A Correlation Analysis-Based Structural Load Estimation Method for RC Beams Using Machine Vision and Numerical Simulation
Abstract
1. Introduction
2. Image-Based Load Estimation Framework
2.1. Prior Work on Crack Segmentation
2.2. Calculation of Structural Strain Distribution Based on FEM
2.3. Image Correlation Evaluation Model
- The high-strain region under true loading should contain as many cracks as possible in the smallest possible area.
- Different types of high strain region pixels have different influence weights on the correlation index.
- The contribution of the and types of pixels in the image to the correlation index is inversely proportional to the number of pixels of the corresponding type.
- The contribution of the low-strain region pixels to the correlation of the strain distribution image and the crack distribution image can be ignored.
2.4. U-Net Surrogate Model Considering Inhomogeneous Materials
2.5. Optimal Load Estimation Based on Image Matching
3. Method Validation and Result Analysis
3.1. Prior Experimental Data and Crack Images
3.2. Training and Evaluation of DNN Surrogate Model
3.3. Correlation Evaluation Between Crack Images and Strain Distribution Images
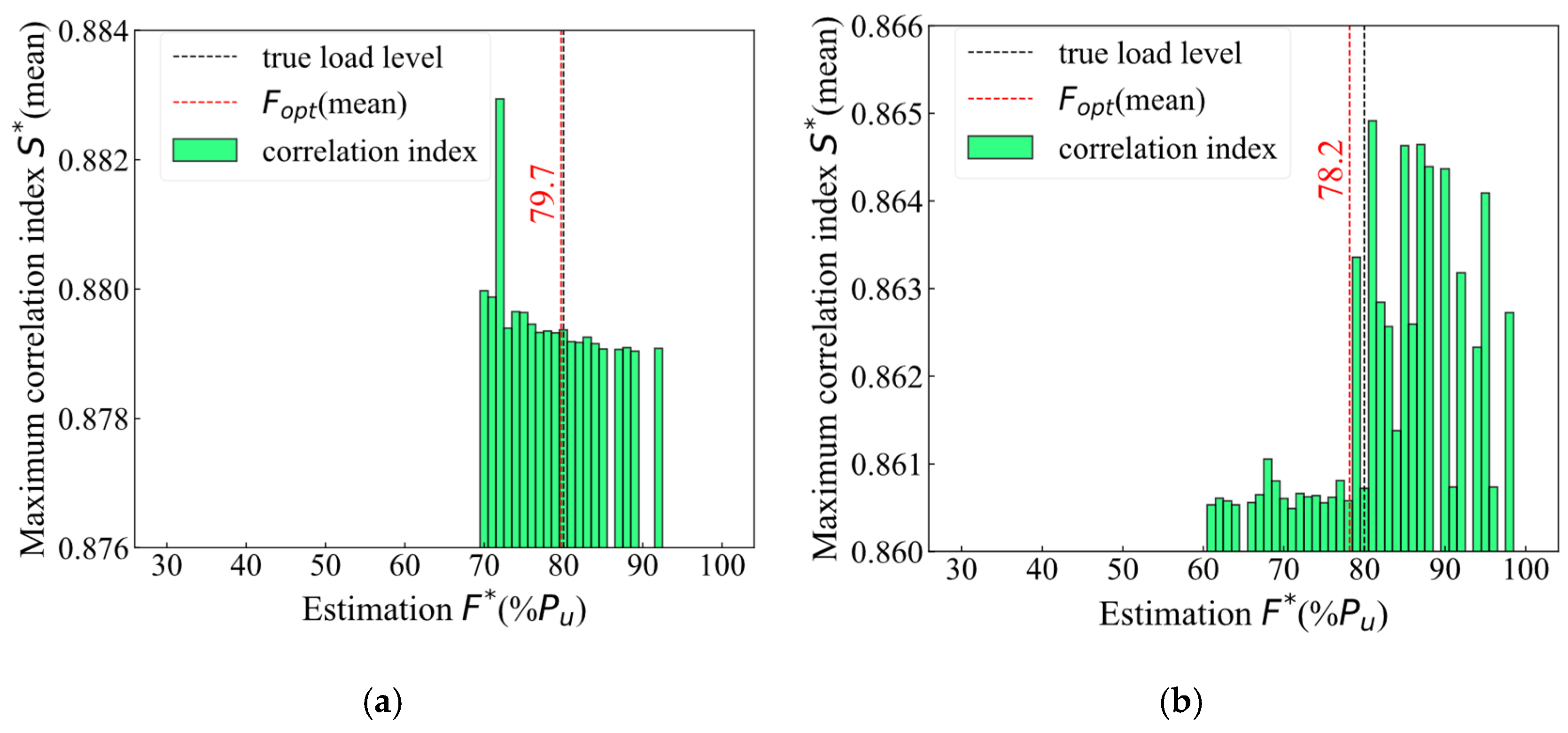
3.4. Optimal Load Level Estimation
3.4.1. Optimal Load Estimation for Different True Loads
3.4.2. Effect of Crack Random Distribution on Optimal Load Estimation
3.4.3. Effect of Different Capture Ranges on Optimal Load Estimation
3.4.4. Effect of Different Damage Patterns on Optimal Load Estimation
3.4.5. Optimal Load Estimation for Different Structural Types
4. Conclusions
- Load estimation based on crack distribution images of RC structures is carried out by combining the strain distribution images obtained from FEM. The proposed load estimation method reduces the dependence of the traditional method on experimental data, and the estimation results are interpretable.
- The novel correlation evaluation model is proposed to quantify the degree of correlation between the theoretical strain distribution images and the actual crack distribution images of RC beams under different load levels. The correlation indices will provide a judgment basis for screening and estimating loads.
- The randomness of the crack distribution can be taken into account by introducing material heterogeneity in numerical models. Meanwhile, the DNN surrogate model can significantly accelerate the numerical simulations with the material random field models, thereby enhancing the efficiency of optimal load estimation. The load estimation results show that the error of the load estimations obtained by considering homogeneous materials is twice the error of the load estimations obtained by considering material heterogeneity.
- The novel optimal load estimation method based on image matching proposed in this paper can estimate the load level and determine its range. The analysis results of the 23 crack distribution images show that the MAPE between the mean values and the true load levels is 20.68%, which meets the engineering accuracy requirements.
Author Contributions
Funding
Data Availability Statement
Conflicts of Interest
References
- Kirthiga, R.; Elavenil, S. A Survey on Crack Detection in Concrete Surface Using Image Processing and Machine Learning. J. Build. Rehabil. 2023, 9, 15. [Google Scholar] [CrossRef]
- Ai, D.; Jiang, G.; Lam, S.-K.; He, P.; Li, C. Computer Vision Framework for Crack Detection of Civil Infrastructure—A Review. Eng. Appl. Artif. Intell. 2023, 117, 105478. [Google Scholar] [CrossRef]
- Sarkar, K.; Shiuly, A.; Dhal, K.G. Revolutionizing Concrete Analysis: An in-Depth Survey of AI-Powered Insights with Image-Centric Approaches on Comprehensive Quality Control, Advanced Crack Detection and Concrete Property Exploration. Constr. Build. Mater. 2024, 411, 134212. [Google Scholar] [CrossRef]
- Zhang, W.-X.; Liu, X.-L.; Luo, B.; Li, M.-G. Quick Assessment of Loading Capacity of Bridge by Cracking Characteristics. J. Northeast. Univ. Nat. Sci. 2008, 29, 1346. (In Chinese) [Google Scholar] [CrossRef]
- Li, K.-Z.; Cao, G.-H.; Yang, L.-G. Experimental Study on Assessment of Mechanical Performance of Prestressed Concrete Continuous Box Girder under Different Cracking Conditions. J. Cent. South Univ. Sci. Technol. 2020, 51, 3475–3483. (In Chinese) [Google Scholar] [CrossRef]
- Davoudi, R.; Miller, G.R.; Kutz, J.N. Data-Driven Vision-Based Inspection for Reinforced Concrete Beams and Slabs: Quantitative Damage and Load Estimation. Autom. Constr. 2018, 96, 292–309. [Google Scholar] [CrossRef]
- Davoudi, R. A Machine Learning and Computer Vision Framework for Damage Characterization and Structural Behavior Prediction. Ph.D. Thesis, University of Washington, Seattle, WA, USA, 2019. [Google Scholar]
- Davoudi, R.; Miller, G.R.; Calvi, P.; Kutz, J.N. Computer Vision–Based Damage and Stress State Estimation for Reinforced Concrete and Steel Fiber–Reinforced Concrete Panels. Struct. Health Monit. 2020, 19, 1645–1665. [Google Scholar] [CrossRef]
- Osei, J.B.; Adom-Asamoah, M.; Owusu Twumasi, J.; Andras, P.; Zhang, H. A Machine Learning-Based Structural Load Estimation Model for Shear-Critical RC Beams and Slabs Using Multifractal Analysis. Constr. Build. Mater. 2023, 394, 132250. [Google Scholar] [CrossRef]
- Seventekidis, P.; Giagopoulos, D.; Arailopoulos, A.; Markogiannaki, O. Structural Health Monitoring Using Deep Learning with Optimal Finite Element Model Generated Data. Mech. Syst. Signal Proc. 2020, 145, 106972. [Google Scholar] [CrossRef]
- Zhou, X.; Feng, B. A Smeared-Crack-Based Field-Enriched Finite Element Method for Simulating Cracking in Quasi-Brittle Materials. Theor. Appl. Fract. Mech. 2023, 124, 103817. [Google Scholar] [CrossRef]
- Chen, X.; Yuan, J.; Dong, Q.; Zhao, X. Meso-Scale Cracking Behavior of Cement Treated Base Material. Constr. Build. Mater. 2020, 239, 117823. [Google Scholar] [CrossRef]
- Grassl, P.; Bažant, Z.P. Random Lattice-Particle Simulation of Statistical Size Effect in Quasi-Brittle Structures Failing at Crack Initiation. J. Eng. Mech. 2009, 135, 85–92. [Google Scholar] [CrossRef]
- Torzoni, M.; Manzoni, A.; Mariani, S. A Multi-Fidelity Surrogate Model for Structural Health Monitoring Exploiting Model Order Reduction and Artificial Neural Networks. Mech. Syst. Signal Proc. 2023, 197, 110376. [Google Scholar] [CrossRef]
- Rad, M.J.G.; Ohadi, S.; Jafari-Asl, J.; Vatani, A.; Ahmadabadi, S.A.; Correia, J.A.F.O. GNDO-SVR: An Efficient Surrogate Modeling Approach for Reliability-Based Design Optimization of Concrete Dams. Structures 2022, 35, 722–733. [Google Scholar] [CrossRef]
- Kamaliardakani, M.; Sun, L.; Ardakani, M.K. Sealed-Crack Detection Algorithm Using Heuristic Thresholding Approach. J. Comput. Civil. Eng. 2016, 30, 04014110. [Google Scholar] [CrossRef]
- Abdel-Qader, I.; Abudayyeh, O.; Kelly, M.E. Analysis of Edge-Detection Techniques for Crack Identification in Bridges. J. Comput. Civil. Eng. 2003, 17, 255–263. [Google Scholar] [CrossRef]
- Ali, R.; Chuah, J.H.; Talip, M.S.A.; Mokhtar, N.; Shoaib, M.A. Structural Crack Detection Using Deep Convolutional Neural Networks. Autom. Constr. 2022, 133, 103989. [Google Scholar] [CrossRef]
- Kim, J.-Y.; Park, M.-W.; Huynh, N.T.; Shim, C.; Park, J.-W. Detection and Length Measurement of Cracks Captured in Low Definitions Using Convolutional Neural Networks. Sensors 2023, 23, 3990. [Google Scholar] [CrossRef] [PubMed]
- Zhang, C.; Wan, L.; Wan, R.-Q.; Yu, J.; Li, R. Automated Fatigue Crack Detection in Steel Box Girder of Bridges Based on Ensemble Deep Neural Network. Measurement 2022, 202, 111805. [Google Scholar] [CrossRef]
- Borst, R.D.; Remmers, J.J.C.; Needleman, A.; Abellan, M. Discrete vs Smeared Crack Models for Concrete Fracture: Bridging the Gap. Int. J. Numer. Anal. Methods Geomech. 2004, 28, 583–607. [Google Scholar] [CrossRef]
- Gálvez, J.C.; Červenka, J.; Cendón, D.A.; Saouma, V. A Discrete Crack Approach to Normal/Shear Cracking of Concrete. Cem. Concr. Res. 2002, 32, 1567–1585. [Google Scholar] [CrossRef]
- Hognestad, E. Study of Combined Bending and Axial Load in Reinforced Concrete Members. Univ. Ill. Eng. Exp. Stn. Bull. 1951, 399, 128. [Google Scholar]
- Bathe, K.-J.; Ramaswamy, S. On Three-Dimensional Nonlinear Analysis of Concrete Structures. Nucl. Eng. Des. 1979, 52, 385–409. [Google Scholar] [CrossRef]
- Ramaswamy, A.; Member, A. Postcracking Formulation for Analysis of RC Structures Based on Secant Stiffness. J. Eng. Mech. 1994, 120, 2621–2640. [Google Scholar] [CrossRef]
- GB 55008-2021; Code for Desgn of Concrete Structures. China Architecture & Building Press: Beijing, China, 2021.
- Rukundo, O.; Cao, H. Nearest Neighbor Value Interpolation. Int. J. Adv. Comput. Sci. Appl. 2012, 3, 25–30. [Google Scholar] [CrossRef]
- Bhaduri, A.; Gupta, A.; Graham-Brady, L. Stress Field Prediction in Fiber-Reinforced Composite Materials Using a Deep Learning Approach. Compos. Pt. B-Eng. 2022, 238, 109879. [Google Scholar] [CrossRef]
- Ronneberger, O.; Fischer, P.; Brox, T. U-Net: Convolutional Networks for Biomedical Image Segmentation. In Medical Image Computing and Computer-Assisted Intervention—MICCAI 2015: 18th International Conference, Munich, Germany, 5–9 October 2015; Springer: Berlin/Heidelberg, Germany, 2015; Volume 9351, pp. 234–241. ISBN 978-3-319-24573-7. [Google Scholar]
- Kervadec, H.; Bouchtiba, J.; Desrosiers, C.; Granger, E.; Dolz, J.; Ben Ayed, I. Boundary Loss for Highly Unbalanced Segmentation. Med. Image Anal. 2021, 67, 101851. [Google Scholar] [CrossRef] [PubMed]
- Nilson, A. Design of Concrete Structures; McGraw-Hill: New York, NY, USA, 1997. [Google Scholar]
- Gribniak, V.; Pérez Caldentey, A.; Kaklauskas, G.; Rimkus, A.; Sokolov, A. Effect of Arrangement of Tensile Reinforcement on Flexural Stiffness and Cracking. Eng. Struct. 2016, 124, 418–428. [Google Scholar] [CrossRef]
- Yang, C. Research on Crack Width of Concrete Beam Reinforced with 600MPa Steel Bars; Hebei University of Technology: Tianjin, China, 2017. (In Chinese) [Google Scholar]
- Yan, W. Impact Factors Analysis on the Crack Width of Reinforced Concrete Beams; Chongqing Jiaotong University: Chongqing, China, 2010. (In Chinese) [Google Scholar]
























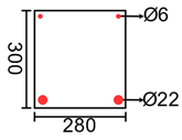
| Test Type | Image Range | Recorded Load | ||||||||
|---|---|---|---|---|---|---|---|---|---|---|
| S1-2 [32] | pure bending section | 280 | 300 | 3000 | 1.0% | 33034 | 3.2 | 632.3 | 224 | |
| S1-4 [32] | pure bending section | 280 | 300 | 3000 | 1.0% | 33034 | 3.2 | 551 | 207 | |
| S2-3 [32] | pure bending section | 280 | 300 | 3000 | 0.6% | 33034 | 3.2 | 632.3 | 151.4 | |
| B1 [33] | the whole section | 200 | 400 | 3200 | 0.7% | 27835 | 2.5 | 890.6 | 226 | |
| BeamS2-1 [34] | pure bending section | 150 | 250 | 1800 | 0.7% | 31635 | 3.5 | 525 | 57 | |
| BeamS2-2 [34] | pure bending section | 150 | 250 | 1800 | 0.7% | 31635 | 3.5 | 525 | 57 | |
| BeamS2-3 [34] | pure bending section | 150 | 250 | 1800 | 0.7% | 31635 | 3.5 | 525 | 57 | |
| BeamS2-4 [34] | pure bending section | 150 | 250 | 1800 | 0.7% | 31635 | 3.5 | 525 | 57 |
| Test Type | S1-2 [32] | S1-4 [32] | S2-3 [32] | B1 [33] |
| Cross-section | ![]() | ![]() | ![]() | ![]() |
| Test Type | BeamS2-1 [34] | BeamS2-2 [34] | BeamS2-3 [34] | BeamS2-4 [34] |
| Cross-section | ![]() | ![]() | ![]() | ![]() |
| Loads in FEM | Visualization of Correlation Indices | High Strain Pixels | Cracked Pixels | Overlapping Pixels | Total Pixels | |
|---|---|---|---|---|---|---|
| 0.10 | ![]() | 0 | 945 | 0 | 69,936 | 0 |
| 0.20 | ![]() | 36,098 | 945 | 814 | 69,936 | 0.8429 |
| 0.30 | ![]() | 42,308 | 945 | 912 | 69,936 | 0.9440 |
| 0.35 | ![]() | 44,252 | 945 | 933 | 69,936 | 0.9656 |
| 0.40 | ![]() | 45,356 | 945 | 933 | 69,936 | 0.9654 |
| 0.80 | ![]() | 48,466 | 945 | 933 | 69,936 | 0.9648 |
Disclaimer/Publisher’s Note: The statements, opinions and data contained in all publications are solely those of the individual author(s) and contributor(s) and not of MDPI and/or the editor(s). MDPI and/or the editor(s) disclaim responsibility for any injury to people or property resulting from any ideas, methods, instructions or products referred to in the content. |
© 2025 by the authors. Licensee MDPI, Basel, Switzerland. This article is an open access article distributed under the terms and conditions of the Creative Commons Attribution (CC BY) license (https://creativecommons.org/licenses/by/4.0/).
Share and Cite
Zhang, C.; Zhao, Y.; Wu, G.; Wu, H.; Ding, H.; Yu, J.; Wan, R. A Correlation Analysis-Based Structural Load Estimation Method for RC Beams Using Machine Vision and Numerical Simulation. Buildings 2025, 15, 207. https://doi.org/10.3390/buildings15020207
Zhang C, Zhao Y, Wu G, Wu H, Ding H, Yu J, Wan R. A Correlation Analysis-Based Structural Load Estimation Method for RC Beams Using Machine Vision and Numerical Simulation. Buildings. 2025; 15(2):207. https://doi.org/10.3390/buildings15020207
Chicago/Turabian StyleZhang, Chun, Yinjie Zhao, Guangyu Wu, Han Wu, Hongli Ding, Jian Yu, and Ruoqing Wan. 2025. "A Correlation Analysis-Based Structural Load Estimation Method for RC Beams Using Machine Vision and Numerical Simulation" Buildings 15, no. 2: 207. https://doi.org/10.3390/buildings15020207
APA StyleZhang, C., Zhao, Y., Wu, G., Wu, H., Ding, H., Yu, J., & Wan, R. (2025). A Correlation Analysis-Based Structural Load Estimation Method for RC Beams Using Machine Vision and Numerical Simulation. Buildings, 15(2), 207. https://doi.org/10.3390/buildings15020207















