1. Introduction
The building sector is one of the largest consumers of energy. It is responsible for 36% of global energy consumption, 37% of global energy-related CO
2 emissions [
1], and 40% of energy consumption in the European Union (EU) [
2]. Considering statistics from EU countries, households account for 24.7% of total energy consumption, and more than 80% of total domestic energy is used for space heating, space cooling, and hot water provision [
3,
4]. Despite progress in renewable energy adoption, the heating sector is still predominantly dependent on fossil fuels, with only a quarter of heating energy coming from renewable sources [
5]. This dependence brings significant challenges to achieving critical environmental goals, such as those set out in the Paris Agreement and the European Union’s Green Deal.
The Paris Agreement, adopted in 2015, aims to limit global warming to below 2 °C and achieve net-zero greenhouse gas emissions by 2050 [
6]. In addition, the European Union’s Green Deal aims to reduce net greenhouse gas emissions by at least 55% by 2030 compared to 1990 levels and to make the European Union climate-neutral by 2050 [
7]. An important part of the Green Deal is the “Fit for 55” work programme, which includes the revised Energy Performance of Buildings Directive from 2024. This directive mandates zero-emission status for new buildings by 2030 and existing buildings must be converted to zero-emission status by 2050.
These policies underscore the urgent need to adopt renewable heating technologies in order to achieve carbon neutrality in the building sector. For this reason, the increased use of heat pumps, building-integrated photovoltaics (BIPV), and geothermal technologies in residential buildings is essential. Solar thermal systems, which utilize solar energy for heating and cooling, also play a crucial role in supporting the green transition in this sector [
8]. Heat pumps, which extract heat from the air, ground, or groundwater, are a versatile solution for heating, hot water, and cooling. When powered by electricity, they can deliver up to four times as much thermal energy compared to their energy consumption [
9]. This high efficiency makes heat pumps a perspective technology for decarbonizing residential buildings and reducing their environmental footprint. Similarly, photovoltaic and photothermal technologies harness solar energy with zero emissions during operation and offer a versatile solution for electricity and heating needs while maximizing energy yield per unit area. Photothermal collectors capture sunlight and convert it into thermal energy, typically to heat water or air, while photovoltaic panels directly convert sunlight into electricity using semiconductor materials.
Hybrid photovoltaic/thermal (PVT) systems combine both, generating electricity and thermal energy simultaneously. This technology transfers heat generated in the photovoltaic cells to a fluid. Compared to standard photovoltaic and photothermal technologies, hybrid technology produces more useful energy per unit surface area [
10]. Despite their benefits, solar technologies have certain limitations. Photothermal collectors and photovoltaic panels operate only during daylight hours and under sunny conditions, while domestic hot water demand typically peaks in the evening. Photovoltaic panels are unable to generate electricity when sunlight is unavailable. An even greater challenge is the seasonal mismatch between solar energy supply and heat demand, particularly in temperate and cold climates. Addressing this requires thermal energy storage systems, which can bridge short-term gaps through hot water tanks [
11]. For long-term storage of excess heat, seasonal thermal energy storage systems provide an effective solution. Excess heat produced during summer can be stored in the heated fluid in the ground and later reintroduced into heating systems during colder months [
12]. This re-injection process is especially advantageous in densely populated areas with limited shallow geothermal capacity due to the extensive use of ground-source heat pumps [
13]. Various underground thermal energy storage systems exist, including gravel–water pit thermal storage [
14], aquifer thermal energy storage [
15], and borehole thermal energy storage [
16]. While gravel–water and aquifer systems are open-loop, borehole thermal energy storage operates as a closed-loop system.
These solutions significantly reduce operational emissions, but their overall environmental performance depends on lifecycle impacts. Several studies demonstrate the importance of operational efficiency and sustainability throughout the production, use, and end-of-life stages. While research exists on individual components, such as PVT collectors, heat pumps, or certain hybrid systems, and even on partially integrated solutions, limited studies holistically assess the full integration of these technologies into cohesive renewable energy systems, particularly with seasonal storage, using a comprehensive lifecycle approach.
Most research has focused on the comparative environmental assessment of air-source heat pumps (ASHPs), ground-source heat pumps (GSHPs), and gas boilers [
17,
18,
19]. Heat pump systems operate on electricity and typically exhibit a higher coefficient of performance (COP) than gas boilers, leading to a reduction in carbon footprint. However, ASHPs may have adverse effects in other environmental impact categories compared to gas boilers, as their performance is strongly influenced by the electricity mix [
20]. Although GSHP-based systems generally require more materials than ASHP systems, they still tend to outperform ASHPs in terms of overall environmental impact. Key factors influencing the environmental performance of GSHP-based heating systems include the thermal properties of the ground, heating demand, peak energy loads, and the electricity mix [
21].
Zhao et al. [
22] evaluated the environmental performance of integrating building-integrated photovoltaics (BIPV) and lithium-ion battery storage in building energy systems using Life Cycle Assessment (LCA). Their findings showed that optimized operational strategies can achieve a fivefold reduction in Global Warming Potential (GWP) compared to grid electricity alone (33 g/kWh vs. 170 g/kWh). The study also showed trade-offs, such as higher Material Depletion Potential (MDP) for BIPV electricity (5.5 g/kWh) compared to grid electricity (0.3 g/kWh).
Reference [
8] performed a comparative and comprehensive LCA study of a solar combined cooling, heating, and power (S-CCHP) system, which integrates PVT collectors, compared to grid-based and conventional PV systems. The study found that the S-CCHP system reduced the GWP by 51% compared to a grid-based system and by 21% relative to a PV system in high solar irradiance conditions. While operational efficiency lowered emissions, PVT collectors contributed the most to lifecycle impacts due to materials like silicon and copper, showing the importance of balancing operational benefits with production-phase trade-offs for sustainable building energy systems.
Reference [
23] conducted an assessment of hybrid heat pumps integrated with gas boilers, focusing on their potential to reduce lifecycle greenhouse gas (GHG) emissions. The study demonstrated that for heating 100,000 dwellings, a marginal emission factor-based control strategy avoided up to 38,000 tons of CO
2 equivalents annually by minimizing reliance on carbon-intensive grid electricity during high-emission periods. Lifecycle trade-offs were evident, as the increased operational efficiency of heat pumps was counterbalanced by emissions from gas boiler usage.
Yang et al. [
24] conducted a holistic sustainability assessment comparing solar ground-source heat pump (SGSHP) system with conventional GSHP system. Their study integrated LCA, with focus on carbon emissions analysis, and energy analysis to benchmark environmental performance. The SGSHP system was found to perform better, particularly in terms of GWP across all life cycle stages, achieving an overall carbon emission reduction of 9.4% compared to the conventional GSHP system.
LCA, as demonstrated in these and other studies, is an invaluable tool for benchmarking the sustainability of energy systems. By assessing environmental impacts across the entire life cycle (from raw material extraction to end-of-life disposal) it enables an understanding of the associated trade-offs.
This study evaluates the environmental performance of two commercially available closed-loop heating systems for residential buildings through a cradle-to-grave LCA. The objective is to provide a comprehensive environmental benchmarking of (i) a conventional grid-powered ground-source heat pump, and (ii) an alternative hybrid system that combines PVT collectors with a seasonal thermal energy storage unit, designed to enhance energy efficiency and reduce dependence on grid electricity. The analysis aims to determine whether, and to what extent, advanced renewable heating technology can improve the environmental sustainability of residential buildings.
4. Conclusions
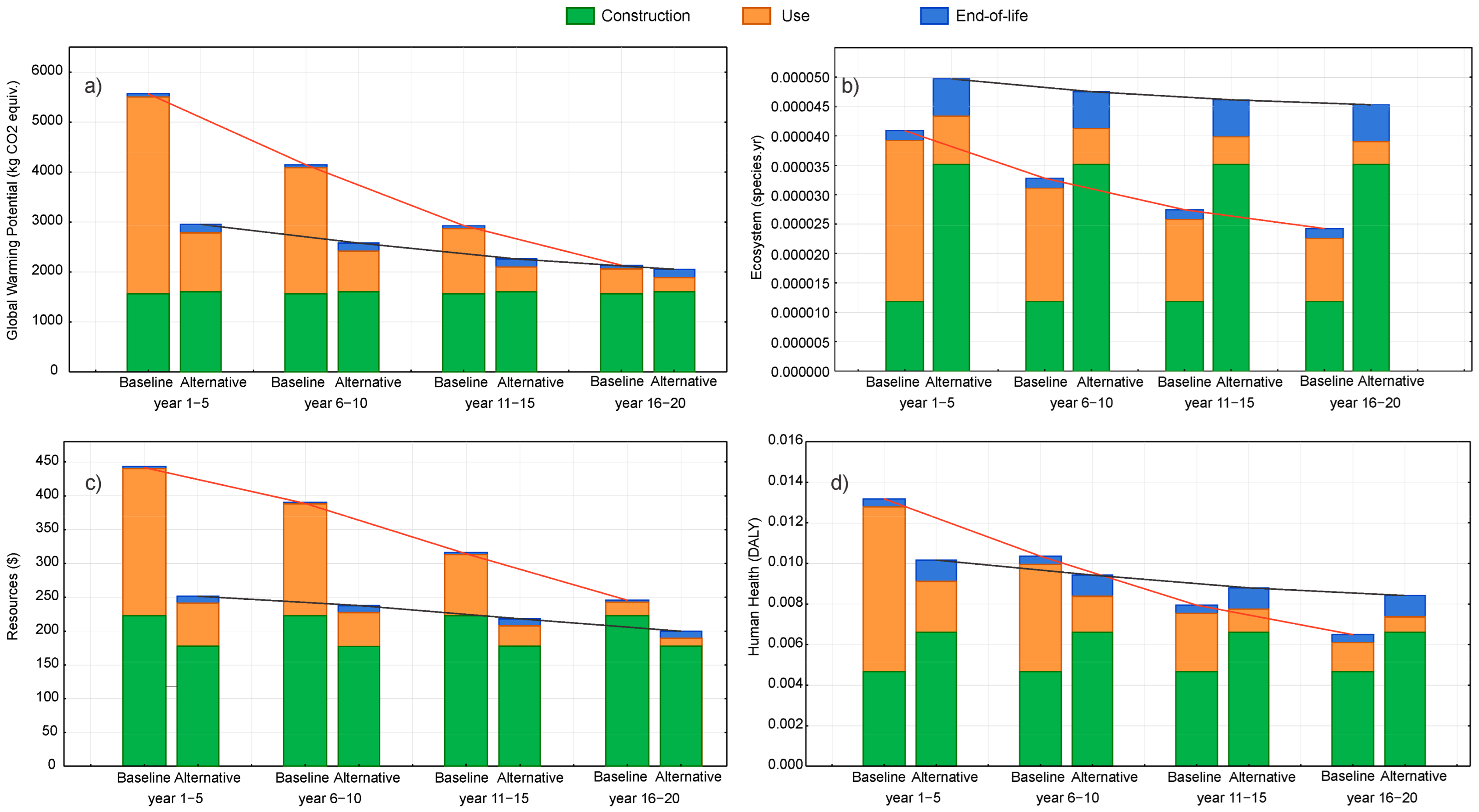
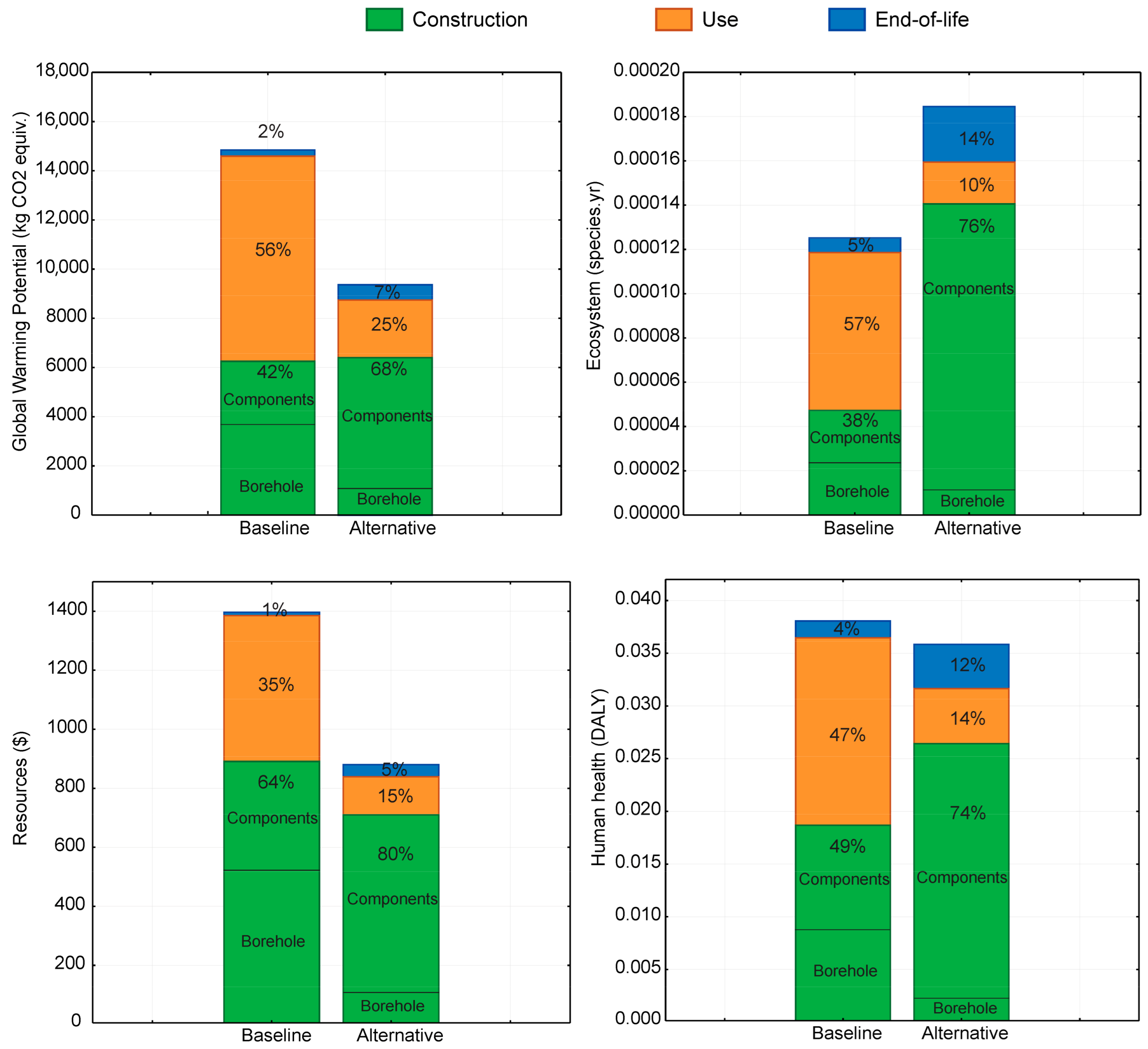
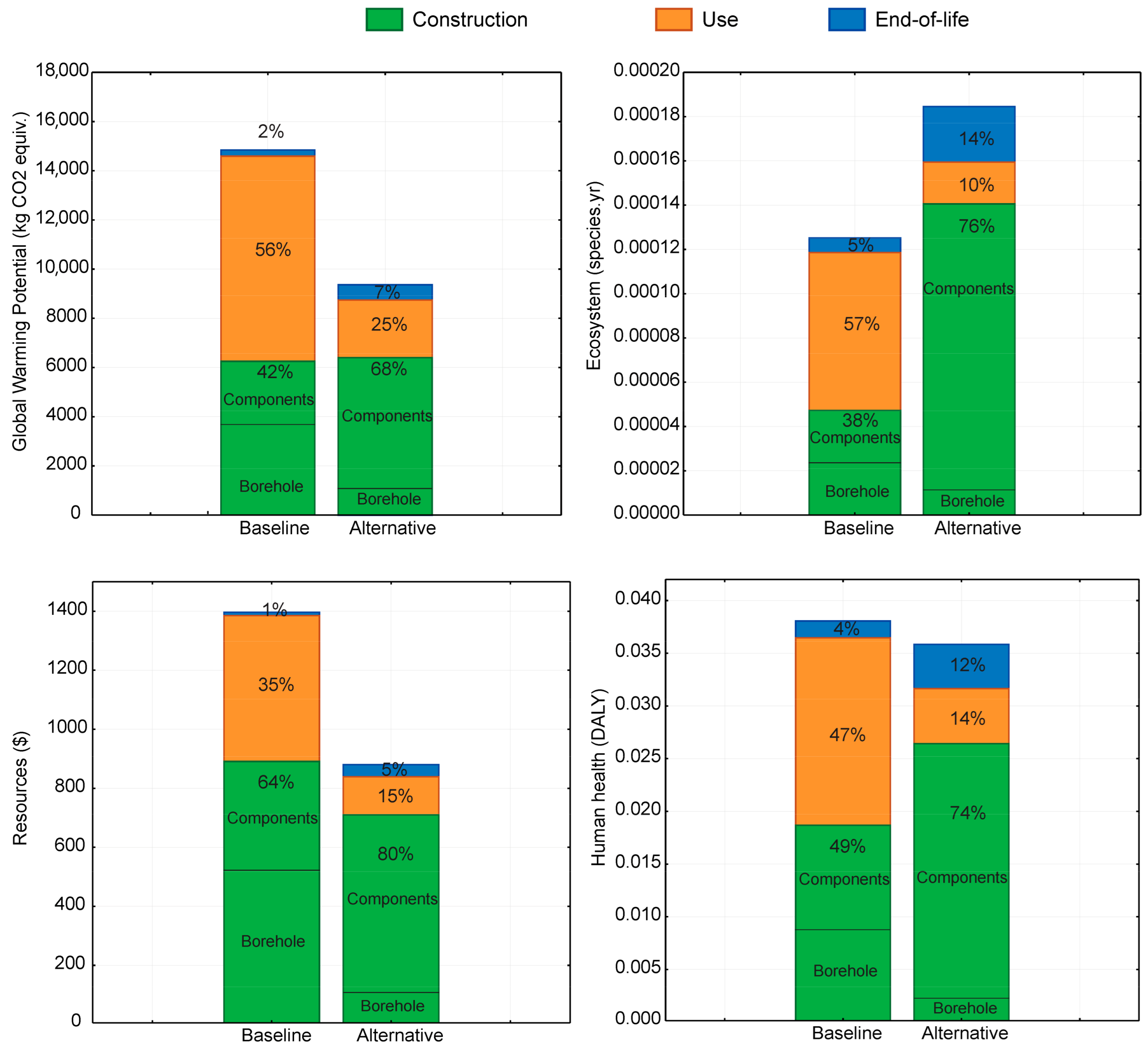
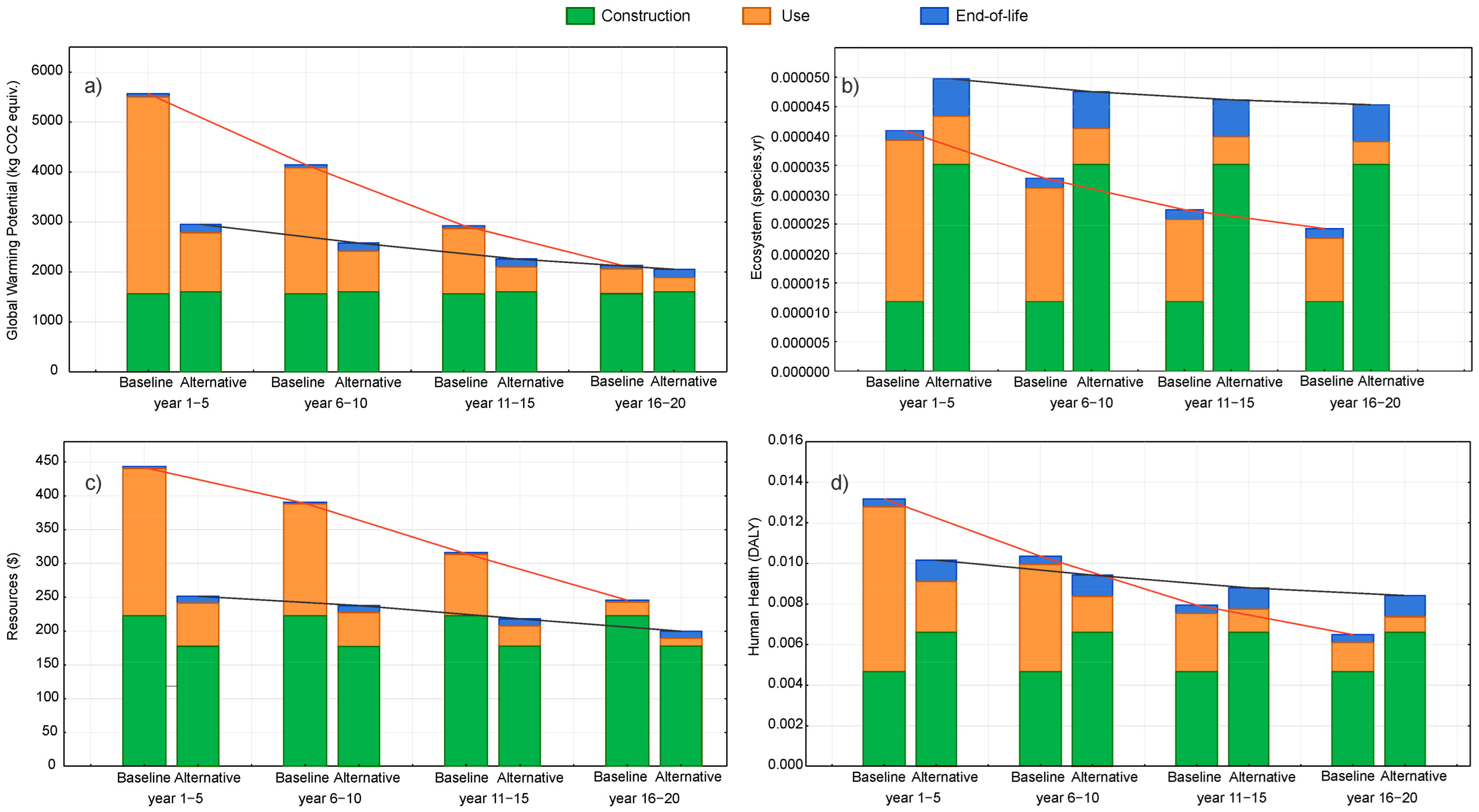
Considering all life cycle stages, the study shows the long-term benefits and trade-offs associated with reducing grid dependency by integrating renewable energy. The results show that the alternative hybrid system reduces impacts on GWP and Resources by 36%, while the reduction in Human Health impacts is relatively minor, at around 6%. The use stage, which contributes the most to environmental impacts in the baseline system, is significantly improved in the alternative system through the integration of seasonal heat storage and electricity generation from renewables. However, the alternative system requires additional materials and components—in particular PVT panels and a buffer storage tank—which increase the environmental footprint in the construction phase and at the end of the service life. These factors result in a sixfold increase in the Ecosystem impacts compared to the baseline system, an aspect that needs to be further considered in system design and material selection.
An important contribution of this study is the detailed comparison of two heating systems with an explicit focus on the integration of seasonal storage, an aspect that is often overlooked in similar LCA studies. By including dynamic changes in the composition of the electricity grid, the study also provides a realistic perspective on the long-term benefits of reduced grid dependency. Unlike many previous studies that evaluate renewable heating technologies in isolation, this work evaluates a fully integrated system that combines PVT, heat pumps and underground storage and provides valuable insights into their combined environmental performance.
Despite its benefits, the alternative system still presents challenges. Future research should focus on optimising the use of materials in the system components, particularly in the PVT panels, to reduce the impact on the Ecosystem and also on Human Health. In addition, while seasonal thermal storage has shown significant benefits in reducing operational emissions, its long-term efficiency, thermal losses and potential degradation over multiple cycles should be further analysed to ensure reliability and scalability.
The contrasting trends of reduced GWP and increased Ecosystem impact demonstrate the importance of integrating life-cycle thinking into policy and design practice. For policymakers, the findings suggest that incentives for renewable heating technologies should include criteria addressing embodied impacts and material efficiency to prevent shifting burdens from climate to ecosystems. For building designers, the results indicate the need to select materials and system configurations that minimize ecological damage while maintaining low operational emissions. Balancing these aspects is essential to ensure that future low-carbon heating solutions achieve environmental neutrality across all impact categories.
Excess electrical energy generated by PVT and PV systems is typically transferred to the grid, as assumed in this study. Surplus electricity can be stored in batteries and used for charging electric vehicles, among other applications. Looking ahead, emerging technologies are expected to enable the conversion of surplus electricity into hydrogen fuel. Hydrogen could replace fossil fuels in various household uses (such as transportation) or be reconverted into electricity when needed, for example, to support heating, ventilation, and air conditioning (HVAC) systems in buildings. This approach would further advance the decarbonization of the building sector. However, the production and use of hydrogen fuel may also lead to increased environmental impacts in other categories, including Ecosystems, Resources, and Human Health. Therefore, the eco-design of renewable energy technologies will play a crucial role in minimizing these effects.