:
c h = c h 0 + χ H ,
Considering that Equation (7) is based on the Mohr-Coulomb failure criterion, and similarly, by incorporating the effect of the intermediate principal stress on soil strength according to the unified solution for shear strength under plane strain conditions (i.e., Equation (4)), the unified cohesion at the shear plane in the horizontal direction at the ground surface can be expressed as:
c h 0 t = 2 ( 1 + b ) c h 0 cos φ 2 + b ( 1 + sin φ ) 1 cos φ t ,
By substituting ch0 in Equation (7) with c h 0 t , the unified horizontal cohesion c h t at depth H based on the Unified Strength Theory can be expressed as:
c h t = c h 0 t + χ H = 2 ( 1 + b ) c h 0 cos φ 2 + b ( 1 + sin φ ) 1 cos φ t + χ H ,
Equation (9) effectively describes the heterogeneity of soil strength while also accounting for the effect of the intermediate principal stress on soil strength. This study merely addresses a simple linear cohesion distribution. For practical or nonlinear cohesion variations, as illustrated in Figure 3b, the average cohesion can be determined following a similar procedure, from which the ultimate bearing capacity of foundation adjacent to slope can then be obtained.

2.3.2. Characteristics of Soil Strength Anisotropy and Computational Models

Casagrande et al. [36] experimentally confirmed the existence of spatial anisotropy in soil shear strength, which arises from two distinct mechanisms: inherent anisotropy and induced anisotropy. Inherent anisotropy refers to an intrinsic physical property of natural soil structures resulting from the directional deposition of soil particles during sedimentation. Induced anisotropy, on the other hand, develops due to changes in the stress state and soil structure caused by either natural processes or human activities, leading to directional variations in soil strength [1,35]. This study considers anisotropy only in cohesion, while friction angle is assumed isotropic. The cohesion anisotropy is characterized by its variation with the orientation of the principal stress directions. The directional variation of the major principal stress at each point along the slip surface is illustrated in Figure 4, where σ1 and σ3 represent the major and minor principal stresses, respectively. The relationship between cohesion and the major principal stress, as proposed by Casagrande et al. [36] based on the Mohr-Coulomb failure criterion, is given by:
c ξ = c h sin 2 ξ + c v cos 2 ξ = c h + c v c h cos 2 ξ ,
where ξ represents the angle between the major principal stress σ1 and the vertical direction. ch and cv denote the cohesion in the horizontal and vertical directions, respectively. The anisotropy coefficient k is defined as k = cv/ch. Substituting k into Equation (10) yields:
c ξ = c h 1 + 1 k k cos 2 ξ ,
Similarly, based on the unified shear strength solution given in Equation (4), the relationship between the unified cohesion c ξ t at any point and the major principal stress can be derived by substituting c h t into the above equation, yielding:
c ξ t = c h t 1 + 1 k k cos 2 ξ = c h 0 t + χ H 1 + 1 k k cos 2 ξ ,
Tani and Craig [37] indicated that the range of values for the anisotropy coefficient k in practical engineering applications is between 0.5 and 1.33. Isotropic soil conditions are represented by k = 1, while over-consolidated soil is characterized by k > 1.

3. Analytical Solution of Ultimate Bearing Capacity for Foundations near Slopes

3.1. Derivation of Formula

Based on limit equilibrium theory, the three failure zones (I, II, and III) are treated as isolators for force analysis. Figure 5 illustrates the force equilibrium state of Isolator III. Before performing the force analysis, it is necessary to compute the cohesion along each surface. The average cohesion, taken at the midpoints of surfaces BD and DF, is used to derive the ultimate bearing capacity of foundations near slopes [38]. Here, ε denotes the angle between surface BD and the vertical direction, while ξ1 and ξ2 represent the angles between the major principal stress σ1 and the vertical direction on surfaces BD and DF, respectively. μ is the angle between σ1 and the inclination of the failure surface. Based on the relationship between the Mohr stress circle and the soil shear strength envelope, it is established that μ = π/4 − φt/2 [38,39].
According to the geometric relationship shown in Figure 5, the angle ξ1 on surface BD is:
ξ 1 = μ ε = 3 π 4 φ t 2 θ 1 ψ ,
Substituting Equation (13) into Equation (12) yields the average cohesion c ξ 1 t on surface BD as:
c ξ 1 t = c h 0 t + χ BD ¯ cos ε 2 1 + 1 k k cos 2 ξ 1 ,
where
BD ¯ = BC ¯ e θ 1 tan φ t = B e θ 1 tan φ t 2 cos ψ ,   ε = θ 1 + ψ π 2 ,
Similarly, the angle ξ2 on surface DF is:
ξ 2 = π 2 μ α = π 2 η ,
Substituting Equation (16) into Equation (12) yields the average cohesion c ξ 2 t on surface DF as:
c ξ 2 t = c h 0 t + χ BD ¯ cos ε + 1 2 DF ¯ sin α 1 + 1 k k cos 2 ξ 2 ,
where
DF ¯ = L sin η + BD ¯ cos ε + η sin π / 4 + φ t / 2 ,   α = η π 4 + φ t 2 ,
As illustrated in Figure 5, W3 represents the self-weight of Isolator III, while Ep1 and Ep2 denote the passive earth pressures acting on surfaces BD and DF, respectively. The directions of these pressures form an angle φt with the normal to BD or DF, with their action points located at distances of BD ¯ / 3 or DF ¯ / 3 from point D. Therefore, the static equilibrium equations for Isolator III in both the horizontal and vertical directions are expressed as:
E p 1 cos φ t ε + c ξ 1 t BD ¯ sin ε = E p 2 sin φ t α + c ξ 2 t DF ¯ cos α ,
q L + W 3 + E p 1 sin φ t ε + c ξ 1 t BD ¯ cos ε = E p 2 cos φ t α + c ξ 2 t DF ¯ sin α ,
where
W 3 = γ S 3 , S 3 = 1 2 BD ¯ 2 L cos ε 1 2 sin 2 ε + BD ¯ cos 2 ε tan η + 1 2 DF ¯ L BD ¯ sin ε + BD ¯ cos ε tan η sin α ,
where S3 is the area of quadrilateral BDFE.
By simultaneously solving Equations (19) and (20), the passive earth pressure Ep1 is derived as:
E p 1 = q L + γ S 3 cos φ t sin φ t α + c ξ 2 t DF ¯ ,
Figure 6 presents the force analysis of Isolator II. Similar to Isolator III, the geometric relationship yields an angle ξ3 between the major principal stress σ1 and the vertical direction on surface BC, which can be expressed as:
ξ 3 = π 4 + φ t 2 ψ ,
Substituting Equation (22) into Equation (12) yields the average cohesion c ξ 3 t at the midpoint of BC as:
c ξ 3 t = c h 0 t + χ B tan ψ 2 1 + 1 k k cos 2 ξ 3 ,
For any arbitrary point θ along surface CD, the angle ξ4 between σ1 and the vertical direction can be expressed as:
ξ 4 = ψ + θ π 4 φ t 2 ,
Substituting Equation (24) into Equation (12) yields the cohesion c ξ 4 t at point θ as:
c ξ 4 t = c h 0 t + χ BC ¯ e θ tan φ t sin ψ + θ 1 + 1 k k cos 2 ξ 4 ,
Figure 6 illustrates the force analysis of Isolator II. In this analysis, Ep3 represents the passive earth pressure acting on surface BC, applied at a distance of FG ¯ / 3 from point C and oriented at an angle φt relative to the normal of BC. W2 and S2 denote the self-weight and area of Isolator II, respectively. λ is defined as the horizontal distance from the centroid O of Isolator II to point B. The moment equilibrium equation about point B is expressed as:
Σ M B = 0 θ 1 c ξ 4 t r 2 d θ + 2 3 E p 1 BD ¯ cos φ t 2 3 E p 3 BC ¯ cos φ t + W 2 λ = 0 ,
where
W 2 = γ S 2 ,   S 2 = BC ¯ 2 4 tan φ t e 2 θ tan φ t 1 ,
0 θ 1 c ξ 4 t r 2 d θ = c h 0 t BC ¯ 2 I 1 + 1 k k I 2 + χ BC ¯ 3 I 3 + 1 k k I 4 ,
I 1 = 0 θ 1 e 2 θ tan φ t d θ ,   I 2 = 0 θ 1 cos 2 ψ π 4 φ t 2 + θ e 2 θ tan φ t d θ ,
I 3 = 0 θ 1 sin ψ + θ e 3 θ tan φ t d θ ,   I 4 = 0 θ 1 sin ψ + θ cos 2 ψ π 4 φ t 2 + θ e 3 θ tan φ t d θ ,
To determine the distance λ, a Cartesian coordinate system is established. This system is defined with point B as the origin and the direction of BC as the positive x-axis (as illustrated in Figure 7). Within this coordinate framework, the coordinates of the centroid O of Region III are expressed as (x1, y1). Since CD follows a logarithmic spiral curve, its intrinsic geometric properties govern the calculation of distance λ [33]. The specific expression for λ is derived as:
λ = y 1 sin ψ x 1 cos ψ ,
where
x 1 = 4 tan φ t e 3 θ tan φ t sin θ + 3 tan φ t cos θ 3 tan φ t 3 1 + 9 tan 2 φ t e 2 θ tan φ t 1 BC ¯ ,
y 1 = 4 tan φ t e 3 θ tan φ t 3 tan φ t sin θ cos θ + 1 3 1 + 9 tan 2 φ t e 2 θ tan φ t 1 BC ¯ ,
The passive earth pressure Ep3 can be calculated from Equation (26) as:
E p 3 = 3 2 0 θ 1 c ξ 4 t r 2 d θ BC ¯ cos φ t + e θ 1 tan φ t E p 1 + 3 2 γ S 2 λ BC ¯ cos φ t ,
Figure 8 presents the force analysis of the symmetric semi-structure of Isolator I. Here, W1 and S1 signifies the self-weight and area of Isolator I. The force equilibrium equation in the vertical direction is formulated as:
q u B 2 + W 1 2 = E p 3 cos ψ φ t + c ξ 3 t BC ¯ sin ψ ,
where
W 1 = γ S 1 ,   S 1 = B 2 4 tan ψ ,
Substituting Equations (21) and (28) into Equation (29), the ultimate bearing capacity qu of heterogeneous and anisotropic foundations near slopes based on the Unified Strength Theory can be derived as:
q u = c h 0 t N c + q N q + 1 2 γ B N γ ,
N c = 1 c h 0 t 0 θ 1 c ξ 4 t r 2 d θ 6 cos ψ φ t cos ψ B 2 cos φ t + 2 B c ξ 2 t DF ¯ cos ψ φ t e θ 1 tan φ t + c ξ 3 t tan ψ ,
N q = 2 L sin φ t α cos ψ φ t e θ 1 tan φ t B cos φ t ,
N γ = 4 S 3 cos ψ φ t sin φ t α e θ 1 tan φ t B 2 cos φ t + 6 S 2 λ cos ψ φ t cos ψ B 3 cos φ t 1 2 tan ψ ,
where Nc, Nq and Nγ are the bearing capacity factors for cohesion, surcharge, and unit weight, respectively.

3.2. Theoretical Degeneration Analysis

The ultimate bearing capacity solution for heterogeneous and anisotropic foundations near slopes, presented herein as Equation (30), is derived from the Unified Strength Theory. It explicitly accounts for the effects of intermediate principal stress, soil heterogeneity, and anisotropy. The parameter b signifies the selection of different strength criteria. Specifically, when b = 0, Equation (30) yields the ultimate bearing capacity solution for heterogeneous and anisotropic foundations near slopes based on the Mohr-Coulomb failure criterion. Conversely, when b = 1, Equation (30) is applicable to bearing capacity computations using the twin-shear strength criterion. For intermediate values where 0 < b < 1, Equation (30) provides a novel set of solutions for the ultimate bearing capacity of heterogeneous and anisotropic foundations near slopes.
The analysis can be adapted to specific soil characteristics through the adjustment of the heterogeneity coefficient ν and the anisotropy coefficient k. Conditions of heterogeneity and anisotropy are represented when ν > 0 and k ≠ 1, respectively. Conversely, the solution simplifies to cases of homogeneous and isotropic soils when ν = 0 and k = 1. This solution provides a robust theoretical foundation for various engineering applications, proving particularly valuable for the optimized design of foundations near slopes in environments characterized by complex geological conditions. In practical engineering, the process of using Equation (30) for the design of foundations near slopes is shown in Figure A1 of Appendix A.

4. Comparisons and Validations

To validate the accuracy and reasonableness of the established unified solution for the ultimate bearing capacity of heterogeneous and anisotropic foundations near slopes, comparative analyses are conducted against the results of reported theoretical solutions [4,40], model tests [41,42] and numerical simulations [16].

4.1. Comparisons with Results of Theoretical Solutions

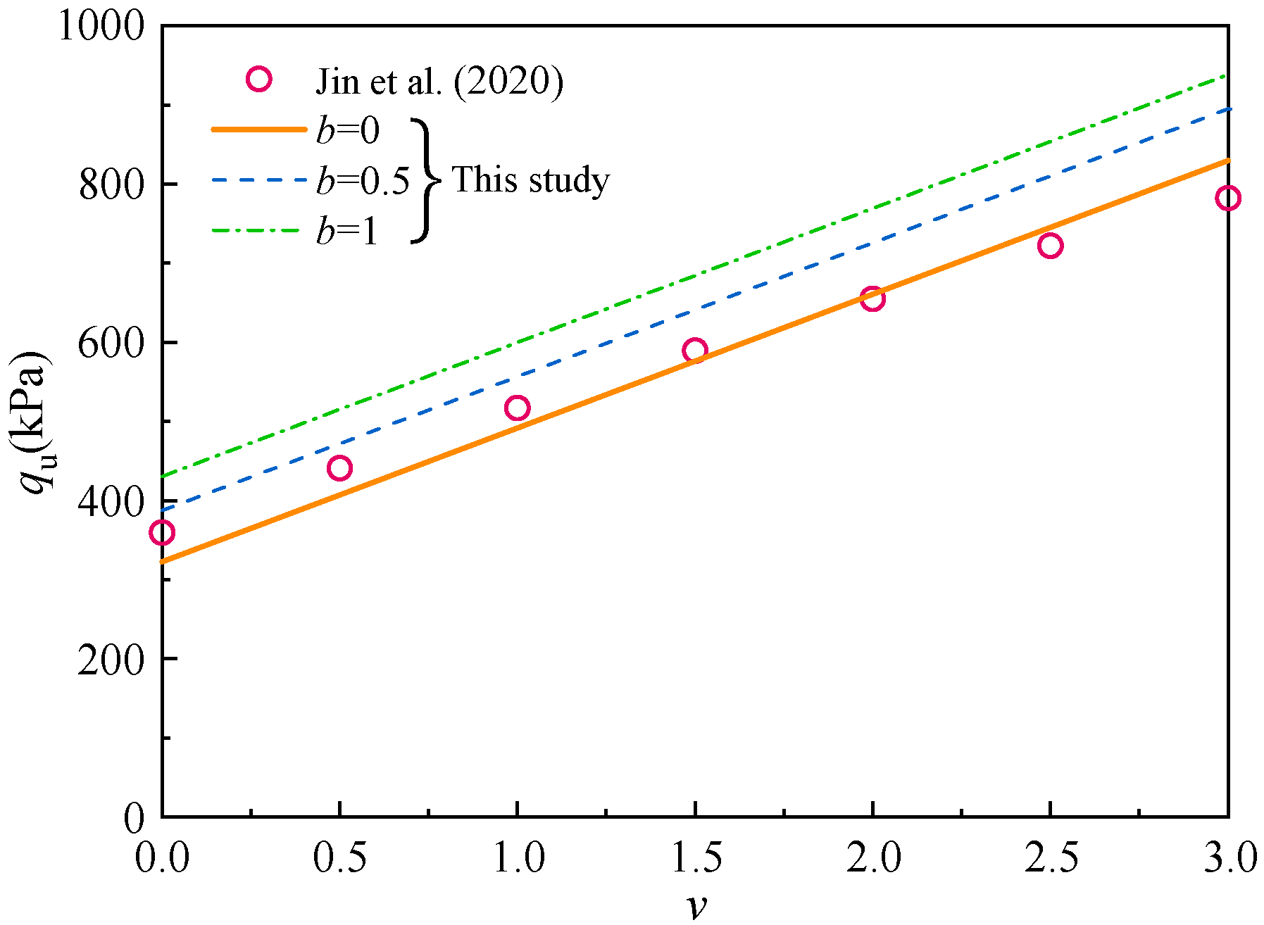
4.1.1. A Comparison with the Result of Jin et al. [4]

Jin et al. [4] developed a unilateral slip failure mechanism for foundations adjacent to slopes in heterogeneous clay and established a constraint expression for the ultimate bearing capacity using the upper-bound limit analysis theory. They achieved the search for critical slip surfaces and optimized the limit bearing capacity calculations by solving for the extreme values of variable boundary multi-dimensional objective functions through the Improved Radial Movement Optimization (IRMO) algorithm. The example parameters from Jin et al. [4] were adopted: ch0 = 10 kPa, φ = 0°, γ = 18 kN/m3; B = 2 m, D = 0 m, η = 30°. Furthermore, since Jin et al. [4] did not account for soil anisotropy, the anisotropy coefficient k was set to 1. To better quantify the influence of soil heterogeneity on the ultimate bearing capacity of foundations near slopes, the heterogeneity coefficient ν = χ B / c h 0 t was introduced to characterize its impact.
Figure 9 presents a comparison between the results of Jin et al. [4] and the computational values from Equation (30) for parameter values b = 0, 0.5, and 1. When b = 0, i.e., without considering the intermediate principal stress effect, the computational results from Equation (30) in this study are closely aligned with the upper-bound solution of Jin et al. [4] based on the Mohr-Coulomb failure criterion, exhibiting an average relative error of only 4.5%. This finding thus validates the effectiveness of Equation (30). The bearing capacities obtained by both methods demonstrate a progressive increase as the heterogeneity coefficient ν is augmented. When b = 0.5 and b = 1, thereby incorporating the intermediate principal stress effect, the computational results from Equation (30) are enhanced.

4.1.2. A Comparison with the Result of Hou et al. [40]

Hou et al. [40] established a kinematically admissible velocity field and energy dissipation calculation formulas by incorporating a unilateral failure mechanism for strip foundations adjacent to slopes, introducing heterogeneity and anisotropy coefficients. Concurrently, they derived the upper-bound expression for the bearing capacity factor Nc based on the Mohr-Coulomb failure criterion and obtained the minimum upper-bound solution using a optimization program. For comparison, the parameters from Hou et al. [40] (φ = 20°, a = 1, η = 20°) were adopted. Figure 10 presents a comparison between the upper-bound solutions of Hou et al. [40] and the calculated values from Equation (31) with b = 0 in this study. The results show that both the limit equilibrium method with Equation (31) and the upper-bound method of Hou et al. [40] yield consistent trends: the cohesion bearing capacity factor Nc increases with the heterogeneity coefficient ν. Although the values obtained from the former are slightly lower than those from the latter, the discrepancy is marginal, with an average relative error of only 4.1%. This agreement, to some extent, validates the accuracy and applicability of the proposed Equation (31).

4.2. Comparison with Results of Model Tests

4.2.1. A Comparison with the Result of Keskin and Laman [41]

Keskin and Laman [41] conducted a series of laboratory model tests to investigate the variation in the ultimate bearing capacity of strip foundations on sandy slopes under different conditions. The experimental parameters were as follows: B = 0.07 m, D = 0 m, c = 0.1 kPa, φ = 41.8°, η = 25° and γ = 17 kN/m3. Since Keskin and Laman [41] employed a layered compaction method with identical compaction procedures for each soil layer during the preparation of the foundation soil model, the foundation soil can be regarded as homogeneous and isotropic. The experiments were conducted under smooth base conditions. Consequently, the measured values reported by Keskin and Laman [41] are compared with the computed values from Equation (30) of this study, with ν = 0, k = 1 and ψ = π/4 + φt/2.
The results presented in Figure 11 demonstrate that both the calculated ultimate bearing capacity qu from this study using Equation (30) and the experimental results from Keskin and Laman [41] exhibit a significant increase with the distance from the foundation to the slope crest (characterized by the coefficient a). Moreover, the calculated values from Equation (30) with b = 0.75 show good agreement with the measured values from Keskin and Laman [41], with an average relative error of only 4.0%, thereby validating the solution presented herein. This also suggests that the shear strength of the sandy soil tested by Keskin and Laman [41] is appropriately described by Equation (4) with b = 0.75. When the parameter b = 0, the calculated values from Equation (30) are lower than the measured values, implying that the Mohr-Coulomb failure criterion (b = 0), by neglecting the effect of the intermediate principal stress, underestimates the foundation’s bearing potential. Conversely, when the parameter b = 1, the calculated values are substantially higher than the measured values, overstating the contribution of the intermediate principal stress to enhanced soil strength.

4.2.2. A Comparison with the Results of Castelli and Lentini [42]

Castelli and Lentini [42] conducted scaled model tests to investigate the influence of foundation location on the bearing capacity of slope foundations under smooth base conditions. A comparison between the experimental results reported by Castelli and Lentini [42] and the calculated values obtained from Equation (30) in this study is presented in Table 1. The corresponding parameters are D = 0 m, η = 30°, H = 0.28 m, γ = 17.5 kN/m3, c = 0.1 kPa, and φ = 38°.
As shown in Table 1, when the parameter b = 0.75, the ultimate bearing capacity values calculated using Equation (30) are in close agreement with the experimental measurements of Castelli and Lentini [42], with an average relative error (MRE) of only 6.2%. This result verifies the accuracy and applicability of Equation (30) proposed in this study and indicates that the shear strength of the test sand from Castelli and Lentini [42] can also be determined by Equation (4) when b = 0.75. Furthermore, when the intermediate principal stress is neglected (b = 0), the calculated values from Equation (30) are considerably lower than the experimental results, whereas the predictions for b = 1 are slightly overestimated.

4.3. Comparisons with Results of Numerical Simulations

Chu et al. [16] employed lower bound limit analysis and the anisotropic undrained strength model to evaluate the bearing capacity of foundations on submarine slopes, considering anisotropy and heterogeneous strength gradients. The numerical simulation results of Chu et al. [16] indicate that a single-sided failure mode often occurs when the foundation is located close to a slope, which is consistent with the assumption adopted in this study. Figure 12 compares the ultimate bearing capacities obtained in this work with those reported by Chu et al. [16]. The calculation parameters are as follows: φ = 0°, γ = 20 kN/m3, B = 1 m, D = 0 m, and η = 45°. It can be observed that the predicted bearing capacity in this study and that obtained from the numerical simulations both increase significantly with the initial cohesion ch0. The results of the two methods show close agreement, with average relative errors of only 5.9% and 1.0% for heterogeneity coefficients v = 0.5 and 1.0, respectively. These findings confirm the validity and applicability of the analytical solution proposed in this study (i.e., Equation (30)).

5. Parametric Sensitivity Analysis

To investigate the influence characteristics of intermediate principal stress, heterogeneity, and anisotropy of soil strength on the ultimate bearing capacity of foundations near slopes, the following parameters are employed: ch0 = 10 kPa, φ = 30°, γ = 18 kN/m3, B = 1 m, D = 1 m, η = 30°. The analysis considers varying degrees of base roughness, with the angle ψ defined as ψ = φt for a completely rough base and ψ = π/4 + φt/2 for a completely smooth base.

5.1. Effect of Intermediate Principal Stress

The parameter b of the Unified Strength Theory quantifies the influence of the intermediate principal stress on the ultimate bearing capacity of foundations near slopes. Figure 13 illustrates the variation in the ultimate bearing capacity qu for heterogeneous and anisotropic foundations adjacent to slopes as a function of the Unified Strength Theory parameter b, with specific values of heterogeneity coefficient ν = 0.2 and anisotropy coefficients k = 0.6, 1, and 1.4. The results presented in Figure 11 clearly indicate that qu increases substantially with an increase in b. For anisotropy coefficients k = 0.6, 1, and 1.4, the ultimate bearing capacity qu increases by 64.5%, 66.3%, and 67.3%, respectively, as the parameter b increases from 0 to 1 under a completely smooth base condition. Similarly, under a completely rough base condition, the corresponding increases in qu are 65.8%, 67.1%, and 67.9%, respectively. These results demonstrate that the intermediate principal stress exerts a significant positive effect on enhancing the ultimate bearing capacity of foundations near slopes. Consequently, the bearing capacity calculated with b = 0 (i.e., neglecting the intermediate principal stress) is notably underestimated. Furthermore, a larger anisotropy coefficient k amplifies the impact of the intermediate principal stress. Therefore, it is crucial for practical engineering applications to judiciously select the appropriate strength criteria based on the specific soil types encountered. This selection should aim to accurately represent the contribution of the intermediate principal stress to the foundation soil strength, thereby maximizing the soil strength potential and achieving cost savings in construction.
Furthermore, the ultimate bearing capacity qu is observed to be greater for a completely rough base compared to a completely smooth base. Specifically, when the parameter b = 0.5, the bearing capacity qu for a completely rough base exceeds that for a completely smooth base by 21.0%, 21.5%, and 21.8% for anisotropy coefficients k = 0.6, 1, and 1.4, respectively. These findings underscore that the influence of base roughness is a significant factor that must not be overlooked in estimating the ultimate bearing capacity of foundations near slopes. Additionally, the effect of base roughness appears to be marginally more pronounced at higher anisotropy coefficients.

5.2. Effect of Soil Heterogeneity

The influence of the heterogeneity coefficient (ν) on the ultimate bearing capacity (qu) of foundations near slopes was investigated to highlight the significance of soil heterogeneity in engineering practice. As shown in Figure 14, the analysis was conducted with an anisotropy coefficient of k = 1 and varying values of the parameter b (0, 0.5, and 1). The results clearly indicate that qu increases substantially with an increasing heterogeneity coefficient ν. Specifically, for b = 0, 0.5, and 1, qu for a completely smooth base increased by 83.4%, 82.2%, and 81.8%, respectively, as ν increased from 0 (homogeneous soil) to 1. For a completely rough base, the corresponding increases in qu are 68.2%, 68.1%, and 67.9%, respectively. This demonstrates the pronounced impact of soil heterogeneity on the ultimate bearing capacity of foundations near slopes. The enhancement effect arises from the increasing cohesion gradient associated with higher ν values, which leads to a significant uplift in bearing capacity. This observation aligns with the classical elastoplastic theory, which emphasizes the critical role of material strength parameters in governing bearing capacity. These findings underscore the importance of considering soil heterogeneity, as its omission can result in underestimation of the ultimate bearing capacity. The conventional assumption of homogeneity (ν = 0) may therefore fail to capture the actual strength potential of foundation soils. Notably, the influence of heterogeneity becomes more pronounced when the effect of the intermediate principal stress is less significant, further emphasizing the necessity of accounting for soil heterogeneity in engineering design.

5.3. Effect of Soil Anisotropy

Soil anisotropy is a critical factor affecting the stability of foundations near slopes, typically manifested as directional variations in strength. This study examines the influence of the anisotropy coefficient (k) on the ultimate bearing capacity (qu) of foundations near slopes, as shown in Figure 15. The analysis considers homogeneous soil (ν = 0) and varying intermediate principal stress parameters (b = 0, 0.5, 1). Results indicate that the bearing capacity decreases nonlinearly with increasing k. Specifically, as k increases from 0.6 to 1.4, qu for a completely smooth base decreases by 22.3% for b = 0, 21.5% for b = 0.5, and 20.9% for b = 1. For a completely rough base, the corresponding decreases in qu are 21.8%, 21.2%, and 20.8%, respectively. The rate of reduction is steep when k < 1 but becomes more gradual as k exceeds 1. This behavior can be attributed to the directional dependence of soil strength. With increasing k, the vertical cohesion decreases, reducing the soil’s shear resistance in the vertical direction. The reduction promotes the propagation of potential failure surfaces and weakens the overall bearing capacity. Although horizontal cohesion primarily depends on depth, diminished vertical cohesion makes the soil more prone to failure along weaker planes under shear loading. Thus, soil anisotropy adversely affects the stability of foundations near slopes, though the magnitude of this effect is slightly reduced when intermediate principal stress effects are considered. Engineering measures such as layered compaction or directional reinforcement can help mitigate anisotropy in naturally deposited soils, thereby improving foundation stability.

6. Discussions

6.1. Interpretation of Results

The analytical results based on the UST demonstrate that soil heterogeneity, anisotropy, and the intermediate principal stress parameters exert significant and quantifiable influences on the ultimate bearing capacity of foundations near slopes subjected to uniform loading. The parametric sensitivity analysis reveals that when the heterogeneity coefficient ν increases from 0 to 1, the ultimate bearing capacity rises by approximately 67.9–83.4% for different base roughness, primarily due to the progressive enhancement of shear strength with depth. In contrast, as the anisotropy coefficient k increases from 0.6 to 1.4, the bearing capacity decreases by about 20.8–22.3% for different base roughness, indicating that directional dependence in soil properties weakens its shear strength. Furthermore, neglecting the effect of the intermediate principal stress (i.e., adopting the Mohr–Coulomb failure criterion) leads to an underestimation of the bearing capacity by approximately 64.5–67.9% for different anisotropy coefficients and base roughness. Overall, the proposed formulation not only extends the classical Mohr–Coulomb models but also provides a more realistic and flexible theoretical framework for analyzing bearing capacity under complex soil conditions.
The proposed analytical solution exhibits good agreement with both experimental and numerical results. The maximum deviation between the model predictions and the published experimental data [41,42] is only 6.2%. Moreover, the correlation coefficient between the predicted and measured values is R2 = 0.96, indicating that the proposed model achieves a high level of accuracy and computational efficiency. Compared with numerical simulations that consider soil heterogeneity and anisotropy [16], the deviation does not exceed 5.9%, with a correlation coefficient of R2 = 0.99. In comparison with upper bound solutions [4,40], the proposed method not only captures nearly identical variation trends but also significantly reduces computational demands. The analytical model developed in this study integrates anisotropic strength parameters and depth-dependent cohesion into a unified analytical framework. Furthermore, under specific parameter conditions, the model can degenerate into several existing analytical solutions (e.g., Yan et al. [33]), thereby demonstrating its theoretical consistency and extensibility.

6.2. Limitations and Future Works

This study provides an analytical model for estimating the ultimate bearing capacity of strip foundations near slopes under complex soil conditions. The model incorporates the effects of soil heterogeneity, anisotropy, and the intermediate principal stress through the Unified Strength Theory. These factors are critical for improving the accuracy of bearing capacity predictions, especially in heterogeneous or anisotropic soils, which are commonly encountered in practice. Although the proposed model demonstrates strong generality, several simplifying assumptions still limit its applicability. Future works can extend the research by addressing the following limitations:
(1)
The parameter b plays a key role in controlling the influence of the intermediate principal stress, and its accurate determination typically relies on a series of triaxial tests. Although this study conducted a sensitivity analysis of the parameter b, a comprehensive uncertainty quantification has not yet been performed. Future research could address this limitation by introducing probabilistic or stochastic approaches. For example, Monte Carlo sampling could be employed to propagate the uncertainty of b within the analytical framework and quantitatively evaluate its effect on bearing capacity predictions.
(2)
The model idealizes the soil as a single-layer continuous medium with cohesion varying linearly with depth and a constant internal friction angle, thereby simplifying the natural stratification and nonlinear characteristics of real soils. Nonlinear cohesion–depth relationships, such as exponential or power-law formulations, may be introduced to more accurately describe the actual strength distribution. In addition, a piecewise heterogeneity model could be employed to extend the current theory to natural slope–foundation systems consisting of alternating layers of clay, sand, and silt.
(3)
The present study assumes a single-sided slip surface. Although this assumption simplifies the analysis, the adopted single-sided limit equilibrium mode represents an idealized approximation. In reality, complex slope–foundation interactions may involve multiple failure mechanisms, such as progressive failure or compound slip surfaces. Future work could integrate the analytical model based on the UST with upper-bound kinematic analysis or variational approaches to explore multiple potential failure modes and identify the most critical mechanism under specific boundary conditions.
(4)
The current model neglects time-dependent behaviors such as creep, consolidation, and cyclic loading, which are particularly relevant to the long-term performance evaluation of soft clays and silty soils. Future studies could incorporate viscoplastic constitutive relations or effective stress evolution equations into the UST framework to account for such time-dependent effects (e.g., creep, consolidation, and stress relaxation) and to enable the design of foundations near slopes under sustained or cyclic loading conditions.
(5)
The present analysis is based on rigid–plastic solid theory and the classical slip-line field method, without accounting for strain hardening, dilatancy, or warping effects. An important future direction is to relax the rigid–plastic assumption by incorporating elasto-plastic constitutive models that include strain hardening, dilatancy, and structural evolution. Within the UST framework, the use of incremental plasticity theory or non-associated flow rules could provide a more realistic representation of pre-failure deformation and post-failure response.

7. Conclusions

This study proposes a new analytical formulation for evaluating the ultimate bearing capacity of strip foundations near slopes by integrating the effects of soil heterogeneity, anisotropy, and intermediate principal stress within the Unified Strength Theory framework. The work advances existing geotechnical theory in several scientifically novel aspects and provides quantitative insights verified through sensitivity and validation analyses.
(1)
A unified analytical expression is derived for the single-sided limit equilibrium failure mode under a uniformly distributed surface load, where both heterogeneity and anisotropy are introduced explicitly into the unified shear strength formula under plane strain conditions. Unlike previous approaches based on the Mohr–Coulomb failure criteria, the present model accommodates multiple strength theories through a unified parameter b, representing the intermediate principal stress effect. This generalization allows existing classical solutions (such as the homogeneous, isotropic cases by Yan et al. [33]) to emerge as special cases, thus providing a comprehensive and theoretically consistent foundation for slope–foundation interaction analysis.
(2)
The proposed solution demonstrates high accuracy when validated against results from model tests, with a correlation coefficient of R2 = 0.96 and a maximum deviation of only 6.2%. The results of this study are in good agreement with both theoretical solutions and numerical simulations, exhibiting a maximum discrepancy of only 5.9%. This confirms the model’s capability to capture realistic soil behavior while maintaining analytical simplicity and computational efficiency. Furthermore, this study reveals that the ultimate bearing capacity of foundations adjacent to slopes is significantly influenced by the intermediate principal stress effect, neglecting this effect leads to an approximately 64.5–67.9% underestimation.
(3)
The heterogeneity coefficient is found to enhance the ultimate bearing capacity adjacent to slopes by approximately 67.9–83.4%, reflecting the strengthening of deeper soil layers due to cohesion variation with depth. Conversely, an increase in the anisotropy coefficient leads to an approximately 20.8–22.3% decrease in the ultimate bearing capacity, attributed to the decrease in vertical cohesion along the sliding surface caused by anisotropy. These quantitative results confirm that coupled effects of intermediate principal stress effects, heterogeneity, and anisotropy in bearing capacity analysis. The resulting closed-form expressions enable rapid yet reliable evaluation of bearing capacity for design optimization in heterogeneous, anisotropic soil environments.

Author Contributions

Conceptualization, Q.Y.; methodology, Q.Y. and Y.W.; software, Q.Y. and Y.W.; validation, Q.Y. and T.S.; formal analysis, Q.Y.; investigation, Q.Y. and Z.Z.; resources, Q.Y. and T.S.; data curation, Q.Y. and Y.W.; writing—original draft preparation, Q.Y.; writing—review and editing, T.S. and S.S.; visualization, Q.Y. and S.S.; supervision, T.S. and Z.Z.; project administration, Q.Y.; funding acquisition, Q.Y., T.S. and Z.Z. All authors have read and agreed to the published version of the manuscript.

Funding

This research was funded by the Natural Science Foundation of Shandong Providence (Grant Nos. ZR2025MS802 and ZR2022QD026), and the Start-up Funding for Doctoral Research at Shandong University of Technology (Grant No. 422041).

Data Availability Statement

The data used to support the findings of this study are available from the corresponding author upon request.

Conflicts of Interest

The authors declare no conflicts of interest.

Appendix A

Appendix A.1

In engineering practice, for a strip foundation with width B and depth D located near a slope with slope angle η, and with a horizontal distance L from the foundation to the slope crest, the specific computational steps for estimating the ultimate bearing capacity of foundations using Equation (30) are outlined in Figure A1.
Figure A1. A flowchart of computational steps.
Figure A1. A flowchart of computational steps.
Buildings 15 04386 g0a1

Appendix A.2

Table A1 shows a comprehensive table listing important variables, their physical meanings, and units.
Table A1. Summary of Symbols and Physical Meaning.
Table A1. Summary of Symbols and Physical Meaning.
SymbolDescriptionUnit
bintermediate principal stress parameter of the UST
γunit weight of soilkN/m3
φinternal friction angledegrees
ch0cohesion in the horizontal direction at the ground surfacekPa
χgradient coefficientkN/m3
Hdepth of the calculation pointsm
c h t unified cohesion in the horizontal direction at depth HkPa
c ξ t unified cohesion at any pointkPa
kanisotropy coefficient
νheterogeneity coefficient
Bwidth of the foundationm
Dburial depth of the foundationm
ηslope angledegrees
Lhorizontal distance from the foundation to the slope crestm
λhorizontal distance from the centroid of Isolator II to point Bm
θ1top angle of surface CDdegrees
μangle between σ1 and the inclination of the failure surfacedegrees
εangle between surface BD and the vertical directiondegrees
αangle between surface DF and the horizontal directiondegrees
ξ1angle between σ1 and the vertical direction on surface BDdegrees
ξ2angle between σ1 and the vertical direction on surface DFdegrees
ξ3angle between σ1 and the vertical direction on surface BCdegrees
ξ4angle between σ1 and the vertical direction on surface CDdegrees
S1area of Isolator Im2
S2area of Isolator IIm2
S3area of Isolator IIIm2
ψangle between surfaces BC and ABdegrees
Ncbearing capacity factor for cohesion
Nqbearing capacity factor for surcharge
Nγbearing capacity factor for unit weight
quultimate bearing capacity of the foundationkPa

Appendix A.3

This appendix provides the expanded derivation of some expressions (e.g., integrals in Equation (26), definitions of (I1, …, I4)).
0 θ 1 c ξ 4 t r 2 d θ = 0 θ 1 c h 0 t + χ BC ¯ e θ tan φ t sin ψ + θ 1 + 1 k k cos 2 ξ 4 r 2 d θ         = 0 θ 1 c h 0 t + χ BC ¯ e θ tan φ t sin ψ + θ 1 + 1 k k cos 2 ψ + θ π 4 φ t 2 BC ¯ 2 e 2 θ tan φ t d θ         = 0 θ 1 c h 0 t BC ¯ 2 e 2 θ tan φ t 1 + 1 k k cos 2 ψ + θ π 4 φ t 2 d θ        + 0 θ 1 χ BC ¯ 3 e 3 θ tan φ t sin ψ + θ 1 + 1 k k cos 2 ψ + θ π 4 φ t 2 d θ         = c h 0 t BC ¯ 2 0 θ 1 e 2 θ tan φ t d θ + 1 k k 0 θ 1 e 2 θ tan φ t cos 2 ψ + θ π 4 φ t 2 d θ        + χ BC ¯ 3 0 θ 1 e 3 θ tan φ t sin ψ + θ d θ + 1 k k 0 θ 1 e 3 θ tan φ t sin ψ + θ cos 2 ψ + θ π 4 φ t 2 d θ ,
I1, I2, I3 and I4 are defined to represent integrals in the above equation. Then, the above formula can be simplified as:
0 θ 1 c ξ 4 t r 2 d θ = c h 0 t BC ¯ 2 I 1 + 1 k k I 2 + χ BC ¯ 3 I 3 + 1 k k I 4 ,
The detailed expressions of I1, I2, I3 and I4 are:
I 1 = 0 θ 1 e 2 θ tan φ t d θ = e 2 θ tan φ t 1 2 tan φ t ,
I 2 = 0 θ 1 cos 2 ψ π 4 φ t 2 + θ e 2 θ tan φ t d θ = e 2 θ 1 tan φ t tan 2 φ t cos 2 ψ π 2 φ t + 2 θ 1 + tan φ t sin 2 ψ π 2 φ t + 2 θ 1 + tan 2 φ t + 1 4 tan φ t tan 2 φ t + 1    tan 2 φ t cos 2 ψ π 2 φ t + tan φ t sin 2 ψ π 2 φ t + tan 2 φ t + 1 4 tan φ t tan 2 φ t + 1 ,
I 3 = 0 θ 1 sin ψ + θ e 3 θ tan φ t d θ = e 3 θ 1 tan φ t 3 tan φ t sin ψ + θ 1 cos ψ + θ 1 3 tan φ t sin ψ + cos ψ 9 tan 2 φ t + 1 ,
I 4 = 0 θ 1 sin ψ + θ cos 2 ψ π 4 φ t 2 + θ e 3 θ tan φ t d θ = e 3 θ 1 tan φ t 3 tan φ t sin π 2 + φ t ψ θ 1 + cos π 2 + φ t ψ θ 1 4 9 tan 2 φ t + 1    + e 3 θ 1 tan φ t tan φ t sin 3 ψ π 2 φ t + 3 θ 1 cos 3 ψ π 2 φ t + 3 θ 1 12 tan 2 φ t + 1     e 3 θ 1 tan φ t cos ψ + θ 1 3 tan φ t sin ψ + θ 1 + cos ψ 3 tan φ t sin ψ 2 9 tan 2 φ t + 1     3 tan φ t sin π 2 + φ t ψ + cos π 2 + φ t ψ 4 9 tan 2 φ t + 1 tan φ t sin 3 ψ π 2 φ t cos 3 ψ π 2 φ t 12 tan 2 φ t + 1

References

  1. Cao, W.; Li, W.; Yi, H.; Liu, Y. Probability Analysis of Undrained Clay Slope Stability Considering Strength Anisotropy and Heterogeneous Rotated Anisotropy. Front. Earth Sci. 2025, 13, 1581457. [Google Scholar] [CrossRef]
  2. Du, D.; Dias, D.; Yang, X. Analysis of Earth Pressure for Shallow Square Tunnels in Anisotropic and Non-Homogeneous Soils. Comput. Geotech. 2018, 104, 226–236. [Google Scholar] [CrossRef]
  3. Liu, H.; Li, M.; Shao, J.; Zhang, W.; Yang, Q.; Li, Y.; Su, T.; Mei, X. Dynamic Response Research of Dangerous Rockfall Impact Protection Structures. Struct. Durab. Health Monit. 2025, 19, 1563–1588. [Google Scholar] [CrossRef]
  4. Jin, L.; Feng, Y.; Zhang, H.; Feng, Q. The Use of Improved Radial Movement Optimization to Calculate the Ultimate Bearing Capacity of a Nonhomogeneous Clay Foundation Adjacent to Slopes. Comput. Geotech. 2020, 118, 103338. [Google Scholar] [CrossRef]
  5. Liu, X.; Tang, L.; El Naggar, M.; Li, L.; Zhang, Z.; Sun, J.; Wu, W. A Novel Theoretical Model of Heterogeneous Soil-Pile Interaction for Investigating the Torsionally Loaded Pile. Appl. Math. Model. 2025, 139, 115833. [Google Scholar] [CrossRef]
  6. Chen, C.; Yan, L.; Zhang, X.; Wang, Y.; Sun, Z.; Xu, M. Theoretical Solution for Drained Cylindrical Cavity Expansion in Sands Incorporating Fabric Anisotropy Using the SANISAND-F Model. Comput. Geotech. 2025, 186, 107380. [Google Scholar] [CrossRef]
  7. Zhao, R.; Yao, Y.-P.; Liu, H.; Liu, F. The ACUH Model: A Unified Hardening Constitutive Model for Anisotropically Consolidated Loess Considering Intermediate Principal Stress Effects. Transp. Geotech. 2025, 54, 101617. [Google Scholar] [CrossRef]
  8. Yang, Z.Y.; Chen, J.X.; Feng, Y.; Li, X.Y. Probabilistic Analysis of Offshore Single Pile Composite Foundation Considering Rotated Anisotropy Spatial Variability of Multi-Layered Soils. Comput. Geotech. 2025, 182, 107159. [Google Scholar] [CrossRef]
  9. Chen, G.; Zou, J.; Sheng, Y.; Chen, J.; Yang, T. Three-Dimensional Seismic Bearing Capacity Assessment of Heterogeneous and Anisotropic Slopes. Int. J. Geomech. 2022, 22, 04022148. [Google Scholar] [CrossRef]
  10. Zou, J.; Peng, Z. Stability Analyses of Shallow Rectangular Tunnels in Anisotropic and Nonhomogeneous Soils Using a Kinematic Approach. Int. J. Geomech. 2024, 24, 04024127. [Google Scholar] [CrossRef]
  11. Liu, J.Y.; Liu, J. Seismic Active Earth Pressure in Nonhomogeneous and Anisotropic Soils. Comput. Geotech. 2024, 170, 106315. [Google Scholar] [CrossRef]
  12. Halder, K.; Chakraborty, D. Probabilistic Bearing Capacity of Strip Footing on Reinforced Soil Slope. Comput. Geotech. 2019, 116, 103213. [Google Scholar] [CrossRef]
  13. Brahmi, N.; Ouahab, M.Y.; Mabrouki, A.; Benmeddour, D.; Mellas, M. Probabilistic Analysis of the Bearing Capacity of Inclined Loaded Strip Footings near Cohesive Slopes. Int. J. Geotech. Eng. 2021, 15, 732–739. [Google Scholar] [CrossRef]
  14. Xu, S.; Yang, X.; Yin, Z. Seismic Bearing Capacity of Rectangular Foundations near Slopes Using the Upper Bound Method. Comput. Geotech. 2025, 182, 107133. [Google Scholar] [CrossRef]
  15. Ye, M.; Tang, H. Calculating the Bearing Capacity of Foundations near Slopes Based on the Limit Equilibrium and Limit Analysis Methods. Buildings 2025, 15, 1106. [Google Scholar] [CrossRef]
  16. Chu, X.; Zhu, J.; Chen, H. Assessment of Undrained Bearing Capacity of Foundations on Anisotropic Clay Slope under Inclined Load. J. Mar. Sci. Eng. 2025, 13, 681. [Google Scholar] [CrossRef]
  17. Foroutan Kalourazi, A.; Jamshidi Chenari, R.; Veiskarami, M. Bearing Capacity of Strip Footings Adjacent to Anisotropic Slopes Using the Lower Bound Finite Element Method. Int. J. Geomech. 2020, 20, 04020213. [Google Scholar] [CrossRef]
  18. Haghsheno, H.; Arabani, M. Seismic Bearing Capacity of Shallow Foundations Placed on an Anisotropic and Nonhomogeneous Inclined Ground. Indian Geotech. J. 2021, 51, 1319–1337. [Google Scholar] [CrossRef]
  19. Gao, Z.; Zhao, J.; Li, X. The Deformation and Failure of Strip Footings on Anisotropic Cohesionless Sloping Grounds. Int. J. Numer. Anal. Methods Geomech. 2021, 45, 1526–1545. [Google Scholar] [CrossRef]
  20. Li, B.; Chen, L.; Gutierrez, M. Influence of the Intermediate Principal Stress and Principal Stress Direction on the Mechanical Behavior of Cohesionless Soils Using the Discrete Element Method. Comput. Geotech. 2017, 86, 52–66. [Google Scholar] [CrossRef]
  21. Huang, K.; Ma, Q.; Cai, G.; Ma, D.; Yao, Z.; Zhang, H. Influence of Intermediate Principal Stress Ratio on Strength and Deformation Characteristics of Frozen Sandy Soil under Different Moisture Contents. Cold Reg. Sci. Technol. 2023, 213, 103909. [Google Scholar] [CrossRef]
  22. Xie, W.; Ye, G.; Zhang, Q.; Zhu, W.; Zhang, F. Experimental Investigation on Mechanical Behavior of Natural Soft Clay by True Triaxial Tests. Can. Geotech. J. 2025, 62, 1–18. [Google Scholar] [CrossRef]
  23. Wei, H.; Yao, Z.; Wang, X.; Song, Z. The Mechanical Properties of Frozen Peat Soil under True Triaxial Testing and Intelligent Constitutive Modeling Based on Prior Information. Cold Reg. Sci. Technol. 2025, 236, 104496. [Google Scholar] [CrossRef]
  24. Comanici, A.M.; Barsanescu, P.D. Modification of Mohr’s Criterion in Order to Consider the Effect of the Intermediate Principal Stress. Int. J. Plast. 2018, 108, 40–54. [Google Scholar] [CrossRef]
  25. Yu, M.H. Unified Strength Theory and Its Applications, 2nd ed.; Springer: Singapore; Xi’an Jiaotong University Press: Singapore, 2018. [Google Scholar]
  26. Yu, M.H. Unified Strength Theory for Geomaterials and its Applications. Chin. J. Geotech. Eng. 1994, 16, 1–10. (In Chinese) [Google Scholar]
  27. Deng, L.; Fan, W.; Yu, B.; Wang, Y. Influence of the Unified Strength Theory Parameters on the Failure Characteristics and Bearing Capacity of Sand Foundation Acted by a Shallow Strip Footing. Adv. Mech. Eng. 2020, 12, 1687814020907774. [Google Scholar] [CrossRef]
  28. Yan, Q.; Zhao, J.; Zhang, C.; Wang, J. Ultimate Bearing Capacity of Strip Foundations in Unsaturated Soils Considering the Intermediate Principal Stress Effect. Adv. Civ. Eng. 2020, 2020, 8854552. [Google Scholar] [CrossRef]
  29. Ma, Z.; Liao, H.; Dang, F.-N. Influence of Intermediate Principal Stress on the Bearing Capacity of Strip and Circular Footings. J. Eng. Mech. 2014, 140, 4014041. [Google Scholar] [CrossRef]
  30. Deng, L.; Fan, W.; Yin, Y.; Wang, Y. Parametric Study of the Unified Strength Theory for a Loess Foundation Supporting a Strip Footing. Environ. Earth Sci. 2019, 78, 344. [Google Scholar] [CrossRef]
  31. Zhang, C.; Shi, M.; Wang, S.; Cao, H.; Li, T. Closed-form Solutions of Translatory Coal Seam Bumps Considering the Intermediate Principal Stress and Gas Pressure. Int. J. Numer. Anal. Methods Geomech. 2025, 49, 2695–2708. [Google Scholar] [CrossRef]
  32. Yu, M.H.; Wu, X.X.; Shi, J.; Zhou, G.C. A New Method for Determining Soil Failure Criteria. J. Xi’an Jiaotong Univ. 2020, 54, 1–10. (In Chinese) [Google Scholar]
  33. Yan, Q.; Zhao, J.; Zhang, C. Ultimate Bearing Capacity of a Strip Foundation near Slopes Based on the Unified Strength Theory. Arab. J. Geosci. 2021, 14, 2218. [Google Scholar] [CrossRef]
  34. Chen, T.; Xiao, S. An Upper Bound Solution to Undrained Bearing Capacity of Rigid Strip Footings near Slopes. Int. J. Civ. Eng. 2020, 18, 475–485. [Google Scholar] [CrossRef]
  35. Shiau, J.; Lai, V.Q.; Keawsawasvong, S. Multivariate Adaptive Regression Splines Analysis for 3D Slope Stability in Anisotropic and Heterogenous Clay. J. Rock Mech. Geotech. Eng. 2023, 15, 1052–1064. [Google Scholar] [CrossRef]
  36. Casagrande, A.; Carillo, N. Shear Failure of Anisotropic Materials. J. Boston Soc. Civ. Eng. 1944, 31, 74–87. [Google Scholar]
  37. Tani, K.; Craig, W.H. Bearing Capacity of Circular Foundations on Soft Clay of Strength Increasing with Depth. Soils Found. 1995, 35, 21–35. [Google Scholar] [CrossRef]
  38. Reddy, A.S.; Rao, K.N.V. Bearing Capacity of Strip Footing on c-φ Soils Exhibiting Anisotropy and Nonhomogeneity in Cohesion. Soils Found. 1982, 22, 49–60. [Google Scholar] [CrossRef]
  39. Lo, K.Y. Stability of Slopes in Anisotropic Soils. J. Soil Mech. Found. Div. 1965, 91, 85–106. [Google Scholar] [CrossRef]
  40. Hou, C.; Zhang, Y.; Sun, Z.; Deng, X. Calculation of Upper Bound of Bearing Capacity of Non-homogeneous and Anisotropic Foundation Adjacent to Slope. J. Highw. Transp. Res. Dev. 2019, 36, 21–27. (In Chinese) [Google Scholar]
  41. Keskin, M.S.; Laman, M. Model Studies of Bearing Capacity of Strip Footing on Sand Slope. KSCE J. Civ. Eng. 2013, 17, 699–711. [Google Scholar] [CrossRef]
  42. Castelli, F.; Lentini, V. Evaluation of the Bearing Capacity of Footings on Slopes. Int. J. Phys. Model. Geotech. 2012, 12, 112–118. [Google Scholar] [CrossRef]
Figure 1. Limit loci of the Unified Strength Theory on a deviatoric plane.
Figure 1. Limit loci of the Unified Strength Theory on a deviatoric plane.
Buildings 15 04386 g001
Figure 2. Failure mode of foundations near slopes.
Figure 2. Failure mode of foundations near slopes.
Buildings 15 04386 g002
Figure 3. Variations in cohesion with depth: (a) Linear distribution; (b) Nonlinear distribution.
Figure 3. Variations in cohesion with depth: (a) Linear distribution; (b) Nonlinear distribution.
Buildings 15 04386 g003
Figure 4. Anisotropy of cohesion: (a) The directional variation of σ1; (b) Relationship between c h t   and   c v t .
Figure 4. Anisotropy of cohesion: (a) The directional variation of σ1; (b) Relationship between c h t   and   c v t .
Buildings 15 04386 g004
Figure 5. Force analysis of Isolator III.
Figure 5. Force analysis of Isolator III.
Buildings 15 04386 g005
Figure 6. Force analysis of Isolator II.
Figure 6. Force analysis of Isolator II.
Buildings 15 04386 g006
Figure 7. Geometric properties of Isolator II.
Figure 7. Geometric properties of Isolator II.
Buildings 15 04386 g007
Figure 8. Force analysis of the semi-structure of Isolator I.
Figure 8. Force analysis of the semi-structure of Isolator I.
Buildings 15 04386 g008
Figure 9. Comparison with the solution from Jin et al. (2020) [4].
Figure 9. Comparison with the solution from Jin et al. (2020) [4].
Buildings 15 04386 g009
Figure 10. Comparison with the solution from Hou et al. (2019) [40].
Figure 10. Comparison with the solution from Hou et al. (2019) [40].
Buildings 15 04386 g010
Figure 11. Comparisons with measured results of Keskin and Laman (2013) [41].
Figure 11. Comparisons with measured results of Keskin and Laman (2013) [41].
Buildings 15 04386 g011
Figure 12. Comparisons with the numerical simulation results of Chu et al. [16].
Figure 12. Comparisons with the numerical simulation results of Chu et al. [16].
Buildings 15 04386 g012
Figure 13. Effect of intermediate principal stress with different k.
Figure 13. Effect of intermediate principal stress with different k.
Buildings 15 04386 g013
Figure 14. Effect of soil heterogeneity with different b.
Figure 14. Effect of soil heterogeneity with different b.
Buildings 15 04386 g014
Figure 15. Effect of soil anisotropy with different b.
Figure 15. Effect of soil anisotropy with different b.
Buildings 15 04386 g015
Table 1. Comparisons with results of model tests from Castelli and Lentini (2012) [42].
Table 1. Comparisons with results of model tests from Castelli and Lentini (2012) [42].
B (m)L (m)Measured
qu (kPa)
Predicted qu (kPa)
b = 0b = 0.75b = 1
0.040.1465.6740.1466.8174.05
0.040.2879.0067.69112.71124.80
0.060.1388.2653.3989.3199.14
0.060.27136.3782.81137.63152.47
0.080.12125.3182.77138.52153.84
0.080.21156.88106.57177.05196.26
0.100.11162.4107.56180.50200.63
0.100.20205.5133.56222.39246.72
MRE (%)36.36.217.8
Disclaimer/Publisher’s Note: The statements, opinions and data contained in all publications are solely those of the individual author(s) and contributor(s) and not of MDPI and/or the editor(s). MDPI and/or the editor(s) disclaim responsibility for any injury to people or property resulting from any ideas, methods, instructions or products referred to in the content.

Share and Cite

MDPI and ACS Style

Yan, Q.; Wang, Y.; Su, T.; Zhang, Z.; Sun, S. Ultimate Bearing Capacity of Vertically Uniform Loaded Strip Foundations near Slopes Considering Heterogeneity, Anisotropy, and Intermediate Principal Stress Effects. Buildings 2025, 15, 4386. https://doi.org/10.3390/buildings15234386

AMA Style

Yan Q, Wang Y, Su T, Zhang Z, Sun S. Ultimate Bearing Capacity of Vertically Uniform Loaded Strip Foundations near Slopes Considering Heterogeneity, Anisotropy, and Intermediate Principal Stress Effects. Buildings. 2025; 15(23):4386. https://doi.org/10.3390/buildings15234386

Chicago/Turabian Style

Yan, Qing, Yuhao Wang, Tian Su, Zengzeng Zhang, and Shanshan Sun. 2025. "Ultimate Bearing Capacity of Vertically Uniform Loaded Strip Foundations near Slopes Considering Heterogeneity, Anisotropy, and Intermediate Principal Stress Effects" Buildings 15, no. 23: 4386. https://doi.org/10.3390/buildings15234386

APA Style

Yan, Q., Wang, Y., Su, T., Zhang, Z., & Sun, S. (2025). Ultimate Bearing Capacity of Vertically Uniform Loaded Strip Foundations near Slopes Considering Heterogeneity, Anisotropy, and Intermediate Principal Stress Effects. Buildings, 15(23), 4386. https://doi.org/10.3390/buildings15234386

Note that from the first issue of 2016, this journal uses article numbers instead of page numbers. See further details here.

Article Metrics

Article metric data becomes available approximately 24 hours after publication online.
Back to TopTop