Analysis of Multi-Stage Slope Displacement and Internal Force of Supporting Structure of Frame Prestressed Anchor Cable Support
Abstract
1. Introduction
2. Project Profile
3. In Situ Monitoring Test
3.1. Design of Monitoring Test Scheme
3.1.1. Slope Displacement Monitoring Scheme Design
3.1.2. Design of Anchor Cable Prestress Monitoring Scheme
3.1.3. Wireless Data Acquisition and Transmission Scheme Design
3.2. Analysis of Monitoring Data
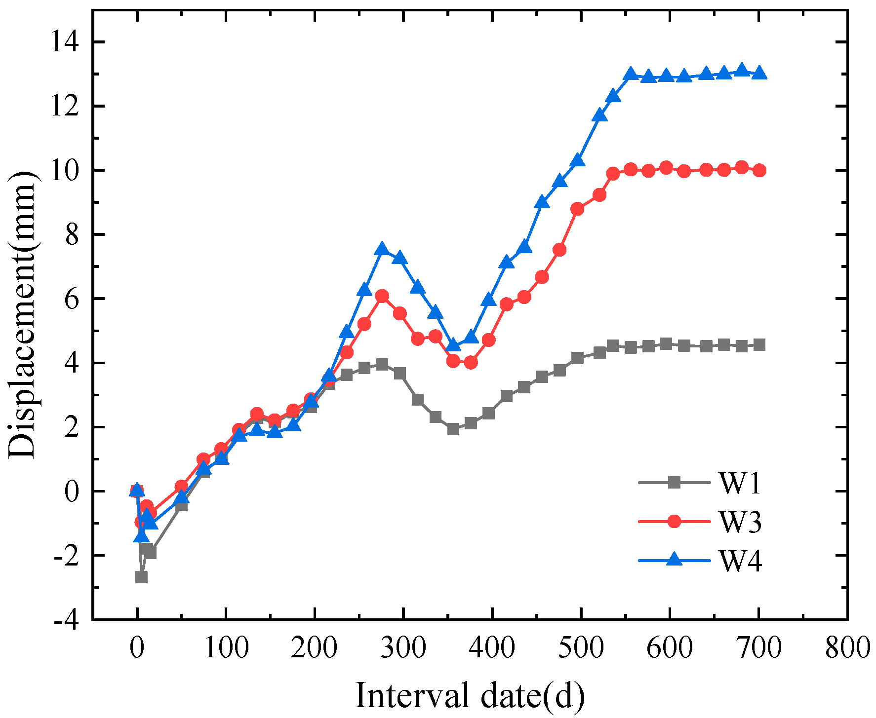
3.2.1. Slope Displacement Analysis
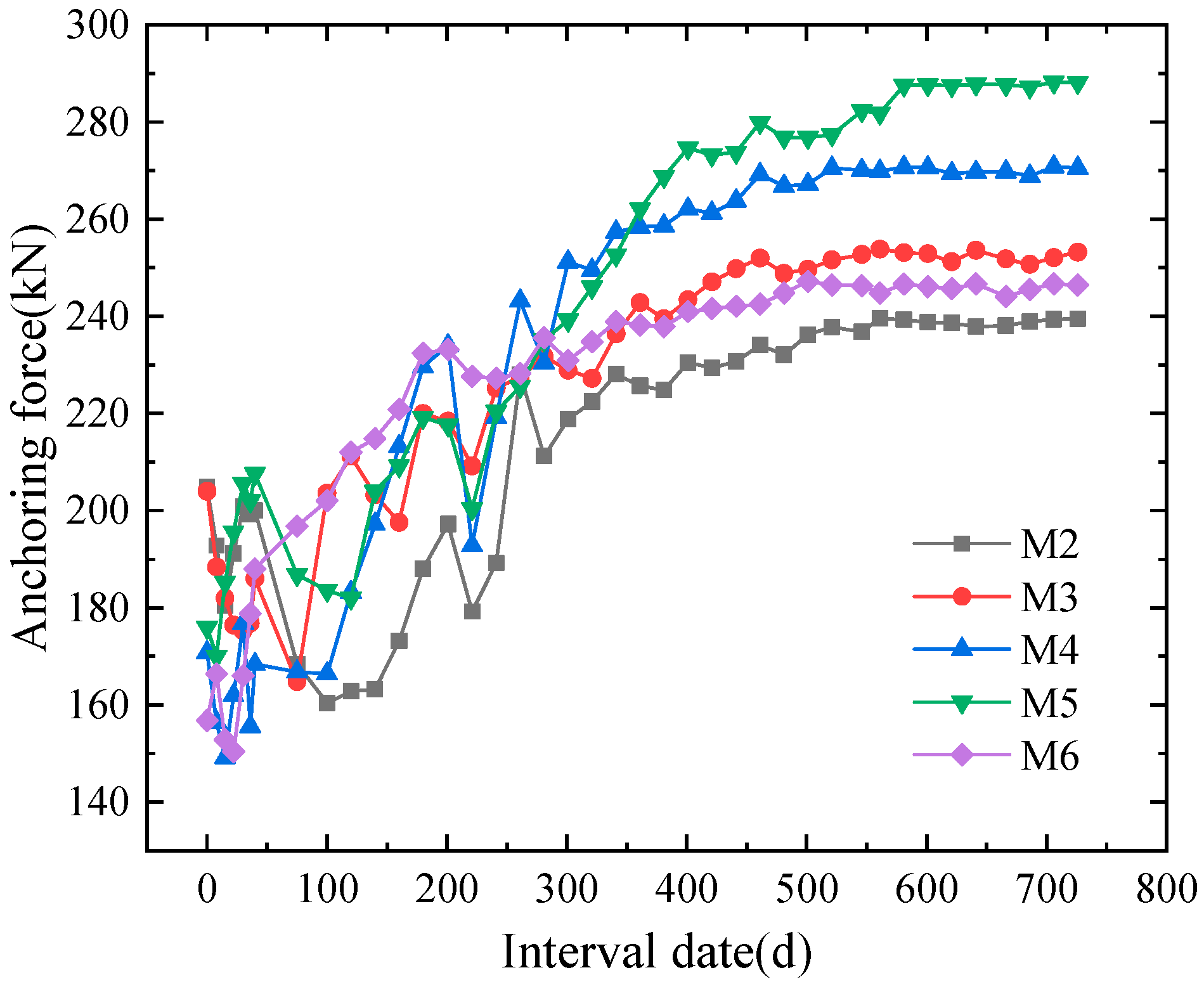
3.2.2. Investigation of Anchor Cable Axial Forces
4. Establishment and Verification of Finite Element Model
4.1. Establishment of Model
4.2. Comparison of Simulation and Experimental Results
4.2.1. Comparative Analysis of Maximum Lateral Deformation of Slope
4.2.2. Comparison of Maximum Anchor Cable Forces
4.3. Calculated Work Condition
5. Result Analysis
5.1. Overall Stability Analysis
5.1.1. Analysis of the Effect of Grading Series on the Overall Stability of the Slope
5.1.2. Influence of Platform Width on Slope Stability
5.2. Analysis of Overall Sliding Surface Range
Analysis of the Effect of Slope Grading Series on the Overall Sliding Surface Range of the Slope
5.3. Slope Displacement Analysis
5.3.1. Analysis of Horizontal Displacement Distribution of Single-Stage Slope
5.3.2. Analysis of the Effect of the Slope Level on the Horizontal Displacement of the Slope
5.3.3. Platform Width and Its Effect on Slope Horizontal Displacement
5.4. Axial Force Analysis of Anchor Cable
5.4.1. Analysis of the Effect of Single-Stage Slope Anchor Cable Axial Force
5.4.2. Analysis of the Effect of Slope Series on the Axial Force of Anchor Cable
5.4.3. Analysis of the Effect of Platform Width on the Axial Force of Anchor Cable
- (1)
- The effect of different platform widths on the axial force of anchor cable under second-level slope
- (2)
- The effect of different platform widths on the axial force of the anchor cable under fourth-level slope
6. Conclusions
- (1)
- The establishment of remote wireless monitoring and the data automatic acquisition system, as well as timely analysis of the monitoring data, through real-time monitoring of the stability of the slope operation stage, prevents slope instability in advance. It is found that the change in the anchoring force of anchor cable of the displacement meter at each monitoring point has tended to be stable. A maximum displacement of 12.99 mm is recorded at the lower part of the slope, and the peak anchoring force of 288.1 kN is observed in the middle to lower section. Combined with on-site inspection, the slope has been in a stable state in the operation stage and has good stability. Earth pressure and sliding block geometry concentrate lateral loads in the mid-to-lower portion of the slope; thus, anchors located in these areas intercept higher active pressures. The lever arm and the geometry of the mobilized slip mass explain the observed distribution of axial forces along the anchor rows. Grading reduces the size/height of an individual sliding block and redistributes stresses.
- (2)
- The findings show that combining multi-stage slopes with frame prestressed anchor cables yields greater stability than direct support and increases the slope stability coefficient. Compared with increasing the width of the platform, increasing the number of slope grades is more effective in enhancing slope stability. The distance between the entrance and exit of the overall slip surface of the slope and the slope surface will also decrease with the increase in the slope classification and the width of the platform. If the site conditions permit, increasing the classification can reduce the distance between the entrance and exit of the overall slip surface of the slope and the slope surface, thus greatly increasing overall slope stability.
- (3)
- The study on the horizontal displacement of the slope shows that the horizontal displacement of the slope reaches the maximum near the bottom of the slope under the conditions of grading and changing the width of the platform. With the increase in the grade and the width of the platform, it is helpful to reduce the horizontal displacement of the slope. Both of these factors strongly affect the horizontal displacement, and their joint effect on slope deformation must be taken into account during the design process. The observed reduction in maximum anchor axial force with increased grading (up to ≈27% reduction in our parametric cases) implies potential for optimized anchor prestress and length selection when grading is feasible; however, safety factors, construction tolerances, and grout quality must be included in final designs.
- (4)
- The axial force of the anchor cable is basically close to the prestress of anchor cable. Through the study, it is found that the finite element simulation value of the axial force of each row of the anchor cable in the slope is not much different from the measured results, and the distribution along the slope height is also consistent. Increasing the number of slope classifications will reduce the maximum axial force. The more the classifications, the smaller the axial force, which can reduce the design value of the anchor cable anchoring force. Increasing the number of grades has the most effective effect on reducing the axial force of the fourth and tenth rows of anchor cables; the effect of increasing the width of the platform on reducing the axial force is not obvious.
Author Contributions
Funding
Data Availability Statement
Acknowledgments
Conflicts of Interest
References
- An, B.; Wang, C.; Liu, C.; Li, P. A multi source remote sensing satellite view of the February 22nd Xinjing landslide in the mining area of Alxa left Banner, China. Landslides 2023, 20, 2517–2523. [Google Scholar] [CrossRef]
- Ozbay, A.; Cabalar, A.F. FEM and LEM stability analyses of the fatal landslides at Çöllolar open-cast lignite mine in Elbistan, Turkey. Landslides 2015, 12, 155–163. [Google Scholar] [CrossRef]
- Yin, Y.; Huang, B.; Chen, X.; Liu, G.; Wang, S. Numerical analysis on wave generated by the Qianjiangping landslide in Three Gorges Reservoir, China. Landslides 2015, 12, 355–364. [Google Scholar] [CrossRef]
- Belloni, L.G.; Stefani, R. The Vajont slide: Instrumentation—Past experience and the modern approach. Eng. Geol. 1987, 24, 445–474. [Google Scholar] [CrossRef]
- Zhang, H.; Wu, R.; Zheng, Y.; Wang, R.; Wei, J. Study on pile-anchor supporting effect of multi-stage cutting high slope based on FLAC3D-Taking a landslide in Yunnan as an example. J. Chongqing Jiaotong Univ. Nat. Sci. Ed. 2024, 43, 28–38. [Google Scholar]
- Wu, H.; Sun, M.; Wang, J. Stability Assessment of Multi-Stage Slopes Considering Local Failure. Front. Earth Sci. 2022, 10, 798791. [Google Scholar] [CrossRef]
- Yu, Z.; Dong, D.; Jiang, Y.; Chen, G.; Huang, Q. Research on optimization design of soft soil subgrade and high slope based on numerical simulation-Taking a subway parking lot as an example. Exp. Technol. Manag. 2025, 42, 165–173. [Google Scholar]
- Yang, Z. Simulation study on high slope stability based on creep test. J. Xi’an Univ. Sci. Technol. 2023, 43, 988–999. [Google Scholar]
- Zhou, C.; Dong, X.; Li, Z.; Ma, Z. Analysis of the effect of rainfall infiltration on the stability of multi-stage slope reinforced by anchor rod. Sci. Technol. Eng. 2022, 22, 12550–12556. [Google Scholar]
- Zhu, X.; Shao, S.; Shao, S.; Ji, Y.; Yu, Z. Pseudo-dynamic analysis of three-dimensional soil slope stability based on nonlinear criteria. Chin. J. Geotech. Eng. 2025, 47, 1925–1935. [Google Scholar]
- Li, J.; Ye, S.; Cui, X.; Liu, B.; Li, N. Displacement Calculation of a Multi-Stage Homogeneous Loess Slope Under Seismic Action. Buildings 2025, 15, 1484. [Google Scholar] [CrossRef]
- Jia, G.; He, J.; Yu, J.; Zhao, L.; Pan, Q. Dynamic stability analysis of a three-stage slope under random ground motion effect. J. Guangxi Univ. Nat. Sci. Ed. 2024, 49, 1235–1243. [Google Scholar]
- Luo, W.; Liu, S.; Xu, C.; Chen, J.; Lu, Q. Quasi-static limit upper bound analysis of seismic stability of multi-stage slopes. Earthq. Disaster Prev. Technol. 2024, 19, 810–820. [Google Scholar]
- Yan, C.; Wang, H.; Cao, J.; Kang, W.; Li, Q. Upper bound solution for stability analysis of loess heterogeneous multi-stage high slope. J. Wuhan Univ. Eng. Ed. 2025, 58, 397–406. [Google Scholar]
- Li, J. The safety control mechanism of wide platform on the stability of high cutting slope. J. Xi’an Univ. Sci. Technol. 2022, 42, 1163–1171. [Google Scholar]
- Jia, Z. Stability analysis of high slope supported by frame anchor under freeze-thaw cycle load. Highway 2025, 8, 38–44. [Google Scholar]
- Zhao, C.; Fan, Z.; Ran, L.; Zhou, F.; Tan, W. Construction technology of anchor cable anchor frame beam support in broken rock and soil high slope. Highway 2023, 68, 50–53. [Google Scholar]
- Zhu, Y.; Wei, Z.; Yang, X.; Zhu, Q. Monitoring and analysis of multi-stage high fill slope supported by prestressed anchor cable pile-slab wall. China Rural. Water Conserv. Hydropower 2020, 7, 202–207. [Google Scholar]
- Wang, D.; Wu, Z.; Zhang, J.; Jiang, Y. Analysis of the effect of multi-stage composite support structure on the seismic performance of heterogeneous high slope. J. Vib. Eng. 2019, 32, 404–414. [Google Scholar]
- Wang, J.; Liu, S.; Pu, X.; Zhao, R. Reliability and sensitivity analysis of loess high slope stability under lattice bolt support. Math. Pract. Underst. 2020, 50, 186–194. [Google Scholar]
- Li, J.; Zhu, Y.; Ye, S.; Ma, X. Experimental study and analysis on health monitoring of a secondary high slope. J. Geotech. Eng. 2018, 40, 129–134. [Google Scholar]
- Ye, S.; Shi, Y.; Gong, X.; Chen, C. Numerical analysis of seismic response of multi-stage high slope reinforced by frame prestressed anchor. J. Geotech. Eng. 2018, 40, 153–158. [Google Scholar]
- Hua, J.; Zheng, J. Engineering Geological Handbook, 2nd ed.; China Construction Industry Press: Beijing, China, 2018; pp. 174–179. [Google Scholar]





















| Sample Name | Coefficient of Friction | Angle of Internal Friction | Bond Strength /kPa |
|---|---|---|---|
| Silty clay | 0.23 | 25.4 | 17.4 |
| Strongly weathered phyllite | 0.69 | 34.6 | 100 |
| No. | Anchoring Force Locking Value/kN | Locking Loss/kN | Loss Rate % | Loss Value 8 Days After Locking/kN | Loss Rate % | Loss Value 15 Days After Locking/kN | Loss Rate % |
|---|---|---|---|---|---|---|---|
| M2 | 204.8 | 127.6 | 38.4 | −9.6 | −4.8 | −8.0 | −4.0 |
| M3 | 204.0 | 99.6 | 32.8 | 1.2 | 0.7 | −0.4 | −0.2 |
| M4 | 170.8 | 52.0 | 23.3 | −14.8 | −8.4 | 6.4 | 4.1 |
| M5 | 176.0 | 55.6 | 24.0 | −10.0 | −4.9 | −6.4 | −3.2 |
| M6 | 156.8 | 85.6 | 35.3 | −15.6 | −9.4 | −28.4 | 15.9 |
| Member | Tensional Rigidity/kN |
|---|---|
| Free section |
| Member | Elastic Modulus | Anchorage Section Diameter/m |
|---|---|---|
| Anchorage section | 0.15 |
| Member | Elastic Modulus | Thickness/m |
|---|---|---|
| Slope concrete panel | 0.08 |
| Working Condition | The Slope Order Number | Platform Width |
|---|---|---|
| K1 | / | / |
| K2 | 2 | 2 m |
| K3 | 2 | 3 m |
| K4 | 2 | 4 m |
| K5 | 2 | 5 m |
| K6 | 4 | 2 m |
| K7 | 4 | 3 m |
| K8 | 4 | 4 m |
| K9 | 4 | 5 m |
| Working Condition | Coefficient of Stability | The Distance Between the Entrance of Sliding Surface and the Slope Surface (m) | The Distance Between the Sliding Surface Outlet and the Slope Surface (m) |
|---|---|---|---|
| K1 | 1.754 | 27.960 | 21.037 |
| K2 | 1.779 | 27.179 | 20.816 |
| K3 | 1.788 | 26.641 | 20.663 |
| K4 | 1.796 | 26.016 | 20.437 |
| K5 | 1.812 | 25.551 | 20.389 |
| K6 | 1.815 | 25.009 | 20.277 |
| K7 | 1.855 | 23.541 | 19.923 |
| K8 | 1.901 | 22.056 | 19.556 |
| K9 | 1.953 | 20.584 | 19.174 |
Disclaimer/Publisher’s Note: The statements, opinions and data contained in all publications are solely those of the individual author(s) and contributor(s) and not of MDPI and/or the editor(s). MDPI and/or the editor(s) disclaim responsibility for any injury to people or property resulting from any ideas, methods, instructions or products referred to in the content. |
© 2025 by the authors. Licensee MDPI, Basel, Switzerland. This article is an open access article distributed under the terms and conditions of the Creative Commons Attribution (CC BY) license (https://creativecommons.org/licenses/by/4.0/).
Share and Cite
Li, J.; Zhu, Y.; Ye, S.; Li, N.; Liu, B. Analysis of Multi-Stage Slope Displacement and Internal Force of Supporting Structure of Frame Prestressed Anchor Cable Support. Buildings 2025, 15, 3668. https://doi.org/10.3390/buildings15203668
Li J, Zhu Y, Ye S, Li N, Liu B. Analysis of Multi-Stage Slope Displacement and Internal Force of Supporting Structure of Frame Prestressed Anchor Cable Support. Buildings. 2025; 15(20):3668. https://doi.org/10.3390/buildings15203668
Chicago/Turabian StyleLi, Jingbang, Yanpeng Zhu, Shuaihua Ye, Nianxiang Li, and Bo Liu. 2025. "Analysis of Multi-Stage Slope Displacement and Internal Force of Supporting Structure of Frame Prestressed Anchor Cable Support" Buildings 15, no. 20: 3668. https://doi.org/10.3390/buildings15203668
APA StyleLi, J., Zhu, Y., Ye, S., Li, N., & Liu, B. (2025). Analysis of Multi-Stage Slope Displacement and Internal Force of Supporting Structure of Frame Prestressed Anchor Cable Support. Buildings, 15(20), 3668. https://doi.org/10.3390/buildings15203668
