Next Article in Journal
Design and Performance of High-RAP-Content Asphalt Mixture: A Case Study in Jianghe Expressway
Next Article in Special Issue
Automation and Genetic Algorithm Optimization for Seismic Modeling and Analysis of Tall RC Buildings
Previous Article in Journal
Mechanical Behavior of Geopolymers Containing Soil and Red Mud Stabilized by Alkali Activation
Previous Article in Special Issue
Probabilistic Safety Factor Assessment of Composite Pile Foundation Using Symmetrical FEM Reliability Method
 
 
Font Type:
Arial Georgia Verdana
Font Size:
Aa Aa Aa
Line Spacing:
Column Width:
Background:
Article

Seismic Damage Assessment of SRC Frame-RC Core Tube High-Rise Structure Under Long-Period Ground Motions

1
School of Architectural Engineering, Suqian University, Suqian 223800, China
2
Jiangsu Province Engineering Research Center of Prefabricated Building and Intelligent Construction, Suqian 223800, China
3
School of Civil Engineering, Xi’an University of Architecture & Technology, Xi’an 710055, China
4
Jiangsu Key Laboratory of Environmental Impact and Structural Safety in Engineering, China University of Mining and Technology, Xuzhou 221116, China
*
Author to whom correspondence should be addressed.
Buildings 2025, 15(17), 3106; https://doi.org/10.3390/buildings15173106
Submission received: 29 July 2025 / Revised: 21 August 2025 / Accepted: 27 August 2025 / Published: 29 August 2025
(This article belongs to the Special Issue Building Safety Assessment and Structural Analysis)

Abstract

To accurately assess the seismic damage of high-rise structures under long-period ground motions (LPGMs), a 36-story SRC frame-RC core tube high-rise structure was designed. Twelve groups of LPGMs and twelve groups of ordinary ground motions (OGMs) were selected and bidirectionally input into the structure. The spectral acceleration S90c considering the effect of higher-order modes was adopted as the intensity measure (IM) of ground motions, and the maximum inter-story drift angle θmax under bidirectional ground motions was taken as the engineering demand parameter (EDP). Structural Incremental Dynamic Analysis (IDA) was conducted, the structural vulnerability was investigated, and seismic vulnerability curves, damage state probability curves, vulnerability index curves, as well as the probabilities of exceeding performance levels and vulnerability index of the structure during 8-degree frequent, design, and rare earthquakes were obtained, respectively. The results indicate that structural damage is significantly aggravated under LPGMs, and the exceeding probabilities for all performance levels are greater than those under OGMs, failing to meet the seismic fortification target specified in the code. When encountering an 8-degree frequent earthquake, the structure is in a moderate or severe damage state under LPGMs and is basically intact or in a slight damage state under OGMs. When encountering an 8-degree design earthquake, the structure is in a severe damage or near-collapse state under LPGMs and is in a moderate damage state under OGMs. When encountering an 8-degree rare earthquake, the structure is in a near-collapse state under LPGMs and in a severe damage state under OGMs.

1. Introduction

Strong earthquakes of magnitude 6 or above can easily generate long-period ground motions (LPGMs), with the predominant period ranging from several seconds to over ten seconds in distant sedimentary basins or alluvial plains [1]. LPGMs are special seismic motions with an abundant low-frequency component, which can cause severe damage to high-rise structures and pin the connected or cantilever types of industrial facilities with long natural periods. In recent decades, severe damage to high-rise buildings induced by LPGMs has been observed during major earthquakes, such as the 2004 Kii peninsula earthquake (M7.3) [2], the 2008 Wenchuan earthquake (M8.0) [3], and the 2011 East Japan earthquake (M9.0) [4]. Computational results also indicate that most seismic response indicators of high-rise structures under LPGMs exceed those under OGMs [5,6,7,8,9,10]. Accurate assessment of seismic damage to high-rise structures under LPGMs has become a focal point of concern for scholars worldwide.
The seismic vulnerability analysis method based on Incremental Dynamic Analysis (IDA) is widely applied in structural damage assessment. Different seismic intensity measures (IMs) will result in different IDA curves, thereby affecting the accuracy of seismic damage assessment. Research conducted by our team shows that the peak ground acceleration (PGA) correlates well with the seismic response of short-period structures under LPGMs, while the fundamental-period spectral acceleration Sa(T1) correlates well with the seismic response of mid- to long-period structures and is more suitable as the IM for the IDA of high-rise structures [11]. Zhou et al. [12] also points out that Sa(T1) used for IDA of high-rise structures is more effective than PGA. For high-rise structures, to fully consider the effect of higher-order modes, IMs, such as S12 [12,13], S123 [12,13], Sa,avg [14], S ¯ a [15] and S90 [16], have been proposed. The analyses indicate that the more vibration modes considered, the better the effectiveness of the IMs. Scholars have conducted vulnerability studies on various types of high-rise structures, such as reinforced concrete frame structures [17,18], reinforced concrete frame–core tube structures [19], steel frame structures [20,21], steel frame–shear wall structures [22], steel frame-RC core tube structures [23], and SRC frame-RC core tube structure [24,25], quantitatively assessing the structural damage degree. However, most of the analysis results are based on OGMs, with few considering the influence of LPGMs. The vulnerability of a reinforced concrete frame–shear wall high-rise building under LPGMs has been explored by our team [11] but without considering the bidirectional input of LPGMs. Analysis of the spectral characteristics of LPGMs shows that the two horizontal ground motions obtained from the same station may both be LPGMs, and the seismic response of high-rise structures under bidirectional ground motions is significantly different from that under unidirectional ground motions [8]. Therefore, the vulnerability analysis and seismic damage assessment of high-rise structures under bidirectional LPGMs need to be carried out urgently.
In view of this, twelve groups of LPGMs and twelve groups of OGMs were selected and bidirectionally input into an SRC frame-RC core tube high-rise structure. The spectral acceleration S90c considering the effect of higher-order modes and bidirectional ground motion input was adopted as the IM, and the maximum inter-story drift angle θmax under bidirectional ground motions was taken as the engineering demand parameter. Then, the IDA of the high-rise structure was conducted. Subsequently, the seismic vulnerability of the high-rise structure was assessed. Finally, the seismic damage degree of the high-rise structure was comparatively assessed based on the probabilities of exceeding performance levels and vulnerability index under LPGMs and OGMs at 8-degree seismic levels.

2. Design of High-Rise Structure and Selection of Ground Motions

2.1. High-Rise Structure Design

In accordance with current Chinese structural design codes, a 36-story SRC frame-RC core tube high-rise structure was designed with a story height of 4.0 m. Figure 1 shows the standard floor plan of the structure. The seismic fortification intensity is 8 degrees (0.2 g), the design earthquake group is class three, and the site category is Class II. The dead load on the floors and roof is 5.0 kN/m2 and 6.0 kN/m2, respectively, and the live load on the floors and roof is 2.0 kN/m2. The basic wind pressure is 0.5 kN/m2, and the ground roughness is Class C. For SRC columns and RC core tube walls, the concrete strength grades are C60 (1–12 floors), C50 (13–24 floors), and C40 (25–36 floors), respectively. For the beams and slabs, the concrete strength grade is C30. The steel sections are of Q345 grade, and the reinforcing bars are of HRB400 grade. The thickness of slabs is 120 mm, and the cross-sectional dimensions and reinforcement details of the RC beams, SRC columns, and shear walls are detailed in Reference [26].
The structure was modeled and analyzed by using the nonlinear analysis software Perform-3D (Version 7), with the modeling principles outlined in Reference [26]. To verify the reliability of the structural model, the vibration period, mass and seismic response of the structure were calculated in Perform-3D and YJK (Version 4.0), and a comparative analysis was conducted. The vibration period, mode characteristics and structural mass corresponding to the first six-order modes of the structure are listed in Table 1. It can be seen that the vibration periods of each order obtained by Perform-3D are close to those of YJK, with a maximum difference of no more than 4.0%. The mode characteristics of each order are the same as that of YJK, and the mass of the structure only differs by 0.19%, indicating good consistency between the modal characteristics and the total mass of the structure.
The ground motion NBI000 from the 1994 Northridge earthquake, whose peak acceleration was adjusted to 400 gal, was selected and input into the structure for elastic–plastic time–history analysis. The calculated seismic response is listed in Table 2. It can be seen that the maximum inter-story drift angle, the maximum displacement of the top floor, and the base shear force obtained by Perform-3D modeling are all relatively close to those of YJK, with differences of 5.63%, 11.51%, and 10.13%, respectively. The positions of the weak floors are roughly the same, indicating that the elastic–plastic properties of the structure are also highly comparable.
Therefore, the finite element model established by using Perform-3D software is reliable.

2.2. Ground Motion Selection

Appropriate ground motions are selected based on principles such as similar or close site categories and matching the elastic acceleration response spectrum with the design response spectrum specified in seismic code in certain frequency bands. However, since the current design response spectrum cannot adequately consider the impact of LPGMs, it is inappropriate to select LPGMs with the design response spectrum as the matching target [27]. Based on the calculation results of the response spectrum of LPGMs, scholars have fitted the response spectrum that can reflect the characteristics of LPGMs (hereinafter referred to as “fitted response spectrum”) [28,29]. In this study, the fitted response spectrum proposed in Reference [29] is used to select LPGMs.
Firstly, LPGMs were selected. When the weighted average value βl of the amplification coefficient spectrum curve of ground motions in the range of 2–10 s is greater than or equal to 0.4, the ground motions can be regarded as LPGMs [30]. Research shows that based on the average shear-wave velocity of soil layers as the measurement basis, the Class II site classified according to the “Code for seismic design of buildings” [31] in China corresponds to the Class C site classified according to the NEHRP code in the United States [32]. Therefore, the selection principle for LPGMs was as follows: magnitude ≥ 6, βl ≥ 0.4, epicentral distance ≥ 200 km, and the site category is Class II or Class C.
Secondly, the PGA of each selected ground motion was uniformly adjusted to 70 gal, and its elastic acceleration response spectrum was calculated. The fitted response spectrum was determined based on the response spectrum and spectral parameters of LPGMs proposed in Reference [29]. Finally, appropriate LPGMs were selected by ensuring that the average acceleration response spectrum values in the [0.1, Tg] segment (Tg is site characteristic period) and the acceleration response spectrum value in the fundamental period T1 do not deviate by more than 20% from the corresponding values in the fitted response spectrum. To comparatively analyze the differences in the seismic damage to the high-rise structure, OGMs were also selected following the same procedure but using the design response spectrum as the matching target.
For high-rise structures, selecting 10 to 20 ground motions for IDA can provide a relatively accurate assessment of seismic demand [33]. Therefore, twelve groups of LPGMs and twelve groups of OGMs were selected following the aforementioned method and input bidirectionally. During ground motion input, for each group, one ground motion with the closest acceleration response spectrum value in the fundamental period T1 to the fitted or design response spectrum was selected and input along the Y-axis of the structure, and the other ground motion was selected and input along the X-axis of the structure. Based on the provisions of “Code for seismic design of buildings”, the peak acceleration of the input ground motions is adjusted according to PGAy/PGAx = 1:0.85. Basic information and the input direction of the selected ground motions are presented in Table 3.
Figure 2 presents the average acceleration amplification coefficient β spectra of the selected ground motions. The peak values of β spectra of two types of ground motions generally exhibit little difference, but the prominent period of the β spectrum of LPGMs significantly increases, reaching 1.44 s. After the prominent period, as the vibration period of the structure increases, the β spectrum value of OGMs decays rapidly, while the β spectrum value of LPGMs decays relatively slowly and is greater than that of OGMs. Among them, the β spectrum values in the fundamental period T1 and the second period T2 are 4.7-times and 4.0-times those of OGMs, respectively. The spectral characteristics of ground motions are the main reason for the significant differences in the seismic responses of high-rise structures under two types of ground motions [26].

3. Selection of Ground Motion Intensity Measure and Engineering Demand Parameter

3.1. Intensity Measure (IM)

The spectral acceleration Sa exhibits good correlation with the seismic response of long-period structures under LPGMs and is suitable to be used as IM for IDA of high-rise structures. Research indicates that only when the modal participation mass coefficient reaches over 90% can its contribution to the seismic response of high-rise structures be better considered [16]. Therefore, to take into account the influences of higher-order mode participation and bidirectional ground motion input, the spectral acceleration S90c is defined as IM for IDA and is calculated according to Equation (1):
S 90 c = ( [ S a ( T 1 y ) ] α 1 . [ S a ( T 2 y ) ] α 2 [ S a ( T n y ) ] α n ) 2 + ( [ S a ( T 1 x ) ] β 1 . [ S a ( T 2 x ) ] β 2 [ S a ( T n x ) ] β n ) 2
where T1y, T2y, ⋯, Tny are the first n-order natural periods of the structure in the Y direction; Sa(T1y), Sa(T2y), ⋯, Sa(Tny) are the spectral acceleration values corresponding to the T1y, T2y, ⋯, Tny, respectively; T1x, T2x, ⋯, Tnx are the first n-order natural periods of the structure in the X direction; Sa(T1x), Sa(T2x), ⋯, Sa(Tnx) are the spectral acceleration values corresponding to the T1x, T2x, ⋯, Tnx, respectively; α1, α2, ⋯, αn are the modal participation mass coefficient ratios of the first n-order modes in the Y direction, calculated as α1 = m1y/(m1y + m2y + … +mny), α2 = m2y/(m1y + m2y + … + mny), ⋯, αn = mny/(m1y + m2y + … + mny), where m1y, m2y,⋯, mny are the modal participation mass coefficients of the first n-order modes in the Y direction, respectively; β1, β2, ⋯, βn are the modal participation mass coefficient ratios of the first n-order modes in the X direction, calculated as β1 = m1x/(m1x + m2x + … + mnx), β2 = m2x/(m1x + m2x + … + mnx), ⋯, βn = mnx/(m1x + m2x + … + mnx), where m1x, m2x, ⋯, mnx are the modal participation mass coefficients of the first n-order modes in the X direction, respectively; n is the number of modes when the sum of the modal participation mass coefficients is greater than or equal to 90%.
The dynamic characteristics of the high-rise structure in this study were analyzed using Perform-3D, the natural period and modal participation mass coefficients of each mode of the structure were obtained, and the modal participation mass coefficient ratios αi and βi are listed in Table 4. Analysis reveals that the sum of the modal participation mass coefficients of the first three-order modes in the Y and X directions of the structure is greater than 90%. By substituting the ratios of the mode participation mass coefficients into Equation (1), S90c is obtained:
S 90 c = ( [ S a ( T 1 y ) ] 0.694 . [ S a ( T 2 y ) ] 0.207 . [ S a ( T 3 y ) ] 0.099 ) 2 + ( [ S a ( T 1 x ) ] 0.756 . [ S a ( T 2 x ) ] 0.186 . [ S a ( T 3 x ) ] 0.058 ) 2

3.2. Engineering Demand Parameter (EDP)

The selected EDP should be capable of characterizing the seismic response and damage degree of the structure and being directly extracted or derived from the results of time–history analysis. The maximum inter-story drift angle θmax can effectively reflect the structural damage degree and collapse capacity and is commonly used as the EDP for IDA. Considering the seismic response in two axial directions, θmax under bidirectional ground motions is defined as:
θ max = max i ( 0 , N ) max t ( 0 , T 90 ) θ i x 2 ( t ) + θ i y 2 ( t )
where θix(t) and θiy(t) represent the time histories of inter-story drift angles in X and Y directions of the i-th floor, respectively; N denotes the total number of floors; T90 is the energy duration of ground motions, defined as the difference in the times corresponding to 95% and 5% of cumulative total energy on the Hilbert time-domain cumulative energy spectrum curve. Research shows that θmax can more effectively reduce the dispersion in structural IDA results under bidirectional ground motions, thereby improving the accuracy of the structural damage assessment [34]. Therefore, the θmax of the high-rise structure under bidirectional ground motions is adopted as the EDP for IDA in this study.
In seismic vulnerability analysis, it is essential to pre-define the limit states between different damage levels of the structure, which are referred to as performance levels in performance-based seismic design. The performance levels of the structure are divided into four grades: normal usability/LS1, basic usability/LS2, repairable usability/LS3, and life safety/LS4. Based on the research findings of SRC frame-RC core tube high-rise structures [24,25], the limit values of the θmax for each performance level are presented in Table 5.

4. Seismic Vulnerability Analysis and Damage Assessment of SRC Frame-RC Core Tube High-Rise Structure Under LPGMs

4.1. IDA of the Structure

To analyze the seismic vulnerability of the SRC frame-RC core tube high-rise structure, the IDA of the structure was first conducted with bidirectional ground motions input. For each group, the PGAy of the selected ground motion along the structural Y-axis is sequentially scaled to 0.02 g, 0.07 g, 0.1 g, 0.2 g, 0.3 g, …, 1.0 g, 1.2 g, 1.4 g, 1.6 g, …, while maintaining the ratio of PGAy/PGAx = 1:0.85 constant. The elastic or elastic–plastic time–history analysis of the structure was conducted one by one, and the scaling and calculation were terminated when the slope between two adjacent performance points was less than 0.2Ke or the θmax exceeded 0.1. The PGAyi was converted into corresponding S90ci. Taking θmax as the seismic response indicator, a series of performance points (θmaxi, S90ci) were obtained, and connecting these performance points forms a single IDA curve. By varying the ground motions and repeating the above procedure, additional IDA curves were obtained. Finally, the IDA curve clusters of the structure under LPGMs and OGMs were obtained, as shown in Figure 3.

4.2. Structural Damage Assessment Based on Seismic Vulnerability Curves

The structural seismic vulnerability is the conditional probability P(LS|IM) that the EDP reaches or exceeds the quantitative limit value corresponding to a certain performance level under ground motions of different intensities [34], which is usually represented by a seismic vulnerability curve, that is, the relationship curve between IM and exceeding probability P(LS|IM).
Assuming that the limit value of EDP corresponding to the performance level LSi is edpi, the conditional probability P ( LS i | IM = i m ) can be expressed as:
P ( LS i | IM = i m ) = P ( EDP e d p i | IM = i m )
Assuming that P ( EDP e d p i | IM = i m ) follows a logarithmic standard normal distribution, that is:
P ( EDP e d p i | IM = i m ) = 1 P ( EDP < e d p i | IM = i m ) = 1 Φ ln e d p i μ ln EDP | IM = i m σ ln EDP | IM = i m
where μlnEDP|IM = im and σlnEDP|IM = im are the logarithmic mean and logarithmic standard deviation of EDP given IM = im, respectively, and Φ(x) is the standard normal distribution function.
Based on the IDA results of the structure under LPGMs and OGMs in Section 4.1, the conditional probability P(LSi) that the θmax exceeds each performance level LSi was calculated according to Equation (5). Taking S90c as the horizontal axis and P(LSi|S90c) as the vertical axis, the seismic vulnerability curve of the structure, that is, the exceeding probability curve of each performance level, was drawn.
The calculation process of the vulnerability curve of the basic usability performance level was illustrated as an example. Firstly, according to the structural IDA results, the corresponding θmax under the same S90c for each group of ground motions was obtained, and the μlnθmax and σlnθmax of θmax were calculated. Secondly, μlnθmax, σlnθmax, and the limit value of θmax for a basic usability performance level of 1/400 were substituted into Equation (5) to calculate the exceeding probability as:
P ( θ max 1 / 400 | S 90 c ) = 1 P ( θ max < 1 / 400 | S 90 c ) = 1 Φ ln ( 1 / 400 ) μ ln θ max | S 90 c σ ln θ max | S 90 c
Finally, taking S90c as the horizontal axis and P(θmax ≥ 1/400|S90c) as the vertical axis, the seismic vulnerability curve of the basic usability performance level for the structure was drawn.
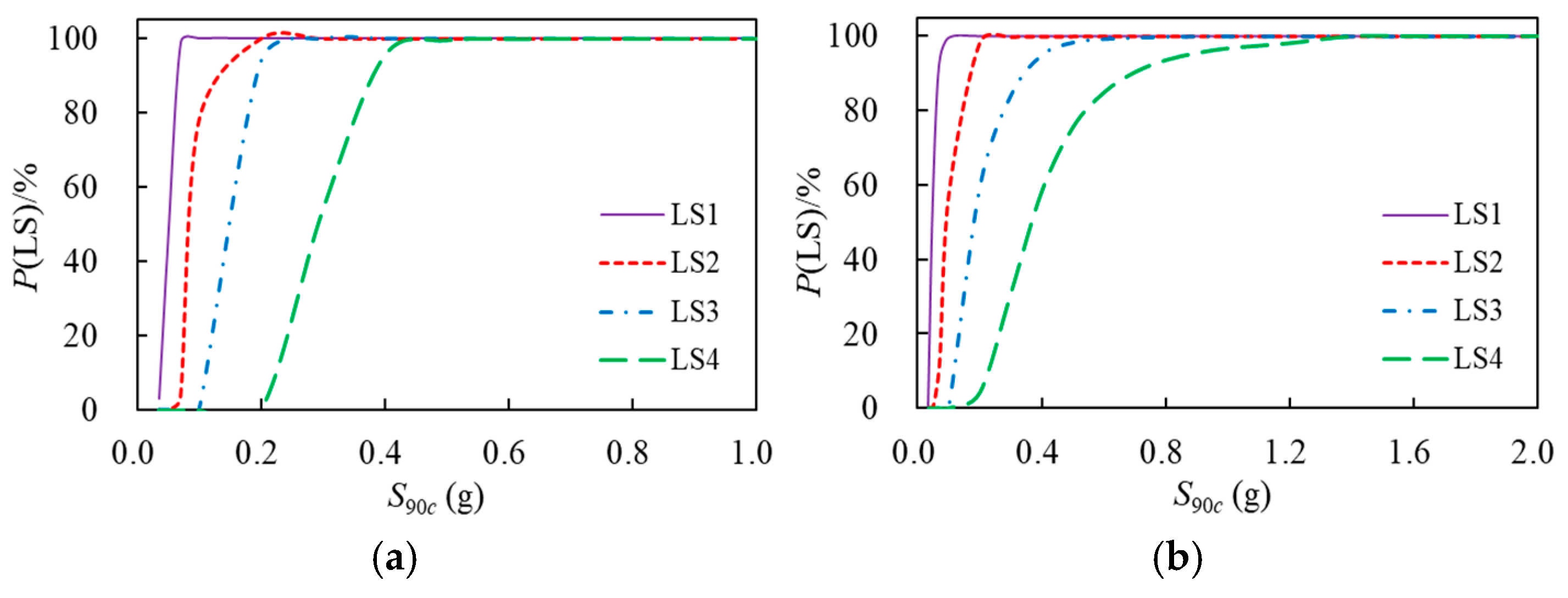
Figure 4 represents the seismic vulnerability curves of the structure under LPGMs and OGMs. As observed from Figure 4, the vulnerability curve of the normal usability performance level LS1 is the steepest, indicating that maintaining normal performance levels without structural damage during earthquakes is challenging; that is, it is relatively easy for the structure to exceed the limit of the elastic inter-story drift angle and enter the plastic state. As S90c increases, the structural damage gradually accumulates, and the vulnerability curves of the basic usability performance level LS2, repairable usability performance level LS3, and life safety performance level LS4 gradually become flatter, indicating that the exceeding probability of the above performance levels under the ground motions of the same intensity continuously decreases, and the range of ground motion intensity changes required increases. This is because the ductility of the structure entering the elastic–plastic stage gradually comes into play, thereby enhancing seismic resistance.
To further evaluate the differences in structural seismic damage under LPGMs and OGMs, the seismic vulnerability curves of each performance level of the structure under two types of ground motions were compared, as shown in Figure 5. The vulnerability curves of the normal usability performance level LS1 of the structure are basically coincident, indicating that the probability of exceeding the normal usability performance level under LPGMs and OGMs with the same intensity S90c is similar, and the influence of ground motion type is relatively minimal. However, the differences in the vulnerability curves of the basic usability performance level LS2 and the repairable usability performance level LS3 of the structure gradually increase. The conditional probabilities of exceeding the above performance levels under LPGMs with the same intensity S90c are generally larger than those under OGMs, especially for life safety performance level LS4, indicating that it is much more difficult to control the structural damage at the life safety performance level under LPGMs than under OGMs.
The high-rise structure in this study was located in an area with a seismic fortification intensity of 8 degrees (0.2 g). Based on Figure 4, the exceeding probabilities of the performance levels of the structure under LPGMs and OGMs at 8-degree seismic levels were calculated, thereby assessing the seismic damage of the structure. The S90c of each group of ground motions under the 8-degree frequent earthquake, design earthquake, and rare earthquake was calculated using the “average value method” [34], and then the average value of S90c was used to calculate the exceeding probabilities of each performance level. The results are listed in Table 6 and Table 7. Specific analyses are as follows:
  • During an 8-degree frequent earthquake, under LPGMs, the structure reaches normal usability performance level LS1; the exceeding probability of the basic usability performance level LS2 is 94.08%, indicating it is very difficult to maintain a basic usability performance level. However, the exceeding probability of life safety performance level LS4 is very low, only 5.19%. Under OGMs, the probability of reaching normal usability performance level LS1 is significantly reduced to 51.42%, and the exceeding probabilities of basic usability LS2, repairable usability LS3, and life safety LS4 performance levels are nearly zero.
  • During an 8-degree design earthquake, under LPGMs, the structure definitely reaches the performance levels of normal usability LS1, basic usability LS2, and repairable usability LS3, and the probability of reaching life safety performance level LS4 is 97.25%. Under OGMs, the probabilities of reaching the performance levels of basic usability LS2 and repairable usability LS3 are greatly reduced to 69.68% and 23.56%, respectively; the possibility of continued use after repair is relatively large, and the probability of reaching the life safety performance level LS4 drops further to 4.88%.
  • During an 8-degree rare earthquake, under LPGMs, the structure definitely exceeds all performance levels. Under OGMs, although the structure is also basically determined to exceed the performance levels of normal usability LS1 and basic usability LS2, the probability of reaching the life safety state and subsequent collapse is less than that under LPGMs, only 33.45%.

4.3. Structural Damage Assessment Based on Vulnerability Index

Although seismic vulnerability curves can evaluate structural damage under ground motions of different intensities, the damage assessment results are expressed as conditional probabilities of exceeding various performance levels, which are not intuitive and difficult to be widely accepted by engineering personnel [35]. Therefore, it is more appropriate to adopt a single quantitative value to assess structural damage performance. To address this issue, the “vulnerability index” is used to further assess the seismic damage of a high-rise structure under LPGMs.
The damage states of the high-rise structure are classified into five grades based on the four defined performance levels: basically intact, slight damage, moderate damage, severe damage, and near collapse. According to the vulnerability curves of each performance level, the differences in the exceeding probabilities between two adjacent performance levels are calculated sequentially to obtain the probabilities of the structure being in different damage states, denoted as P(DSi|S90c), which can be expressed using the following formula:
P ( DS i | S 90 c ) = 1 P ( LS 1 | S 90 c ) P ( LS i 1 | S 90 c ) P ( LS i | S 90 c ) P ( LS 4 | S 90 c ) i = 1 i = 2 , 3 , 4 i = 5
where DSi (i = 1, 2, 3, 4, 5) represents the five damage states of basically intact, slight damage, moderate damage, severe damage, and near collapse, respectively.
The probabilities of damage states of the high-rise structure under LPGMs and OGMs were calculated based on Equation (7), and the probability curves of the damage states of the structure were plotted taking S90c as the horizontal axis and P(DSi|S90c) as the vertical axis, as shown in Figure 6. It can be observed that under two types of ground motions, as S90c increases, the probability of remaining basically intact decreases rapidly, while the probability of being in a near-collapse state gradually increases. Meanwhile, the probabilities of being in slight damage, moderate damage, and severe damage states first increase and then decrease, reaching the peak exceeding probability at S90c of 0.07 g, 0.1 g, and 0.2 g, respectively. In addition, the probability of different damage states varies across different seismic intensities.
The vulnerability index (VI), drawing on the concept of the average damage index in the seismic damage assessment of group structures and combining the probabilities of damage states of the structures, is defined as the mathematical expectation of DI, calculated by multiplying the probability of each damage state by the corresponding DI and then summing the results [35]. The mathematical expression is as follows:
VI = i = 1 5 DF i × P ( DS i | S 90 c )
where DFi (i = 1, 2, 3, 4, 5) is the damage index corresponding to the five damage states of basically intact, slight damage, moderate damage, severe damage, and near collapse, respectively, as listed in Table 8.
By substituting the probabilities of damage states of the high-rise structure under LPGMs and OGMs, along with the damage index limit values from Table 8, into Equation (8), the lower-limit values, average values, and upper-limit values of the vulnerability index of the structure under the two types of ground motions were obtained. Taking S90c as the horizontal axis and the vulnerability index as the vertical axis, the corresponding vulnerability index curves were plotted, as shown in Figure 7. Furthermore, the vulnerability index curves were compared, as shown in Figure 8. The vulnerability index curves provide the interval range of vulnerability index of the structure under ground motions of different intensities. For any given ground motion intensity, the corresponding vulnerability index can be calculated and compared with the damage index in Table 8 to determine the damage state grade and seismic damage of the structure.
From Figure 7 to Figure 8, it can be observed that as S90c increases, the vulnerability index of the structure increases rapidly, which ceases to increase at approximately 0.4 g and 0.5 g under LPGMs and OGMs, respectively. Within the range of ground motion intensity, the structure sequentially experiences basically intact, slight damage, moderate damage, severe damage, and ultimately overall instability, leading to collapse. The vulnerability index of the structure under LPGMs is generally greater than that under OGMs, indicating that LPGMs cause more severe damage to the structure. This is because, compared to OGMs, the pronounced low-frequency characteristics of LPGMs significantly amplify the internal forces, deformations, and energy responses of the high-rise structure [26], leading to more severe damage and failure.
To more comprehensively assess the structural damage and whether the expected seismic fortification target can be achieved, the vulnerability index of the structure under two types of ground motions during an 8-degree frequent earthquake, design earthquake, and rare earthquake was calculated. The results are detailed in Table 9.
Based on the damage index in Table 8 and the vulnerability index in Table 9, the following judgements can be made:
  • When subjected to an 8-degree frequent earthquake, the structure is in a moderate damage or severe damage state under LPGMs, while the structure is basically intact or the damage is controlled at a slight damage level under OGMs, with the basic functions unaffected and normal operation resumable after minor repairs.
  • When subjected to an 8-degree design earthquake, the structure enters the severe damage or near-collapse state under LPGMs, endangering human life, while the structural damage under OGMs is controlled at a moderate damage level, and the structure remains stable, which can still be used after appropriate repairs or reinforcement.
  • When subjected to an 8-degree rare earthquake, the structure is in the near-collapse state under LPGMs, while the structure suffers severe damage and is in a relatively dangerous state but will not collapse under OGMs.
The above analysis results indicate that under OGMs, the SRC frame-RC core tube high-rise structure can meet the seismic fortification target of “no damage in minor earthquake, repairable damage in moderate earthquake, and no collapse in major earthquake”. However, the structural seismic damage under major earthquakes is very severe, and the structure can only continue to be used after extensive risk elimination and major repairs. Under LPGMs, the damage degree of the structure is significantly aggravated. The structure suffers moderate or even severe damage under frequent earthquakes and is in the near-collapse state under the design earthquake and rare earthquake, failing to meet the seismic design objectives required by the codes. This also indicates that the current Chinese design codes cannot fully consider the impact of LPGMs on the seismic performance of SRC frame-RC core tube high-rise structures and still need to be further improved.
Research shows that significant differences in seismic damage assessment results of structures can arise from the selection of different calculation methods for the probabilities of damage states and damage index [36]. Therefore, to reliably evaluate the seismic damage of high-rise structures, it is necessary to adopt appropriate methods that account for the uncertainties of the calculation methods for the probability of damage states and the damage index.

5. Conclusions

Twelve groups of LPGMs and twelve groups of OGMs were selected and bidirectionally input into the SRC frame-RC core tube high-rise structure for seismic vulnerability analysis according to the IDA results. Based on the exceeding probabilities of performance levels and vulnerability index of the high-rise structure, the structural damage degree under an 8-degree frequent, design and rare earthquake was evaluated, and the following conclusions were obtained:
  • When subjected to an 8-degree frequent earthquake, the structure reaches the normal usability performance level and it is difficult to maintain the basic usability performance level under LPGMs, while the probability of reaching the normal usability performance level under OGMs is significantly reduced and cannot reach the basic usability performance level. When subjected to an 8-degree design earthquake, the structure almost certainly reaches all performance levels under LPGMs, while the probabilities of reaching the performance levels of basic usability, repairable usability, and life safety under OGMs decrease to 69.68%, 23.56%, and 4.88%, respectively. When subjected to an 8-degree rare earthquake, the structure definitely exceeds all performance levels under LPGMs, while the probability of reaching the life safety performance level under OGMs is only 33.45%.
  • When subjected to an 8-degree frequent earthquake, the structure is in the moderate damage or severe damage state under LPGMs, while it is basically intact or in the slight damage state under OGMs. When subjected to an 8-degree design earthquake, the structure is in the severe damage or near-collapse state under LPGMs, while it is in the moderate damage state under OGMs. When subjected to an 8-degree rare earthquake, the structure is in the near-collapse state under LPGMs, while it is in the severe damage state under OGMs.
  • Under LPGMs, the damage degree of the SRC frame-RC core tube high-rise structure designed in accordance with the Chinese codes is significantly aggravated, failing to meet the seismic fortification target of “no damage in minor earthquake, repairable damage in moderate earthquake, and no collapse in major earthquake”.

Author Contributions

Conceptualization, L.J. and G.B.; Methodology, G.B. and F.L.; Software, L.G.; Validation, L.G.; Formal analysis, L.J.; Investigation, L.J.; Data curation, L.J.; Writing—original draft, L.J.; Writing—review & editing, G.B. and F.L.; Project administration, L.J.; Funding acquisition, L.J. and L.G. All authors have read and agreed to the published version of the manuscript.

Funding

The research was funded by the Youth Project of the Natural Science Foundation of Jiangsu Province (BK20241099), the Natural Science Foundation of the Jiangsu Higher Education Institutions of China (23KJB410002), and the Youth Project of Suqian Science and Technology Plan (K202418).

Data Availability Statement

The data presented in this study are available on request from the corresponding author and some of the data will be used subsequently for analyzing other research questions.

Acknowledgments

This article especially acknowledges the contributions of all the authors in the conception, data collection and analysis, and the writing process of this article.

Conflicts of Interest

The authors declare no conflicts of interest.

References

  1. Tan, Q.; Li, Y.M.; Xiang, Y.M.; Luo, W.W.; Bu, C.M.; Wang, L.P. Study on characteristics of far-field long period ground motion. Earthq. Eng. Eng. Dyn. 2019, 39, 177–188. [Google Scholar]
  2. Hiroe, M.; Kazuki, K. Long-period ground motions from a large offshore earthquake: The case of the 2004 off the Kii peninsula earthquake, Japan. Earth Planets Space 2005, 3, 203–207. [Google Scholar]
  3. Yang, W.L.; Zhu, S.C.; Hong, H.C.; Tao, X.S.; Tang, Z.L. Characteristics of far-field ground motion of wenchuan earthquake and the effect on long-periodic structures. J. Disaster Prev. Mitig. Eng. 2009, 29, 473–478. [Google Scholar]
  4. Zhou, F.L.; Cui, H.L.; Shigetaka, A.; Lv, X.L.; Sun, Y.P.; Li, Z.B.; Li, A.Q.; Feng, D.M.; Li, Y.M.; Xue, S.T.; et al. Inspection report of the disaster of the East Japan earthquake by Sino-Japanese joint mission. Build. Struct. 2012, 42, 1–20. [Google Scholar]
  5. Chung, Y.L.; Takuya, N.; Tomohiro, M. Seismic resistance capacity of beam & column connections in high-rise buildings: E-defense shaking table test. Earthq. Eng. Struct. Dyn. 2011, 40, 605–622. [Google Scholar]
  6. Chen, Q.J.; Yuan, W.Z.; Li, Y.C. Dynamic response characteristics of super high-rise buildings subjected to long period ground motion. J. Cent. South Univ. 2013, 20, 1341–1353. [Google Scholar] [CrossRef]
  7. Ji, S.Y.; Liu, S.Y.; Li, Y.M. Response characteristics of super high-rise building subjected to far-field long-period ground motion. J. Build. Struct. 2018, 39, 1–10. [Google Scholar]
  8. Cheng, Y.; Bai, G.L.; Dong, Y.R. Spectrum characterization of two types of long-period ground motions and seismic behavior of frame-core wall structures under multi-dimensional earthquake records. Struct. Des. Tall Spec. Build. 2018, 27, e1539. [Google Scholar] [CrossRef]
  9. Liu, C.D.; Fang, D.J. Separation of long-period components of ground motion and its impact on seismic response of long-period diagrid structures. Soil Dyn. Earthq. Eng. 2021, 150, 106942. [Google Scholar] [CrossRef]
  10. Zhang, Z.H.; Li, Q.S. Seismic responses of super high-rise buildings under long-period ground motions. Eng. Struct. 2023, 294, 116824. [Google Scholar] [CrossRef]
  11. Wang, S.Z. Seismic Fragility Analysis for Frame-Shear Wall High-Rise Structure Based on IDA Under Long-Period Ground Motions. Master’s Thesis, Xi’an University of Architecture & Technology, Xi’an, China, 2018. [Google Scholar]
  12. Zhou, Y.; Su, N.F.; Lu, X.L. Study on intensity measure of incremental dynamic analysis for high-rise structures. J. Build. Struct. 2013, 34, 53–60. [Google Scholar]
  13. Su, N.F.; Lu, X.L.; Zhou, Y.; Yang, T.Y. Estimating the peak structural response of high-rise structures using spectral value-based intensity measuress. Struct. Des. Tall Spec. Build. 2017, 27, e1356. [Google Scholar] [CrossRef]
  14. Bojouez, E.; Iervolino, I. A Spectral Shape-Based Scalar Ground Motion Intensity Measure for Maximum and Cumulative Structural Demands. In Proceedings of the 14th European Conference on Earthquake Engineering, Ohrid, Republic of Macedonia, 30 August–3 September 2010. [Google Scholar]
  15. Lu, X.; Lu, X.Z.; Ye, L.P.; Li, M.K. Development of an improved ground motion intensity measure for super high-rise buildings. J. Build. Struct. 2014, 35, 15–21. [Google Scholar]
  16. Tan, Q. Study on long-period ground motion input and seismic response characteristics for super high-rise building structures. Ph.D. Thesis, Chongqing University, Chongqing, China, 2017. [Google Scholar]
  17. Wu, Q.Y.; Zhu, H.P.; Fan, J. Performance-based seismic fragility analysis of RC frame structures. Eng. Mech. 2012, 29, 117–124. [Google Scholar]
  18. Radman Ahmed, A.A.; Lu, L.; Li, B.; Bi, W.; Al-Dhubai, F.M.A. Seismic Vulnerability Assessment of Residential RC Buildings in Yemen Using Incremental Dynamic Analysis (IDA). Buildings 2025, 15, 1336. [Google Scholar] [CrossRef]
  19. Zheng, S.S.; Zhang, Y.X.; Qin, Q.; Yang, W.; Gan, C.L.; Zuo, Y. Seismic fragility of RC frame-core wall structures. J. Vib. Shock. 2016, 35, 106–113. [Google Scholar]
  20. Qiao, Y.L.; Wang, Z.F. Effect of viscous damper on seismic vulnerability of high-rise steel structures. Earthq. Eng. Eng. Dyn. 2020, 40, 205–212. [Google Scholar]
  21. Tsoumani, P.; Petridis, C.; Pitilakis, D. Seismic fragility of low-rise steel frames including SSI and site amplification effects. Soil Dyn. Earthq. Eng. 2025, 190, 109181. [Google Scholar] [CrossRef]
  22. Ma, K.Z.; Wang, Y.P.; Zhang, S.L. Seismic fragility of steel frame-concrete shear wall structure based on the incremental dynamic analysis method. Sci. Technol. Eng. 2019, 19, 339–344. [Google Scholar]
  23. Zhang, L.X.; Xu, Z.Y.; Liu, J.P.; Zhang, M.Y. Seismic vulnerability analysis of super high-rise hybrid structures based on incremental dynamic analysis. J. Build. Struct. 2016, 37, 19–25. [Google Scholar]
  24. Lu, X.L.; Su, N.F.; Zhou, Y. IDA-based seismic fragility analysis of a complex high-rise structure. Earthq. Eng. Eng. Dyn. 2012, 32, 19–25. [Google Scholar]
  25. Wang, P.; Shi, Q.X.; Wang, F.; Guo, X.X. Damage assessment of an SRC frame-core tube structure under the action of a main aftershock sequence. Adv. Civ. Eng. 2020, 2020, 1308530. [Google Scholar] [CrossRef]
  26. Jiang, L.J. Research on Damage Performance of SRC Frame-RC Core Tube Super High-Rise Hybrid Structure Under Long-Period Ground Motions. Ph.D. Thesis, Xi’an University of Architecture & Technology, Xi’an, China, 2020. [Google Scholar]
  27. Wang, B.; Liu, B.Q.; Wu, T.; Bai, G.L. Analysis of low-frequency pulse characteristics and response spectrum for long-period ground motions. Earthq. Eng. Eng. Dyn. 2018, 38, 142–151. [Google Scholar]
  28. Zhou, J.; Fang, X.D.; Jiang, Y. Characteristic periods of response spectrum for far-field long-period seismic ground motions. J. Build. Struct. 2015, 36, 1–12. [Google Scholar]
  29. Zhang, L.Q.; Yu, J.J. Study on the fitting of the long-period ground motion acceleration response spectrum based on genetic algorithm. J. Nat. Disasters 2019, 28, 17–27. [Google Scholar]
  30. Li, X.H.; Wang, W.K.; Wu, D.; Xu, X.L.; Li, Z.J.; Li, Y.X. The bounded method and characteristics analysis for long-period ground motions. J. Vib. Eng. 2014, 27, 685–692. [Google Scholar]
  31. GB50011-2010(2016); Code for Seismic Design of Buildings. Ministry of Housing and Urban–Rural Development of the People’s Republic of China: Beijing, China, 2016.
  32. Cheng, Y. Study on Spectrum Characterization of Long-Period Ground Motions and Seismic Performance of High-Rise Building Structures Subjected to Long-Period Ground Earthquake Records. Ph.D. Thesis, Xi’an University of Architecture & Technology, Xi’an, China, 2018. [Google Scholar]
  33. Luco, N.; Cornell, C.A. Effects of connection fractures on SMRF seismic drift demands. J. Struct. Eng. 2000, 126, 127–136. [Google Scholar] [CrossRef]
  34. Su, N.F. Seismic Performance Evaluation of Tall and Super-Tall Structures by Using Incremental Dynamic Analysis. Ph.D. Thesis, Tongji University, Shanghai, China, 2012. [Google Scholar]
  35. Yu, X.H.; Lv, D.G.; Fan, F. Seismic damage assessment of RC frame structures based on vulnerability index. Eng. Mech. 2017, 34, 69–75+100. [Google Scholar] [CrossRef]
  36. Palanci, M.; Senel, S.M. Earthquake damage assessment of 1-story precast industrial buildings using damage probability matrices. Bull. Earthq. Eng. 2019, 17, 5241–5263. [Google Scholar] [CrossRef]
Figure 1. Standard floor plan of high-rise structure.
Figure 1. Standard floor plan of high-rise structure.
Buildings 15 03106 g001
Figure 2. β spectrum of selected ground motions. (a) Y-direction. (b) X-direction.
Figure 2. β spectrum of selected ground motions. (a) Y-direction. (b) X-direction.
Buildings 15 03106 g002
Figure 3. IDA curve clusters of high-rise structure. (a) LPGMs. (b) OGMs.
Figure 3. IDA curve clusters of high-rise structure. (a) LPGMs. (b) OGMs.
Buildings 15 03106 g003
Figure 4. Seismic vulnerability curves of high-rise structure. (a) LPGMs. (b) OGMs.
Figure 4. Seismic vulnerability curves of high-rise structure. (a) LPGMs. (b) OGMs.
Buildings 15 03106 g004
Figure 5. Comparison of seismic vulnerability curves of different performance levels of high-rise structure.
Figure 5. Comparison of seismic vulnerability curves of different performance levels of high-rise structure.
Buildings 15 03106 g005
Figure 6. Probability curves of damage states of high-rise structure. (a) LPGMs. (b) OGMs.
Figure 6. Probability curves of damage states of high-rise structure. (a) LPGMs. (b) OGMs.
Buildings 15 03106 g006
Figure 7. Vulnerability index curves of high-rise structure. (a) LPGMs. (b) OGMs.
Figure 7. Vulnerability index curves of high-rise structure. (a) LPGMs. (b) OGMs.
Buildings 15 03106 g007
Figure 8. Comparison of vulnerability index curves of high-rise structure. (a) Lower limit value. (b) Average value. (c) Upper limit value.
Figure 8. Comparison of vulnerability index curves of high-rise structure. (a) Lower limit value. (b) Average value. (c) Upper limit value.
Buildings 15 03106 g008
Table 1. Comparison of vibration mode, vibration period and mass of high-rise structure.
Table 1. Comparison of vibration mode, vibration period and mass of high-rise structure.
Analysis SoftwareVibration Period (s) Corresponding to Each ModeMass (t)
T1T2T3T4T5T6
Perform-3D3.3522.9512.4950.9070.8440.81969,922
YJK3.2852.942 2.4290.9070.8110.80570,052
Error2.00%0.31%2.65%03.91%1.71%0.19%
Mode characteristicsY-direction 1st-order Translation X-direction 1st-order Translation Z-direction 1st-order TorsionY-direction 2nd-order TranslationX-direction 2nd-order TranslationZ-direction 2nd-order TorsionY-direction 1st-order Translation
Table 2. Comparison of seismic response of high-rise structure.
Table 2. Comparison of seismic response of high-rise structure.
Analysis SoftwareMaximum Inter-Story Drift AngleWeak FloorsMaximum Displacement of Top Floor (mm)Base Shear Force (kN)
Perform-3D0.00672754666,780
YJK0.00712861774,307
Error5.63%11.51%10.13%
Table 3. Basic information and input direction of selected ground motions.
Table 3. Basic information and input direction of selected ground motions.
Type of Ground MotionEarthquake NameMagnitudeRecording StationGround MotionSite CategoryPGA
(cm/s2)
βlInput Direction
LPGMs1Wen chuan8.014HTG14HTG-NSII16.470.78Y
14HTG-EWII16.130.95X
262QSY62QSY-NSII17.180.65Y
62QSY-EWII18.080.84X
362CJA62CJA-NSII13.191.00Y
62CJA-EWII12.241.22X
462KLE62KLE-NSII14.820.91Y
62KLE-EWII15.140.83X
562DAT62DAT-EWII14.711.35Y
62DAT-NSII12.400.94X
6Tokachi8.0HKD130HKD130-NSC56.160.52Y
HKD130-EWC51.410.65X
7SRCH04SRCH04-EWC11.971.04Y
SRCH04-NSC14.171.13X
8East Japan9.0AKT013AKT013-EWC28.590.47Y
AKT013-NSC44.200.25X
9CHBH16CHBH16-EWC11.831.04Y
CHBH16-NSC10.520.84X
10HKD083HKD083-NSC14.340.77Y
HKD083-EWC13.311.00X
11AOM018AOM018-NSC14.910.65Y
AOM018-EWC15.740.85X
12NIG015NIG015-EWC23.620.44Y
NIG015-NSC19.850.55X
OGMs1Kobe6.9MZHMZH090C52.380.06Y
MZH000C69.650.04X
2Kocaeli7.5Bursa SivilBRS180C57.500.22Y
BRS090C45.310.19X
3Hava AlaniDHM090C83.230.27Y
DHM000C89.960.38X
4MaslakMSK000C41.670.29Y
MSK090C37.810.22X
5EregliERG180C89.690.18Y
ERG090C106.060.09X
6Wen chuan8.051AXT51AXT-EWII309.390.11Y
51AXT-NSII220.130.19X
751JYC51JYC-EWII304.760.08Y
51JYC-NSII280.460.09X
8Duzce7.4Lamont362362-NC42.080.32Y
362-EC25.800.38X
9MudurnuMDR000C120.380.14Y
MDR090C56.080.29X
10Northridge6.7LB-CityLBC360C51.170.05Y
LBC090C36.460.09X
11LA-W 15thW15090C104.020.10Y
W15180C159.110.04X
12Newport Bch-IrvineNBI000C41.240.08Y
NBI090C60.720.05X
Table 4. Modal participation mass coefficient ratio αi and βi of high-rise structure.
Table 4. Modal participation mass coefficient ratio αi and βi of high-rise structure.
Mode OrderY DirectionX Direction
Natural Vibration Period (s)Modal Participation Mass CoefficientSum of Modal Participation Mass CoefficientαiNatural Vibration Period (s)Modal Participation Mass CoefficientSum of Modal Participation Mass Coefficientβi
13.35262.7%90.3%0.6942.95168.1%90.1%0.756
20.90718.7%0.2070.84416.8%0.186
30.3638.9%0.0990.4735.2%0.058
Table 5. Quantitative limits of performance levels of SRC frame-RC core tube high-rise structure.
Table 5. Quantitative limits of performance levels of SRC frame-RC core tube high-rise structure.
Performance IndicatorPerformance Level
Normal Usability/LS1Basic Usability/LS2Repairable Usability/LS3Life Safety/LS4
θmax1/8001/4001/2001/100
Table 6. Exceeding probabilities of different performance levels of the structure under LPGMs during 8-degree earthquake.
Table 6. Exceeding probabilities of different performance levels of the structure under LPGMs during 8-degree earthquake.
Seismic LevelPGA (gal)S90c (g)Exceeding Probability
LS1LS2LS3LS4
8-degree Frequent Earthquake700.162100%94.08%49.79%5.19%
8-degree Design Earthquake2000.464100%100%100%97.25%
8-degree Rare Earthquake4000.927100%100%100%99.99%
Table 7. Exceeding probabilities of different performance levels of the structure under OGMs during 8-degree earthquake.
Table 7. Exceeding probabilities of different performance levels of the structure under OGMs during 8-degree earthquake.
Seismic LevelPGA (gal)S90c (g)Exceeding Probability
LS1LS2LS3LS4
8-degree Frequent Earthquake700.04951.42%0.04%0.00%0.00%
8-degree Design Earthquake2000.13999.74%69.68%23.56%4.88%
8-degree Rare Earthquake4000.27899.96%97.94%78.71%33.45%
Table 8. Damage index corresponding to damage grade.
Table 8. Damage index corresponding to damage grade.
Damage IndexDamage Grade
Basically IntactSlight DamageModerate DamageSevere DamageNear Collapse
Lower- and Upper-Limit Value (%)(0,10](10,30](30,55](55,85](85,100]
Average Value (%)52042.57092.5
Table 9. Vulnerability index of high-rise structure during 8-degree earthquake.
Table 9. Vulnerability index of high-rise structure during 8-degree earthquake.
Seismic LevelPGA (gal)S90c (g)Vulnerability Index (%)
LPGMsOGMs
Lower Limit ValueAverage ValueUpper Limit ValueLower Limit ValueAverage ValueUpper Limit Value
8-degree Frequent Earthquake700.04942.8256.0369.245.1512.7220.29
8-degree Design Earthquake2000.13984.1891.8899.5931.2643.2254.17
8-degree Rare Earthquake4000.27885.0092.50100.0059.3071.2083.11
Disclaimer/Publisher’s Note: The statements, opinions and data contained in all publications are solely those of the individual author(s) and contributor(s) and not of MDPI and/or the editor(s). MDPI and/or the editor(s) disclaim responsibility for any injury to people or property resulting from any ideas, methods, instructions or products referred to in the content.

Share and Cite

MDPI and ACS Style

Jiang, L.; Bai, G.; Guo, L.; Li, F. Seismic Damage Assessment of SRC Frame-RC Core Tube High-Rise Structure Under Long-Period Ground Motions. Buildings 2025, 15, 3106. https://doi.org/10.3390/buildings15173106

AMA Style

Jiang L, Bai G, Guo L, Li F. Seismic Damage Assessment of SRC Frame-RC Core Tube High-Rise Structure Under Long-Period Ground Motions. Buildings. 2025; 15(17):3106. https://doi.org/10.3390/buildings15173106

Chicago/Turabian Style

Jiang, Lianjie, Guoliang Bai, Lu Guo, and Fumin Li. 2025. "Seismic Damage Assessment of SRC Frame-RC Core Tube High-Rise Structure Under Long-Period Ground Motions" Buildings 15, no. 17: 3106. https://doi.org/10.3390/buildings15173106

APA Style

Jiang, L., Bai, G., Guo, L., & Li, F. (2025). Seismic Damage Assessment of SRC Frame-RC Core Tube High-Rise Structure Under Long-Period Ground Motions. Buildings, 15(17), 3106. https://doi.org/10.3390/buildings15173106

Note that from the first issue of 2016, this journal uses article numbers instead of page numbers. See further details here.

Article Metrics

Back to TopTop