Impact Performance of Precast Concrete Sandwich Panels for Prefabricated Residential Buildings
Abstract
1. Introduction
2. Prefabricated Residential Buildings and Their External Walls
2.1. Prefabricated Residential Buildings
2.2. External Walls
3. Experimental Simulation Verification
3.1. Experimental Overview
3.2. Validation Model Parameter Settings
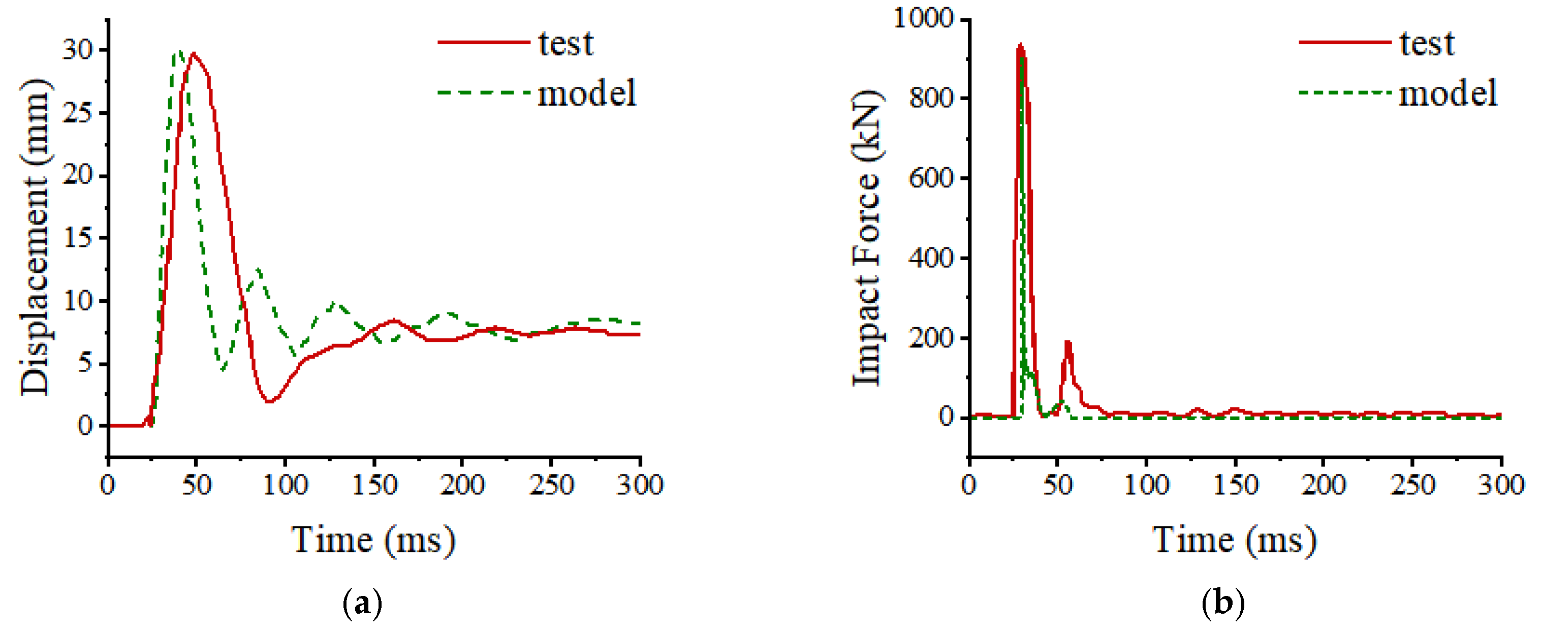
3.3. Model Validation
4. Numerical Model of PCSPs
4.1. Research Subjects and Parameters
4.2. Numerical Model
5. Finite Element Analysis
5.1. Effect of the Impact Velocity
5.2. Effect of the Impact Location
5.3. Effect of the Panel Type
5.4. Discussion of the Impact Performance of PCSPs
6. Conclusions
Author Contributions
Funding
Data Availability Statement
Conflicts of Interest
Abbreviations
| PCSP | Precast concrete sandwich panel |
| FRP | Fiber-reinforced polymer |
| SESCS | Stiffener-enhanced steel–concrete–steel |
| XPS | Extruded foamed polystyrene |
| UHPC | Ultra-high performance concrete |
| CSCM | Continuous surface cap model |
References
- Sah, P.T.; Lacey, W.A.; Hao, H.; Chen, W.S. Prefabricated concrete sandwich and other lightweight wall panels for sustainable building construction: State-of-the-art review. J. Build. Eng. 2024, 89, 109391. [Google Scholar] [CrossRef]
- O’Hegarty, R.; Kinnane, O. Review of precast concrete sandwich panels and their innovations. Constr. Build. Mater. 2020, 233, 117145. [Google Scholar] [CrossRef]
- Joseph, R.D.J.; Prabakar, J.; Alagusundaramoorthy, P. Experimental studies on through-thickness shear behavior of EPS based precast concrete sandwich panels with truss shear connectors. Compos. Part B 2019, 166, 446–456. [Google Scholar] [CrossRef]
- Kinnane, O.; West, R.; Hegarty, O.R. Structural shear performance of insulated precast concrete sandwich panels with steel plate connectors. Eng. Struct. 2020, 215, 110691. [Google Scholar] [CrossRef]
- Joseph, R.D.J.; Prabakar, J.; Alagusundaramoorthy, P. Experimental study on the flexural behavior of insulated concrete sandwich panels with wires as shear connectors. Alex. Eng. J. 2019, 58, 901–908. [Google Scholar] [CrossRef]
- Joseph, R.D.J.; Prabakar, J.; Alagusundaramoorthy, P. Flexural behavior of precast concrete sandwich panels under different loading conditions such as punching and bending. Alex. Eng. J. 2018, 57, 309–320. [Google Scholar] [CrossRef]
- Sushil, K.; Chen, B.Q.; Xu, Y.Y.; Guo, D.J. Axial-flexural behavior of FRP grid-reinforced geopolymer concrete sandwich wall panels enabled with FRP connectors. J. Build. Eng. 2022, 47, 103907. [Google Scholar]
- Sushil, K.; Chen, B.Q.; Xu, Y.Y.; Guo, D.J. Structural behavior of FRP grid reinforced geopolymer concrete sandwich wall panels subjected to concentric axial loading. Compos. Struct. 2021, 270, 114117. [Google Scholar] [CrossRef]
- Waqas, H.A.; Bahrami, A.; Sahil, M.; Khan, A.P.; Ejaz, A.; Shafique, T.; Tariq, Z.; Ahmad, S.; Özkılıç, Y.O. Performance prediction of hybrid bamboo-reinforced concrete beams using gene expression programming for sustainable construction. Materials 2023, 16, 6788. [Google Scholar] [CrossRef] [PubMed]
- Li, H.W.; Chen, W.S.; Hao, H. Dynamic response of precast concrete beam with wet connection subjected to impact loads. Eng. Struct. 2019, 191, 247–263. [Google Scholar] [CrossRef]
- Zhao, H.; Xie, Z.W.; Yang, B.H.; Li, L.J.; Wang, R.; Chen, W.S. Impact resistance performance of precast reinforced concrete barriers with grouted sleeve and steel angle-to-plate connections. Eng. Struct. 2024, 316, 118533. [Google Scholar] [CrossRef]
- Guo, Z.K.; Yu, P.; Huang, X.H.; Chen, X.; Yao, Y.K. Numerical investigation on dynamic behaviour of unbonded post-tensioned precast concrete beam column sub-assemblages under drop impact loading. J. Build. Eng. 2025, 113, 113954. [Google Scholar] [CrossRef]
- Zhou, Y.; Zhang, X.; Yi, F.; Sun, J.M.; Ni, J.; Li, T.; Yi, W.J. Impact resistance and performance of precast shear walls with various connections under axial and lateral loads. Eng. Struct. 2024, 318, 118748. [Google Scholar] [CrossRef]
- Xu, N.; Cheng, X.; Li, Y.; Zhou, Y.J.; Liu, F.F. Numerical studies on dynamic responses and residual axial compressive force capacity of RC shear walls subjected to impact loads. Structures 2025, 74, 108619. [Google Scholar] [CrossRef]
- Zhang, R.B.; Lin, M.F.; Jin, L.; Du, X.L. Influence of Axial Load and Transverse Impact Velocity on the Behavior of Concrete Shear Walls Reinforced with GFRP Bars. J. Compos. Constr. 2023, 27, 04023013. [Google Scholar] [CrossRef]
- Abhishek, M.; Seema. Reinforced concrete slab under projectile impact—A review. Mater. Today Proc. 2023, 93, 475–479. [Google Scholar]
- Dala’ien, A.N.R.; Syamsir, A.; Bakar, A.S.M.; Usman, F.; Abdullah, J.M. Failure Modes Behavior of Different Strengthening Types of RC Slabs Subjected to Low-Velocity Impact Loading: A Review. J. Compos. Sci. 2023, 7, 246. [Google Scholar] [CrossRef]
- Wang, Y.H.; Prasad, T.S.; Liu, S.T.; Zhai, X.M. Experimental and numerical studies on novel stiffener-enhanced steel-concrete-steel sandwich panels subjected to impact loading. J. Build. Eng. 2022, 45, 103479. [Google Scholar] [CrossRef]
- Jung, J.; Yoon, Y.; Jang, W.H.; Hong, J. Investigation on the resistance of steel-plate concrete walls under high-velocity impact. J. Constr. Steel Res. 2019, 162, 105732. [Google Scholar] [CrossRef]
- Fan, W.; Xie, R.H.; Michael, D.; Yin, H.F.; Lai, K.Y.; Wu, Q.L. Crashworthiness and energy absorption of UHPFRC-steel composite sandwich structures under impact loading. Compos. Struct. 2023, 311, 116813. [Google Scholar] [CrossRef]
- Liu, K.; You, Y.Z.; Elchalakani, M.; Kang, B.S. Dynamic behavior of sandwich panel-reinforced concrete composite slabs under low-velocity impact. Eng. Struct. 2025, 333, 120131. [Google Scholar] [CrossRef]
- Zhang, T.S.; Yuan, J.M.; Pang, H.X.; Huang, Z.M.; Guo, Y.Q.; Wei, J.X.; Yu, Q.J. UHPC-XPS insulation composite board reinforced by glass fiber mesh: Effect of structural design on the heat transfer, mechanical properties and impact resistance. J. Build. Eng. 2023, 75, 106935. [Google Scholar] [CrossRef]
- Yang, Y.M.; Ge, Z.S.; Li, Y.Q.; Xiong, Y.; Yuan, Q. Study on impact resistance of precast light-weight concrete sandwich panels. Structures 2023, 47, 966–975. [Google Scholar] [CrossRef]
- Yang, T.; Zhu, D.J.; Guo, S.C.; Zillur, M.R.; Chen, C. Flexural behaviors of sandwich panels with AR-glass textile reinforced concrete under low-velocity impact. J. Build. Eng. 2023, 69, 106238. [Google Scholar] [CrossRef]
- Hosan, A.; Basir, A.; Shaikh, A.U.F.; Chen, W.S. Precast concrete sandwich panels with recycled tire crumb rubber and expanded polystyrene foam cores under low-velocity drop weight impact. Struct. Concr. 2025, 26, 2688–2703. [Google Scholar] [CrossRef]
- Shang, Y.Y.; Li, P.C.; Tang, X.Y.; Xiong, G. Numerical Analysis of Impact Resistance of Prefabricated Polypropylene Fiber-Reinforced Concrete Sandwich Wall Panels. Buildings 2025, 15, 3015. [Google Scholar] [CrossRef]
- 15G365-1; Precast Concrete Shear Wall Exterior Wall Panels. Ministry of Housing and Urban-Rural Development: Beijing, China, 2015. (In Chinese)
- Zhu, W.J. Research on Lateral Impact Behavior and Residual Bearing Behavior of Circular Concrete Filled Steel Tubular Columns with Void Gaps. Master’s Thesis, Hefei University of Technology, Hefei, China, 2024. (In Chinese). [Google Scholar]



























| Panel Number | Impact Energy (J) | Number of Shear Connectors | Wythe Thickness (mm) |
|---|---|---|---|
| ISW1 | 2450 | 36 | 55 |
| ISW3 | 3675 | 36 | 55 |
| Panel Number | Test/Model | Maximum Displacement (mm) | Lowest Trough Value (mm) | Residual Displacement (mm) | Maximum Impact Force(kN) |
|---|---|---|---|---|---|
| ISW1 | test | 20.73 | 1.62 | 5.65 | 733.17 |
| model | 20.62 | 1.86 | 5.61 | 751.88 | |
| ISW3 | test | 29.69 | 1.80 | 7.53 | 967.03 |
| model | 30.19 | 4.52 | 7.94 | 936.98 |
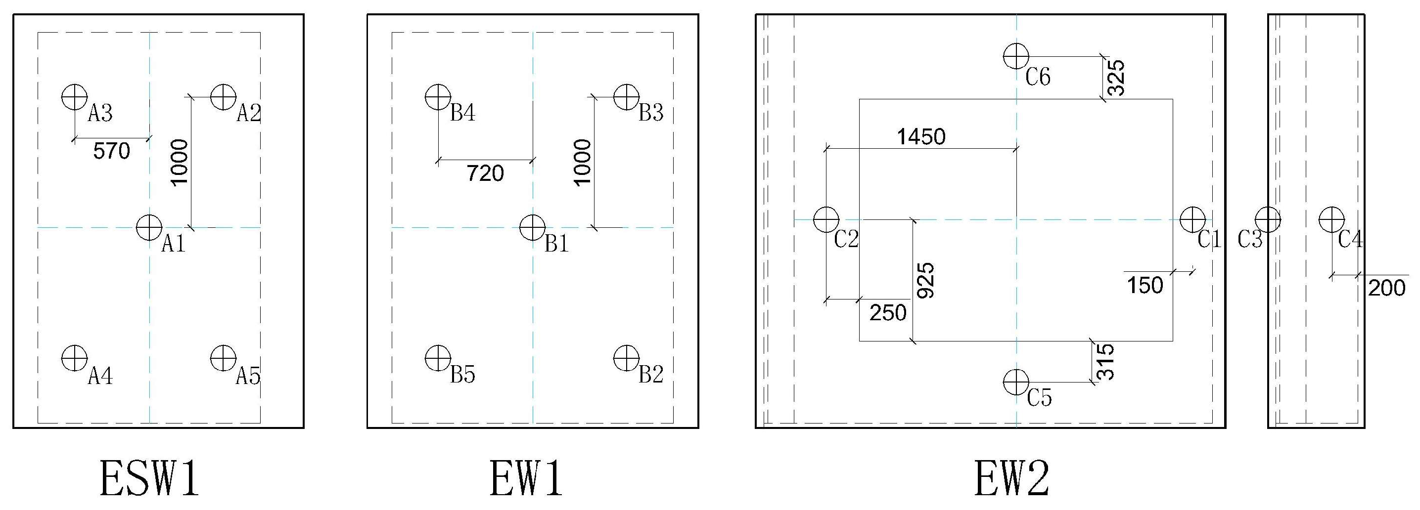
| Panel Number | Panel Type | Impact Energy (J) | Locations of the Hammer |
|---|---|---|---|
| P1-3600-1 | ESW1 | 3600 | A1 |
| P1-6400-1 | 6400 | A1 | |
| P1-10000-1 | 10,000 | A1 | |
| P1-10000-2 | A2 | ||
| P1-10000-3 | A3 | ||
| P1-10000-4 | A4 | ||
| P1-10000-5 | A5 | ||
| P2-3600-1 | EW1 | 3600 | B1 |
| P2-6400-1 | 6400 | B1 | |
| P2-10000-1 | 10,000 | B1 | |
| P2-10000-2 | B2 | ||
| P2-10000-3 | B3 | ||
| P2-10000-4 | B4 | ||
| P2-10000-5 | B5 | ||
| P3-3600-1 | EW2 | 3600 | C1 |
| P3-6400-1 | 6400 | C1 | |
| P3-10000-1 | 10,000 | C1 | |
| P3-10000-2 | C2 | ||
| P3-10000-3 | C3 | ||
| P3-10000-4 | C4 | ||
| P3-10000-5 | C5 | ||
| P3-10000-6 | C6 |
| Panel Number | Maximum Displacement (mm) | Peak Impact Force (kN) | Maximum Reinforcement Strain |
|---|---|---|---|
| P1-3600-1 | 11.22 | 1032 | 0.005565 |
| P1-6400-1 | 15.64 | 1263 | 0.01014 |
| P1-10000-1 | 20.35 | 1658 | 0.01459 |
| P1-10000-2 | 20.9 | 1657 | 0.02134 |
| P1-10000-3 | 21.07 | 1660 | 0.02553 |
| P1-10000-4 | 21.34 | 1660 | 0.02281 |
| P1-10000-5 | 21.83 | 1657 | 0.02009 |
| P2-3600-1 | 12.16 | 1016 | 0.009655 |
| P2-6400-1 | 17.42 | 1239 | 0.01587 |
| P2-10000-1 | 23.34 | 1641 | 0.02631 |
| P2-10000-2 | 26.26 | 1680 | 0.02594 |
| P2-10000-3 | 26.25 | 1681 | 0.0237 |
| P2-10000-4 | 26.43 | 1684 | 0.02389 |
| P2-10000-5 | 26.48 | 1684 | 0.02717 |
| P3-3600-1 | 14.04 | 973 | 0.005553 |
| P3-6400-1 | 18.21 | 1210 | 0.01049 |
| P3-10000-1 | 23.56 | 1520 | 0.01628 |
| P3-10000-2 | 23.62 | 1600 | 0.03026 |
| P3-10000-3 | 6.197 | 439 | 0.002218 |
| P3-10000-4 | 19.34 | 1620 | 0.01868 |
| P3-10000-5 | 22.48 | 1590 | 0.01712 |
| P3-10000-6 | 22.54 | 1550 | 0.01649 |
Disclaimer/Publisher’s Note: The statements, opinions and data contained in all publications are solely those of the individual author(s) and contributor(s) and not of MDPI and/or the editor(s). MDPI and/or the editor(s) disclaim responsibility for any injury to people or property resulting from any ideas, methods, instructions or products referred to in the content. |
© 2025 by the authors. Licensee MDPI, Basel, Switzerland. This article is an open access article distributed under the terms and conditions of the Creative Commons Attribution (CC BY) license (https://creativecommons.org/licenses/by/4.0/).
Share and Cite
Yao, Z.; Zhang, Y.; Ni, J.; Ling, X.; Chen, X.; Feng, Y.; Huang, J. Impact Performance of Precast Concrete Sandwich Panels for Prefabricated Residential Buildings. Buildings 2025, 15, 4024. https://doi.org/10.3390/buildings15224024
Yao Z, Zhang Y, Ni J, Ling X, Chen X, Feng Y, Huang J. Impact Performance of Precast Concrete Sandwich Panels for Prefabricated Residential Buildings. Buildings. 2025; 15(22):4024. https://doi.org/10.3390/buildings15224024
Chicago/Turabian StyleYao, Zhi, Yunguang Zhang, Jingbo Ni, Xuefeng Ling, Xinyu Chen, Yulong Feng, and Junqi Huang. 2025. "Impact Performance of Precast Concrete Sandwich Panels for Prefabricated Residential Buildings" Buildings 15, no. 22: 4024. https://doi.org/10.3390/buildings15224024
APA StyleYao, Z., Zhang, Y., Ni, J., Ling, X., Chen, X., Feng, Y., & Huang, J. (2025). Impact Performance of Precast Concrete Sandwich Panels for Prefabricated Residential Buildings. Buildings, 15(22), 4024. https://doi.org/10.3390/buildings15224024
