A Study on the Effects of Distinct Visual Elements and Their Combinations in Window Views on Stress and Emotional States
Abstract
1. Introduction
2. Materials and Methods
2.1. Environmental Setting
2.1.1. Laboratory Design
2.1.2. Construction of Window-View Types
- (1)
- Window views containing both the sky layer and the landscape layer, further subdivided into (i) sky and building group; (ii) sky and greenery group; (iii) sky, building, and greenery group.
- (2)
- Window views containing both the ground layer and the landscape layer, further subdivided into (i) road and building group; (ii) road and greenery group; (iii) road, building, and greenery group.
- (3)
- Window views containing all layers simultaneously, further subdivided into (i) sky, building, and road group; (ii) sky, greenery, and road group; (iii) sky, building, greenery, and road group.
- (1)
- Clear demarcation among the layers must be visually observable, facilitating hierarchical segmentation.
- (2)
- The composition of visual elements should be relatively balanced. For instance, in window views containing only sky and building elements, the proportions of sky and building should be approximately equivalent to minimize potential bias arising from disproportionate representation. These two visual elements occupy the majority of the window view. Furthermore, when any element occupies less than 10% of the frame, it is deemed an invalid element [43].
2.2. Measures
2.2.1. Subjective Perception
2.2.2. Electroencephalographic (EEG) Data
2.3. Participants
2.4. Procedure
- (1)
- Pre-Experiment Preparation
- (2)
- Environmental Exposure Phase
- (3)
- Post-Exposure Phase
2.5. Statistical Analysis
3. Results
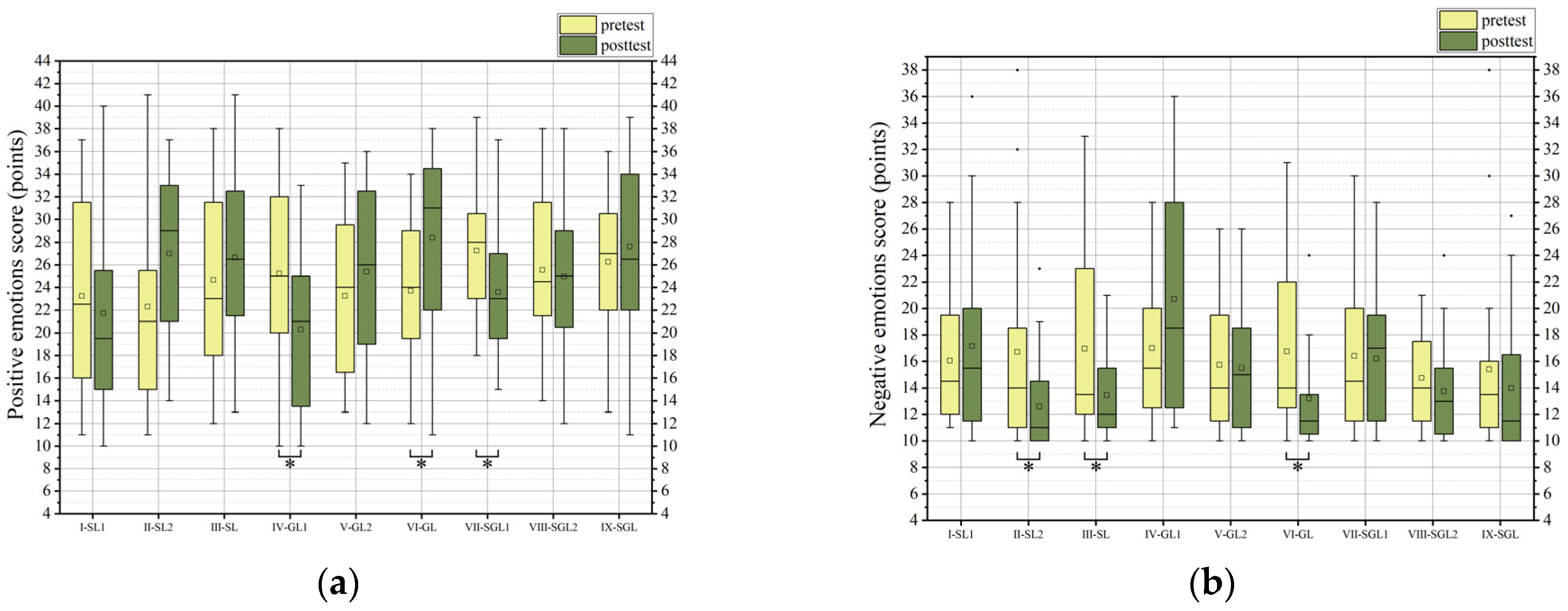
3.1. Emotions
3.2. EEG Data
3.3. EEG-Derived Composite Indicators
4. Discussion
4.1. Restorative Effects of Individual Visual Elements in Window Views
4.2. Restorative Effects of Different Types of Window Views
4.3. Limitations and Future Work
4.4. Applications
5. Conclusions
Author Contributions
Funding
Institutional Review Board Statement
Informed Consent Statement
Data Availability Statement
Acknowledgments
Conflicts of Interest
Appendix A
| Variable | Sum of Squares | df | MS | F | p-Value | |
|---|---|---|---|---|---|---|
| Theta | Between groups | 0.116% | 8 | 0.014% | 2.922 | 0.004 |
| Within groups | 0.846% | 171 | 0.005% | |||
| Total | 0.962% | 179 | ||||
| Alpha | Between groups | 0.270% | 8 | 0.034% | 4.062 | <0.001 |
| Within groups | 1.422% | 171 | 0.008% | |||
| Total | 1.692% | 179 | ||||
| Beta | Between groups | 0.017% | 8 | 0.002% | 1.129 | 0.346 |
| Within groups | 0.321% | 171 | 0.002% | |||
| Total | 0.338% | 179 | ||||
| Gamma | Between groups | 0.022% | 8 | 0.003% | 0.822 | 0.584 |
| Within groups | 0.565% | 171 | 0.003% | |||
| Total | 0.587% | 179 | ||||
| Alpha/Beta | Between groups | 28.269 | 8 | 3.534 | 2.389 | 0.018 |
| Within groups | 252.952 | 171 | 1.479 | |||
| Total | 281.221 | 179 | ||||
| Beta/Gamma | Between groups | 3.491 | 8 | 0.436 | 0.636 | 0.747 |
| Within groups | 117.364 | 171 | 0.686 | |||
| Total | 120.855 | 179 | ||||
| Theta/Beta | Between groups | 14.222 | 8 | 1.778 | 0.802 | 0.601 |
| Within groups | 378.854 | 171 | 2.216 | |||
| Total | 393.076 | 179 | ||||
| FAA | Between groups | 0.064% | 8 | 0.008% | 2.668 | 0.009 |
| Within groups | 0.515% | 171 | 0.003% | |||
| Total | 0.579% | 179 |
| Variable | I-SL1 | II-SL2 | III-SL | IV-GL1 | V-GL2 | VI-GL | VII-SGL1 | VIII-SGL2 | IX-SGL | |
|---|---|---|---|---|---|---|---|---|---|---|
| Theta | mean | −0.665% | −0.804% | −0.228% | −0.219% | −0.330% | −0.125% | −0.004% | −0.381% | −0.065% |
| std | 0.734% | 0.713% | 0.610% | 0.870% | 0.765% | 0.624% | 0.689% | 0.642% | 0.643% | |
| median | −0.564% | −0.812% | −0.207% | −0.340% | −0.407% | −0.133% | −0.031% | −0.326% | −0.204% | |
| p-value | 0.619 | 0.038 | 0.272 | 0.826 | 0.460 | 0.407 | 0.774 | 0.548 | 0.283 | |
| Alpha | mean | −0.194% | −0.395% | −0.098% | 0.054% | −0.015% | 0.100% | 0.700% | 0.639% | 0.694% |
| std | 0.772% | 0.704% | 0.565% | 0.691% | 0.651% | 0.813% | 1.201% | 1.290% | 1.185% | |
| median | −0.102% | −0.298% | −0.130% | 0.221% | −0.124% | 0.185% | 0.284% | 0.289% | 0.343% | |
| p-value | 0.060 | 0.699 | 0.128 | 0.779 | 0.145 | 0.015 | 0.989 | 0.898 | 0.905 | |
| Beta | mean | −0.150% | −0.101% | −0.099% | 0.113% | −0.217% | 0.044% | −0.039% | −0.088% | 0.024% |
| std | 0.402% | 0.558% | 0.379% | 0.493% | 0.444% | 0.497% | 0.421% | 0.311% | 0.331% | |
| median | −0.132% | −0.236% | −0.160% | 0.187% | −0.207% | 0.021% | −0.033% | −0.081% | 0.000% | |
| p-value | 0.810 | 0.076 | 0.316 | 0.641 | 0.103 | 0.972 | 0.405 | 0.432 | 0.450 | |
| Gamma | mean | −0.115% | 0.024% | 0.007% | 0.164% | −0.163% | 0.139% | −0.080% | −0.106% | 0.070% |
| std | 0.407% | 0.734% | 0.409% | 0.779% | 0.633% | 0.669% | 0.445% | 0.487% | 0.459% | |
| median | −0.049% | −0.062% | 0.083% | 0.359% | −0.116% | −0.006% | 0.019% | −0.018% | 0.029% | |
| p-value | 0.668 | <0.001 | 0.251 | 0.712 | 0.161 | 0.973 | 0.195 | 0.164 | 0.639 | |
| Alpha/Beta | mean | 0.163 | −0.181 | 0.119 | −0.103 | 0.351 | 0.011 | 0.910 | 0.841 | 0.770 |
| std | 0.620 | 0.756 | 0.684 | 1.119 | 1.146 | 0.847 | 1.821 | 1.589 | 1.663 | |
| median | 0.038 | −0.078 | 0.127 | −0.167 | 0.185 | 0.063 | 0.334 | 0.128 | 0.178 | |
| p-value | 0.108 | 0.184 | 0.412 | 0.029 | 0.330 | 0.858 | 0.304 | 0.539 | 0.108 | |
| Beta/Gamma | mean | 0.211 | −0.022 | 0.026 | −0.247 | 0.039 | −0.196 | 0.046 | 0.123 | −0.111 |
| std | 1.130 | 1.329 | 1.241 | 0.700 | 0.406 | 0.463 | 0.455 | 0.576 | 0.430 | |
| median | −0.062 | −0.100 | −0.028 | −0.142 | 0.006 | −0.081 | 0.024 | 0.058 | −0.042 | |
| p-value | 0.313 | 0.878 | 0.369 | 0.311 | 0.852 | 0.513 | 0.589 | 0.842 | 0.922 | |
| Theta/Beta | mean | −0.083 | −0.541 | 0.263 | −0.550 | 0.176 | −0.434 | 0.001 | −0.266 | −0.096 |
| std | 1.561 | 1.663 | 1.744 | 1.447 | 1.788 | 1.717 | 1.109 | 0.925 | 1.171 | |
| median | −0.486 | −0.144 | −0.139 | −0.660 | −0.134 | −0.076 | −0.090 | −0.124 | −0.032 | |
| p-value | 0.015 | 0.302 | 0.394 | 0.826 | 0.397 | 0.646 | 0.427 | 0.099 | 0.776 |
References
- Beehr, T.A. Stress, Workload, and Fatigue in Relation to Task, Technology, and Performance. PsycCRITIQUES 2002, 47, 747–749. [Google Scholar] [CrossRef]
- Möckel, T.; Beste, C.; Wascher, E. The Effects of Time on Task in Response Selection—An ERP Study of Mental Fatigue. Sci. Rep. 2015, 5, 10113. [Google Scholar] [CrossRef] [PubMed]
- Ulrich, R.S.; Simons, R.F.; Losito, B.D.; Fiorito, E.; Miles, M.A.; Zelson, M. Stress Recovery during Exposure to Natural and Urban Environments. J. Environ. Psychol. 1991, 11, 201–230. [Google Scholar] [CrossRef]
- Kaplan, S. The Restorative Benefits of Nature: Toward an Integrative Framework. J. Environ. Psychol. 1995, 15, 169–182. [Google Scholar] [CrossRef]
- Beute, F.; De Kort, Y.A.W. Natural Resistance: Exposure to Nature and Self-Regulation, Mood, and Physiology after Ego-Depletion. J. Environ. Psychol. 2014, 40, 167–178. [Google Scholar] [CrossRef]
- Gilchrist, K.; Brown, C.; Montarzino, A. Workplace Settings and Wellbeing: Greenspace Use and Views Contribute to Employee Wellbeing at Peri-Urban Business Sites. Landsc. Urban Plan. 2015, 138, 32–40. [Google Scholar] [CrossRef]
- Hossain, M.M.; Sultana, A.; Purohit, N. Mental Health Outcomes of Quarantine and Isolation for Infection Prevention: A Systematic Umbrella Review of the Global Evidence. Epidemiol. Health 2020, 42, e2020038. [Google Scholar] [CrossRef]
- Aries, M.B.C.; Veitch, J.A.; Newsham, G.R. Windows, View, and Office Characteristics Predict Physical and Psychological Discomfort. J. Environ. Psychol. 2010, 30, 533–541. [Google Scholar] [CrossRef]
- Alexander, C. A Pattern Language: Towns, Buildings, Construction; Oxford University Press: New York, NY, USA, 1977; pp. 1046–1055. ISBN 0-19-501919-9. [Google Scholar]
- Kent, M.G.; Schiavon, S. Predicting Window View Preferences Using the Environmental Information Criteria. LEUKOS 2023, 19, 190–209. [Google Scholar] [CrossRef]
- Ulrich, R.S. View through a Window May Influence Recovery from Surgery. Sci. New Ser. 1984, 224, 420–421. [Google Scholar] [CrossRef]
- Ko, W.H.; Schiavon, S.; Zhang, H.; Graham, L.T.; Brager, G.; Mauss, I.; Lin, Y.-W. The Impact of a View from a Window on Thermal Comfort, Emotion, and Cognitive Performance. Build. Environ. 2020, 175, 106779. [Google Scholar] [CrossRef]
- Kahn, P.H.; Friedman, B.; Gill, B.; Hagman, J.; Severson, R.L.; Freier, N.G.; Feldman, E.N.; Carrère, S.; Stolyar, A. A Plasma Display Window?—The Shifting Baseline Problem in a Technologically Mediated Natural World. J. Environ. Psychol. 2008, 28, 192–199. [Google Scholar] [CrossRef]
- Vásquez, N.G.; Felippe, M.L.; Pereira, F.O.R.; Kuhnen, A. Luminous and Visual Preferences of Young Children in Their Classrooms: Curtain Use, Artificial Lighting and Window Views. Build. Environ. 2019, 152, 59–73. [Google Scholar] [CrossRef]
- Yeom, S.; Kim, H.; Hong, T.; Park, H.S.; Lee, D.-E. An Integrated Psychological Score for Occupants Based on Their Perception and Emotional Response According to the Windows’ Outdoor View Size. Build. Environ. 2020, 180, 107019. [Google Scholar] [CrossRef]
- Mascherek, A.; Weber, S.; Riebandt, K.; Cassanello, C.; Leicht, G.; Brick, T.; Gallinat, J.; Kühn, S. On the Relation between a Green and Bright Window View and Length of Hospital Stay in Affective Disorders. Eur. Psychiatry 2022, 65, e21. [Google Scholar] [CrossRef]
- Domjan, S.; Arkar, C.; Medved, S. Study on Occupants’ Window View Quality Vote and Their Physiological Response. J. Build. Eng. 2023, 68, 106119. [Google Scholar] [CrossRef]
- Song, M.; Xu, M.; Wang, Y.; Lu, S.; Gong, X.; Si, R.; Xu, F. Is More Vegetation Always Better? Evaluation of Restorative Benefits and Preference for Window Views. Build. Environ. 2025, 272, 112660. [Google Scholar] [CrossRef]
- Lin, T.-Y.; Le, A.-V.; Chan, Y.-C. Evaluation of Window View Preference Using Quantitative and Qualitative Factors of Window View Content. Build. Environ. 2022, 213, 108886. [Google Scholar] [CrossRef]
- Olszewska-Guizzo, A.; Escoffier, N.; Chan, J.; Puay Yok, T. Window View and the Brain: Effects of Floor Level and Green Cover on the Alpha and Beta Rhythms in a Passive Exposure EEG Experiment. Int. J. Environ. Res. Public Health 2018, 15, 2358. [Google Scholar] [CrossRef]
- Van Renterghem, T.; Vermandere, E.; Lauwereys, M. Road Traffic Noise Annoyance Mitigation by Green Window View: Optimizing Green Quantity and Quality. Urban For. Urban Green. 2023, 88, 128072. [Google Scholar] [CrossRef]
- Elsadek, M.; Liu, B.; Xie, J. Window View and Relaxation: Viewing Green Space from a High-Rise Estate Improves Urban Dwellers’ Wellbeing. Urban For. Urban Green. 2020, 55, 126846. [Google Scholar] [CrossRef]
- Drobne, S.; Zbašnik-Senegačnik, M.; Kristl, Ž.; Koprivec, L.; Fikfak, A. Analysis of the Window Views of the Nearby Façades. Sustainability 2022, 14, 269. [Google Scholar] [CrossRef]
- Wang, F.; Munakata, J. Simulated Window Views from Different Building Floors: How Roof Types of Surrounding Buildings Associate with Subjective Restoration. Urban For. Urban Green. 2023, 89, 128096. [Google Scholar] [CrossRef]
- Zhao, J.; Wu, J.; Wang, H. Characteristics of Urban Streets in Relation to Perceived Restorativeness. J. Expo. Sci. Environ. Epidemiol. 2020, 30, 309–319. [Google Scholar] [CrossRef]
- Fošner, A.; Zbašnik-Senegačnik, M.; Kristl, Ž. Window View Preferences in Various Environmental and Activity Contexts. Sustainability 2023, 15, 16215. [Google Scholar] [CrossRef]
- Bradley, M.M.; Lang, P.J. Measuring Emotion: The Self-Assessment Manikin and the Semantic Differential. J. Behav. Ther. Exp. Psychiatry 1994, 25, 49–59. [Google Scholar] [CrossRef]
- Biggs, J.T.; Wylie, L.T.; Ziegler, V.E. Validity of the Zung Self-Rating Depression Scale. Br. J. Psychiatry 1978, 132, 381–385. [Google Scholar] [CrossRef]
- Zuckerman, M. Development of a Situation-Specific Trait-State Test for the Prediction and Measurement of Affective Responses. J. Consult. Clin. Psychol. 1977, 45, 513–523. [Google Scholar] [CrossRef]
- Watson, D.; Clark, L.A.; Tellegen, A. Development and Validation of Brief Measures of Positive and Negative Affect: The PANAS Scales. J. Personal. Soc. Psychol. 1988, 54, 1063–1070. [Google Scholar] [CrossRef]
- Cha, K. The Influence of Classroom Size and Window View on Young Children’s Executive Functions and Physiological Responses, Based on VR Technology. Behav. Sci. 2023, 13, 936. [Google Scholar] [CrossRef]
- Mihara, K.; Hasama, T.; Takasuna, H. Physiological and Psychological Responses and Cognitive Performance with a Window View. Sci. Technol. Built Environ. 2022, 28, 547–556. [Google Scholar] [CrossRef]
- Jang, D.; Kim, H.-J.; Choi, K. Enhancing Student Learning in Virtual Classrooms: Effects of Window View Content and Time of Day. IEEE Access 2024, 12, 152630–152638. [Google Scholar] [CrossRef]
- Elsadek, M.; Deshun, Z.; Liu, B. High-Rise Window Views: Evaluating the Physiological and Psychological Impacts of Green, Blue, and Built Environments. Build. Environ. 2024, 262, 111798. [Google Scholar] [CrossRef]
- Zhang, Y.; Tang, Y.; Wang, X.; Tan, Y. The Effects of Natural Window Views in Classrooms on College Students’ Mood and Learning Efficiency. Buildings 2024, 14, 1557. [Google Scholar] [CrossRef]
- Grinde, B.; Patil, G.G. Biophilia: Does Visual Contact with Nature Impact on Health and Well-Being? Int. J. Environ. Res. Public Health 2009, 6, 2332–2343. [Google Scholar] [CrossRef]
- Kent, M.; Schiavon, S. Evaluation of the Effect of Landscape Distance Seen in Window Views on Visual Satisfaction. Build. Environ. 2020, 183, 107160. [Google Scholar] [CrossRef]
- Stamps, A.E., III. Use of Photographs to Simulate Environments: A Meta-Analysis. Percept. Mot. Ski. 1990, 71, 907–913. [Google Scholar] [CrossRef]
- Palmer, J.F.; Hoffman, R.E. Rating Reliability and Representation Validity in Scenic Landscape Assessments. Landsc. Urban Plan. 2001, 54, 149–161. [Google Scholar] [CrossRef]
- Masoudinejad, S.; Hartig, T. Window View to the Sky as a Restorative Resource for Residents in Densely Populated Cities. Environ. Behav. 2020, 52, 401–436. [Google Scholar] [CrossRef]
- Sun, K.; Li, Z.; Zheng, S.; Qu, H. Quantifying Environmental Characteristics on Psychophysiological Restorative Benefits of Campus Window Views. Build. Environ. 2024, 262, 111822. [Google Scholar] [CrossRef]
- Markus, T.A. The Function of Windows— A Reappraisal. Build. Sci. 1967, 2, 97–121. [Google Scholar] [CrossRef]
- Ko, W.H.; Kent, M.G.; Schiavon, S.; Levitt, B.; Betti, G. A Window View Quality Assessment Framework. LEUKOS 2022, 18, 268–293. [Google Scholar] [CrossRef]
- Lyubomirsky, S.; King, L.; Diener, E. The Benefits of Frequent Positive Affect: Does Happiness Lead to Success? Psychol. Bull. 2005, 131, 803–855. [Google Scholar] [CrossRef] [PubMed]
- Gross, J.J. Emotion Regulation: Current Status and Future Prospects. Psychol. Inq. 2015, 26, 1–26. [Google Scholar] [CrossRef]
- Chang, C.-Y.; Chen, P.-K. Human Response to Window Views and Indoor Plants in the Workplace. HortScience 2005, 40, 1354–1359. [Google Scholar] [CrossRef]
- Koudelková, Z.; Strmiska, M. Introduction to the Identification of Brain Waves Based on Their Frequency. MATEC Web Conf. 2018, 210, 05012. [Google Scholar] [CrossRef]
- Baehr, E.; Rosenfeld, J.P.; Baehr, R. The Clinical Use of An Alpha Asymmetry Protocol in the Neurofeedback Treatment of Depression: Two Case Studies. J. Neurother. 1997, 2, 10–23. [Google Scholar] [CrossRef]
- Lan, L.; Lian, Z. Application of Statistical Power Analysis—How to Determine the Right Sample Size in Human Health, Comfort and Productivity Research. Build. Environ. 2010, 45, 1202–1213. [Google Scholar] [CrossRef]
- Stroop, J.R. Studies of Interference in Serial Verbal Reactions. J. Exp. Psychol. Gen. 1992, 121, 15–23. [Google Scholar] [CrossRef]
- Rhee, J.H.; Schermer, B.; Han, G.; Park, S.Y.; Lee, K.H. Effects of Nature on Restorative and Cognitive Benefits in Indoor Environment. Sci. Rep. 2023, 13, 13199. [Google Scholar] [CrossRef]
- Delorme, A.; Makeig, S. EEGLAB: An Open Source Toolbox for Analysis of Single-Trial EEG Dynamics Including Independent Component Analysis. J. Neurosci. Methods 2004, 134, 9–21. [Google Scholar] [CrossRef]
- Yao, D. A Method to Standardize a Reference of Scalp EEG Recordings to a Point at Infinity. Physiol. Meas. 2001, 22, 693–711. [Google Scholar] [CrossRef]
- Schober, P.; Boer, C.; Schwarte, L.A. Correlation Coefficients: Appropriate Use and Interpretation. Anesth. Analg. 2018, 126, 1763–1768. [Google Scholar] [CrossRef]
- Yin, Y.; Xia, T.; Shu, T.; Zhao, B.; Zhang, G.; Zhang, J. Watching Nature through the Window Cannot Be Overlooked! Nexus between Green Window View, Physical Activity Intention, and Intensity among Older Adults. Landsc. Urban Plan. 2025, 257, 105318. [Google Scholar] [CrossRef]
- Oh, D.; Heo, J.; Jang, H.; Kim, J. Evaluating Psychophysiological Responses Based on the Proximity and Type of Window View Using Virtual Reality. Build. Environ. 2025, 270, 112575. [Google Scholar] [CrossRef]
- Engell, T.; Lorås, H.W.; Sigmundsson, H. Window View of Nature after Brief Exercise Improves Choice Reaction Time and Heart Rate Restoration. New Ideas Psychol. 2020, 58, 100781. [Google Scholar] [CrossRef]
- Seresinhe, C.I.; Preis, T.; Moat, H.S. Using Deep Learning to Quantify the Beauty of Outdoor Places. R. Soc. Open sci. 2017, 4, 170170. [Google Scholar] [CrossRef] [PubMed]









| Scale Name | Description | Applicable Population |
|---|---|---|
| Self-Assessment Manikin (SAM) | Assesses emotional arousal, valence (pleasure), and dominance by matching emotions to cartoon-like figures or patients. (e.g., from smiling faces to crying faces). | Suitable for a wide range of populations or patients. |
| Self-Rating Depression Scale (SDS) | Measures the severity of depression across 20 items, covering affective, somatic, and cognitive aspects. | Primarily used for patients with depressive symptoms. |
| Zuckerman Inventory of Personal Reactions (ZIPERS) | Evaluates short-term emotional states, including positive emotions, negative emotions, fatigue, and social withdrawal, with 32 items. | Suitable for both patients and healthy individuals. |
| Positive and Negative Affect Schedule (PANAS) | Consists of 20 items rated on a 5-point scale and measures current positive and negative affect. | Applicable to the general population, with high universality. |
| Physiological Indicator | Description | Measurement Method |
|---|---|---|
| Electroencephalography (EEG) | Records the electrical activity of cortical neurons, reflecting neural oscillations (e.g., alpha and beta waves) across different brain regions. | Silver chloride electrodes are placed on the scalp following the international 10–20 system to record microvolt (μV) potential changes. |
| Electrocardiography (ECG) | Records the heart’s electrical activity, reflecting the periodic depolarization and repolarization of cardiac muscles. | Electrodes are attached to the chest using standard 12-lead or simplified 3-lead configurations. |
| Electromyography (EMG) | Records skeletal muscle electrical activity, reflecting muscle contraction intensity and neural control. | Surface electrodes are placed on the skin, or intramuscular needle electrodes are used for deep muscle detection. |
| Electrodermal Activity (EDA) | Measures skin conductance changes, indicating sympathetic nervous system arousal. | Electrodes are placed on the fingers or palms. |
| Salivary Cortisol Concentration | Assesses stress hormone (cortisol) levels via saliva, reflecting hypothalamic–pituitary–adrenal (HPA) axis activity. | Participants chew on a cotton swab; saliva is extracted via centrifugation and analyzed using enzyme-linked immunosorbent assay (ELISA) or mass spectrometry. |
| Blood Pressure | Pressure exerted on arterial walls, measured as systolic blood pressure (SBP) and diastolic blood pressure (DBP). | Measured using the auscultatory method (Korotkoff sounds) with a stethoscope or the oscillometric method with an electronic sphygmomanometer. |
| Heart Rate | Number of heartbeats per minute (bpm), reflecting autonomic nervous system regulation. | Measured using ECG or photoplethysmography. |
| Body Temperature | Reflects metabolic and health status; core temperature is of particular importance. | Measured with mercury or digital thermometers or infrared sensors. |
| Blood Oxygen Saturation (SPO2) | Percentage of oxygenated hemoglobin in blood, indicating respiratory function. | Measured using a fingertip sensor that detects differences in red/infrared light absorption. |
| Representative Window-View Image | Scene Type | Proportion of Each Visual Element | ||||
|---|---|---|---|---|---|---|
| Sky/% | Buildings/% | Greenery % | Roads/% | Other/% | ||
![]() | I-SL1 | 46.21 | 49.71 | 0 | 1.07 | 3.01 |
![]() | II-SL2 | 53.29 | 0 | 44.65 | 0.5 | 1.56 |
![]() | III-SL | 36.55 | 26.15 | 31.72 | 3.96 | 1.62 |
![]() | IV-GL1 | 1.02 | 53.61 | 0.07 | 42.1 | 3.20 |
![]() | V-GL2 | 6.89 | 0.02 | 46.38 | 42.48 | 4.23 |
![]() | VI-GL | 4.6 | 24.24 | 39.37 | 30.9 | 0.89 |
![]() | VII-SGL1 | 36.23 | 30.08 | 4.95 | 27.58 | 1.16 |
![]() | VIII-SGL2 | 30.57 | 0 | 38.43 | 30.53 | 0.47 |
![]() | IX-SGL | 26.39 | 18.87 | 23.56 | 27.39 | 3.79 |
| Scene Type | REpre (%) | LEpre (%) | REpost (%) | LEpost (%) | ΔIR (%) |
|---|---|---|---|---|---|
| I-SL1 | −0.160 | 0.040 | −0.353 | −0.177 | −0.023 |
| II-SL2 | −0.323 | −0.161 | −0.269 | −0.320 | −0.214 |
| III-SL | −0.211 | 0.020 | −0.309 | −0.247 | −0.170 |
| IV-GL1 | 0.023 | 0.180 | −0.372 | −0.193 | 0.021 |
| V-GL2 | −0.676 | −0.265 | −0.691 | −0.336 | −0.055 |
| VI-GL | −0.009 | −0.024 | 0.091 | −0.091 | −0.167 |
| VII-SGL1 | −0.959 | −0.756 | −0.260 | −0.584 | −0.527 |
| VIII-SGL2 | −0.456 | −0.218 | 0.183 | −0.013 | −0.434 |
| IX-SGL | −1.040 | −0.816 | −0.346 | −0.571 | −0.449 |
Disclaimer/Publisher’s Note: The statements, opinions and data contained in all publications are solely those of the individual author(s) and contributor(s) and not of MDPI and/or the editor(s). MDPI and/or the editor(s) disclaim responsibility for any injury to people or property resulting from any ideas, methods, instructions or products referred to in the content. |
© 2025 by the authors. Licensee MDPI, Basel, Switzerland. This article is an open access article distributed under the terms and conditions of the Creative Commons Attribution (CC BY) license (https://creativecommons.org/licenses/by/4.0/).
Share and Cite
Zhang, P.; Yang, T.; Bo, Y.; Song, W.; Liu, W.; Ni, W.; Gao, W.; Qi, X. A Study on the Effects of Distinct Visual Elements and Their Combinations in Window Views on Stress and Emotional States. Buildings 2025, 15, 2804. https://doi.org/10.3390/buildings15152804
Zhang P, Yang T, Bo Y, Song W, Liu W, Ni W, Gao W, Qi X. A Study on the Effects of Distinct Visual Elements and Their Combinations in Window Views on Stress and Emotional States. Buildings. 2025; 15(15):2804. https://doi.org/10.3390/buildings15152804
Chicago/Turabian StyleZhang, Ping, Tao Yang, Yunque Bo, Wenqi Song, Wenyu Liu, Wei Ni, Wenjie Gao, and Xiaoyan Qi. 2025. "A Study on the Effects of Distinct Visual Elements and Their Combinations in Window Views on Stress and Emotional States" Buildings 15, no. 15: 2804. https://doi.org/10.3390/buildings15152804
APA StyleZhang, P., Yang, T., Bo, Y., Song, W., Liu, W., Ni, W., Gao, W., & Qi, X. (2025). A Study on the Effects of Distinct Visual Elements and Their Combinations in Window Views on Stress and Emotional States. Buildings, 15(15), 2804. https://doi.org/10.3390/buildings15152804









