Experimental Study on the Strength Characteristics of Modified Guilin Red Clay
Abstract
1. Introduction
2. Test Overview
2.1. Test Materials
2.2. Test Scheme
2.2.1. Triaxial Compression Test
2.2.2. SEM Test
3. Analysis of Test Results
3.1. Effect of Modifiers on the Failure Morphology of Red Clay
3.2. Effect of Modifier on Shear Strength Index of Red Clay
3.3. Effect of Modifiers on Stress–Strain Curve of Red Clay
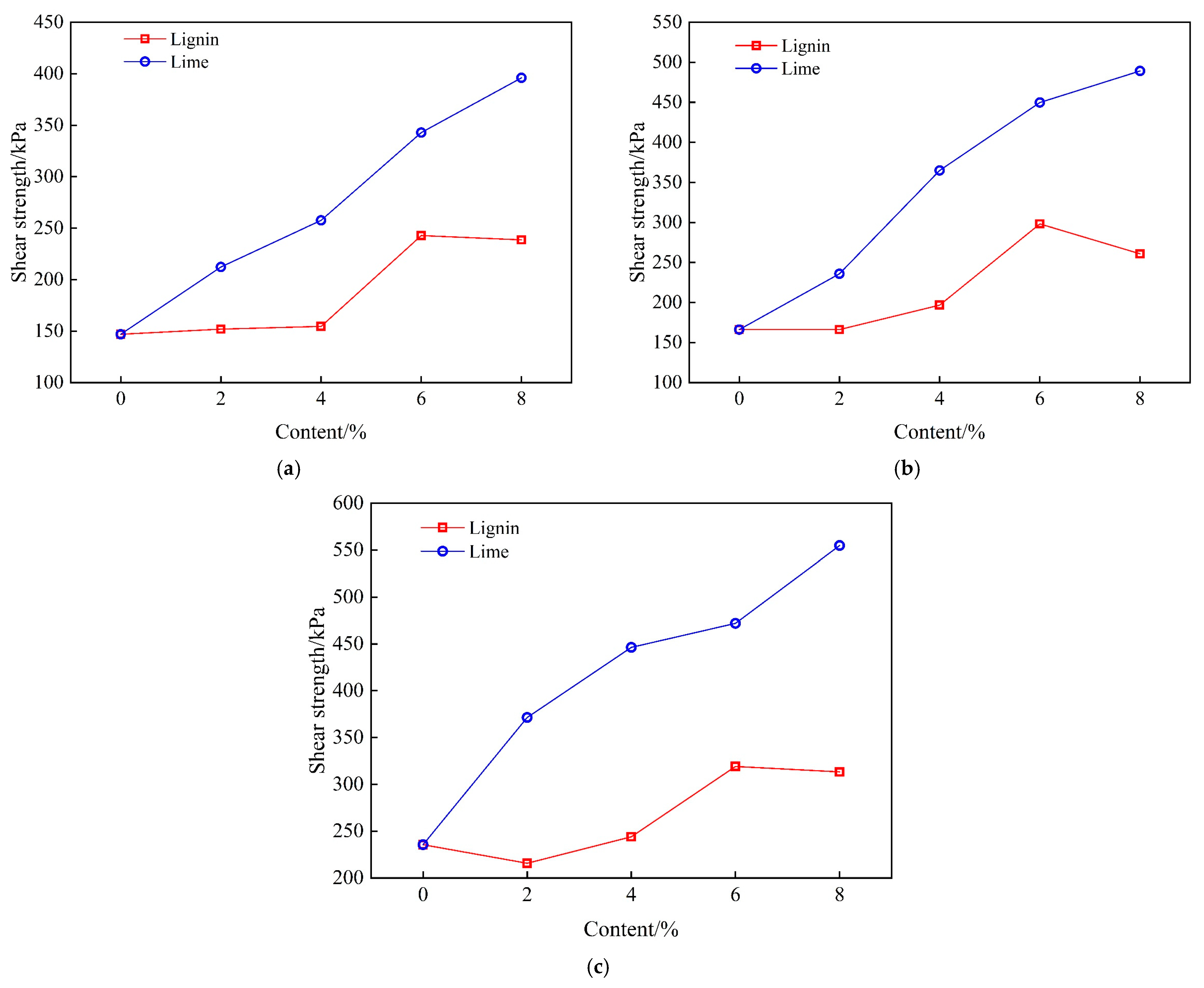
3.4. Effect of Modifiers on the Shear Strength of Red Clay
3.5. Effect of Modifiers on the Microstructure of Red Clay
4. Discussion
4.1. Improvement Mechanism of Red Clay by Modifier
4.2. Comparison of Test Results
5. Conclusions
Author Contributions
Funding
Data Availability Statement
Conflicts of Interest
References
- Wesley, L.D. Cluster Hypothesis and the Shear Strength of a Tropical Red Clay. Geotechnique 1973, 23, 109–113. [Google Scholar] [CrossRef]
- Kang, Q. Shear Test Mechanical Characterization of Red Clay on Slope Field in Hunan Province Under Hot-Humid-Acid Conditions. Master’s Thesis, Xiangtan University, Xiangtan, China, 2018. [Google Scholar]
- Gong, Y.; Chen, H.F. Description on Research Status of Red Clay. Subgrade Eng. 2019, 202, 47–53. [Google Scholar]
- Tang, Y.Z.; Kong, L.W.; Guo, A.G.; Wang, Z. Experimental Study on Wetting Deformation of Compacted Laterite. Chin. J. Geotech. Eng. 2011, 33, 483–489. [Google Scholar]
- Lyu, H.; Gu, J.; Li, W.; Liu, F.B. Analysis of Compressibility and Mechanical Behavior of Red Clay Considering Structural Strength. Arab. J. Geosci. 2020, 13, 411. [Google Scholar] [CrossRef]
- Gu, J.; Lyu, H.; Fan, L. Influence of Structural Strength on Geotechnical Properties of Intact Red Clay. Arab. J. Geosci. 2021, 14, 1921. [Google Scholar] [CrossRef]
- Zeng, L.; Yu, H.C.; Gao, Q.F.; Liu, J.; Liu, Z.H. Evolution of Tensile Properties of Compacted Red Clay under Wet and Dry Cycles. KSCE J. Civ. Eng. 2022, 26, 606–618. [Google Scholar] [CrossRef]
- Zhang, Y.Z.; Pu, S.Y.; Li, R.Y.M.; Zhang, J. Microscopic and Mechanical Properties of Undisturbed and Remoulded Red Clay from Guiyang, China. Sci. Rep. 2020, 10, 18003. [Google Scholar] [CrossRef] [PubMed]
- Mu, R.; Huang, Z.H.; Guo, J.Q.; Pu, S.Y.; Mu, L.S.; Ren, X.B. Experimental Study on CU Triaxial Test of Undisturbed Red Clay with Different Water Content Ratio in Guiyang. Water Resour. Hydropower Eng. 2019, 50, 189–194. [Google Scholar]
- Yang, B.; Qin, C.; Chen, J.H.; Chen, Y.; Wang, L.Y. Experimental Study on the Influence of Cracks to Shear Strength Attenuation of Red Clay. Geotech. Investig. Surv. 2022, 50, 1–6. [Google Scholar]
- Xiao, L.N.; Huang, Z.H.; He, F.C.; Qu, W.T. Study on the Change Law of Shear Strength of Red Clay under Overburden Load. J. Henan Polytech. Univ. (Nat. Sci.) 2021, 40, 156–162. [Google Scholar]
- Chen, W.; Hou, Y.Z.; Chen, J. Study on Physical and Mechanical Properties and Micro-mechanism of Modified Expansive Soil with Disintegrated Sandstone-cement. Water Resour. Hydropower Eng. 2021, 52, 132–140. [Google Scholar]
- Zhao, X.; Gu, T.F.; Fan, N.N. Experimental Study on Disintegration of Loess Improved by Cement. J. Northwest Univ. (Nat. Sci. Ed.) 2024, 54, 18–25. [Google Scholar]
- Bian, J.M. Water Stability of Lime-treated Expansive Soil. J. Change River Sci. Res. Inst. 2016, 33, 77–82. [Google Scholar]
- Ruan, L.L. Experimental Study on Swelling Characteristics and Influencing Factors of Lime Improved Loess. J. Highw. Transp. Res. Dev. 2023, 40, 88–93+102. [Google Scholar]
- Zhang, D.M.; Li, J.D.; Wang, X.; Zhang, Y.J.; Zhao, J.L.; Guo, Y.H. Experimental Study on Physical and Mechanical Properties of Loess Reinforced Compound curing Agent. Mater. Rep. 2024, 38, 151–156. [Google Scholar]
- Zhu, Y.Y. Experimental Study on Cement and Fly Ash Improving the Southern Red Soils. Master’s Thesis, South China Agricultural University, Guangzhou, China, 2017. [Google Scholar]
- Liu, B.C.; Li, C.J.; Pan, Z.Y.; Zhang, B.H. Laboratory Test for Mechanical Properties of Guilin Red Clay Mixed with Cement. J. Eng. Geol. 2012, 20, 633–638. [Google Scholar]
- Liu, B.C.; Tang, Q.; Li, Y.; Li, C.J. Laboratory Test Study on Mechanical Properties of Additive to Organic Cement Red Clay in Guilin region. J. Eng. Geol. 2013, 21, 554–559. [Google Scholar]
- Wang, L.R.; Chen, J.; Yang, H.; Huang, Y.; Huang, Y. Effectiveness and Mechanism of Improving Strength of Red Clay by Microorganism. J. Chang. River Sci. Res. Inst. 2022, 39, 125–131. [Google Scholar]
- GB/T 50123-2019; Geotechnical Test Method Standard. China Planning Publishing House: Beijing, China, 2019.
- Liu, B.C.; Zhou, H.F.; Wang, X.B.; Lian, G.; Yang, B. Effect of Modifiers on the Disintegration Characteristics of Red Clay. Sustainability 2024, 16, 4551. [Google Scholar] [CrossRef]
- Zhao, X.F.; Chen, K.S. Study on Shear Resistance and Dynamic Shear Properties of Lignin Modified Red Clay. J. Guangxi Univ. (Nat. Sci. Ed.) 2023, 48, 68–78. [Google Scholar]
- Dong, J.; Chen, J.; Wu, Z.H.; Yang, H.; Chen, T.X. Experimental Study on the Shear Strength and Deformation Characteristics of Lignin-fiber Red Clay. J. Geomech. 2019, 25, 421–427. [Google Scholar]
- Chen, L.J.; Chen, X.J.; Wang, H.; Huang, X.; Song, Y. Mechanical Properties and Microstructure of Lime-treated Red Clay. KSCE J. Civ. Eng. 2021, 25, 70–77. [Google Scholar] [CrossRef]
- Zhao, L.H.; Zhao, X.S.; Cheng, A.; Chen, Z.X.; Rao, J.L.; Mo, L.L. Synergistic Effects of Red Clay and Lime for Improving Phyllite Soil. Minerals 2023, 13, 1321. [Google Scholar] [CrossRef]










| Specific Gravity | Optimum Moisture Content/% | Maximum Dry Density/g·cm3 | Liquid Limit/% | Plastic Limit/% | Plasticity Index |
|---|---|---|---|---|---|
| 2.68 | 1.54 | 27.50 | 51.12 | 29.54 | 20.54 |
| Name | Material Parameters |
|---|---|
| Lignin | White, strip-shaped, particle size < 1 mm |
| Lime | CaO: 95.00%, MgO: 3.54%, SiO2: 0.44%, others: 1.02% |
Disclaimer/Publisher’s Note: The statements, opinions and data contained in all publications are solely those of the individual author(s) and contributor(s) and not of MDPI and/or the editor(s). MDPI and/or the editor(s) disclaim responsibility for any injury to people or property resulting from any ideas, methods, instructions or products referred to in the content. |
© 2025 by the authors. Licensee MDPI, Basel, Switzerland. This article is an open access article distributed under the terms and conditions of the Creative Commons Attribution (CC BY) license (https://creativecommons.org/licenses/by/4.0/).
Share and Cite
Chen, W.; Xie, Z.; Chen, J.; Hong, M.; Wang, X.; Zhou, H.; Yang, B. Experimental Study on the Strength Characteristics of Modified Guilin Red Clay. Buildings 2025, 15, 2533. https://doi.org/10.3390/buildings15142533
Chen W, Xie Z, Chen J, Hong M, Wang X, Zhou H, Yang B. Experimental Study on the Strength Characteristics of Modified Guilin Red Clay. Buildings. 2025; 15(14):2533. https://doi.org/10.3390/buildings15142533
Chicago/Turabian StyleChen, Wenwu, Zhigao Xie, Jiguang Chen, Mengyao Hong, Xiaobo Wang, Haofeng Zhou, and Bai Yang. 2025. "Experimental Study on the Strength Characteristics of Modified Guilin Red Clay" Buildings 15, no. 14: 2533. https://doi.org/10.3390/buildings15142533
APA StyleChen, W., Xie, Z., Chen, J., Hong, M., Wang, X., Zhou, H., & Yang, B. (2025). Experimental Study on the Strength Characteristics of Modified Guilin Red Clay. Buildings, 15(14), 2533. https://doi.org/10.3390/buildings15142533

