A Concrete Dam Deformation Prediction Method Based on Mode Decomposition and Self-Attention-Gated Recurrent Unit
Abstract
1. Introduction
2. Data Preprocessing Methods
2.1. Variational Mode Decomposition
- (1)
 - The time series is discrete with a length of , and the following matrix is obtained via spatial reconstruction of the sequence,
 
- (2)
 - The components rearranged in ascending order to obtain the positions of each element within the vector to form a group of symbol sequences . The m-dimensional space maps different symbolic sequences with a total of species.
 
- (3)
 - The number of each r symbol sequence divided by m! is calculated, and the total number of occurrences of different symbolic sequences is calculated as the probability of occurrence of different symbolic sequences . Furthermore, permutation entropy of the time series is calculated as
 
- (4)
 - The maximum value of permutation entropy is , and per mutation entropy is normalized as follows:
 
2.2. K-Means Clustering
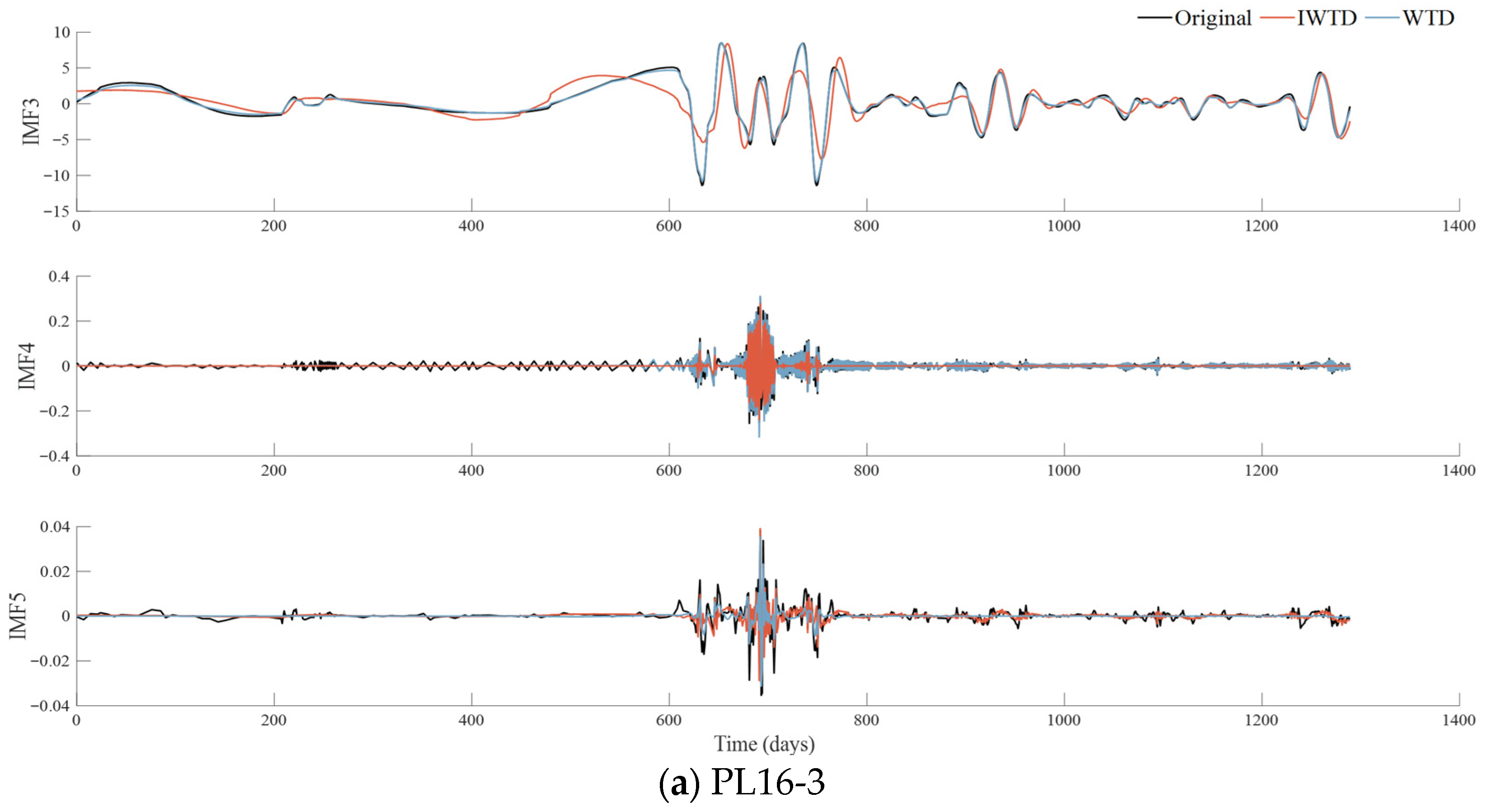
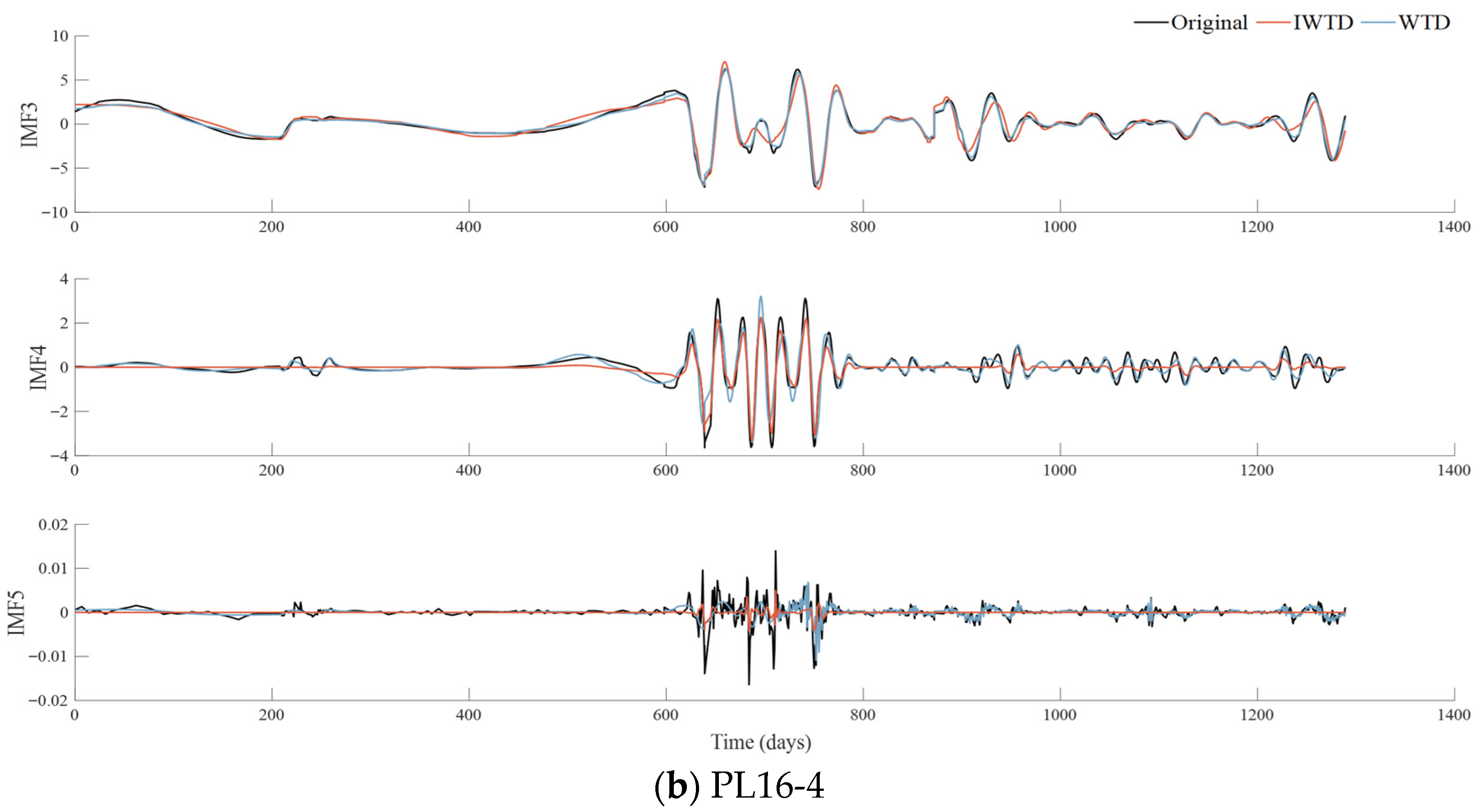
2.3. Improved Wavelet Threshold Denoising
3. Self-Attention-Gated Recurrent Unit
4. Concrete Dam Deformation Prediction Method
- Part 1: Input. The input information mainly includes deformation monitoring data and deformation influencing factors raised by the Hydrostatic-Season-Time (HST) model (water depth in front of the dam, dam body temperature, and time-dependent effect calculated by Equation (3), Equation (4) and Equation (5), respectively).
 - Part 2: Pre-processing. The pre-processing can be divided into three steps as follows.
- Step 1: Variational Mode Decomposition (VMD) is used to decompose deformation monitoring data into ‘K’ Intrinsic Mode Functions (IMFs). Notably, the parameters K and penalty parameter α need to be set manually. Considering the degree and effectiveness of decomposition for general deformation data, K is typically set to 3~10, and α is commonly set to 2000~10,000, with higher values chosen for more complex signals.
 - Step 2: Extract the features of each IMF, namely the Pearson correlation coefficients between IMF and the HST factors. Then, K-means clustering is used to divide the regular signals and random signals into two clusters. Next, the regular signals can be output into SAGRU to perform Prediction 1. It is worth noting that Prediction 1 also requires the simultaneous input of HST factors.
 - Step 3: Improved Wavelet Threshold Denoising (IWTD) is used to denoise random signals, and then the denoised signals can be output into SAGRU to perform Prediction 2.
 
 
- 3.
 - Part 3: Deformation Prediction. This process is mainly performed by SAGRU including Prediction 1 and Prediction 2, which output prediction values based on regular signals and random signals, respectively. Here, the hyperparameters that need to be set include the model learning rate, sliding window length, batch size and the number of GRU nodes. And the genetic algorithm [44] is used to optimize the parameters to ensure the representational capability of model. Additionally, the total deformation output is the sum of the predicted results of all signals.
 - 4.
 - Part 4: Output. The final predicted deformation is the total deformation output by Part 3.
 
5. Empirical Verification
5.1. Pre-Processing Effect
5.2. Deformation Prediction Effect
6. Discussion
7. Conclusions
- (1)
 - To preprocess the actual deformation monitoring data, Variational Mode Decomposition (VMD) was integrated with an Improved Wavelet Threshold Denoising (IWTD) technique. This combined approach utilizes K-means clustering to identify and eliminate stochastic noise, while preserving representative signal components to retain the inherent trends of the original data. This strategy enables targeted denoising that preserves deformation characteristics strongly correlated with hydrostatic and thermal drivers, thereby enhancing the physical fidelity of the input data for subsequent prediction.
 - (2)
 - For deformation prediction, a Self-Attention Gated Recurrent Unit (SAGRU) model was proposed. The architecture leverages the nonlinear dynamic modeling strength of Gated Recurrent Units (GRUs), augmented by a self-attention mechanism that adaptively prioritizes salient temporal features and captures long-range dependencies. This leads to a systematic improvement in prediction accuracy and temporal coherence.
 - (3)
 - Empirical evaluations confirm that the SAGRU model achieves superior performance over conventional models such as GRU and LSTM. Compared to LSTM, this method reduces the Mean Absolute Error (MAE) and Root Mean Square Error (RMSE) by approximately 30.9% and 27.2%, respectively. The incorporation of self-attention effectively alleviates the information decay typical in standard GRU networks when handling long sequences, yielding a 33.3% reduction in Root Mean Square Error (RMSE) and a 39.8% reduction in Mean Absolute Error (MAE). These results not only highlight the efficacy of the structural enhancements but also demonstrate the value of combining deep structures with attention mechanisms, advancing beyond the nonlinear expressive power of traditional statistical models (e.g., MLR) and shallow machine learning (e.g., SVM), as well as the limited long-range context modeling of standard LSTM/GRU networks.
 - (4)
 - This study simultaneously clarifies the theoretical boundaries and application prerequisites of the proposed data-driven methodology. It is important to note that the SAGRU model, owing to its inherent self-attention mechanism, inevitably incurs higher computational overhead than traditional GRU models. Furthermore, its performance exhibits sensitivity to hyperparameter configuration, necessitating systematic tuning to achieve optimal outcomes.
 - (5)
 - Empirical validation is based on a specific arch dam dataset. The model’s generalizability across different dam types (e.g., gravity dams, buttress dams) and significantly divergent environmental conditions remains insufficiently verified, necessitating further investigation into its cross-scenario generalization capabilities. More fundamentally, the model’s current formulation, while accurate under normal operating conditions, does not explicitly incorporate intrinsic material and geotechnical properties such as concrete porosity, soil stability, and foundation permeability. The absence of these parameters highlights a critical direction for future work: the development of truly hybrid models that can assimilate both high-frequency monitoring data and fundamental physical properties to enhance long-term reliability and generalizability.
 
Author Contributions
Funding
Data Availability Statement
Acknowledgments
Conflicts of Interest
References
- Kang, F.; Li, J.; Dai, J. Prediction of long-term temperature effect in structural health monitoring of concrete dams using support vector machines with Jaya optimizer and salp swarm algorithms. Adv. Eng. Softw. 2019, 131, 60–76. [Google Scholar] [CrossRef]
 - Wu, Z.R. Deterministic and hybrid models for safety monitoring of concrete dams. Acta Hydraul. Sin. 1989, 5, 64–70. [Google Scholar]
 - Léger, P.; Leclerc, M. Hydrostatic, temperature, time-displacement model for concrete dams. J. Eng. Mech. 2007, 133, 267–277. [Google Scholar] [CrossRef]
 - Erfeng, Z.; Chongshi, G. Research Progress on Key Technologies for Safe Service of Roller-Compacted Concrete Dams. Adv. Hydropower Eng. 2022, 42, 11–20. [Google Scholar]
 - Gu, C.; Li, B.O.; Xu, G.; Yu, H. Back analysis of mechanical parameters of roller comp acted concrete dam. Sci. China (Technol. Sci.) 2010, 53, 848–853. [Google Scholar] [CrossRef]
 - Niu, J.; Wu, B.; Ou, B.; Peng, Y.; Wei, B. Research on Time-Varying Effects and Safety Monitoring Models for Dams Under Multi-Factor Influences; China Water & Power Press: Beijing, China, 2022; pp. 1–200. [Google Scholar]
 - Stefenon, S.F.; Seman, L.O.; Aquino, L.S.; Coelho, L.d.S. Wavelet-Seq2Seq-LSTM with attention for time series forecasting of level of dams in hydroelectric power plants. Energy 2023, 274, 127350. [Google Scholar] [CrossRef]
 - Jia, D.; Yang, J.; Sheng, G. Dam deformation prediction model based on the multiple decomposition and denoising methods. Measurement 2024, 238, 115268. [Google Scholar] [CrossRef]
 - Spinosa, E.; Iafrati, A. A noise reduction method for force measurements in water entry experiments based on the Ensemble Empirical Mode Decomposition. Mech. Syst. Signal Process. 2022, 168, 108659. [Google Scholar] [CrossRef]
 - Dragomiretskiy, K.; Zosso, D. Variational mode decomposition. IEEE Trans. Signal Process. 2013, 62, 531–544. [Google Scholar] [CrossRef]
 - Zhiyao, L.; Yong, D.; Denghua, L. Coupling VMD and MSSA denoising for dam deformation prediction. Structures 2023, 58, 105503. [Google Scholar] [CrossRef]
 - Xie, B.; Xiong, Z.; Wang, Z.; Zhang, L.; Zhang, D.; Li, F. Gamma spectrum denoising method based on improved wavelet threshold. Nucl. Eng. Technol. 2020, 52, 1771–1776. [Google Scholar] [CrossRef]
 - Stojanovic, B.; Milivojevic, M.; Ivanovic, M.; Milivojevic, N.; Divac, D. Adaptive system for dam behavior modeling based on linear regression and genetic algorithms. Adv. Eng. Softw. 2013, 65, 182–190. [Google Scholar] [CrossRef]
 - Mata, J. Interpretation of concrete dam behaviour with artificial neural network and multiple linear regression models. Eng. Struct. 2011, 33, 903–910. [Google Scholar] [CrossRef]
 - Xi, G.-Y.; Yue, J.-P.; Zhou, B.-X.; Tang, P. Application of an artificial immune algorithm on a statistical model of dam displacement. Comput. Math. Appl. 2011, 62, 3980–3986. [Google Scholar] [CrossRef]
 - Xu, C.; Yue, D.; Deng, C. Hybrid GA/SIMPLS as alternative regression model in dam deformation analysis. Eng. Appl. Artif. Intell. 2012, 25, 468–475. [Google Scholar] [CrossRef]
 - Cai, S.; Gao, H.; Zhang, J.; Peng, M. A self-attention-LSTM method for dam deformation prediction based on CEEMDAN optimization. Appl. Soft Comput. 2024, 159, 111615. [Google Scholar] [CrossRef]
 - Salazar, F.; Toledo, M.; Oñate, E.; Morán, R. An empirical comparison of machine learning techniques for dam behaviour modelling. Struct. Saf. 2015, 56, 9–17. [Google Scholar] [CrossRef]
 - Zhang, H.; Song, Z.; Peng, P.; Sun, Y.; Ding, Z.; Zhang, X. Research on seepage field of concrete dam foundation based on artificial neural network. Alex. Eng. J. 2021, 60, 1–14. [Google Scholar] [CrossRef]
 - Gul, E.; Alpaslan, N.; Emiroglu, M.E. Robust optimization of SVM hyper-parameters for spillway type selection. Ain Shams Eng. J. 2021, 12, 2413–2423. [Google Scholar] [CrossRef]
 - Rehamnia, I.; Benlaoukli, B.; Jamei, M.; Karbasi, M.; Malik, A. Simulation of seepage flow through embankment dam by using a novel extended Kalman filter based neural network paradigm: Case study of Fontaine Gazelles Dam, Algeria. Measurement 2021, 176, 109219. [Google Scholar] [CrossRef]
 - Ren, Q.; Li, M.; Kong, T.; Ma, J. Multi-sensor real-time monitoring of dam behavior using self-adaptive online sequential learning. Autom. Constr. 2022, 140, 104365. [Google Scholar] [CrossRef]
 - Li, X.; Wen, Z.; Su, H. An approach using random forest intelligent algorithm to construct a monitoring model for dam safety. Eng. Comput. 2021, 37, 39–56. [Google Scholar] [CrossRef]
 - Li, Y.; Bao, T.; Gao, Z.; Shu, X.; Zhang, K.; Xie, L.; Zhang, Z. A new dam structural response estimation paradigm powered by deep learning and transfer learning techniques. Struct. Health Monit. 2022, 21, 770–787. [Google Scholar] [CrossRef]
 - Li, M.; Shen, Y.; Ren, Q.; Li, H. A new distributed time series evolution prediction model for dam deformation based on constituent elements. Adv. Eng. Inform. 2019, 39, 41–52. [Google Scholar] [CrossRef]
 - Memory, L.S.-T. Long short-term memory. Neural Comput. 2010, 9, 1735–1780. [Google Scholar]
 - Li, Y.; Bao, T.; Gong, J.; Shu, X.; Zhang, K. The Prediction of Dam Displacement Time Series Using STL, Extra-Trees, and Stacked LSTM Neural Network. IEEE Access 2020, 8, 94440–94452. [Google Scholar] [CrossRef]
 - Huang, B.; Kang, F.; Li, J.; Wang, F. Displacement prediction model for high arch dams using long short-term memory-based encoder-decoder with dual-stage attention considering measured dam temperature. Eng. Struct. 2023, 280, 115686. [Google Scholar] [CrossRef]
 - Liu, C.; Pan, J.; Wang, J. An LSTM-based anomaly detection model for the deformation of concrete dams. Struct. Health Monit. 2024, 23, 1914–1925. [Google Scholar] [CrossRef]
 - Yilun, W.; Qingbin, L.; Yu, H.; Yajun, W.; Xuezhou, Z.; Yaosheng, T.; Lei, P. Deformation prediction model based on an improved CNN+ LSTM model for the first impoundment of super-high arch dams. J. Civ. Struct. Health Monit. 2023, 13, 431–442. [Google Scholar] [CrossRef]
 - Lu, T.; Gu, H.; Gu, C.; Shao, C.; Yuan, D. A multi-point dam deformation prediction model based on spatiotemporal graph convolutional network. Eng. Appl. Artif. Intell. 2025, 149, 110483. [Google Scholar] [CrossRef]
 - Wu, Y.; Kang, F.; Zhu, S.; Li, J. Data-driven deformation prediction model for super high arch dams based on a hybrid deep learning approach and feature selection. Eng. Struct. 2025, 325, 119483. [Google Scholar] [CrossRef]
 - Tang, Y.; Yang, M.; Li, B.; Guo, J.; Chen, Y. A two-stage dam deformation prediction model based on deep learning. China Rural. Water Hydropower 2024, 3, 225–230+237. [Google Scholar]
 - Vaswani, A.; Shazeer, N.; Parmar, N.; Uszkoreit, J.; Jones, L.; Gomez, A.N.; Kaiser, Ł.; Polosukhin, I. Attention is all you need. arXiv 2023, arXiv:1706.03762. [Google Scholar] [PubMed]
 - Hu, W.; Zhao, E.; Hu, L.; Li, Y. A Dam Deformation Prediction Model for SAGRU Based on IKOA Optimization. Yangtze River 2025, 56, 222–228. [Google Scholar]
 - Zhou, X.; Zhang, S.; Su, L.; Zhang, S. Monthly Precipitation Forecasting Based on Attention Mechanism and LSTM-CCN. Yangtze River 2024, 55, 129–135. [Google Scholar]
 - Wang, X.L.; Li, K.; Zhang, Z.L.; Yu, H.L.; Kong, L.X.; Chen, W.L. A coupled ALO-LSTM and feature attention mechanism model for predicting seepage pressure in earth-rock dams. Acta Hydraul. Sin. 2022, 53, 403–412. [Google Scholar]
 - Qi, T.; Wei, X.; Feng, G.; Zhang, F.; Zhao, D.; Guo, J. A method for reducing transient electromagnetic Noise: Combination of variational mode decomposition and wavelet denoising algorithm. Measurement 2022, 198, 111420. [Google Scholar] [CrossRef]
 - Bandt, C.; Pompe, B. Permutation entropy: A natural complexity measure for time series. Phys. Rev. Lett. 2002, 88, 174102. [Google Scholar] [CrossRef]
 - Ricci, L.; Politi, A. Permutation Entropy of Weakly Noise-Affected Signals. Entropy 2022, 24, 54. [Google Scholar] [CrossRef]
 - Han, P.; Wang, W.Q.; Shi, Q.Y.; Yue, J.C. A combined online-learning model with K-means clustering and GRU neural networks for trajectory prediction. Ad Hoc Netw. 2021, 117, 102476. [Google Scholar] [CrossRef]
 - Yuan, D.; Gu, C.; Wei, B.; Qin, X.; Xu, W. A high-performance displacement prediction model of concrete dams integrating signal processing and multiple machine learning techniques. Appl. Math. Model. 2022, 112, 436–451. [Google Scholar] [CrossRef]
 - Xiao, M.H.; Wen, K.; Zhang, C.Y.; Zhao, X.; Wei, W.H.; Wu, D. Research on fault feature extraction method of rolling bearing Based on NMD and wavelet threshold denoising. J. Vib. Shock. 2018, 2018, 1–11. [Google Scholar] [CrossRef]
 - Wei, B.; Chen, L.; Li, H.; Yuan, D.; Wang, G. Optimized prediction model for concrete dam displacement based on signal residual amendment. Appl. Math. Model. 2020, 78, 20–36. [Google Scholar] [CrossRef]
 - Fang, C.; Wang, X.; Hu, W.; He, X.; Huang, Z.; Gu, H. Outlier Identification of Concrete Dam Displacement Monitoring Data Based on WAVLET-DBSCAN-IFRL. Water 2025, 17, 716. [Google Scholar] [CrossRef]
 













| Parameter Name | Value Range | Optimization Results | 
|---|---|---|
| Initial learning rate | [0.001, 0.1] | 0.0019 | 
| GRU units1 | [32, 128] | 113 | 
| GRU units2 | [16, 64] | 62 | 
| Window size | [5, 25] | 6 | 
| Dropout rate1 | [0.1, 0.4] | 0.3759 | 
| Dropout rate2 | [0.05, 0.3] | 0.1259 | 
| Batch size | [20, 50] | 32 | 
| Parameter Name | Value Range | Optimization Results | 
|---|---|---|
| Initial learning rate | [0.001, 0.1] | 0.0010 | 
| GRU units1 | [32, 128] | 34 | 
| GRU units2 | [16, 64] | 17 | 
| Window size | [5, 25] | 6 | 
| Dropout rate1 | [0.1, 0.4] | 0.3642 | 
| Dropout rate2 | [0.05, 0.3] | 0.2706 | 
| Batch size | [20, 100] | 25 | 
| Method | Point Name | Training Time | Optimization Time | Prediction Time | Total Time | 
|---|---|---|---|---|---|
| SAGRU | PL16-3 | 5.52 | 25.90 | 0.49 | 31.91 | 
| PL16-4 | 5.89 | 29.99 | 0.51 | 36.39 | |
| LSTM | PL16-3 | 3.98 | 74.13 | 0.38 | 78.50 | 
| PL16-4 | 6.29 | 78.85 | 0.39 | 85.53 | |
| GRU | PL16-3 | 3.09 | 22.98 | 0.33 | 26.40 | 
| PL16-4 | 4.94 | 24.50 | 0.37 | 29.81 | 
| Method | Point Name | MSE | MAE | RMSE | 
|---|---|---|---|---|
| SAGRU | PL16-3 | 0.0330 | 0.1359 | 0.1816 | 
| PL16-4 | 0.0185 | 0.1021 | 0.1361 | |
| LSTM | PL16-3 | 0.0565 | 0.1963 | 0.2376 | 
| PL16-4 | 0.0349 | 0.1568 | 0.1869 | |
| GRU | PL16-3 | 0.0742 | 0.2256 | 0.2724 | 
| PL16-4 | 0.1088 | 0.3298 | 0.2906 | 
Disclaimer/Publisher’s Note: The statements, opinions and data contained in all publications are solely those of the individual author(s) and contributor(s) and not of MDPI and/or the editor(s). MDPI and/or the editor(s) disclaim responsibility for any injury to people or property resulting from any ideas, methods, instructions or products referred to in the content.  | 
© 2025 by the authors. Licensee MDPI, Basel, Switzerland. This article is an open access article distributed under the terms and conditions of the Creative Commons Attribution (CC BY) license (https://creativecommons.org/licenses/by/4.0/).
Share and Cite
Pan, Q.; He, Y.; Gu, C. A Concrete Dam Deformation Prediction Method Based on Mode Decomposition and Self-Attention-Gated Recurrent Unit. Buildings 2025, 15, 3676. https://doi.org/10.3390/buildings15203676
Pan Q, He Y, Gu C. A Concrete Dam Deformation Prediction Method Based on Mode Decomposition and Self-Attention-Gated Recurrent Unit. Buildings. 2025; 15(20):3676. https://doi.org/10.3390/buildings15203676
Chicago/Turabian StylePan, Qiyang, Yan He, and Chongshi Gu. 2025. "A Concrete Dam Deformation Prediction Method Based on Mode Decomposition and Self-Attention-Gated Recurrent Unit" Buildings 15, no. 20: 3676. https://doi.org/10.3390/buildings15203676
APA StylePan, Q., He, Y., & Gu, C. (2025). A Concrete Dam Deformation Prediction Method Based on Mode Decomposition and Self-Attention-Gated Recurrent Unit. Buildings, 15(20), 3676. https://doi.org/10.3390/buildings15203676
        