Abstract
The building sector accounts for nearly 40% of total energy consumption in Europe, with heritage buildings posing a critical challenge due to conservation constraints. This study investigates two protected heritage sites—Palazzo Ruspoli in Cerveteri and Palazzo Vitelleschi in Tarquinia—to identify effective energy retrofit strategies integrating high-efficiency windows, HVAC and lighting systems, and photovoltaic (PV) solutions for both on-site and virtual self-consumption within Renewable Energy Communities (RECs). Energy surveys, modeling, and simulations were performed to evaluate technical, environmental, and economic impacts. The results show contrasting outcomes between the two cases: at Palazzo Vitelleschi, the combination of efficient systems and rooftop PV reduced non-renewable primary energy demand and CO2 emissions by 73.5%, with a 10.7-year payback period; at Palazzo Ruspoli, REC-based virtual self-consumption achieved net-negative carbon emissions (−240%), a 95% reduction in non-renewable energy demand, and a 19.4-year payback period. These findings demonstrate that heritage buildings can move beyond carbon neutrality and actively offset emissions through shared renewable generation. The proposed simulation-based framework provides a replicable method to balance conservation and sustainability, supporting the decarbonization of the historical built environment.
1. Introduction
The building sector is among the most energy-intensive in Europe, accounting for an estimated 40% of the total energy consumption [1,2]. This necessitates the adoption of a targeted approach to reduce energy use and climate-altering emissions. In this context, the European Union has set ambitious targets, establishing a reduction of CO2 emissions by at least 55% by 2030 and achieving climate neutrality by 2050 [3]. Italy has transposed these directives through the D. Lgs. 102/2014 [4] and D. Lgs. 73/2020 [5], promoting specific measures for energy efficiency and decarbonization of the national building stock.
New constructions and renovations are increasingly oriented toward nearly-zero- or zero-energy buildings and districts (nZEB), whereas a significant portion of the Italian building stock is over 70 years old and may be subject to cultural heritage protection constraints. Historical and listed buildings represent a strategic domain for achieving energy efficiency goals, as they pose both technical and cultural challenges: the improvement of energy performance must be reconciled with compliance with the fundamental principles of conservation and restoration [6,7,8].
The strategic role of these buildings is confirmed by numerous political initiatives, such as the National Recovery and Resilience Plan (PNRR), which allocates funds for the renovation of historical and listed heritage assets [9].
This study examines strategies applicable to heritage-protected buildings for reducing CO2 emissions and primary energy consumption, with a particular focus on the latest photovoltaic solutions, an area that remains largely underexplored.
1.1. Regulatory and Energy Context of Historical Buildings in Italy
According to ISTAT data (2018), only 3.5% of the Italian building stock consists of new constructions, while buildings erected before 1918 account for approximately 17.6% and those built between 1919 and 1945 account for 28.9% [10]. Overall, 46.5% of the national building stock—equivalent to approximately 12.2 million units—is over 70 years old, highlighting the importance of targeted interventions to improve energy efficiency in the historical sector.
The Code of Cultural Heritage and Landscape [11] defines cultural heritage as comprising cultural and landscape assets. Cultural assets include “movable and immovable things that […] are of artistic, historical, archeological, ethno-anthropological, archival, or bibliographical interest,” while landscape assets comprise “buildings and areas identified under Article 134, which embody the historical, cultural, natural, morphological, and esthetic values of the territory.” Architectural assets include villas, gardens, parks, building complexes of esthetic or traditional value, rural architecture of historical and artistic interest, and contemporary architecture of particular artistic value.
Italy possesses the world’s most extensive cultural heritage, with nearly three million protected assets. Among these, more than two hundred thousand belong to the “architecture” and “immovable assets” categories, including 4000 museums, 6000 archeological sites, 85,000 churches, and 40,000 registered historical residences [12]. Privately owned buildings are listed only if deemed of particularly significant interest, whereas public buildings and those owned by non-profit legal entities, built more than 70 years ago, are automatically subject to protection. However, such constraints must not hinder energy efficiency measures: in 2017, the energy expenditure of the Ministry of Cultural Heritage and Activities exceeded EUR 200 million, with some museums reporting energy costs accounting for up to 70% of their total budget [13].
1.2. Techniques and Strategies for Energy Efficiency in Historical Buildings
Historical buildings require a specific approach to energy efficiency, which differs from that applied to modern building stock. The preservation, conservation, and accessibility of heritage assets must not prevent the pursuit of maximum energy and economic performance. This need has been further emphasized by the COVID-19 pandemic and recent economic crises, which have affected energy costs in Europe, reducing revenues and limiting the operational capacity of museums and cultural institutions [14]. To ensure effective interventions, an in-depth study of the building’s current condition is essential, through energy audits based on actual consumption data, thermophysical characterization of structures, and monitoring of microclimatic parameters. Diagnostic methods should prioritize non-destructive techniques, such as thermography and heat flux measurement, and include the analysis of heating, cooling, ventilation, and lighting systems [7,15].
Interventions on the envelopes of historical buildings must be assessed on a case-by-case basis, as significant modifications could alter their external appearance. Energy improvement strategies include the replacement of fixtures, use of selective glazing, targeted insulation of horizontal and vertical closures, integration of geothermal heat pumps, and refurbishment of existing systems while ensuring reversibility and minimizing visual impact [16]. The integration of renewable technologies, such as low-esthetic-impact solar thermal and photovoltaic panels, further contributes to sustainability [8].
Raising user awareness and promoting energy-responsible behavior are also key factors in reducing consumption. The assessment of economic feasibility is equally relevant, as interventions on historical buildings typically involve higher costs and longer payback periods. However, according to CRESME, investments in the energy retrofit of the existing building stock increased by 40% in 2021 compared to 2020, reaching approximately EUR 99.3 billion, thanks to incentive measures and Italy’s consolidated conservation-oriented culture [17]. The above considerations highlight the need for a flexible and multidisciplinary approach to the energy retrofit of historical buildings, integrating regulatory guidelines with the specific features and uniqueness of each asset, while respecting the principles of conservation and energy sustainability [7].
1.3. Regulatory Framework and Simplified Procedures for Photovoltaic Panels in Historical Contexts
Until a few years ago, the procedure for obtaining permits to install photovoltaic panels on historical buildings or within historic centers was extremely complex. With Ministerial Decree No. 297 of 2 August 2022, entitled “Extension of the single model for the construction, connection, and operation of solar photovoltaic systems up to 200 kW”, a significant simplification was introduced for areas governed by existing regulations and for new areas relevant to this study [18]. The decree of the Ministry of Ecological Transition (MiTE) defines the conditions and modalities for using the simplified single model to install photovoltaic systems with a total nominal capacity of up to 200 kW on buildings, structures, and above-ground constructions other than buildings [19]. Such interventions are classified as ordinary maintenance, which means that they are not subject to permits or authorizations and fall under the category of free-building works. Liberalization also extends to historic centers, provided that the panels are integrated into roofs and are not visible from public spaces or panoramic viewpoints. However, this liberalization does not apply to roofs made from traditional local materials [18].
1.4. Introduction to Renewable Energy Communities for Historical Buildings
In recent years, the energy transition has placed particular emphasis on the shared production and management of renewable energy, fostering the spread of Renewable Energy Communities (RECs). RECs are collective entities that enable citizens, local authorities, and enterprises to produce, consume, and exchange renewable energy locally, thereby promoting collective self-consumption and decarbonization of the electricity system [20,21]. The application of RECs to historical buildings represents both a challenge and a strategic opportunity. On the one hand, listed buildings must comply with strict architectural and historical protection constraints, limiting the installation of conventional energy systems, such as visible photovoltaic panels [18]. However, the adoption of RECs makes it possible to integrate renewable systems at a collective scale, reducing energy consumption and CO2 emissions without compromising the integrity of heritage assets [6,21,22]. RECs provide a valuable solution to increase the energy efficiency of historical buildings, as they allow the use of shared photovoltaic systems, reducing the need for costly individual installations. European and national regulations have recently defined the legal framework for RECs. Directive (EU) 2018/2001 on renewable energy introduced the concept of an energy community as a legal entity capable of generating, storing, selling, or sharing locally produced renewable energy [23].
In Italy, Law No. 162 of 8 November 2021, and DM of 16 September 2021, regulate the establishment and operation of Renewable Energy Communities (RECs), introducing simplified procedures for accessing incentives and grid connection [24,25]. The integration of RECs into historical buildings can be achieved through non-invasive solutions, such as the installation of micro-photovoltaic systems on non-visible roofs, photovoltaic systems on privately owned areas not subject to landscape restrictions, shared storage systems, and smart energy load management [22,26]. These strategies make it possible to reconcile cultural heritage protection with the principles of sustainability, energy efficiency, and urban resilience, in line with the objectives of the National Recovery and Resilience Plan (PNRR) and the national energy transition [9]. To summarize, RECs represent an innovative tool for promoting energy sustainability in historical buildings, offering a balance between heritage conservation, consumption reduction, and community participation [26].
1.5. Comparison with Similar Studies Conducted in Other EU Countries
The findings of the present study on energy savings and photovoltaic integration strategies in historic Italian buildings are consistent with the European literature, emphasizing the need for multidisciplinary and context-specific approaches to reconcile architectural conservation with environmental sustainability. Several studies conducted across EU countries demonstrate that the integration of photovoltaic systems in protected heritage buildings requires non-invasive solutions, a combination of envelope retrofit interventions, and the use of digital diagnostic and simulation tools to ensure both visual compatibility and real energy benefits [27,28,29,30]. In Italy, numerous investigations have highlighted the decisive role of Renewable Energy Communities (RECs) and collective self-consumption models in improving the economic feasibility of photovoltaic installations within historical and urban contexts [31,32,33].
Several converging trends emerge when compared with experiences in other EU countries. In the United Kingdom and Scotland, the integration of Building-Integrated Photovoltaics (BIPV) has been assessed through Heritage Building Information Modeling (HBIM)-based models and targeted retrofit strategies for heritage assets, showing that visual compatibility and energy performance can successfully coexist with adequate design planning [28,34]. In Germany, Switzerland, and the Netherlands, recent studies have documented the growing diffusion of architecturally integrated BIPV systems, supported by policy incentives and design guidelines aimed at minimizing their esthetic impact [35,36]. Similarly, research conducted in Spain and Central Europe has shown that local energy communities and cooperative energy management models lead to comparable outcomes, with variable payback periods and significant improvements in energy resilience [32,37]. Overall, the European literature converges on the conclusion that the combination of integrated photovoltaic solutions, envelope efficiency measures, and participation in collective energy networks constitutes the most effective strategy for balancing cultural heritage preservation and the energy transition [29,33,38].
1.6. Aim of This Study
This study introduces a novel approach to the use of photovoltaics—both for on-site self-consumption and virtual self-consumption —to reduce CO2 emissions and the demand for non-renewable primary energy. The novelty of this study lies in introducing and applying a hybrid decarbonization model for heritage buildings that couples non-invasive photovoltaic integration with Renewable Energy Community participation. Through comparative simulation of two real museum-type buildings, the research demonstrates how context-dependent factors shape the feasibility and carbon performance of retrofit strategies, offering a replicable pathway to reconcile regulatory conservation constraints with the EU energy transition goals. Although the deployment of photovoltaics in the residential sector to mitigate emissions and energy consumption is well documented, research focusing on their application in heritage-protected buildings remains limited. This gap is largely due to the recent development of solutions that are compatible with landscape and conservation constraints. The integration of Building-Applied Photovoltaics (BAPV) in historic buildings is even more scarcely explored in the scientific literature, a topic that is thoroughly examined in this study.
2. Materials and Methods
2.1. Methodology
This study aimed to evaluate, from an economic, technical, and environmental perspective, different energy retrofit strategies applied to historical buildings, with particular focus on new modes of energy production through photovoltaic panels, either installed on-site or shared through a Renewable Energy Community (REC).
The study began with the collection of data on the case study, which made it possible to define the building envelope (walls, floors, roofs, and windows), building systems (lighting, thermal, and electrical), operating costs, and occupant behavior.
An energy analysis was conducted, leading to the development of a numerical model for the case study. The numerical model considered the envelope characteristics, existing systems, and occupancy profiles. This model was calibrated by comparing the simulated consumption with actual data obtained from electricity bills, thus providing a reliable representation of the building’s energy behavior.
Once validated, the model was used to identify the most significant improvement measures, namely, interventions with low architectural impact but high influence on overall energy demand. Measures for equipping this type of building with a photovoltaic system were also assessed.
Finally, the different interventions were combined to define representative retrofit scenarios, with the aim of identifying the most effective solution and assessing whether comparable historical buildings could achieve similar performance levels. The methodology is illustrated in Figure 1.
Figure 1.
The framework of the methodology employed in this research.
2.2. The Case Study
For this study, two historically significant buildings currently used as archeological museum facilities were selected: Palazzo Ruspoli and Palazzo Vitelleschi.
The simulated improvement measures were identical for both the buildings. The analysis of the two cases allowed for evaluating the influence of the building system characteristics in the ante operam (envelope insulation and building service technologies) and occupant behavior (switching heating/cooling/lightning systems on and off, and internal heat gains from occupants) on the overall results. The findings highlighted that the same intervention, depending on the initial conditions, may provide no benefits or even be counterproductive, emphasizing the importance of detailed simulations for each individual case study. The initial conditions were the same, except for two aspects: Palazzo Ruspoli required an expansion of the HVAC system to enhance the occupants’ thermal comfort, and the electrical load profiles of the users in the two Renewable Energy Communities (RECs) differed.
To identify the stratigraphy of the building envelope (external walls, floors, and roofs), a construction component catalog (Abaco delle strutture) was used [39]. Based on the year of construction of each component, its thickness, and the materials employed, the stratigraphy and thermal properties were derived as follows. As with many historical buildings, the case studies analyzed in this research also present a heterogeneous building envelope, composed of different materials and construction techniques, owing to the numerous restoration and reconstruction interventions carried out over time. To simplify the energy simulation, representative components were selected for each macro-category of the dispersing element (floors, roofs, walls, and windows). The outcomes of this selection are presented in Table 1.
Table 1.
Thermophysical properties of envelope elements.
The occupancy profile was developed based on the statistical data on museum attendance provided by the Italian Ministry of Culture [40]. These data were used to define the temporal trend of visitor flow and construct a representative profile of the hourly occupancy level. The data are prensented in Table 2.
Table 2.
Occupancy profile. Museum attendance statistics from the Italian Ministry of Culture (2023) were used to define visitor trends and derive an hourly occupancy profile.
Climatic data were calculated according to the current regulatory standard, UNI 10349-1:2016 [41]. The data are presented in Table 3 and Table 4.
Table 3.
Project data: Weather files. The data were obtained from the standard UNI 10349-1:2016 and were used to perform a quasi-stationary analysis.
Table 4.
Project data: Climate files. The data were obtained from the standard UNI 10349-1:2016 and used to perform a quasi-stationary analysis.
2.2.1. Palazzo Ruspoli
The municipality of Cerveteri is located in the northern part of the Rome metropolitan area, in a strip of land between the Tyrrhenian coast and the Tolfa mountains, at an altitude of 81 m a.s.l. The municipality covers an area of 134 km2 and borders the neighboring municipalities of Rome, Anguillara Sabazia, Bracciano, Fiumicino, Ladispoli, S. Marinella and Tolfa. Within the municipality of Cerveteri are the Archaeological Museum of Cerveteri and Banditaccia Necropolis. An aerial view of Cerveteri is shown in Figure 2.
Figure 2.
Aerial view of Cerveteri, Italy. On the left, the territory of the municipality of Cerveteri (green), Banditaccia Necropolis (red), and Palazzo Ruspoli (blue) are highlighted.
The Necropolis extends west of the town, on a tuff plateau of approximately 100 hectares, and is part of the Archaeological Museum of Cerveteri, Italy.
Palazzo Ruspoli, located in the heart of the Cerveteri’s historic center, houses the Archaeological Museum of Cerveteri, inaugurated in 1967. The building has an almost trapezoidal layout and is characterized by several elements: a polygonal tower incorporating a circular tower, a beautiful circular crenelated tower, a circular clock tower, a larger rectangular body, and sections of Etruscan walls dating back to the 4th century BC. The palace houses museum halls, staff offices, and a control room. The building is open to the public six days a week, except for certain holidays, with continuous opening hours from 9:00 a.m. to 7:30 p.m. The building has an approximate volume of 2598.36 m3, and its rooms cover a surface area of 596.75 m2. The structure is arranged on two main floors, in addition to a mezzanine floor located between the ground and first floors (Figure 3). The construction features of the building envelope were as follows:
Figure 3.
Floor plans of Palazzo Ruspoli. From left to right: ground, mezzanine, and first floors.
- Walls: Solid exposed brick masonry.
- Floors: Hollow-core-reinforced concrete slabs.
- Roofs: Pitched-roof wooden structures and boarding.
- Windows: Wooden frames with single-glazing.
Building present significant energy-related criticalities owing to the presence of low-efficiency building services.
The museum’s lighting system consists mainly of fluorescent and halogen lighting fixtures that operate continuously during public opening hours. Some areas subject to past energy retrofit interventions are currently equipped with LED lighting fixtures. Survey data indicate that the average lighting load per unit area was 23.08 W/m2.
The current heating and cooling (HVAC) system consists of old monosplit units located in the offices (first floor in Figure 3), and the other rooms lack any thermal system. The domestic hot water (DHW) system consists of boilers located in restrooms (visitor toilets, control room, and office). The HVAC system operates according to opening hours of the museum. The thermal setpoints adopted for the conditioned spaces were as follows:
- The winter indoor temperature was 20 °C.
- The summer indoor temperature was 26 °C.
2.2.2. Palazzo Vitelleschi
The municipality of Tarquinia is located on a hill overlooking the lower course of the Marta River from the left bank, near the Via Aurelia, in the Maremma Laziale area not far from Tuscany, approximately 90 km between Rome and Grosseto, at an altitude of 133 m a.s.l. Belonging to the province of Viterbo, the municipality covers an area of 280 km2 and borders the neighboring municipalities of Monte Romano, Marina Velca, Civitavecchia, and Tolfa. The Archaeological Museum of Tarquinia and Monterozzi Necropolis are located within the municipality of Tarquinia. An aerial view of Tarquinia is shown in Figure 4.
Figure 4.
Aerial view of Tarquinia, Italy. On the left, the territory of the municipality of Tarquinia (green), Monterozzi Necropolis (blue), and Palazzo Vitelleschi (red) are highlighted.
The Necropolis, recognized as a UNESCO World Heritage Site in 2004, is located on a hill at the eastern edge of the town of Tarquinia and extends 6 km parallel to the coast. Approximately 200 painted tombs have been identified, of which twenty-two are currently open to visitors.
Palazzo Vitelleschi, located at the entrance to the historic center of Tarquinia, houses the rooms of the Archaeological Museum of Tarquinia, which was inaugurated in 1924. Built between 1436 and 1439, it is one of the most important monuments of early Renaissance in Lazio. In addition to museum halls, the palace accommodates staff offices and a control room. The building is open to the public six days a week, except for certain holidays, with continuous opening hours from 9:00 a.m. to 7:30 p.m. The building has an approximate volume of 12,284.52 m3, and its rooms cover a surface area of 2558.40 m2. The structure is arranged on three main floors and includes an inner courtyard (Figure 5). The construction features of the building envelope are as follows:
Figure 5.
Floor plans of Palazzo Vitelleschi. From left to right: ground, first, and second floors.
- Walls: Solid exposed brick masonry.
- Floors: Hollow-core reinforced concrete slabs.
- Roof: Pitched roof with a wooden structure and boarding.
- Windows: Wooden frames with single glazing.
The building presents significant energy-related criticalities due to the presence of low-efficiency building services.
The museum’s lighting system consists mainly of fluorescent and halogen lighting fixtures, operating continuously during public opening hours. Some areas, subject to past energy retrofit interventions, are currently equipped with LED lighting fixtures. Survey data indicate that the average lighting load per unit area was 9.05 W/m2.
The current heating (HVAC) system consists of oil-filled radiators (Joule-effect heaters) located in the offices (first floor, Figure 5). The current cooling (HVAC) system consists of portable air-conditioning units located in the offices (first floor, Figure 5). No domestic hot water (DHW) system was used. The HVAC system operates according to the museum’s opening hours. The thermal setpoints adopted for the conditioned spaces are as follows:
- The winter indoor temperature was 20 °C.
- The summer indoor temperature was 26 °C.
2.3. Energy Analysis
A detailed energy analysis allows the collection of numerous data that are useful for identifying the most effective strategies to improve a building’s efficiency. Energy analysis was performed using Blumatica Energy 6 software in accordance with the technical standards UNI CEI EN 16247-1 [42] and UNI CEI EN 16247-2 [43]. Blumatica Energy is a software for building energy certification that integrates tools for hygrothermal checks and simulations of improvement measures and can be expanded with advanced modules and BIM features. This enabled the development of a numerical model of the building, which was subsequently calibrated based on the electricity consumption data extracted from the utility bills.
The numerical model was implemented considering the characteristics of the building envelope (walls, floors, roofs, and windows) and the systems used for heating, cooling, lighting, and all electrical equipment present within the building. Occupancy profiles were also considered to schedule the on/off operation of the thermal systems and account for heat gains from occupants.
Calibration involves comparing the annual heating, cooling, and electricity demand simulated by the numerical model with the consumption data obtained from utility bills. The internal gains in the numerical model were adjusted to minimize discrepancies between the observed and simulated data.
For the calibration of electricity demand, because it is often not possible to quantify the number of electrical devices precisely, the numerical model was adjusted by varying the quantity of electrical equipment. Regarding the heating and cooling demands, the calibration focused on modifying the thermal gains. Notably, the introduction of thermal gains can affect the cooling demand, which in turn modifies the electricity demand owing to the operation of electric-powered chillers.
For these reasons, the calibration method follows an iterative process aimed at minimizing the differences between the simulated thermal and electrical demands and the consumption data from utility bills.
The energy analysis conducted in this study was of the quasi-stationary type.
2.4. Numerical Model
In Section 2.2, the input data necessary for building the numerical model are defined, including geometric data, building envelope characteristics, climatic data, type of installed systems, occupancy profile, system operation schedules, and temperature setpoints. However, one essential element for model calibration remained to be specified: the electrical load of the internal equipment.
Typical equipment present in the building was then selected and, based on the number of units and operating times, the electrical demand was determined. This demand was used as the calibration variable for the model. The electrical loads represented in the model were as follows:
- Computer: 300 W.
- Printer: 500 W.
- Video/TV kiosk: 150 W.
- Internet modem: 10 W.
- Cameras: 5 W.
- Surveillance recorder: 100 W.
The logical process followed for calibrating of the numerical model is shown in Figure 6. The analysis performed was of a quasi-stationary type; therefore, the comparison between the energy indices was pointwise. The actual energy performance index was compared with the operational energy performance index. According to UNI/TR 11775:2020 [44], the numerical model is considered validated when the deviation of simulated energy indices remains within an uncertainty margin of ±5%. To achieve this accuracy, internal gains were manually tuned through iterative simulations until thermal loads differed by less than ±5% between measured and simulated data.
Figure 6.
Numerical model calibration. The internal gains, corresponding to the electrical load of the internal equipment, are adjusted through a manual iterative process.
2.5. Energy Efficiency Strategies
The regulatory barriers that emerged during this phase, which have already been extensively described in Section 1, are briefly recalled below.
The first obstacle concerns the need to preserve the external appearance of buildings. Interventions such as external insulation, replacement of historic windows, or the application of modern materials are often prohibited, as they risk altering the original image. Similarly, the use of renewable technologies faces significant limitations owing to their visual impact. However, in recent years, some regulatory simplifications have been introduced, particularly in relation to renewable energy sources. Among these, MiTE Decree No. 297/2022 [18] facilitated the installation of photovoltaic systems up to 200 kW, classifying them as ordinary maintenance and exempting them from complex authorization procedures. This provision also applies to historic centers, provided that the panels are not visible from the outside or from panoramic viewpoints and are not installed on roofs made of traditional local materials.
The second obstacle is bureaucratic complexity. Until a few years ago, the authorization processes for installing energy systems in historic centers were extremely long and costly, often discouraging private owners and public entities from proceeding with the installation. Even today, in the presence of architectural or landscape constraints, consultation with the competent authorities remains necessary, with evaluation times that can be extended and regulatory interpretations that are not always consistent with each other. In addition, there is a certain rigidity in the regulations, which are applied uniformly without considering the specific characteristics of each historic building. Consequently, adopting tailored solutions that adequately balance cultural heritage protection with the requirements of energy sustainability is not always possible.
Based on the results obtained from the numerical model, the components of the building–system complex to be upgraded were selected according to their impact on the overall energy demand and feasibility of intervention. In the case of historical buildings, the feasibility of interventions must be carefully assessed to avoid compromising their historical and artistic values.
In the case studies, the components selected were lighting, thermal, and energy production systems and windows. No interventions were planned for walls, floors, or roofs, as their contribution to reducing the overall energy demand was found to be marginal relative to the extent of the surfaces involved. The strategies adopted to improve the selected components are as follows.
2.5.1. Replacement of Window Glazing
The existing windows consisted of a 60 mm thick wooden frame (Uf = 1.80 W/m2K) and single-glazing (Ug = 5.70 W/m2K, Ggln = 0.85). Given the good thermal properties of the frame, only the glass was replaced with double-glazing (Ug = 1.50 W/m2K, Ggln = 0.67). Overall, the windows’ thermal transmittance was reduced from 5.00 W/m2K to 1.80 W/m2K. The intervention complies with current regulations [45].
2.5.2. Replacement of the Thermal System
The installation of thermal systems in historical buildings is complex, as these structures were not originally designed to accommodate such systems. The routing of pipes is particularly critical, as it involves challenges related to cutting and coring necessary for their placement. The buildings were modeled to be equipped with centralized heating and cooling systems in compliance with current regulations [45].
The selected technology is the VRF (Variable Refrigerant Flow) system, chosen for four main reasons. The first concerns the piping: due to their small diameter, they require minimal drilling and reduce the visual impact of wall-mounted ducts. The second relates to the refrigerant: being a gas, any leaks do not cause water spillage in the rooms, thus preventing damage to the environment and artifacts. In the event of a leak, the gas simply evaporates and disperses into the air. The third reason is high efficiency: the heat pump circuit is connected directly to the fan coils, eliminating the intermediate heat exchange stage typical of hydronic systems. Finally, the fourth reason concerns the placement of external units: compared to other equally efficient gas-based systems (Split technology), VRF allows for longer piping (approximately 200 m instead of 10 m) and greater flexibility in creating bends, enabling the installation of units in hidden locations and reducing visual impact. The selected heat pumps are of very high efficiency, with a COP = 3.96 and EER = 4.73.
2.5.3. Replacement of Lighting Fixtures
Survey data indicate that the average lighting load per unit area is 23.08 W/m2 for Palazzo Ruspoli and 9.05 W/m2 for Palazzo Vitelleschi. To reduce the lighting load, the existing luminaires will be replaced with high-efficiency LED lamps. This intervention would reduce the average lighting load to 12.88 W/m2 for Palazzo Ruspoli and 3.12 W/m2 for Palazzo Vitelleschi. Following the proposed intervention, the average lighting load per unit area decreases by 44.19% for Palazzo Ruspoli and 65.56% for Palazzo Vitelleschi.
2.5.4. PV Installation for On-Site Self-Consumption
The integration of photovoltaic systems in historical buildings is particularly complex due to both esthetic limitations and regulatory constraints. For the case study, Photovoltaic modules and system size were selected in compliance with current regulations [18]. Photovoltaic modules have a color similar to that of the buildings’ roofs to minimize visual impact. Installation is planned flush with the roof, covering approximately 25% of the available surface area. Photovoltaic system data are summarized in Table 5.
Table 5.
Data on the rooftop photovoltaic system.
2.5.5. PV Installation for Virtual Self-Consumption
When it is not possible to install a photovoltaic system directly on a historical building, renewable energy can still be used through participation in a Renewable Energy Community (REC). In the case studies analyzed, land managed by the museum was used to install two photovoltaic systems—at Tarquinia and Cerveteri—intended to supply not only the two historical palaces but also other participants of the REC.
The size of the photovoltaic system was determined so that 50% of the production meets the electricity demand of each historic building, while the remaining 50% is fed into the grid to benefit the other members of the REC. This 50% production-to-demand ratio reflects a balanced and commonly adopted sizing scenario in urban heritage contexts, optimizing technical feasibility, preserving architectural integrity, and avoiding excessive oversizing. Photovoltaic system data are summarized in Table 6.
Table 6.
Data on the REC photovoltaic system.
Installing a photovoltaic system on external areas can be a valid alternative to rooftop installation. This solution presents no particular criticalities, as it is not subject to landscape restrictions and benefits from ample space and minimal shading, conditions that favor high system efficiency. Moreover, it allows for the preservation of the architectural integrity of historical buildings and the use of standard photovoltaic modules, which are less expensive and more efficient than modules specifically designed for integration into protected buildings.
2.6. Scenarios
By combining the different measures described in Section 2.5, three energy retrofit scenarios were developed, representative of different application conditions ranging from the simplest and most cost-effective solution to the most complex and expensive one. The combinations of measures are summarized in Table 7. In summary, the scenarios listed in the order indicated above are as follows:
Table 7.
Combination of measures for each scenario. The symbol ◉ indicates that the measure is included in the scenario.
- Scenario 1—baseline interventions.
- Scenario 2—baseline interventions with on-site self-consumption.
- Scenario 3—baseline interventions with virtual self-consumption.
3. Results and Discussions
Before presenting and discussing the results in detail, it is important to clarify what an energy retrofit of a historic building entails. One of the main challenges in improving the energy efficiency of historic buildings lies in reconciling conservation requirements with modern performance standards. The study highlights several barriers, including regulatory restrictions, the high cost of compatible technologies, the limited flexibility of interventions on original structures, and the risk of compromising the historical and artistic value of the buildings. At the same time, enabling factors are also emerging, such as the growing availability of reversible and non-invasive solutions, the support of dedicated funding programs for heritage assets, and increased awareness among stakeholders of sustainable retrofit practices. The findings demonstrate that, despite these challenges, it is possible to achieve an effective balance between barriers and enabling factors, leading to positive outcomes.
3.1. Model Calibration
The calibration of the numerical model was carried out according to the procedure described in Section 2.3 and Section 2.4. Only electricity bills were considered, since the analyzed buildings are served exclusively by electrical energy systems. Table 8 reports the results of the numerical model calibration for the two buildings:
Table 8.
Results of the numerical model calibration for the two buildings: comparison between standard consumption (preliminary, uncalibrated analysis), operational consumption (with internal gains), and measured consumption (from bills), variation, and model validation level. Energy vector: electricity.
- Standard Consumption: This represents the building’s energy demand obtained from the preliminary energy analysis, carried out before the calibration phase and therefore without the application of internal gains.
- Operational Consumption: This corresponds to the standard consumption corrected with the variation in internal gains.
- Measured Consumption: This represents the real electricity billing data (energy bills).
- Variation: This represents the difference between operational and actual consumption.
- Validation: This represents the validation percentage of the numerical model.
As shown in the table, the results are expressed as point values of energy consumption. This methodological choice stems from the quasi-stationary nature of the analysis, which involves direct comparison of representative values rather than the processing of time series data. The calibration algorithm (see Figure 6) is configured to validate the model when the comparison of energy indices falls within an uncertainty margin of ±5%, as specified in the UNI/TR 11775:2020 standard [44].
3.2. Ante Operam Analysis
Following the calibration of the numerical model, an energy analysis was conducted using the numerical model to evaluate the energy performance of the two buildings. The main results are summarized in Figure 7, Figure 8, Figure 9 and Figure 10.
Figure 7.
Primary energy consumption indices of (a) Palazzo Ruspoli and (b) Palazzo Vitelleschi. Ante operam.
Figure 8.
Thermal loss percentages of (a) Palazzo Ruspoli and (b) Palazzo Vitelleschi. Ante operam.
Figure 9.
Breakdown of electricity demand of (a) Palazzo Ruspoli and (b) Palazzo Vitelleschi. Ante operam.
Figure 10.
Breakdown of total primary energy demand between renewable and non-renewable sources of (a) Palazzo Ruspoli and (b) Palazzo Vitelleschi. Ante operam.
The energy audit identified the main energy-related critical issues. In both case studies, due to the specific use of the premises, lighting represents the main source of energy consumption, driven both by intensive use and, above all, by the employment of inefficient technologies. The contribution of lighting to the total electricity demand is 90% for Palazzo Ruspoli and 82% for Palazzo Vitelleschi. Thermal services account for a smaller share, with limited percentages; despite the use of inefficient systems, their impact is reduced due to limited operating hours. The contribution of thermal services to the total electricity demand is 10% for Palazzo Ruspoli and 18% for Palazzo Vitelleschi.
The analysis indicates that the majority of the total energy demand (EPgl,tot) is met through non-renewable energy sources (EPgl,nren), while only the remaining portion comes from renewable sources (EPgl,ren). This results in a significant environmental impact, primarily in terms of CO2 emissions. For Palazzo Ruspoli, the total energy demand is distributed as 74% non-renewable energy and 26% renewable energy. For Palazzo Vitelleschi, the distribution is 81% non-renewable energy and 19% renewable energy.
Consequently, the overall energy efficiency is low; indeed, both buildings fall into Energy Class D, which is a medium-to-low level.
3.3. Post Operam Analysis
After analyzing the energy behavior and identifying the main critical issues, as described in Section 3.2, energy simulations were carried out based on the scenarios introduced in Section 2.6. Finally, the most significant data were reported, organized by scenario type.
3.3.1. Scenario 1—Baseline Interventions
For Palazzo Ruspoli, the annual energy cost is higher compared to the baseline situation; therefore, the investment will never be recovered. This is due to the nature of the intervention on the HVAC systems; in fact, the heating and cooling were extended from serving only the offices to covering the entire building. The results showed that extending the HVAC system to the entire building, although aimed at improving occupants’ thermal comfort, did not lead to a reduction in energy costs, primary energy demand, or CO2 emissions, despite the adoption of more efficient lighting fixtures, HVAC equipment, and windows. This finding demonstrates that, in specific cases such as the climatization of historic buildings or large portions thereof, efficiency measures applied solely to technical systems (HVAC and lighting) or to the building envelope are not sufficient. In such contexts, it is necessary to act on energy generation, prioritizing renewable sources. Although extensive insulation of the building envelope could theoretically improve performance, such interventions are not feasible in heritage-protected buildings. Consequently, measures aimed exclusively at thermal comfort, without consideration of the energy supply mix, risk increasing both greenhouse gas emissions and energy management costs.
For Palazzo Vitelleschi, the annual energy cost is lower compared to the baseline situation; therefore, the investment will be recovered. In addition, there is a reduction in primary energy demand and CO2 emissions. In this case, although the same interventions were implemented, the results differ from those obtained at Palazzo Ruspoli: instead of extending the HVAC system, the existing HVAC and lighting fixtures were replaced with more efficient technologies, which proved sufficient to reduce both greenhouse gas emissions and energy costs.
While the HVAC extension in Palazzo Ruspoli increased auxiliary consumption due to envelope dispersion and plant layout restrictions, Palazzo Vitelleschi benefited from its more compact geometry and pre-existing systems, highlighting how conservation constraints can invert the performance hierarchy of retrofit scenarios.
The results of this scenario are shown in Figure 11 and Table 9. For the economic assessments, the following data were used:
Figure 11.
Primary energy consumption indicators of (a) Palazzo Ruspoli and (b) Palazzo Vitelleschi. Scenario 1.
Table 9.
Summary overview. Scenario 1.
- Average electricity purchase price: 0.30 EUR/kWh.
- Weighted Average Cost of Capital (WACC): 4.00%.
3.3.2. Scenario 2—Baseline Interventions with On-Site Self-Consumption
For Palazzo Ruspoli and Palazzo Vitelleschi, the annual energy cost is lower compared to the baseline situation; therefore, the investment will be recovered. In addition, there is a reduction in primary energy demand and CO2 emissions.
The results of this scenario are shown in Figure 12 and Table 10. For the economic assessments, the following data were used:

Figure 12.
Primary energy consumption indicators of (a) Palazzo Ruspoli and (b) Palazzo Vitelleschi. Scenario 2.
Table 10.
Summary overview. Scenario 2.
- Average electricity purchase price: 0.30 EUR/kWh.
- Average electricity selling price: 0.10 EUR/kWh.
- Annual maintenance cost of the photovoltaic system: 78 EUR/kW;
- Major maintenance cost of the photovoltaic system (12th year): 480 EUR/kW.
- Weighted Average Cost of Capital (WACC): 4.00%.
3.3.3. Scenario 3—Baseline Interventions with Virtual Self-Consumption
For Palazzo Ruspoli and Palazzo Vitelleschi, the annual energy cost is lower compared to the baseline situation; therefore, the investment will be recovered. In addition, there is a reduction in primary energy demand and CO2 emissions.
The results of this scenario are shown in Figure 13 and Table 11. For the economic assessments, the following data were used:
Figure 13.
Primary energy consumption indicators of (a) Palazzo Ruspoli and (b) Palazzo Vitelleschi. Scenario 3.
Table 11.
Summary overview. Scenario 3.
- Average electricity purchase price: 0.30 EUR/kWh
- Average electricity selling price: 0.10 EUR/kWh
- Incentive for self-consumption within the CER: 0.13 EUR/kWh
- CER management charges
- Annual maintenance cost of the photovoltaic system: 59 EUR/kW
- Major maintenance cost of the photovoltaic system (12th year): 361 EUR/kW
- Weighted Average Cost of Capital (WACC): 4.00%.
3.4. Sensitivity Analysis of Economic Results
For the determination of the economic indicators—namely the Payback Period (PBP) and the Net Present Value (NPV)—an electricity price of EUR 0.30/kWh was adopted. This value was selected as it represents the average price derived from the analysis of electricity bills over an entire year of operation.
It is important to note that the cost of electricity is subject to significant fluctuations driven by various market, regulatory, and geopolitical factors, which have increased its volatility, particularly in recent years. Consequently, the resulting economic indicators may vary substantially depending on changes in electricity prices.
To quantify this dependency, a sensitivity analysis of the Payback Time (PBT) was performed as a function of the electricity price variation. Based on data published by Eurostat [46], the final electricity price for non-domestic users in Italy over the past five years—including components related to the energy supply, network costs, system charges, and taxes—ranged between EUR 0.1992 and EUR 0.4092 per kWh. These extreme values were therefore adopted as the reference range for the PBT sensitivity analysis.
The electricity price values considered for the analysis were EUR 0.20, EUR 0.25, EUR 0.30, EUR 0.35, and EUR 0.40 per kWh, and results are shown in Table 12. Figure 13 shows that the scenarios become more economically favorable as the electricity price increases.
Table 12.
Variation in the payback period as a function of energy cost.
The Payback Periods (PBP) for Scenarios 2 and 3, which are considered the most favorable, with an energy cost of EUR 0.30/kWh, range from 10.7 to 28.7 years, which is relatively long compared to typical investment horizons. Such extended PBPs can pose a financial barrier, as the economic return is slow and may compete with other public spending priorities. This issue is particularly relevant for public and historic buildings, where budget constraints and bureaucratic procedures make it difficult to justify long-term projects based solely on financial criteria.
Despite these long PBPs, the social and environmental benefits of decarbonizing historic buildings can outweigh purely economic considerations:
- Reducing energy consumption in heritage buildings contributes to national climate targets, supporting the transition to net-zero emissions.
- Public and historic buildings serve a symbolic and educational role, exemplifying sustainable practices.
- Energy efficiency interventions can enhance indoor comfort, protect the historic structure, and reduce long-term maintenance costs.
In this context, the “value” of the investment is not only economic but also social, cultural, and environmental, justifying decisions even when economic returns are slow.
Public financing instruments, such as the Piano Nazionale di Ripresa e Resilienza (PNRR), can significantly improve the financial feasibility of energy efficiency interventions:
- Subsidies can cover part of the initial investment, effectively reducing the PBP from a financial perspective.
- Incentives reduce dependence on internal budgets, enabling more ambitious interventions that would otherwise be inaccessible.
- When combined with social benefits, subsidies create strong motivation for public investment, even when economic returns are slow.
3.5. Summary of the Results Obtained
To better highlight the differences between the scenarios, the most significant data were extracted and a summary overview was created, as shown in Figure 14. The main findings are discussed below:
Figure 14.
Summary overview of the results for (a) Palazzo Ruspoli and (b) Palazzo Vitelleschi. Negative values of CO2 production indicate net carbon savings due to renewable energy export.
- Investment Cost. For Palazzo Ruspoli and Palazzo Vitelleschi, an increase is observed from Scenario 1 to Scenario 3.
- Energy Costs. For Palazzo Ruspoli, a decrease is observed from Scenario 1 to Scenario 3. For Palazzo Vitelleschi, a decrease occurs between Scenario 1 and Scenario 2, followed by an increase between Scenario 2 and Scenario 3; however, the value in Scenario 3 remains lower than in Scenario 1.
- CO2 Production. For both Palazzo Ruspoli and Palazzo Vitelleschi, a decrease is observed from Scenario 1 to Scenario 3.
- Global Primary Energy Consumption. For both Palazzo Ruspoli and Palazzo Vitelleschi, a decrease in Non-Renewable Primary Energy Consumption (EPgl,ren) is observed from Scenario 1 to Scenario 3.
- Payback Period. For Palazzo Ruspoli, a decrease is observed from Scenario 1 to Scenario 3. For Palazzo Vitelleschi, a decrease occurs between Scenario 1 and Scenario 2, followed by an increase between Scenario 2 and Scenario 3; in this case, the value in Scenario 3 is higher than in Scenario 1.
- Net Present Value (25th year). For Palazzo Ruspoli, an increase is observed from Scenario 1 to Scenario 3. For Palazzo Vitelleschi, an increase occurs between Scenario 1 and Scenario 2, followed by a decrease between Scenario 2 and Scenario 3; the value in Scenario 3 is lower than in Scenario 1.
For Palazzo Ruspoli, the following significant results were observed:
- Scenario 3—negative energy cost (−EUR 986.44). This is due to the calculation of REC incentives. The photovoltaic system, installed at the Banditaccia Necropolis (also a member of the REC), contributes to the overall self-consumption of the energy produced. The demand curves of the REC members (Palazzo Ruspoli and Banditaccia Necropolis) show high self-consumption and limited electricity fed into the grid, resulting in increased REC incentives. This highlights how the economic benefits of the REC grow as member demand approaches the available production.
- Scenario 3—negative CO2 emissions (−18.98 tCO2/year). This is enabled by the high photovoltaic yield, made possible by the system size installed for the REC. The photovoltaic production offsets the greenhouse gas emissions that would have otherwise been generated.
For Palazzo Vitelleschi, the following significant results were observed:
- Scenario 2—low energy cost (EUR 7671.95). This is due to the bill savings generated by the photovoltaic system. In this scenario, greater economic benefits are achieved compared to Scenario 3, because the demand curves of the REC members (Palazzo Vitelleschi and Monterozzi Necropolis) show limited self-consumption and significant electricity fed into the grid, which reduces REC incentives. This trend could be reversed by increasing the number of REC members.
- Scenario 3—negative CO2 emissions (−22.07 tCO2/year). This is enabled by the high photovoltaic yield, made possible by the system size installed for the REC. Photovoltaic production thus offsets the greenhouse gas emissions that would have otherwise been generated.
In conclusion, Scenarios 2 and 3 are the most advantageous, with the choice between them depending on the composition of the REC and the demand curves of individual users. However, in an REC with numerous members capable of fully utilizing the photovoltaic production, Scenario 3 would be the most effective in both case studies. Organizing a Renewable Energy Community (REC) entails several challenges. It is necessary to coordinate decisions among members, reconciling diverse interests and promoting active participation. Economic management requires transparency regarding costs and benefits, while regulatory and administrative aspects demand continuous attention to permits and regulations. Finally, the success of the community depends on its ability to build trust, disseminate knowledge, and foster a shared culture, thereby ensuring balanced and sustainable operation.
4. Conclusions
The analysis highlights that improving the energy performance of historic buildings involves significant challenges, including regulatory constraints, high costs, and risks to their historical and artistic value. However, the emergence of reversible and non-invasive solutions, the support of dedicated funding programs, and increased stakeholder awareness show that it is possible to reconcile conservation and energy performance, achieving positive outcomes.
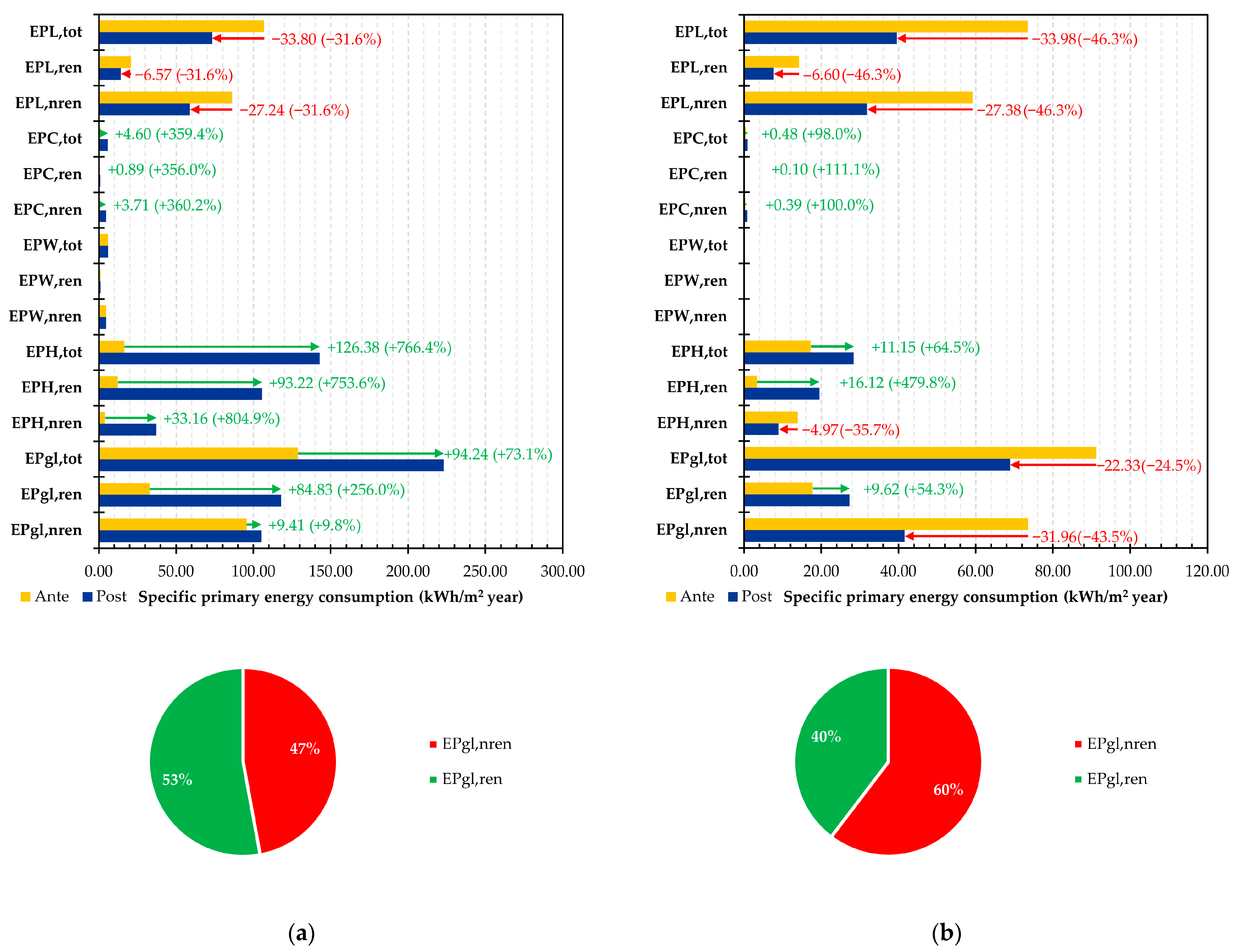
For Palazzo Ruspoli, the most effective scenario proved to be Scenario 3. In Scenario 3, with an investment cost of EUR 183,111.00, the payback period is 19.4 years, the annual energy cost saving is EUR 11,237.00 (−109.6%), the CO2 emissions reduction is 32.46 tCO2/year (−240.8%), and the reduction in non-renewable primary energy is 54.26 MWh/year (−95.0%).
For Palazzo Vitelleschi, the most effective scenarios are Scenario 2 and Scenario 3: the former exhibits better economic performance, while the latter shows superior environmental and energy performance. In Scenario 2, with an investment cost of EUR 182,357.85, the payback period is 10.7 years, the annual energy cost saving is EUR 21,263.58 (−73.5%), the CO2 emissions reduction is 32.59 tCO2/year (−73.5%), and the reduction in non-renewable primary energy is 138.23 MWh/year (−73.5%). In Scenario 3, with an investment cost of EUR 337,957.00, the payback period is 23.2 years, the annual energy cost saving is −EUR 18,972.00 (−65.6%), the CO2 emissions reduction is −66.43 tCO2/year (−149.7%), and the reduction in non-renewable primary energy is −187.94 MWh/year (−99.9%).
The results obtained, as well as the relative convenience of the different scenarios analyzed, largely depend on energy costs, which were particularly high for the sites considered. This situation is attributable to the analysis period (2023), during which international tensions led to a substantial increase in energy prices. Although the considerations presented are specific to the examined case studies, they can provide valuable insights for the design and assessment of energy efficiency interventions in historic buildings. Nevertheless, the quantitative results should be interpreted with caution, as they are closely linked to the selected case studies, the climatic context, and the underlying economic assumptions. Therefore, they cannot be generalized to the entire stock of heritage buildings but should instead be regarded as indicative of trends within comparable contexts.
The findings highlight that there is no single, universally valid pathway: the only truly effective approach consists of simulating potential interventions using the methodology adopted in this study. All factors characterizing the building–system, which vary from one building to another, influence the relative convenience of the different interventions.
However, it was found that interventions related to new modes of energy production, such as rooftop photovoltaic installations or participation in a Renewable Energy Community (REC), yielded positive results from an economic, technical, and environmental perspective. In particular, despite higher investment costs, these interventions ensure relatively short payback periods—or periods comparable to other solutions—and allow a significant reduction in carbon dioxide emissions.
The comparative approach demonstrated that heritage decarbonization strategies must be context-specific. Beyond individual retrofits, the integration of RECs represents a scalable pathway for entire historic districts. The proposed model thus provides a decision-support framework replicable in EU-funded renovation programs and compatible with conservation constraints.
From a policy perspective, the results emphasize the need for national and local authorities to update heritage and energy regulations to enable the integration of renewable technologies compatible with conservation principles. Simplified authorization procedures and targeted incentives should be promoted to support the diffusion of Renewable Energy Communities (RECs) within protected urban areas, encouraging collaboration among public institutions, private owners, and local communities.
Future studies should extend the analysis to a broader range of heritage buildings across diverse climatic and regulatory conditions, assessing the long-term operation of RECs and the integration of storage systems, smart grids, and digital twins. Additional research should also explore social and behavioral aspects, the role of policy frameworks, and the lifecycle environmental benefits of reversible retrofit solutions.
Author Contributions
Conceptualization, G.B.; Software, D.V.; Validation, D.V.; Formal Analysis, D.V.; Investigation, G.B. and D.V.; Data Curation, D.V.; Writing—Original Draft Preparation, G.B., D.V., L.B. and E.d.L.V.; Writing—Review and Editing, G.B., D.V., L.B. and E.d.L.V.; Visualization, L.B. and E.d.L.V.; Supervision, G.B. All authors have read and agreed to the published version of the manuscript.
Funding
This work was partially supported by Project ECS 0000024 Rome Technopole—CUP F83B22000040006, NRP Mission 4 Component 2 Investment 1.5, Funded by the European Union—NextGenerationEU.
Data Availability Statement
Data is contained within the article.
Conflicts of Interest
The authors declare no conflicts of interest.
Nomenclature
| BAPV | Building-Applied Photovoltaics |
| BIPV | Building-Integrated Photovoltaics |
| DHW | Domestic Hot Water |
| EPC,nren | Primary Energy Consumption for Cooling from Non-Renewable Sources |
| EPC,ren | Primary Energy Consumption for Cooling from Renewable Sources |
| EPC,tot | Primary Energy Consumption for Cooling |
| EPgl,nren | Global Primary Energy Consumption from Non-Renewable Sources |
| EPgl,ren | Global Primary Energy Consumption from Renewable Sources |
| EPgl,tot | Global Primary Energy Consumption |
| EPH,nren | Primary Energy Consumption for Heating from Non-Renewable Sources |
| EPH,ren | Primary Energy Consumption for Heating from Renewable Sources |
| EPH,tot | Primary Energy Consumption for Heating |
| EPL,nren | Primary Energy Consumption for Lighting from Non-Renewable Sources |
| EPL,ren | Primary Energy Consumption for Lightning from Renewable Sources |
| EPL,tot | Primary Energy Consumption for Lightning |
| EPW,nren | Primary Energy Consumption for DHW from Non-Renewable Sources |
| EPW,ren | Primary Energy Consumption for DHW from Renewable Sources |
| EPW,tot | Primary Energy Consumption for DHW |
| Ggln | G-value of Glass with Normal Incidence |
| HBIM | Heritage Building Information Modeling |
| HVAC | Heating Ventilation and Air Conditioning |
| PV | Photovoltaic |
| REC | Renewable Energy Community |
| Uf | U-value of Frame |
| Ug | U-value of Glass |
| Uw | U-value of Window |
| VRF | Variable Refrigerant Flow |
References
- European Commission. Energy Performance of Buildings Directive (EPBD); European Commission: Bruxelles, Belgium, 2020; Available online: https://energy.ec.europa.eu/topics/energy-efficiency/energy-performance-buildings/energy-performance-buildings-directive_en (accessed on 10 September 2025).
- David, J.-F.; David, V.D.C. Towards energy efficient buildings: How ICTs can convert advances? IFAC Pap. 2018, 51, 758–763. [Google Scholar] [CrossRef]
- European Parliament. European Climate Law, Reg. (EU) 2021/1119. Available online: https://eur-lex.europa.eu/legal-content/EN/TXT/?uri=CELEX:32021R1119 (accessed on 10 September 2025).
- Decreto Legislativo 4 Luglio 2014, n. 102, Attuazione della Direttiva 2012/27/UE Sull’efficienza Energetica. Available online: https://www.gazzettaufficiale.it/eli/id/2014/07/18/14G00113/sg (accessed on 10 September 2025).
- Decreto Legislativo 14 Luglio 2020, n. 73, Attuazione della Direttiva (UE) 2018/2002 Sull’efficienza Energetica. Available online: https://www.gazzettaufficiale.it/eli/id/2020/07/14/20G00093/SG (accessed on 10 September 2025).
- Salvatori, L. Efficienza Energetica Negli Edifici Storici; 2019. [Google Scholar]
- Pierleoni, A.; Losco, G. Energy efficiency in historic buildings: A methodological pathway for improving efficiency through a digital platform. Renew. Energy Environ. Sustain. 2024, 9, 11. [Google Scholar] [CrossRef]
- Trovò, F. Historic building and green energy. Strategies to make supply from renewable sources compatible with conservation. Technical Annals 2023, 1. [Google Scholar] [CrossRef]
- Governo Italiano. Piano Nazionale di Ripresa e Resilienza (PNRR); Governo Italiano: Rome, Italy, 2021. Available online: https://www.governo.it/sites/governo.it/files/PNRR.pdf (accessed on 10 September 2025).
- ISTAT. Censimento Permanente della Popolazione e delle Abitazioni; ISTAT: Rome, Italy, 2018; Available online: https://www.istat.it/wp-content/uploads/2024/10/Formazione-Censimento-Permanente-2018-2021-Ebook.pdf (accessed on 10 September 2025).
- Decreto Legislativo 22 Gennaio 2004, n. 42, Codice dei Beni Culturali e Del Paesaggio. Available online: https://www.gazzettaufficiale.it/atto/serie_generale/caricaDettaglioAtto/originario?atto.dataPubblicazioneGazzetta=2004-02-24&atto.codiceRedazionale=004G0066 (accessed on 10 September 2025).
- MiC. Annuario Statistico Dei Beni Culturali; MiC: Roma, Italy, 2023; Available online: https://www.istat.it/tavole-di-dati/statistiche-culturali-anno-2023/ (accessed on 10 September 2025).
- MiBACT. Relazione Sulla Spesa Energetica Degli Istituti Culturali; MiBACT: Roma, Italy, 2017; Available online: https://www.istat.it/tavole-di-dati/statistiche-culturali-anni-2017-2018/ (accessed on 10 September 2025).
- ISPRA. Rapporto Sul Patrimonio Storico e Consumi Energetici; ISPRA: Roma, Italy, 2021. Available online: https://www.isprambiente.gov.it/files2021/pubblicazioni/rapporti/r343-2021.pdf (accessed on 10 September 2025).
- Garzulino, A. Efficienza energetica degli edifici storici. Analisi e miglioramento; Ledizioni: Milan, Italy, 2019. [Google Scholar]
- D’Olimpio, D. Il retrofitting tecnologico, energetico e bioclimatico nell’edilizia. Tecnologie e soluzioni tecniche per il miglioramento della prestazione energetico-ambientale degli edifici; Legislazione Tecnica: Rome, Italy, 2023. [Google Scholar]
- CRESME. Rapporto Annuale sul Mercato delle Costruzioni in Italia; CRESME: Roma, Italy, 2021. [Google Scholar]
- Decreto del Ministro n. 297 del 2 Agosto 2022, Estensione del Modello Unico per la Realizzazione la Connessione e L’esercizio di Impianti Solari Fotovoltaici di Potenza Fino a 200 kW. Available online: https://www.mase.gov.it/portale/documents/d/guest/dm_297_02_08_2022-pdf (accessed on 10 September 2025).
- Ministero della Transizione Ecologica (MiTE). Linee Guida per L’utilizzo del Modello Unico Semplificato per Impianti Fotovoltaici; Ministero della Transizione Ecologica (MiTE): Roma, Italy, 2022. [Google Scholar]
- European Commission. Clean Energy for All Europeans Package; European Commission: Bruxelles, Belgium, 2019; Available online: https://commission.europa.eu/news-and-media/news/clean-energy-all-europeans-package-completed-good-consumers-good-growth-and-jobs-and-good-planet-2019-05-22_en (accessed on 10 September 2025).
- Basti, A.M.M.; Basti, D.G.E. Energy communities and architectural quality of small historical centres. TECHNE-J. Technol. Archit. Environ. 2023, 26, 151–162. [Google Scholar] [CrossRef]
- Leone, M.F.A.; Leone, S.A. Renewable energy communities as public architectures and socio-ecological infrastructures. TECHNE-J. Technol. Archit. Environ. 2023, 26, 173–183. [Google Scholar] [CrossRef]
- European Parliament and Council, Directive (EU) 2018/2001, Promotion of the Use of Energy from Renewable Sources, 2019. Available online: https://eur-lex.europa.eu/eli/dir/2018/2001/oj (accessed on 10 September 2025).
- Governo Italiano, Legge 8 Novembre 2021, n. 162. Available online: https://www.gazzettaufficiale.it/eli/id/2021/11/18/21G00175/sg (accessed on 10 September 2025).
- Decreto Ministeriale 16 Settembre 2020, Regolamentazione Comunità Energetiche Rinnovabili. Available online: https://www.gazzettaufficiale.it/eli/id/2020/11/16/20A06224/SG (accessed on 10 September 2025).
- Marra, A. Exploring the Integration of Renewable Energy Communities in Urban Planning. Case Italy Sci. Del Territ. 2024, 12, 18–31. [Google Scholar]
- Di Rocco, A.R.; Bottino-Leone, D.; Troi, A.; Herrera-Avellanosa, D. Application of the Guidelines for the Integration of Photovoltaics in Historic Buildings and Landscapes to Evaluate the Best Practices of the Historic Building Energy Retrofit Atlas. Buildings 2024, 14, 499. [Google Scholar] [CrossRef]
- Kakouei, M.; Sutrisna, M.; Rasheed, E.; Feng, Z. Enhancing the Energy Performance of Historic Buildings Using Heritage Building Information Modelling: A Case Study. Sustainability 2025, 17, 6655. [Google Scholar] [CrossRef]
- Moretti, E.; Stamponi, E. The Renewable Energy Communities in Italy and the Role of Public Administrations: The Experience of the Municipality of Assisi between Challenges and Opportunities. Sustainability 2023, 15, 11869. [Google Scholar] [CrossRef]
- Piselli, C.; Romanelli, J.; Di Grazia, M.; Gavagni, A.; Moretti, E.; Nicolini, A.; Cotana, F.; Strangis, F.; Witte, H.J.L.; Pisello, A.L. An Integrated HBIM Simulation Approach for Energy Retrofit of Historical Buildings Implemented in a Case Study of a Medieval Fortress in Italy. Energies 2020, 13, 2601. [Google Scholar] [CrossRef]
- Rosa, F. Building-Integrated Photovoltaics (BIPV) in Historical Buildings: Opportunities and Constraints. Energies 2020, 13, 3628. [Google Scholar] [CrossRef]
- Tatti, A.; Ferroni, S.; Ferrando, M.; Motta, M.; Causone, F. The Emerging Trends of Renewable Energy Communities’ Development in Italy. Sustainability 2023, 15, 6792. [Google Scholar] [CrossRef]
- Zatti, M.; Moncecchi, M.; Gabba, M.; Chiesa, A.; Bovera, F.; Merlo, M. Energy Communities Design Optimization in the Italian Framework. Appl. Sci. 2021, 11, 5218. [Google Scholar] [CrossRef]
- Del Pero, C.; Leonforte, F.; Aste, N. Building-Integrated Photovoltaics in Existing Buildings: A Novel PV Roofing System. Buildings 2024, 14, 2270. [Google Scholar] [CrossRef]
- D’Ambrosio, V.; Losasso, M.; Tersigni, E. Towards the Energy Transition of the Building Stock with BIPV: Innovations, Gaps and Potential Steps for a Widespread Use of Multifunctional PV Components in the Building Envelope. Sustainability 2021, 13, 12609. [Google Scholar] [CrossRef]
- Cutore, E.; Fichera, A.; Volpe, R. A Roadmap for the Design, Operation and Monitoring of Renewable Energy Communities in Italy. Sustainability 2023, 15, 8118. [Google Scholar] [CrossRef]
- De Santi, F.; Moncecchi, M.; Prettico, G.; Fulli, G.; Olivero, S.; Merlo, M. To Join or Not to Join? The Energy Community Dilemma: An Italian Case Study. Energies 2022, 15, 7072. [Google Scholar] [CrossRef]
- Almeida, M.; Ferreira, M.; Barbosa, R. Towards the Necessary Decarbonization of Historic Buildings: A Review. Energies 2025, 18, 502. [Google Scholar] [CrossRef]
- ENEA. Stato dell’arte di Soluzioni Tecnologiche di Involucro Edilizio Esistenti Come Base per Interventi di Deep Renovation del Patrimonio Immobiliare nel Settore Abitativo; ENEA: Roma, Italy, 2019; Available online: https://www.researchgate.net/profile/Elisa-Pennacchia/publication/362291890_Stato_dell’arte_di_soluzioni_tecnologiche_di_involucro_edilizio_esistenti_come_base_per_interventi_di_Deep_Renovation_del_patrimonio_immobiliare_nel_settore_abitativo/links/62e168d63c0ea8788762045c/Stato-dellarte-di-soluzioni-tecnologiche-di-involucro-edilizio-esistenti-come-base-per-interventi-di-Deep-Renovation-del-patrimonio-immobiliare-nel-settore-abitativo.pdf (accessed on 10 September 2025).
- MIC. Visitatori e Introiti di Musei, Monumenti e Aree Archeologiche Statali—Anno 2023; MiC: Roma, Italy, 2023. Available online: https://statistica.cultura.gov.it/?page_id=619 (accessed on 10 September 2025).
- UNI 10349-1:2016; Riscaldamento e Raffrescamento Degli Edifici—Dati Climatici—Parte 1: Medie Mensili per la Valutazione della Prestazione Termo-Energetica dell’edificio e Metodi per Ripartire L’irradianza Solare Nella Frazione Diretta e Diffusa. UNI: Milano, Italy, 2016.
- UNI CEI EN 16247-1; Diagnosi Energetiche—Parte 1: Requisiti Generali. UNI: Milano, Italy, 2022.
- UNI CEI EN 16247-2; Diagnosi Energetiche—Parte 2: Edifici. UNI: Milano, Italy, 2022.
- UNI/TR 11775:2020; Diagnosi Energetiche—Linee Guida per le Diagnosi Energetiche Degli Edifici. UNI: Milano, Italy, 2020.
- Decreto Interministeriale 26 Giugno 2015, Applicazione delle Metodologie di Calcolo delle Prestazioni Energetiche e Definizione delle Prescrizioni e Dei Requisiti Minimi Degli Edifici. Available online: https://www.gazzettaufficiale.it/eli/id/2015/07/15/15A05198/sg (accessed on 10 September 2025).
- Eurostat. Electricity Prices for Non-Household Consumers—Bi-Annual Data (from 2007 Onwards); Eurostat: Bruxelles, Belgium, 2025; Available online: https://ec.europa.eu/eurostat/databrowser/view/nrg_pc_205__custom_18407910/default/table (accessed on 10 September 2025).
Disclaimer/Publisher’s Note: The statements, opinions and data contained in all publications are solely those of the individual author(s) and contributor(s) and not of MDPI and/or the editor(s). MDPI and/or the editor(s) disclaim responsibility for any injury to people or property resulting from any ideas, methods, instructions or products referred to in the content. |
© 2025 by the authors. Licensee MDPI, Basel, Switzerland. This article is an open access article distributed under the terms and conditions of the Creative Commons Attribution (CC BY) license (https://creativecommons.org/licenses/by/4.0/).