Cyclic Behavior of Steel Frames Equipped with Partial-Connected Crossing-Stiffened Corrugated Steel Plate Shear Walls
Abstract
1. Introduction
2. Numerical Modeling
2.1. Model Description
2.2. Validation of FEM
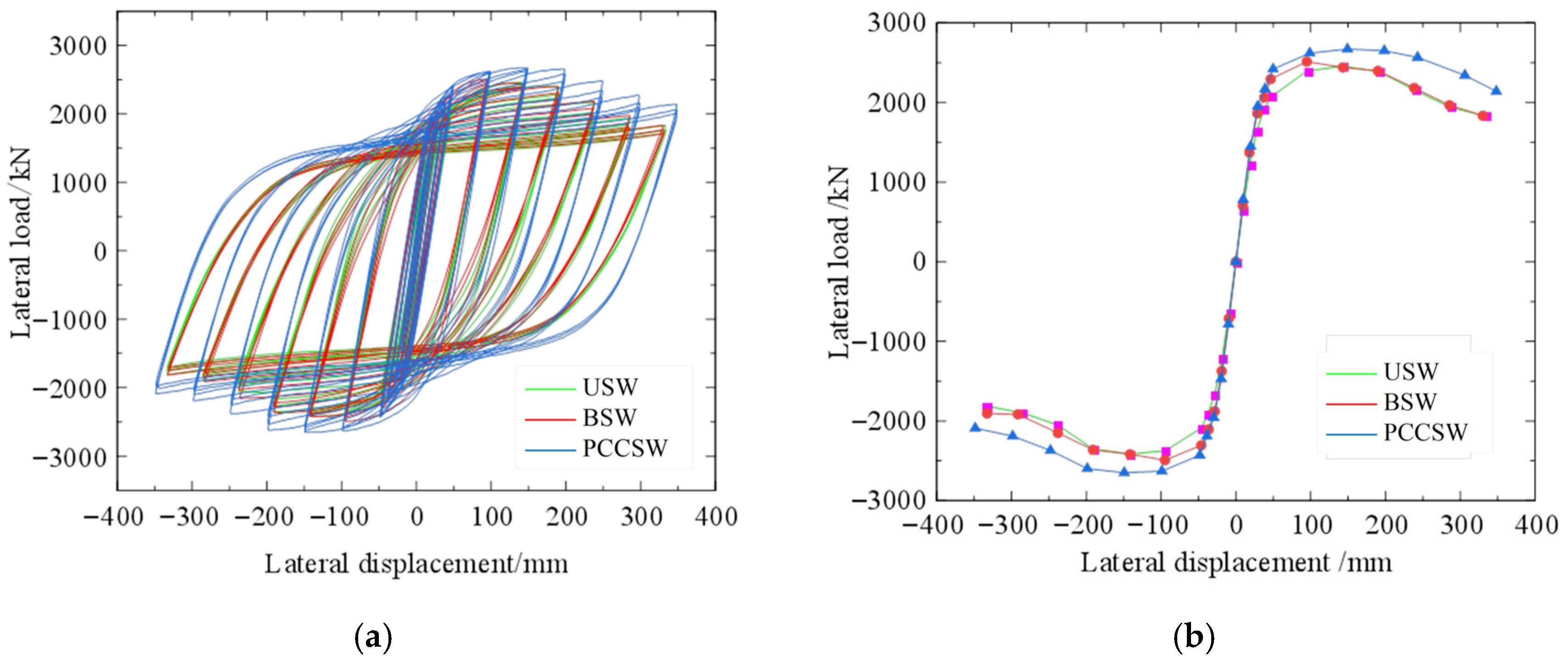
2.3. Comparative Analysis on Seismic Performance
3. Parametric Analyses of PCCSW
3.1. Design of Parameters
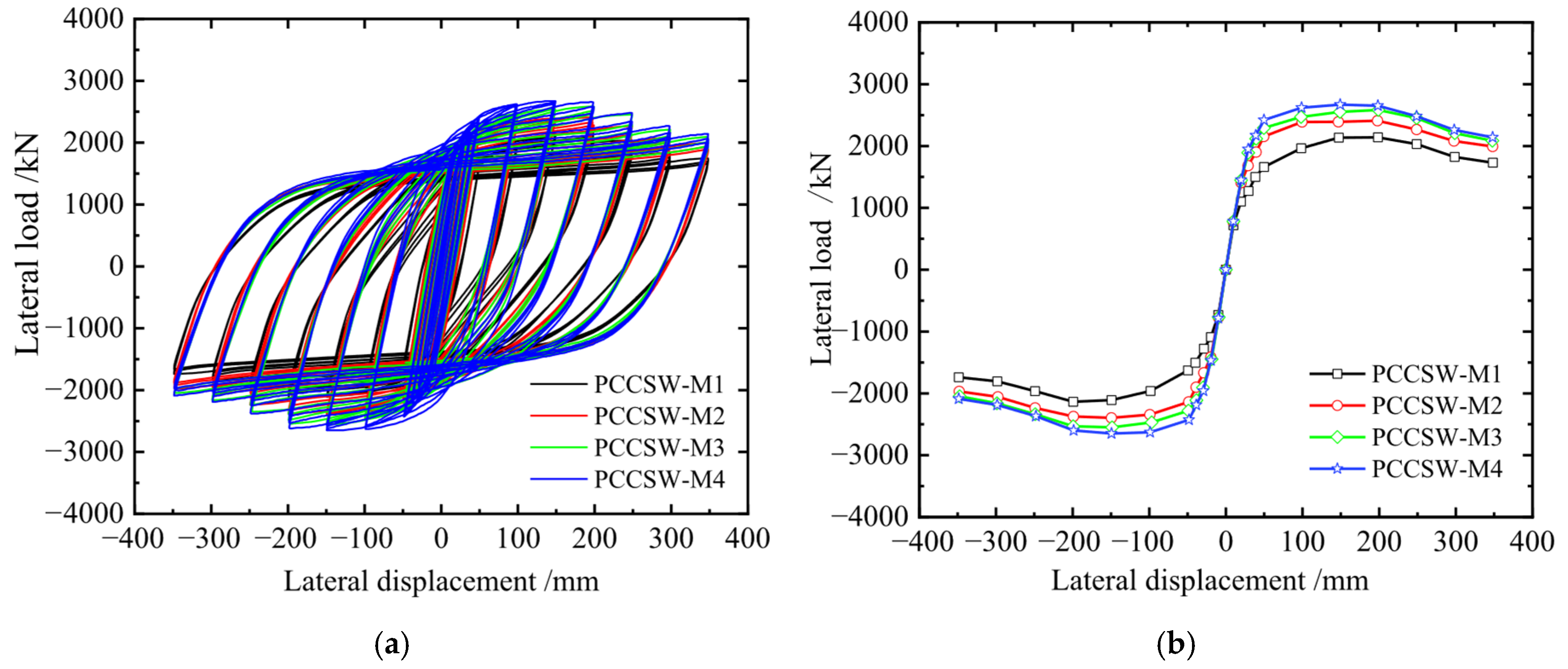
3.2. Effects of Material Strength of PCCSW
3.2.1. Analysis of Load–Displacement Curves
3.2.2. Analysis of Energy Dissipation
3.3. Effects of Height-to-Thickness Ratio of PCCSW
3.3.1. Analysis of Load–Displacement Curves
3.3.2. Analysis of Energy Dissipation
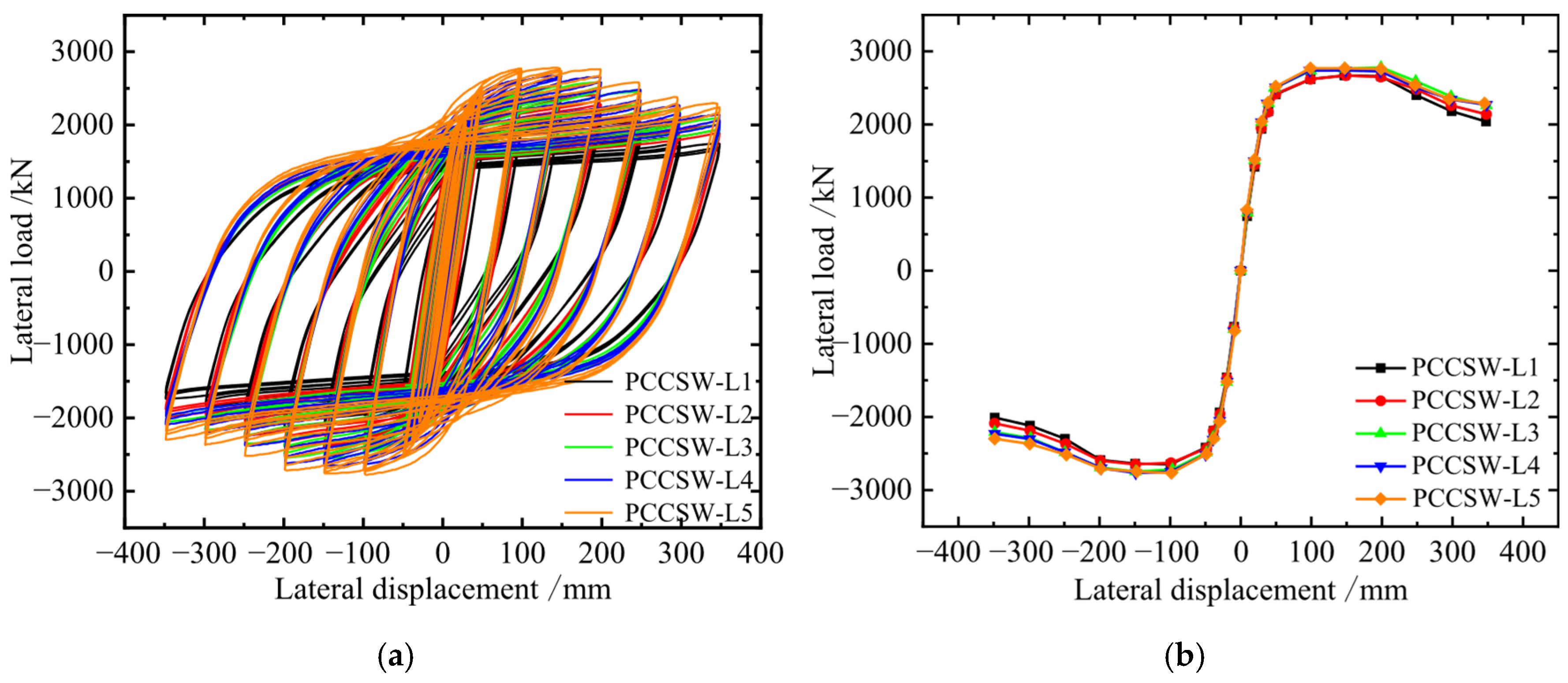
3.4. Effects of Wave Length of PCCSW
3.4.1. Analysis of Load–Displacement Curves
3.4.2. Analysis of Energy Dissipation
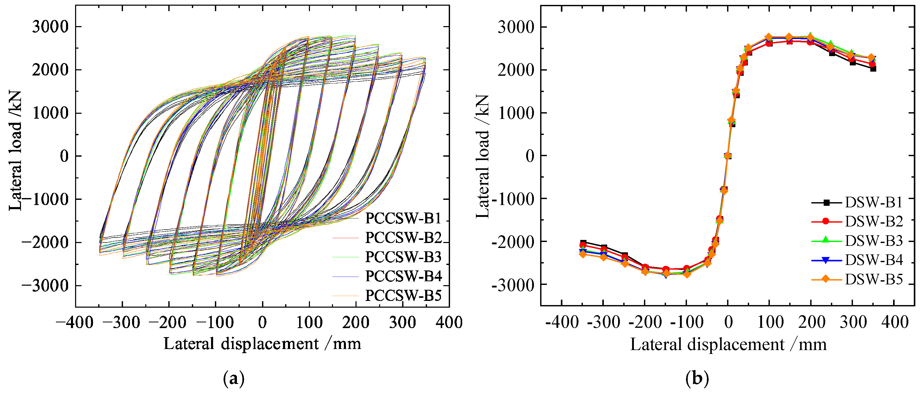
3.5. Effects of Width of Crossing Stiffeners on PCCSW
3.5.1. Analysis of Load–Displacement Curves
3.5.2. Analysis of Energy Dissipation
4. Calculation Method for Ultimate Shear Resistance
4.1. Theoretical Model of Specimen
4.2. Validation of the Theoretical Method
5. Conclusions
- (1)
- A FEM model of a single-span double-story PCCSW was established and was validated by comparing it to test results from a single-span double-story CSPW specimen. The findings demonstrate that the maximum error is less than 10% and that the initial stiffness and ultimate shear resistance as determined by FEM are essentially in agreement with the test results.
- (2)
- The results analyzed by FEM show that the shear resistance, lateral stiffness, energy dissipation capacity, and ductility of the PCCSW are better than those of the USW and BSW. Compared with the values of the USW and BSW, the maximum load of the PCCSW increases by 13% and 11%, respectively; the ductility factor increases by 21% and 24%, respectively; and the total energy dissipation increases by 23% and 20%, respectively.
- (3)
- The FEM models show that the material strength, the height-to-thickness ratio, the wave length, and the width of crossing stiffeners can impact the load-carrying capacity of the specimen. The analysis of wave height demonstrates that it ought to be 4.5~6 mm, and the height-to-thickness proportion ought to be 510~680 mm, wave length should be 360~480 mm, and width of crossing stiffeners should be 50~90 mm.
- (4)
- A theoretical model of the PCCSW is put forward; then, the shear-dominated zone and shear-flexural zone are determined to describe the real state of stress of the PCCSW and thus derive the shear resistance formula of the PCCSW. At the same time, the maximum deviation between theoretical outcomes and FEM outcomes is 14.17%, the maximum deviation between theoretical outcomes and experimental outcomes is 11.08%, and the greater part of them are under 10%. Given the current comparison results and considering the limitation that physical test data remains insufficient, these findings suggest that the proposed theoretical model has the potential to reasonably estimate the ultimate shear resistance of BCSPW and CSPW.
Author Contributions
Funding
Data Availability Statement
Conflicts of Interest
References
- Tahaii, S.M.; Hamidi, H.; Amiri, J.V. Inelastic Seismic Demand of Steel-Plate Shear Wall Structures: Emphasis on the PTD Effect. Int. J. Civ. Eng. 2022, 20, 1145–1163. [Google Scholar] [CrossRef]
- Milad, B.; Tadeh, Z.; Mojtaba, G.; James, B.; George, C.; Mohammad, H. Study of influences of partial plate–frame connection on the cyclic behavior and performance of LYP corrugated SPSW system. Arch. Civ. Mech. Eng. 2024, 24, 105. [Google Scholar] [CrossRef]
- Jiang, L.; Zheng, H.; Hu, Y. Experimental seismic performance of steel-and composite steel-panel wall strengthened steel boundary frames. Arch. Civ. Mech. Eng. 2017, 17, 520–534. [Google Scholar] [CrossRef]
- Zhao, X.; Zhou, F.; Li, Y.T. Theoretical and experimental investigations of steel plate shear walls with diamond openings. Thin-Walled Struct. 2023, 189, 110838. [Google Scholar] [CrossRef]
- Zhang, X.; Chen, Y.; Qiao, H. Investigation on hysteretic performance of assembled H-shaped steel frame-corrugated steel plate shear wall with different corrugated orientation and wavelength. J. Build. Eng. 2023, 77, 107473. [Google Scholar] [CrossRef]
- Zhang, X.; Guo, Y. Behavior of steel plate shear walls with pre-compression from adjacent frame columns. Thin-Walled Struct. 2014, 77, 17–25. [Google Scholar] [CrossRef]
- Ye, J.; Jiang, L. Collapse mechanism analysis of a steel moment frame based on structural vulnerability theory. Arch. Civ. Mech. Eng. 2018, 18, 833–843. [Google Scholar] [CrossRef]
- Lv, Y.; Li, L.; Wu, D.; Chen, Y.; Li, Z.; Chouw, N. Shear-displacement diagram of steel plate shear walls with precompression from adjacent frame columns. Struct. Des. Tall Spec. Build. 2019, 28, e1585. [Google Scholar] [CrossRef]
- Zhang, W.; Lin, J.; Huang, Y.; Lin, B.; Liu, X. Experimental and numerical studies on flexural performance of composite beams under cyclic loading. Structures 2024, 70, 107728. [Google Scholar] [CrossRef]
- Suo, Y.; Fan, S.; Li, C.; Zeng, S.; Liu, C. Parametric analysis on hysteresis performance and restoring force model of LYP steel plate shear wall with two-side connections. Int. J. Steel Struct. 2020, 20, 1960–1978. [Google Scholar] [CrossRef]
- Cheng, X.; Jiang, L.; Hu, Y.; Zhang, X. Cyclic Tests and Modeling of CFS Structures with CFRP-Toughened Screws and Special Shape Built-Up End Studs. J. Struct. Eng. 2025, 151, 7. [Google Scholar] [CrossRef]
- Haddad, O.; Sulong, N.H.R.; Ibrahim, Z. Cyclic performance of stiffened steel plate shear walls with various configurations of stiffeners. J. Vibroengineering 2018, 20, 459–476. [Google Scholar] [CrossRef]
- Mu, Z.; Yang, Y. Experimental and numerical study on seismic behavior of obliquely stiffened steel plate shear walls with openings. Thin-Walled Struct. 2020, 146, 106457. [Google Scholar] [CrossRef]
- Labibzadeh, M.; Salehnia, A.; Hossain, K.; Jing, D. Comparison of Performance of the Flat, Trapezoidal and Sinusoidal Steel Plate Shear Walls Under Cyclic Loads. Iran. J. Sci. Technol. Trans. Civ. Eng. 2022, 46, 3571–3589. [Google Scholar] [CrossRef]
- Zhu, B.; Tong, J.; Zhang, J.; Guo, Y. Shear-resistant capacity and design of orthogonal double-corrugated-plate shear walls. Thin-Walled Struct. 2023, 187, 110759. [Google Scholar] [CrossRef]
- Vaziri, E.; Gholami, M.; Azandariani, M.G. The Wall–Frame Interaction Effect in Corrugated Steel Plate Shear Walls Systems. Int. J. Steel Struct. 2021, 21, 1680–1697. [Google Scholar] [CrossRef]
- Ghodratian-Kashan, S.M.; Maleki, S. Experimental investigation of double corrugated steel plate shear walls. J. Constr. Steel Res. 2022, 190, 107138. [Google Scholar] [CrossRef]
- Wen, C.; Zhu, B.; Sun, H.; Guo, Y.; Zheng, W.; Deng, L. Global stability design of double corrugated steel plate shear walls under combined shear and compression loads. Thin-Walled Struct. 2024, 199, 111789. [Google Scholar] [CrossRef]
- Hosseinzadeh, L.; Mofid, M.; Aziminejad, A.; Emami, F. Elastic interactive buckling strength of corrugated steel shear wall under pure shear force. Struct. Des. Tall Spec. Build. 2017, 26, e1357. [Google Scholar] [CrossRef]
- Hosseinzadeh, L.; Emami, F.; Mofid, M. Experimental investigation on the behavior of corrugated steel shear wall subjected to the different angle of trapezoidal plate. Struct. Des. Tall Spec. Build. 2017, 26, e1390. [Google Scholar] [CrossRef]
- Cao, Q.; Huang, J.; Zhao, L.; Fang, Z.; Zhang, Z. Research on shear performance of corrugated steel plate shear walls with inelastic buckling of infilled plates under lateral loads. J. Build. Eng. 2022, 52, 104406. [Google Scholar] [CrossRef]
- Tong, J.; Guo, Y.; Zuo, J.; Gao, J. Experimental and numerical study on shear resistant behavior of double-corrugated-plate shear walls. Thin-Walled Struct. 2020, 147, 106485. [Google Scholar] [CrossRef]
- Tong, J.; Guo, Y.; Pan, W. Ultimate shear resistance and post-ultimate behavior of double-corrugated-plate shear walls. J. Constr. Steel Res. 2020, 165, 105895. [Google Scholar] [CrossRef]
- Dou, C.; Zhang, J.; Lan, T.; Wang, D.; Zhang, G. Elastic shear buckling analysis of infill panels in trapezoidal corrugated plate shear walls. Thin-Walled Struct. 2025, 215, 13452. [Google Scholar] [CrossRef]
- Ghodratian-Kashan, S.M.; Maleki, S. Experimental and numerical study of beam-only-connected corrugated steel plate shear walls. J. Earthq. Eng. 2024, 28, 1769–1791. [Google Scholar] [CrossRef]
- Dou, C.; Pi, Y.; Gao, W. Shear resistance and post-buckling behavior of corrugated panels in steel plate shear walls. Thin-Walled Struct. 2018, 131, 816–826. [Google Scholar] [CrossRef]
- Jiang, L.; Zhang, X.; Jiang, L.; He, C.; Ye, J.; Ran, Y. Fundamental period estimation of steel boundary frames equipped with steel panel walls. Struct. Eng. Mech. 2021, 78, 715–729. [Google Scholar]
- Jiang, L.; Jiang, L.; Hu, Y.; Ye, J.; Zheng, H. Seismic life-cycle cost assessment of steel boundary frames equipped with steel panel walls. Eng. Struct. 2020, 211, 110399. [Google Scholar] [CrossRef]
- Hu, Y.; Zhao, J.; Zhang, D.; Zhang, H. Cyclic tests of fully prefabricated concrete-filled double-skin steel tube/moment-resisting boundary frames with beam-only-connected steel plate shear walls. Thin-Walled Struct. 2020, 146, 106272. [Google Scholar] [CrossRef]
- Paslar, N.; Farzampour, A.; Hatami, F. Infill plate interconnection effects on the structural behavior of steel plate shear walls. Thin-Walled Struct. 2020, 149, 106621. [Google Scholar] [CrossRef]
- Guo, L.; Rong, Q.; Qu, B.; Liu, J. Testing of steel plate shear walls with composite columns and infill plates connected to beams only. Eng. Struct. 2017, 136, 165–179. [Google Scholar] [CrossRef]
- Zheng, H.; Zhang, Z.; Jiang, L.; Hu, Y.; Wang, W. Cyclic performance and shear resistance design of asymmetric diagonal stiffened beam-only-connected corrugated steel plate shear walls. Archiv. Civ. Mech. Eng. 2022, 22, 183. [Google Scholar] [CrossRef]
- Jiang, L.; Ye, J.; Zheng, H. Macroscopic modelling of steel boundary frames equipped with bolt-connected reinforced concrete panel wall. Eng. Struct. 2020, 213, 110549. [Google Scholar] [CrossRef]
- Chu, Z.; Jin, Y.; Wei, Z. Hysteretic performance of steel plate shear wall reinforced with PET-infilled diagonal CFRP multi-layer corrugated plate. Thin-Walled Struct. 2025, 218, 113968. [Google Scholar]
- Yang, S.; Jin, S.; Wang, Q. Modular corrugated steel plate shear wall: The relationship of matching with boundary column in terms of stiffness and strength. J. Constr. Steel Res. 2025, 227, 109341. [Google Scholar] [CrossRef]
- JGJ/99-2015; Technical Specification for Steel Structure of Tall Building. Chinese Architecture & Building Press: Beijing, China, 2015.
- Shi, G.; Gao, Y.; Wang, X.; Zhang, Y. Low Cycle Fatigue Properties of Low Yield Point Steels. China Civ. Eng. J. 2019, 52, 20–26+52. [Google Scholar]
- Jiang, L.; Zheng, H.; Hu, Y. Effects of various uncertainties on seismic risk of steel boundary frame equipped with steel panel wall. Bull. Earthq. Eng. 2018, 16, 5995–6012. [Google Scholar] [CrossRef]
- Berman, J.; Bruneau, M. Plastic analysis and design of steel plate shear walls. J. Struct. Eng. 2003, 129, 1448–1456. [Google Scholar] [CrossRef]
- Ozcelik, Y.; Clayton, P.M. Seismic design and performance of SPSWs with beam-connected web plates. J. Constr. Steel Res. 2018, 142, 55–67. [Google Scholar] [CrossRef]
- ANSI/AISC 341-05; AISC Seismic Provisions for Structural Steel Buildings. American Institute of Steel Construction: Chicago, IL, USA, 2005.
- Hou, J.; Guo, L.; Yan, J. Steel plate–restraining panel interaction behavior in buckling-restrained steel plate shear walls. Thin-Walled Struct. 2021, 169, 108348. [Google Scholar] [CrossRef]
- Tan, P.; Wei, Y.; Li, Y.; Zhou, F. Experimental Research on Seismic Behavior of Corrugated Steel Plate Shear Wall. China Civ. Eng. J. 2018, 51, 8–15. [Google Scholar]
- Hao, B. Cyclic Test Vertically Corrugated Steel Plate Shear Walls with Various Openings. Ph.D. Thesis, Tianjin University, Tianjin, China, 2018. [Google Scholar]
- Li, N. Experimental Research on Seismic Behavior of Corrugated Steel Plate Shear Wall System. Ph.D. Thesis, Tianjin University, Tianjin, China, 2017. [Google Scholar]
- Zhao, Q.; Qiu, J.; Hao, B.; Wang, Q. Lateral Behavior of Vertically-corrugated Steel Plate Shear Walls Connected with Beams Only. J. Tianjin Univ. (Sci. Technol.) 2019, 52, 46–53. [Google Scholar]




















| Steel Type | σy/MPa | εy | σu/MPa | εu | σst/MPa | εst |
|---|---|---|---|---|---|---|
| E235B | 235 | 0.001 | 420 | 0.15 | 330 | 0.22 |
| E355B | 355 | 0.002 | 550 | 0.116 | 450 | 0.17 |
| Items | fy/MPa | fst/MPa | δ (%) | fst/fy | E/GPa |
|---|---|---|---|---|---|
| Corrugated steel plate | 290.59 | 431.13 | 21.7 | 1.48 | 170.30 |
| Middle-beam web | 386.60 | 551.90 | 29.4 | 1.43 | 196.30 |
| Middle-beam flange | 345.27 | 478.27 | 27.9 | 1.39 | 192.30 |
| Top/bottom-beam flange | 418.57 | 542.73 | 31.6 | 1.30 | 206.70 |
| Top/bottom-beam web | 345.60 | 519.13 | 32.3 | 1.50 | 182.00 |
| Column web | 348.38 | 511.15 | 32.0 | 1.47 | 181.00 |
| Column flange | 320.33 | 494.40 | 34.2 | 1.54 | 203.00 |
| Results | Py/kN | △y/mm | Initial Stiffness/(kN/mm) | Pmax/kN | △u/mm |
|---|---|---|---|---|---|
| Test | 577.30 | 18.66 | 30.94 | 672.80 | 128.30 |
| FEM | 609.34 | 17.31 | 35.20 | 672.94 | 131.00 |
| Error | 5.55% | 7.23% | 13.77% | 0.02% | 2.10% |
| Specimen | Py/kN | △y/mm | Pmax/kN | △u/mm | μ |
|---|---|---|---|---|---|
| USW | 2052.71 | 45.21 | 2354.70 | 240.33 | 5.32 |
| BSW | 2188.01 | 47.38 | 2411.90 | 225.48 | 5.15 |
| PCCSW | 2281.75 | 47.81 | 2670.11 | 305.08 | 6.38 |
| Series Name | Material Type of Corrugated Steel Plate | t/mm | l/mm | b/mm |
|---|---|---|---|---|
| PCCSW-M | Variable | 4 | 360 | 50 |
| PCCSW-T | Q235 | Variable | 360 | 50 |
| PCCSW-L | Q235 | 4 | Variable | 50 |
| PCCSW-B | Q235 | 4 | 360 | Variable |
| Name | Steel Type | t/mm | E/MPa | fy/MPa | fu/MPa | δ (%) | fy/fu |
|---|---|---|---|---|---|---|---|
| PCCSW-M1 | LY100 | 4 | 199,000 | 128 | 252 | 47.3 | 0.51 |
| PCCSW-M2 | LY160 | 4 | 194,000 | 186 | 294 | 44.5 | 0.63 |
| PCCSW-M3 | LY225 | 4 | 202,500 | 225 | 295 | 44.0 | 0.65 |
| PCCSW-M4 | Q235 | 4 | 205,000 | 235 | 420 | 34.0 | 0.56 |
| Serial Number | Steel Type | t/mm | Height-to-Thickness Ratio |
|---|---|---|---|
| PCCSW-T1 | Q235 | 4 | 765 |
| PCCSW-T2 | Q235 | 4.5 | 680 |
| PCCSW-T3 | Q235 | 5 | 610 |
| PCCSW-T4 | Q235 | 6 | 510 |
| PCCSW-T5 | Q235 | 6.5 | 470 |
| Serial Number | PCCSW-L1 | PCCSW-L2 | PCCSW-L3 | PCCSW-L4 | PCCSW-L5 |
|---|---|---|---|---|---|
| l/mm | 360 | 400 | 480 | 520 | 560 |
| Serial Number | PCCSW-B1 | PCCSW-B2 | PCCSW-B3 | PCCSW-B4 | PCCSW-B5 |
|---|---|---|---|---|---|
| b/mm | 30 | 50 | 70 | 90 | 110 |
| Stiffness ratio β | 5.07 | 23.47 | 64.41 | 136.89 | 249.94 |
| Parameters | Type | t/mm | l/mm | b/mm | Theoretical Results/kN | FEM Results/kN | Error |
|---|---|---|---|---|---|---|---|
| Material | LY100 | 4 | 360 | 50 | 1991 | 2141 | −7.52% |
| LY160 | 2538 | 2410 | 5.01% | ||||
| LY225 | 2585 | 2580 | 0.17% | ||||
| Q235 | 2933 | 2670 | 8.96% | ||||
| Thickness of steel plates | Q235 | 4 | 360 | 50 | 2933 | 2670 | 8.96% |
| 4.5 | 3152 | 2892 | 8.25% | ||||
| 5 | 3372 | 3090 | 8.36% | ||||
| 6 | 3811 | 3410 | 10.52% | ||||
| 6.5 | 4031 | 3566 | 11.53% | ||||
| Wave length | Q235 | 4 | 360 | 50 | 2933 | 2670 | 8.96% |
| 400 | 2843 | 2776 | 2.36% | ||||
| 480 | 2716 | 3027 | −11.45% | ||||
| 520 | 2670 | 2870 | −7.47% | ||||
| 560 | 2633 | 3006 | −14.17% | ||||
| Width of stiffeners | Q235 | 4 | 360 | 30 | 2885 | 2652 | 8.06% |
| 50 | 2933 | 2670 | 8.96% | ||||
| 70 | 2981 | 2761 | 7.39% | ||||
| 90 | 3029 | 2770 | 8.55% | ||||
| 110 | 3077 | 2773 | 9.88% | ||||
| Mean | 3.96% | ||||||
| SD | 7.71% |
| Specimens | Type | t/mm | l/mm | Column Section/mm | Size of Corrugated Plate/mm | Stiffener Section | Theoretical Result/kN | Test Result/kN | Error | |
|---|---|---|---|---|---|---|---|---|---|---|
| Hao [44] | S-1 | Q235 | 3 | 160 | H200 × 200 × 14 × 16 | 1800 × 1000 | — | 1109 | 1214 | −9.44% |
| S-2 | Q235 | 3 | 160 | H200 × 200 × 14 × 16 | 1750 × 1000 | — | 1083 | 1059 | 2.20% | |
| S-3 | Q235 | 3 | 160 | H200 × 200 × 14 × 16 | 1200 × 1000 | −100 × 10 | 907 | 1007 | −11.08% | |
| Tan et al [43] | VC-1 | Q235 | 3 | 120 | — | 920 × 900 | −100 × 10 | 423 | 416 | 1.63% |
| Li [45] | S-4 | Q235 | 2 | 150 | H200 × 200 × 8 × 12 | 1100 × 1100 | Connected to the column | 576 | 592 | −2.67% |
| Zhao et al [46] | — | Q235 | 3 | 160 | H200 × 200 × 14 × 16 | 1750 × 1000 | Connected to the column | 1083 | 1100 | −1.58% |
| Zhao et al [46] | VCoSPSW-I | Q235 | 2 | 150 | H200 × 200 × 8 × 12 | 1100 × 1100 | Connected to the column | 588 | 577 | 1.90% |
Disclaimer/Publisher’s Note: The statements, opinions and data contained in all publications are solely those of the individual author(s) and contributor(s) and not of MDPI and/or the editor(s). MDPI and/or the editor(s) disclaim responsibility for any injury to people or property resulting from any ideas, methods, instructions or products referred to in the content. |
© 2025 by the authors. Licensee MDPI, Basel, Switzerland. This article is an open access article distributed under the terms and conditions of the Creative Commons Attribution (CC BY) license (https://creativecommons.org/licenses/by/4.0/).
Share and Cite
Su, Y.; Zheng, H.; Wu, Y.; Ma, X.; Jiang, L.; Shi, Y.; Li, G.; Wang, L.; Liu, M. Cyclic Behavior of Steel Frames Equipped with Partial-Connected Crossing-Stiffened Corrugated Steel Plate Shear Walls. Buildings 2025, 15, 3924. https://doi.org/10.3390/buildings15213924
Su Y, Zheng H, Wu Y, Ma X, Jiang L, Shi Y, Li G, Wang L, Liu M. Cyclic Behavior of Steel Frames Equipped with Partial-Connected Crossing-Stiffened Corrugated Steel Plate Shear Walls. Buildings. 2025; 15(21):3924. https://doi.org/10.3390/buildings15213924
Chicago/Turabian StyleSu, Yuntian, Hong Zheng, Yang Wu, Xiaoming Ma, Liqiang Jiang, Yanghang Shi, Guangping Li, Liyi Wang, and Ming Liu. 2025. "Cyclic Behavior of Steel Frames Equipped with Partial-Connected Crossing-Stiffened Corrugated Steel Plate Shear Walls" Buildings 15, no. 21: 3924. https://doi.org/10.3390/buildings15213924
APA StyleSu, Y., Zheng, H., Wu, Y., Ma, X., Jiang, L., Shi, Y., Li, G., Wang, L., & Liu, M. (2025). Cyclic Behavior of Steel Frames Equipped with Partial-Connected Crossing-Stiffened Corrugated Steel Plate Shear Walls. Buildings, 15(21), 3924. https://doi.org/10.3390/buildings15213924

