Free Vibration of FML Beam Considering Temperature-Dependent Property and Interface Slip
Abstract
1. Introduction
2. Vibration Analysis
2.1. Temperature Field
- (1)
- Since the temperature gradient mainly occurs on the upper and lower surfaces of the FML beam, this study primarily considers 1D heat conduction in the y-direction.
- (2)
- The temperature dependence of thermal conductivity is neglected because, even at high temperatures, the metal in the FML beam has a thermal conductivity roughly two orders of magnitude higher than that of the FRP layer, so its effect on the temperature field is negligible.
- (3)
- There is no internal heat generation, and that convective and radiative heat losses are neglected.
- (4)
- The material in each layer is homogeneous.
- (5)
- The analysis considers only steady-state heat conduction.
2.2. State Space Equations
2.3. Natural Frequencies and Mode Shapes
3. Results and Discussion
3.1. Convergence and Comparison Study
3.2. Effect of Temperature
3.3. Effect of Interface
4. Conclusions
- The present solution shows overall agreement with the experimental results, FE simulations, and the FSDT solution. Moreover, it is more efficient than the FE method, as the latter requires large matrices and incurs high computational cost, particularly for higher-order modes. In contrast, the FSDT solution relies on a linear shear assumption and thus cannot fully capture shear effects, resulting in certain errors.
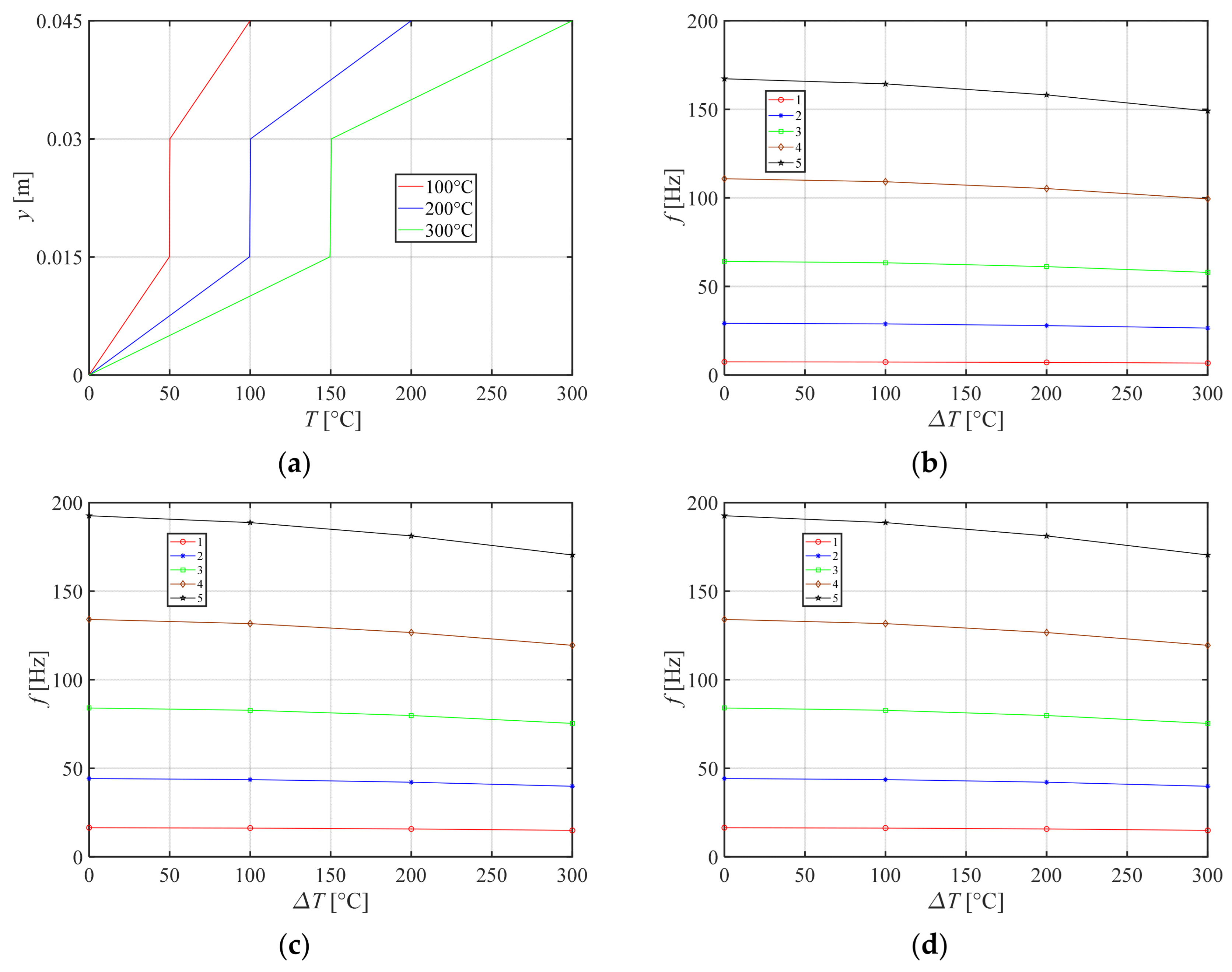
- The natural frequencies decrease gradually from 0 °C to 200 °C, followed by a sharper drop between 200 °C and 300 °C, mainly due to the temperature-dependent degradation of the elastic modulus in both the aluminum and CFRP layers.
- The C–C configuration exhibits the highest natural frequencies, due to full displacement and rotation restraint. Frequencies in the S–S configuration are slightly higher than in C–F, reflecting the more uniform stiffness distribution under symmetric support.
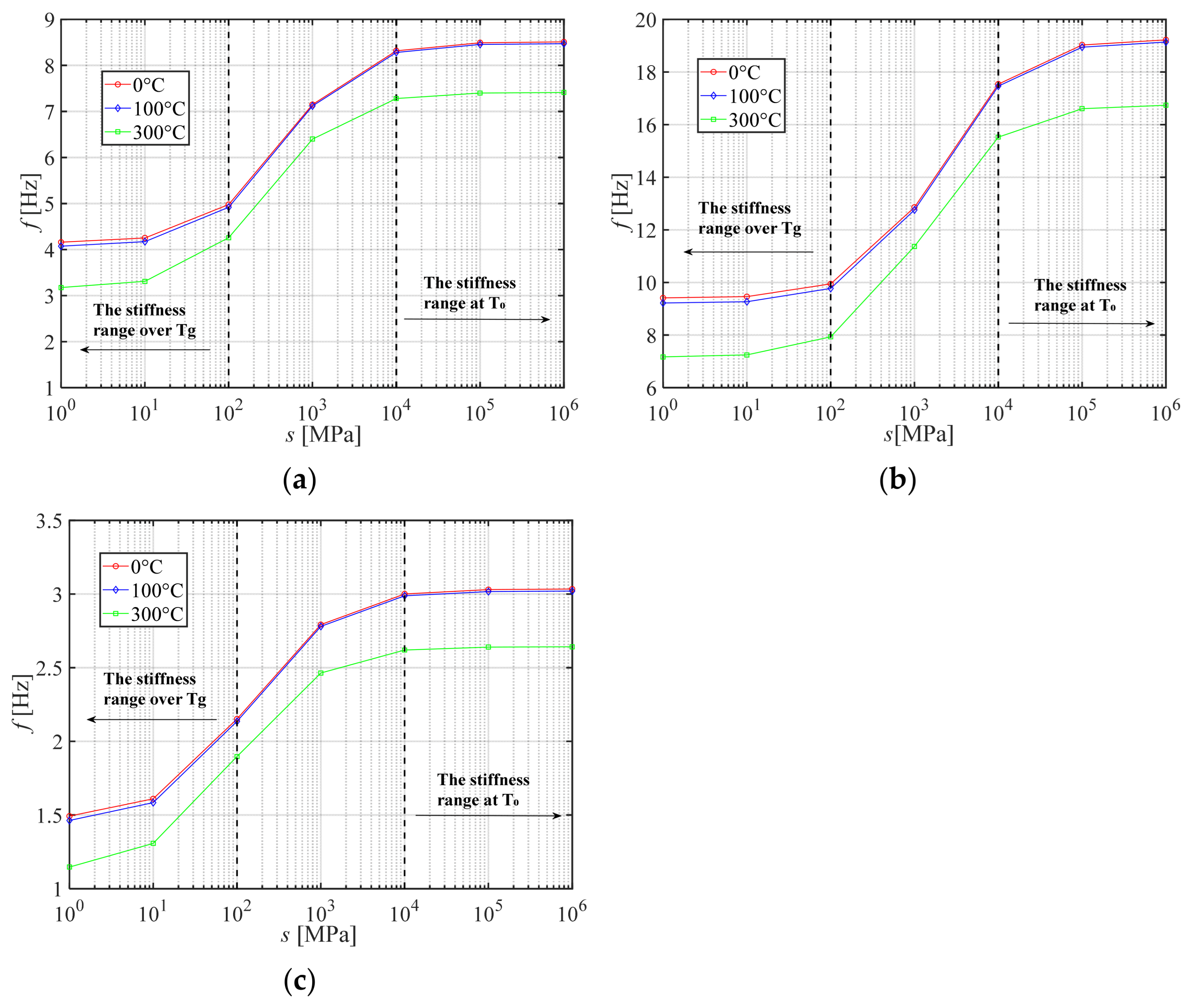
- The natural frequencies of FML beams are significantly influenced by interfacial stiffness, with the most pronounced effect occurring between 10–104 MPa. An interfacial stiffness higher than 104 represents the typical range for FML interfaces at ambient temperature, whereas a stiffness lower than 102 corresponds to the reduced interfacial stiffness after the adhesive surpasses its glass transition temperature. Higher temperatures reduce frequencies and lower the required interfacial stiffness for stabilization. This can provide a basis for the design of FML interface bonding in practical engineering under both ambient and high-temperature conditions.
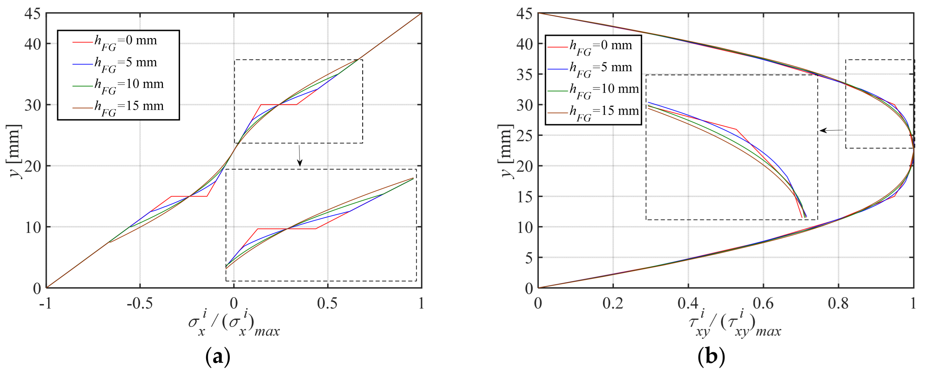
- By introducing an FG interlayer between the FML layers, both normal and shear stresses transition more smoothly across the interfaces. Furthermore, without altering the total thickness, this effect becomes increasingly pronounced as the FG interlayer thickness increases, moderately mitigating the risk of stress concentrations and interfacial delamination.
Author Contributions
Funding
Data Availability Statement
Conflicts of Interest
Appendix A
- S–S:
References
- Sinmazçelik, T.; Avcu, E.; Bora, M.Ö.; Çoban, O. A Review: Fiber Metal Laminates, Background, Bonding Types and Applied Test Methods. Mater. Des. 2011, 32, 3671–3685. [Google Scholar] [CrossRef]
- Antipov, V.V.; Senatorova, O.G.; Beumler, T.; Ijpma, M. Investigation of a New Fiber Metal Laminate (FML) Family on the Base of Al-Li-Alloy with Lower Density. Materwiss. Werksttech. 2012, 43, 350–355. [Google Scholar] [CrossRef]
- da Costa, A.A.; da Silva, D.F.N.R.; Travessa, D.N.; Botelho, E.C. The Effect of Thermal Cycles on the Mechanical Properties of Fiber-Metal Laminates. Mater. Des. 2012, 42, 434–440. [Google Scholar] [CrossRef]
- Senthil Kumar, K.; Siva, I.; Jeyaraj, P.; Winowlin Jappes, J.T.; Amico, S.C.; Rajini, N. Synergy of Fiber Length and Content on Free Vibration and Damping Behavior of Natural Fiber Reinforced Polyester Composite Beams. Mater. Des. 2014, 56, 379–386. [Google Scholar] [CrossRef]
- Kali, N.; Kumar Raju, A.; Korla, S. Viscoelastic and Vibrational Studies of Nano Hybrid Fiber Metal Laminates. Proc. Inst. Mech. Eng. Part C J. Mech. Eng. Sci. 2024, 238, 3919–3929. [Google Scholar] [CrossRef]
- Prasad, E.V.; Sahu, S.K. Vibration Analysis of Woven Fiber Metal Laminated Plates—Experimental and Numerical Studies. Int. J. Struct. Stab. Dyn. 2018, 18, 1850144. [Google Scholar] [CrossRef]
- Thomas, L.C.; Akkasali, N.K.; Patle, B.K.; Mehar, K.; Kumar, V.; Panda, S.K. Numerical and Experimental Frequency Analysis of Damaged Fiber-reinforced Metal Laminated Composite. ZAMM–J. Appl. Math. Mech./Z. Angew. Math. Mech. 2024, 104, e202400953. [Google Scholar] [CrossRef]
- Ergun, E.; Alkan, V. Assessment of Thermal Effects on the Free Vibration Characteristics of Composite Beams. Mater. Test. 2014, 56, 59–64. [Google Scholar] [CrossRef]
- Cai, Y.; Zhang, K.; Ye, Z.; Liu, C.; Lu, K.; Wang, L. Influence of Temperature on the Natural Vibration Characteristics of Simply Supported Reinforced Concrete Beam. Sensors 2021, 21, 4242. [Google Scholar] [CrossRef]
- Araki, W.; Uchiki, K.; Arai, Y.; Tanaka, M. Effects of Interface Stiffness and Delamination on Resonant Oscillations of Metal Laminates. NDT E Int. 2010, 43, 297–304. [Google Scholar] [CrossRef]
- Kirubakaran, R.; Kaliyamoorthy, R.; Munusamy, R.; Annamalai, B. Mechanical and Vibration Behavior of Surface-modified Titanium Sheet Interleaved with Woven Basalt/Flax Fiber Metal Laminates. Polym. Compos. 2023, 44, 8442–8453. [Google Scholar] [CrossRef]
- Das, P.; Sahu, S.K. Experimental and Numerical Free Vibration Analysis of Industry-Driven Woven Fiber Laminated Glass/Epoxy Composite Beams. Curr. Sci. 2022, 122, 1058–1065. [Google Scholar] [CrossRef]
- Pai, A.; Rodriguez-Millan, M.; Ming Tse, K.; Hegde, S.; R Kini, C.; Shenoy, S.B. Experimental and Computational Analysis of Hybrid Fiber Metal Laminates for Vibration Behavior in Marine Structural Applications. Sci. Rep. 2024, 14, 29911. [Google Scholar] [CrossRef] [PubMed]
- Pai, A.; Kini, C.R.; Hegde, S.; Satish Shenoy, B. Thin Fiber Metal Laminates Comprising Functionally Graded Ballistic-Grade Fabrics Subjected to Mechanical and Damping Characterization. Thin-Walled Struct. 2023, 185, 110628. [Google Scholar] [CrossRef]
- Pai, A.; Rodriguez-Millan, M.; Kini, C.R.; Mallya, R.; Bekal, C.; Yeshwant Nayak, S.; Shenoy, S.B. Fiber Metal Laminates for High Strain Rate Applications with Layerwise Shock Impedance Tuning. Sci. Rep. 2023, 13, 18474. [Google Scholar] [CrossRef]
- Ameri, B.; Moradi, M.; Talebitooti, R. Effect of Honeycomb Core on Free Vibration Analysis of Fiber Metal Laminate (FML) Beams Compared to Conventional Composites. Compos. Struct. 2021, 261, 113281. [Google Scholar] [CrossRef]
- Qin, Z.; Zhao, S.; Pang, X.; Safaei, B.; Chu, F. A Unified Solution for Vibration Analysis of Laminated Functionally Graded Shallow Shells Reinforced by Graphene with General Boundary Conditions. Int. J. Mech. Sci. 2020, 170, 105341. [Google Scholar] [CrossRef]
- Ghasemi, F.A.; Paknejad, R.; Fard, K.M. Effects of Geometrical and Material Parameters on Free Vibration Analysis of Fiber Metal Laminated Plates. Mech. Ind. 2013, 14, 229–238. [Google Scholar] [CrossRef]
- Maraş, S.; Yaman, M. Investigation of Dynamic Properties of GLARE and CARALL Hybrid Composites: Numerical and Experimental Results. Eng. Anal. Bound. Elem. 2023, 155, 484–499. [Google Scholar] [CrossRef]
- Mohandes, M.; Ghasemi, A.R.; Irani-Rahagi, M.; Torabi, K.; Taheri-Behrooz, F. Development of Beam Modal Function for Free Vibration Analysis of FML Circular Cylindrical Shells. J. Vib. Control 2018, 24, 3026–3035. [Google Scholar] [CrossRef]
- Ghasemi, A.R.; Mohandes, M. Free Vibration Analysis of Micro and Nano Fiber-Metal Laminates Circular Cylindrical Shells Based on Modified Couple Stress Theory. Mech. Adv. Mater. Struct. 2020, 27, 43–54. [Google Scholar] [CrossRef]
- Ghashochi-Bargh, H.; Sadr, M.H. PSO Algorithm for Fundamental Frequency Optimization of Fiber Metal Laminated Panels. Struct. Eng. Mech. 2013, 47, 713–727. [Google Scholar] [CrossRef]
- Ellouz, H.; Jrad, H.; Wali, M.; Dammak, F. Large Deflection Analysis of FGM/Magneto-Electro-Elastic Smart Shells with Porosities under Multi-Physics Loading. Mech. Adv. Mater. Struct. 2024, 31, 7299–7323. [Google Scholar] [CrossRef]
- Maraş, S.; Yaman, M. Free Vibration Analysis of Fiber-Metal Laminated Composite Plates Using Differential, Generalized and Harmonic Quadrature Methods: Experimental and Numerical Studies. Eng. Comput. 2022, 39, 2326–2349. [Google Scholar] [CrossRef]
- Lai, Z.; Li, Z.; Lin, B.; Tang, H. Free Vibration Analysis of Rotating Sandwich Beams with FG-CNTRC Face Sheets in Thermal Environments with General Boundary Conditions. Z. Naturforsch. A 2022, 77, 1153–1173. [Google Scholar] [CrossRef]
- Zhao, R.; Yu, K.; Hulbert, G.M.; Wu, Y.; Li, X. Piecewise Shear Deformation Theory and Finite Element Formulation for Vibration Analysis of Laminated Composite and Sandwich Plates in Thermal Environments. Compos. Struct. 2017, 160, 1060–1083. [Google Scholar] [CrossRef]
- Fang, G.; Wang, J.; Li, S.; Zhang, S. Dynamic Characteristics Analysis of Partial-Interaction Composite Continuous Beams. Steel Compos. Struct. 2016, 21, 195–216. [Google Scholar] [CrossRef]
- Kovács, R.; Ván, P. Generalized Heat Conduction in Heat Pulse Experiments. Int. J. Heat Mass Transf. 2015, 83, 613–620. [Google Scholar] [CrossRef]
- Simoncelli, M.; Marzari, N.; Cepellotti, A. Generalization of Fourier’s Law into Viscous Heat Equations. Phys. Rev. X 2020, 10, 11019. [Google Scholar] [CrossRef]
- Poudel, A.; Kim, S.; Cho, B.H.; Kim, J. Temperature Effects on the Natural Frequencies of Composite Girders. Appl. Sci. 2024, 14, 1175. [Google Scholar] [CrossRef]
- Xu, R.; Wu, Y.F. Two-Dimensional Analytical Solutions of Simply Supported Composite Beams with Interlayer Slips. Int. J. Solids Struct. 2007, 44, 165–175. [Google Scholar] [CrossRef]
- Chen, W.Q.; Lv, C.F.; Bian, Z.G. Elasticity Solution for Free Vibration of Laminated Beams. Compos. Struct. 2003, 62, 75–82. [Google Scholar] [CrossRef]
- Book Alavi, S.H.; Eipakchi, H. An Analytical Approach for Free Vibrations Analysis of Viscoelastic Circular and Annular Plates Using FSDT. Mech. Adv. Mater. Struct. 2020, 27, 250–264. [Google Scholar] [CrossRef]
- Gulshan, G.; Budak, H.; Hussain, R.; Sadiq, A. Generalization of the Bisection Method and Its Applications in Nonlinear Equations. Adv. Contin. Discret. Model. 2023, 2023, 18. [Google Scholar] [CrossRef]
- Afaghi Khatibi, A.; Kandare, E.; Feih, S.; Lattimer, B.Y.; Case, S.W.; Mouritz, A.P. Finite Element Modelling of Tensile Deformation and Failure of Aluminium Plate Exposed to Fire. Comput. Mater. Sci. 2014, 95, 242–249. [Google Scholar] [CrossRef]
- Abarcar, R.B.; Cunniff, P.F. The Vibration of Cantilever Beams of Fiber Reinforced Material. J. Compos. Mater. 1972, 6, 504–517. [Google Scholar] [CrossRef]
- Teboub, Y.; Hajela, P. Free Vibration of Generally Layered Composite Beams Using Symbolic Computations. Compos. Struct. 1995, 33, 123–134. [Google Scholar] [CrossRef]






| Parameter | CFRP | AA |
|---|---|---|
| ρ (kg/m3) | 1600 | 2770 |
| E1 (GPa) | 153 | 70 |
| E2 (GPa) | 10.3 | 70 |
| G12(GPa) | 6 | 26.3 |
| µ12 | 0.3 | 0.33 |
| k2 (W/m°C) | 0.8 | 121 |
| Solutions | 1st | 2nd | 3rd | 4th | 5th | |
|---|---|---|---|---|---|---|
| Present | N = 8 | 81.9828 | 505.660 | 1428.06 | 2785.90 | 4493.40 |
| N = 9 | 82.1605 | 512.533 | 1422.12 | 2756.61 | 4487.16 | |
| N = 11 | 82.1703 | 512.331 | 1422.71 | 2755.32 | 4487.15 | |
| N = 12 | 82.1701 | 512.320 | 1422.72 | 2755.34 | 4487.14 | |
| N = 14 | 82.1701 | 512.320 | 1422.73 | 2755.34 | 4487.14 | |
| N = 15 | 82.1700 | 512.32 | 1422.73 | 2755.34 | 4487.15 | |
| Experiment | 82.50 | 511.3 | 1423 | 2784 | 4365 | |
| FE | 82.25 | 512.8 | 1425 | 2860 | 4500 | |
| FSDT | 85.40 | 531.5 | 1472 | 2839 | / | |
Disclaimer/Publisher’s Note: The statements, opinions and data contained in all publications are solely those of the individual author(s) and contributor(s) and not of MDPI and/or the editor(s). MDPI and/or the editor(s) disclaim responsibility for any injury to people or property resulting from any ideas, methods, instructions or products referred to in the content. |
© 2025 by the authors. Licensee MDPI, Basel, Switzerland. This article is an open access article distributed under the terms and conditions of the Creative Commons Attribution (CC BY) license (https://creativecommons.org/licenses/by/4.0/).
Share and Cite
Pan, L.; Zhao, Y.; Xing, T.; Yuan, Y. Free Vibration of FML Beam Considering Temperature-Dependent Property and Interface Slip. Buildings 2025, 15, 3575. https://doi.org/10.3390/buildings15193575
Pan L, Zhao Y, Xing T, Yuan Y. Free Vibration of FML Beam Considering Temperature-Dependent Property and Interface Slip. Buildings. 2025; 15(19):3575. https://doi.org/10.3390/buildings15193575
Chicago/Turabian StylePan, Like, Yingxin Zhao, Tong Xing, and Yuan Yuan. 2025. "Free Vibration of FML Beam Considering Temperature-Dependent Property and Interface Slip" Buildings 15, no. 19: 3575. https://doi.org/10.3390/buildings15193575
APA StylePan, L., Zhao, Y., Xing, T., & Yuan, Y. (2025). Free Vibration of FML Beam Considering Temperature-Dependent Property and Interface Slip. Buildings, 15(19), 3575. https://doi.org/10.3390/buildings15193575

