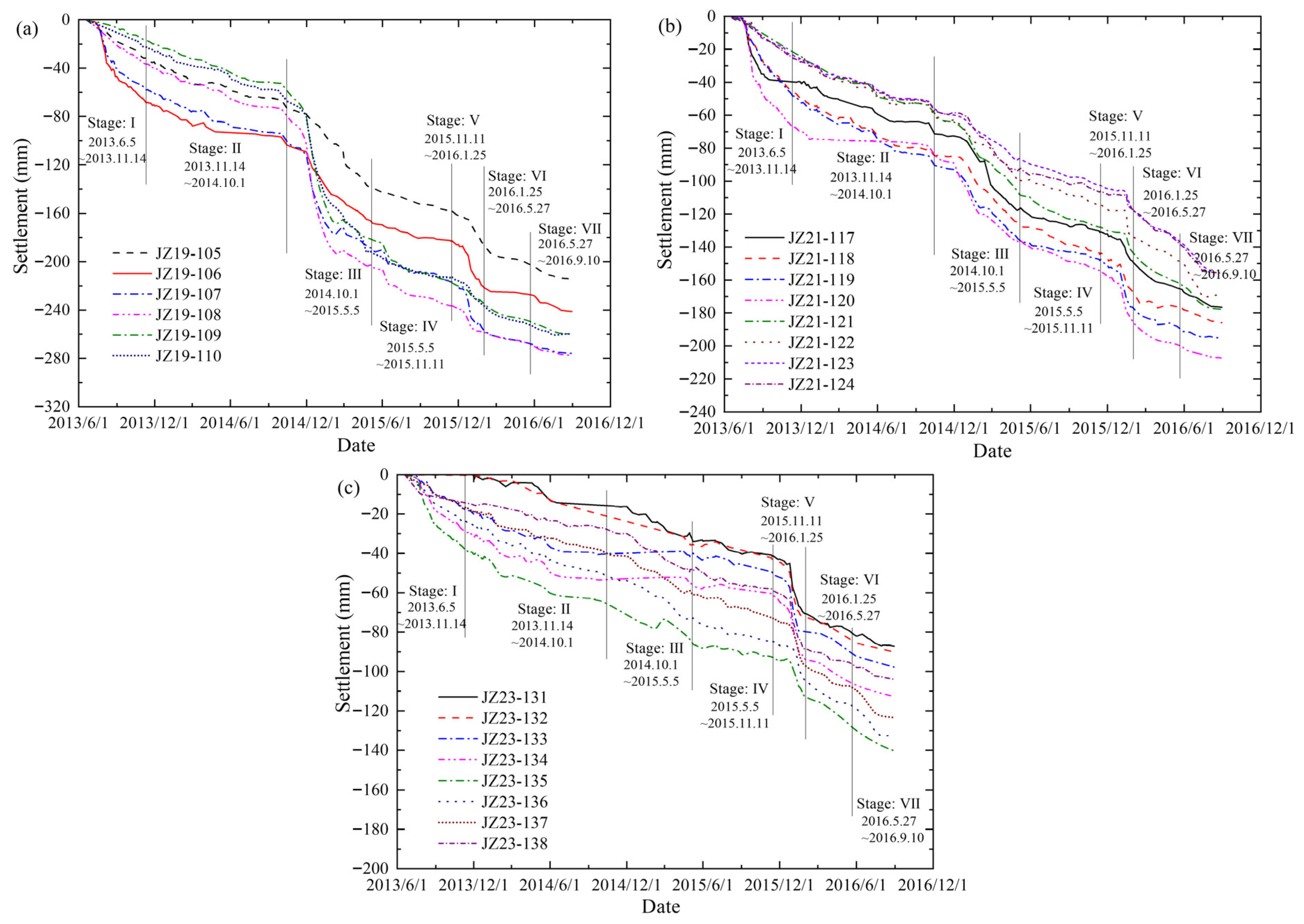
Protection of Low-Strength Shallow-Founded Buildings Around Deep Excavation: A Case Study in the Yangtze River Soft Soil Area
Abstract
Share and Cite
Xu, J.; Deng, H.; Liu, Z.; Dai, G.; Ke, L.; Guo, X.; Zhang, Z. Protection of Low-Strength Shallow-Founded Buildings Around Deep Excavation: A Case Study in the Yangtze River Soft Soil Area. Buildings 2025, 15, 4094. https://doi.org/10.3390/buildings15224094
Xu J, Deng H, Liu Z, Dai G, Ke L, Guo X, Zhang Z. Protection of Low-Strength Shallow-Founded Buildings Around Deep Excavation: A Case Study in the Yangtze River Soft Soil Area. Buildings. 2025; 15(22):4094. https://doi.org/10.3390/buildings15224094
Chicago/Turabian StyleXu, Jiang, Huiyuan Deng, Zhenrui Liu, Guoliang Dai, Lijun Ke, Xia Guo, and Zhitong Zhang. 2025. "Protection of Low-Strength Shallow-Founded Buildings Around Deep Excavation: A Case Study in the Yangtze River Soft Soil Area" Buildings 15, no. 22: 4094. https://doi.org/10.3390/buildings15224094
APA StyleXu, J., Deng, H., Liu, Z., Dai, G., Ke, L., Guo, X., & Zhang, Z. (2025). Protection of Low-Strength Shallow-Founded Buildings Around Deep Excavation: A Case Study in the Yangtze River Soft Soil Area. Buildings, 15(22), 4094. https://doi.org/10.3390/buildings15224094

