Numerical Simulation of Heat Transfer in Layered-Plate Heat Exchangers for High-Temperature Cement Cooling
Abstract
1. Introduction
2. Model Description
2.1. Geometric Model Construction
2.2. Physical Model Construction
- The cement powder flow maintained a full-load state within the product channels.
- Assuming a maximum temperature difference of 100 °C and emissivity of 0.91 and 0.96 for cement and water, the radiative heat fluxes are estimated to be approximately 926 W/m2 and 977 W/m2, respectively. Compared with the convective heat flux on the order of 105 W/m2, radiative heat transfer is negligible in this system.
- Thermal contact resistance between particles and the potential effects of interstitial air layers on heat transfer were not considered.
- The initial temperature of the cement powder flow was uniform, and local thermal equilibrium was achieved at the interface between solid particles and pores.
- The physical properties of the materials were considered to be constant.
- The conductive heat flux along the plate length is estimated using a thermal conductivity of 500 W/(m·°C), a plate length of 10 m, and a thickness of 2 mm, assuming a maximum temperature difference of 100 °C. The resulting axial heat flux is approximately 10 W/m2. Compared with the convective heat flux on the order of 105 W/m2, the axial conductive heat transfer is negligible in this system.
- Heat dissipation due to viscous dissipation is disregarded.
- No heat losses occurred in the cooling unit group throughout the process.
2.3. Boundary Conditions
2.4. Governing Equations
2.5. Grid Independence Test
3. Results and Discussion
3.1. Influence of the Structural Parameters of the Cooling Unit Group on Cooling Efficiency
3.1.1. Influence of Cooling Unit Group Height and Cooling Plate Material on Cooling Efficiency
3.1.2. Influence of Product Channel Width on Cooling Efficiency
3.1.3. Influence of Adding Fins on Cooling Efficiency
3.1.4. Influence of the Surface Shape of Cooling Plates on Cooling Efficiency
3.2. Influence of the Operational Parameters of the Cooling Unit Group on Cooling Efficiency
3.2.1. Influence of Cement Powder Treatment Capacity on Cooling Efficiency
3.2.2. Influence of Cooling Water Consumption on Cooling Efficiency
3.3. Summary of Experimental Results
4. Verification of Simulation Results
5. Conclusions and Prospects
- The height of the heat exchanger has the most significant impact on cooling efficiency. When the height increases from 1 m to 4 m, 7 m, and 10 m, the cooling efficiency rises from 7.83% to 19.90%, 28.66%, and 35.99%, respectively. In contrast, variations in the cooling plate material have a negligible effect on the cooling performance. Moreover, increasing the width of the product channel leads to thickening of the thermal boundary layer and higher thermal resistance. Under a heat exchanger height of 10 m, increasing the channel width from 90 mm to 120 mm results in a decrease in cooling efficiency from 38.00% to 31.39%.
- Incorporating fins in the product channel and reducing fin spacing significantly improved cooling efficiency. These fins increased the heat exchange surface area and disrupted the boundary layer, thereby enhancing heat exchange. At a cooling unit group height of 10 m, adopting the F-1, F-2, and F-3 fin spacings increased the cooling efficiency to 39.67%, 38.47%, and 37.90%, respectively, with the corresponding average outlet temperatures decreasing to 78.430 °C, 79.983 °C, and 80.730 °C, respectively. Modifying the surface shape of the cooling plate also enabled a significant improvement in cooling efficiency. At a cooling unit group height of 5 m, cooling plates with grooves exhibited a 2.5 °C decrease in average outlet temperature and a 1.94% increase in cooling efficiency compared to flat-surface cooling plates.
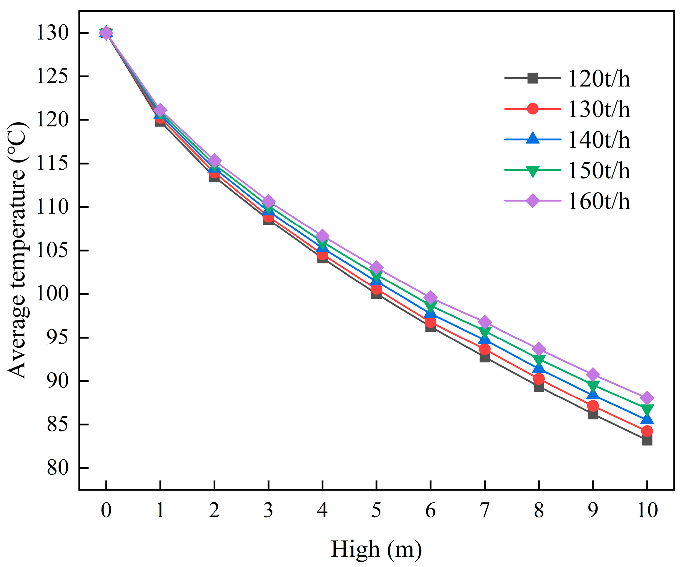
- At a cooling unit group height of 10 m, increasing the treatment capacity for high-temperature cement powder from 120 t/h to 130 t/h, 140 t/h, 150 t/h, and 160 t/h resulted in a cooling efficiency reduction from 35.99% to 35.21%, 34.22%, 33.23%, and 32.27%, respectively. Conversely, increasing the cooling water flow rate from 60 t/h to 70 t/h, 80 t/h, 90 t/h, and 100 t/h significantly enhanced cooling efficiency from 35.99% to 37.08%, 38.03%, 38.88%, and 39.71%, respectively.
Author Contributions
Funding
Institutional Review Board Statement
Informed Consent Statement
Data Availability Statement
Acknowledgments
Conflicts of Interest
Nomenclature
| H | cooling unit group height | m |
| D | cooling unit group width | m |
| L | cooling unit group length | m |
| d | product channel width | mm |
| flow velocity | m/s | |
| ρ | material density | kg/m3 |
| p | static pressure | Pa |
| gravitational acceleration | m/s2 | |
| external body forces | kg/(m2·s2) | |
| stress tensor | Pa | |
| μ | molecular viscosity | kg/(m·s2) |
| Sh | volumetric heat sources | [-] |
| e, h | effective thermal conductivity | W/(m·°C) |
| diffusion flux of species | [-] | |
| Cp | specific heat capacity | J/(kg·°C) |
| M | mass flow rate | kg/s |
| k | composite surface heat transfer coefficient | W/(kg·°C) |
| Δtm | logarithmic mean temperature difference | °C |
| A | heat transfer area | m2 |
| qmc | mass flow rates of cement | kg/s |
| qmw | mass flow rates of cooling water | kg/s |
| the inlet temperatures | °C | |
| the outlet temperatures | °C | |
| δ | thickness of the cooling plate | m |
| λ | thermal conductivity | W/(m·°C) |
| Δtmax, Δtmin | greater and of , | °C |
| Re | Reynolds number | [-] |
| Pr | Prandtl number | [-] |
| Nu | Nusselt number | [-] |
References
- Global cement production 1995–2024. 2025. Available online: https://www.statista.com/statistics/1087115/global-cement-production-volume/ (accessed on 26 June 2023).
- Wang, Q.; Ai, L.J.; Wang, G.; Deng, X.B. Applications of the discrete element method in heat transfer mechanisms of powders: Stirred milling. Mater. Today Commun. 2023, 32, 10618935. [Google Scholar] [CrossRef]
- Cetin, H.; Berkan, F. An industrial comparative study of cement clinker grinding systems regarding the specific energy consumption and cement properties. Powder Technol. 2012, 221, 183–188. [Google Scholar] [CrossRef]
- Deniz, A.; Hakan, B.; Namk, A.; Carsten, G. Operational parameters affecting the vertical roller mill performance. Miner. Eng. 2017, 103, 67–71. [Google Scholar] [CrossRef]
- Papageorgiou, A.; Tzouvalas, G.; Tsimas, S. Use of inorganic setting retarders in cement industry. Cem. Concr. Comp. 2005, 27, 183–189. [Google Scholar] [CrossRef]
- Allevi, S.; Marchi, M.; Scotti, F.; Bertini, S.; Cosentino, C. Hydration of calcium sulphoaluminate clinker with additions of different calcium sulphate sources. Mater. Struct. 2015, 48, 1567–1578. [Google Scholar] [CrossRef]
- Chen, H.; Zhu, H.; Wu, Q.; Zhu, Z.; Wang, M.; Zhu, J. The influence of NaOH incorporation on the hydration process and properties of type II fluorgypsum. Constr. Build. Mater. 2025, 496, 143833. [Google Scholar] [CrossRef]
- Zhao, W.J.; Zheng, T.; Zhao, Q.L.; Sun, B.C. A Multi-factor model for predicting cement setting time. J. Build. Eng. 2024, 98, 110991. [Google Scholar] [CrossRef]
- Sherif, H.; Hamdy, S.; Nabila, S. Effects of alternative calcium sulphate-bearing materials on cement characteristics in vertical mill and storing. Case. Stud. Constr. Mat. 2021, 14, e00489. [Google Scholar]
- Keila, R.; Eliana, S.; Hugo, C.; Ricardo, C.; Helena, A.; Eduardo, J. Efficiency of cement content and of compactness on mechanical performance of low cement concrete designed with packing optimization. Constr. Build. Mater. 2021, 266, 121077. [Google Scholar] [CrossRef]
- Adel, Y.; Usama, E.; Prannoy, S.; Antonio, N. Fresh and hardened properties of seawater-mixed concrete. Constr. Build. Mater. 2018, 190, 276–286. [Google Scholar] [CrossRef]
- Patrick, H.; Paul, H.; Thomas, A.; Sebastian, R.; Harald, K. A Framework for Multi-Objective Optimization of Plate-Fin Heat Exchangers Using a Detailed Three-Dimensional Simulation Model. ChemEngineering 2021, 5, 82. [Google Scholar]
- Rahim, Z.; Abolfazl, A. A comprehensive review of the performance and principle of fluidized bed heat exchangers with solar energy as thermal source. Energy Rep. 2025, 13, 4800–4812. [Google Scholar] [CrossRef]
- Sheikholeslami, M.; Gorji-Bandpy, M.; Ganji, D.D. Review of heat transfer enhancement methods: Focus on passive methods using swirl flow devices. Renew. Sust. Energ. Rev. 2015, 49, 444–469. [Google Scholar] [CrossRef]
- Li, M.; Li, D. Numerical investigation of heat transfer and flow resistance in a novel heat exchanger with rectangular winglet vortex generators. Int. J. Heat Mass Tran. 2020, 150, 119345. [Google Scholar]
- Miao, Z.; Zhou, Z.Y.; Yu, A.B.; Shen, Y.S. CFD-DEM simulation of raceway formation in an ironmaking blast furnace. Powder Technol. 2017, 314, 542–549. [Google Scholar] [CrossRef]
- Bhusare, V.H.; Dhiman, M.K.; Kalaga, D.V.; Roy, S.; Joshi, J.B. CFD simulations of a bubble column with and without internals by using OpenFOAM. Chem. Eng. J. 2017, 317, 157–174. [Google Scholar] [CrossRef]
- Lu, W.Q.; Ma, C.H.; Liu, D.H.; Zhao, Y.W.; Ke, X.W.; Zhou, T. A comprehensive heat transfer prediction model for tubular moving bed heat exchangers using CFD-DEM: Validation and sensitivity analysis. Appl. Therm. Eng. 2024, 247, 123072. [Google Scholar] [CrossRef]
- Qiu, Y.J.; Yu, M.; Liu, K.L.; Wu, D.Z.; Shi, Y.G. Numerical Study on Flow and Thermal Characteristics of High-Voltage Molten Salt Electric Heater Applied in Large-Scale Energy Storage. Energy Sci. Eng. 2025, 13, 1871–1882. [Google Scholar] [CrossRef]
- Halvai, B.; Baol, A.M.; Ertun, Ö.; Mengü, M.P. Investigation of soot formation and agglomeration in ethylene/air jet diffusion flame with rank correlated SLW model. J. Quant. Spectrosc. Radiat. 2024, 325, 109068. [Google Scholar] [CrossRef]
- Ansys. Fluent Theory Guide; ANSYS, Inc.: Canonsburg, PA, USA, 2021. [Google Scholar]
- Menter, F.R. Two-Equation Eddy-Viscosity Turbulence Models for Engineering Applications. Aiaa J. 1994, 32, 1598–1605. [Google Scholar] [CrossRef]
- Menter, F.R. Review of the Shear-Stress Transport Turbulence Model Experience from an Industrial Perspective. Int. J. Comput. Fluid D. 2009, 23, 305–316. [Google Scholar] [CrossRef]
- Zheng, N.; Liu, P.; Shan, F.; Liu, Z.; Liu, W. Effects of rib arrangements on the flow pattern and heat transfer in an internally ribbed heat exchanger tube. Int. J. Therm. Sci. 2016, 101, 93–105. [Google Scholar] [CrossRef]
- Sadeghianjahromi, A.; Wang, C.C. Heat transfer enhancement in fin-and-tube heat exchangers—A review on different mechanisms. Renew. Sust. Energ. Rev. 2021, 137, 110470. [Google Scholar] [CrossRef]
- Imran, A.A.; Mahmoud, N.S.; Jaffal, H.M. Analysis of channel configuration effects on heat transfer enhancement in streamline-shaped cold plates used in battery cooling system: A comparative study. Int. Commun. Heat Mass. 2024, 155, 107570. [Google Scholar] [CrossRef]
- Song, C.; Zhang, X.; Lin, K.; Zhou, J.; He, Z. Study and application of multi-tube helical composite cement cooler. China Cement 2019, 8, 106–108. [Google Scholar]






















| Material | Density (kg/m3) | Specific Heat (J/(kg·°C)) | Thermal Conductivity (W/(m·°C)) | Viscosity (kg/(m·s)) | Initial Temperature °C |
|---|---|---|---|---|---|
| Cement | 1200 | 841 | 0.3 | 1.72 × 10−5 | 130 |
| Water | 995.6 | 4180 | 0.615 | 7.972 × 10−4 | 30 |
| Materials | Density (kg/m3) | Specific Heat (J/(kg·°C)) | Thermal Conductivity (W/(m·°C)) | R-Value Per Unit Area (m2·°C/W) | Abrasion Resistance | Corrosion Resistance |
|---|---|---|---|---|---|---|
| Cu | 8978 | 381 | 387.6 | 5.2 × 10−6 | Bad | Fine |
| Al | 2710 | 902 | 236 | 8.5 × 10−6 | Bad | Fine |
| Fe | 7870 | 455 | 81.1 | 2.5 × 10−5 | Fine | Bad |
| 316L | 7980 | 500 | 15.1 | 1.3 × 10−4 | Excellent | Excellent |
| High (m) | Average Outlet Temperature (°C) | |||
|---|---|---|---|---|
| Cu | Al | Fe | 316L | |
| 1 | 119.697 | 119.714 | 119.774 | 119.816 |
| 4 | 103.977 | 103.980 | 104.074 | 104.134 |
| 7 | 92.540 | 92.546 | 92.665 | 92.740 |
| 10 | 82.882 | 82.931 | 83.132 | 83.218 |
| High (m) | Average Outlet Temperature (°C) | ||||||
|---|---|---|---|---|---|---|---|
| 90 mm | 95 mm | 100 mm | 105 mm | 110 mm | 115 mm | 120 mm | |
| 1 | 119.280 | 119.533 | 119.816 | 120.047 | 120.249 | 120.465 | 120.708 |
| 4 | 102.765 | 103.176 | 104.134 | 105.126 | 106.089 | 107.075 | 108.027 |
| 7 | 90.767 | 91.497 | 92.741 | 93.953 | 95.176 | 96.430 | 97.666 |
| 10 | 80.595 | 81.630 | 83.218 | 84.668 | 86.188 | 87.768 | 89.188 |
| Widths | 90 mm | 95 mm | 100 mm | 105 mm | 110 mm | 115 mm | 120 mm |
|---|---|---|---|---|---|---|---|
| hSurf (W/(m2·°C)) | 53.23 | 51.86 | 50.44 | 49.31 | 47.99 | 46.96 | 45.96 |
| High (m) | Average Outlet Temperature (°C) | |||
|---|---|---|---|---|
| F-3 | F-2 | F-1 | None | |
| 1 | 119.528 | 119.259 | 118.637 | 119.816 |
| 4 | 102.725 | 102.149 | 100.714 | 104.134 |
| 7 | 90.477 | 89.771 | 88.022 | 92.741 |
| 10 | 80.730 | 79.983 | 78.430 | 83.218 |
| High (m) | Average Outlet Temperature (°C) | |||
|---|---|---|---|---|
| Flat | P-H | P-C | P-D | |
| 1 | 119.816 | 119.143 | 119.101 | 119.247 |
| 2 | 113.444 | 111.876 | 111.943 | 112.085 |
| 3 | 108.552 | 105.738 | 105.895 | 106.052 |
| 4 | 104.134 | 101.326 | 101.497 | 101.660 |
| 5 | 100.025 | 97.502 | 97.720 | 97.825 |
| High (m) | Average Outlet Temperature (°C) | ||||
|---|---|---|---|---|---|
| 120 t/h | 130 t/h | 140 t/h | 150 t/h | 160 t/h | |
| 1 | 119.816 | 120.217 | 120.531 | 120.831 | 121.130 |
| 4 | 104.134 | 104.559 | 105.279 | 105.984 | 106.667 |
| 7 | 92.741 | 93.632 | 94.707 | 95.748 | 96.765 |
| 10 | 83.218 | 84.232 | 85.519 | 86.807 | 88.059 |
| High (m) | Average Outlet Temperature (°C) | ||||
|---|---|---|---|---|---|
| 60 t/h | 70 t/h | 80 t/h | 90 t/h | 100 t/h | |
| 1 | 119.816 | 119.680 | 119.534 | 119.371 | 119.116 |
| 4 | 104.134 | 103.404 | 102.851 | 102.468 | 102.035 |
| 7 | 92.741 | 91.668 | 90.895 | 90.378 | 89.698 |
| 10 | 83.218 | 81.803 | 80.566 | 79.460 | 78.388 |
| Material | Characteristic Length (m) | Re | Pr | Nu | h (W/(m2·°C)) |
|---|---|---|---|---|---|
| Cement | 0.039 | 202,959.83 | 0.048 | 108.88 | 179.65 |
| Water | 0.181 | 1469.26 | 5.418 | 44.7 | 701.06 |
Disclaimer/Publisher’s Note: The statements, opinions and data contained in all publications are solely those of the individual author(s) and contributor(s) and not of MDPI and/or the editor(s). MDPI and/or the editor(s) disclaim responsibility for any injury to people or property resulting from any ideas, methods, instructions or products referred to in the content. |
© 2025 by the authors. Licensee MDPI, Basel, Switzerland. This article is an open access article distributed under the terms and conditions of the Creative Commons Attribution (CC BY) license (https://creativecommons.org/licenses/by/4.0/).
Share and Cite
Yin, Z.; Song, J.; Zhu, H.; Chen, L.; Zhu, Z.; Wang, M. Numerical Simulation of Heat Transfer in Layered-Plate Heat Exchangers for High-Temperature Cement Cooling. Buildings 2025, 15, 3813. https://doi.org/10.3390/buildings15213813
Yin Z, Song J, Zhu H, Chen L, Zhu Z, Wang M. Numerical Simulation of Heat Transfer in Layered-Plate Heat Exchangers for High-Temperature Cement Cooling. Buildings. 2025; 15(21):3813. https://doi.org/10.3390/buildings15213813
Chicago/Turabian StyleYin, Zhifeng, Jiming Song, Huajun Zhu, Lu Chen, Zheyu Zhu, and Miaomiao Wang. 2025. "Numerical Simulation of Heat Transfer in Layered-Plate Heat Exchangers for High-Temperature Cement Cooling" Buildings 15, no. 21: 3813. https://doi.org/10.3390/buildings15213813
APA StyleYin, Z., Song, J., Zhu, H., Chen, L., Zhu, Z., & Wang, M. (2025). Numerical Simulation of Heat Transfer in Layered-Plate Heat Exchangers for High-Temperature Cement Cooling. Buildings, 15(21), 3813. https://doi.org/10.3390/buildings15213813

