Study on the Effects of Wind Direction on the Characteristics of Vortex-Induced Vibration for a Square Cylinder
Abstract
1. Introduction
2. Test Overview
2.1. Test Equipment and Model
2.2. Operating Conditions of the Test
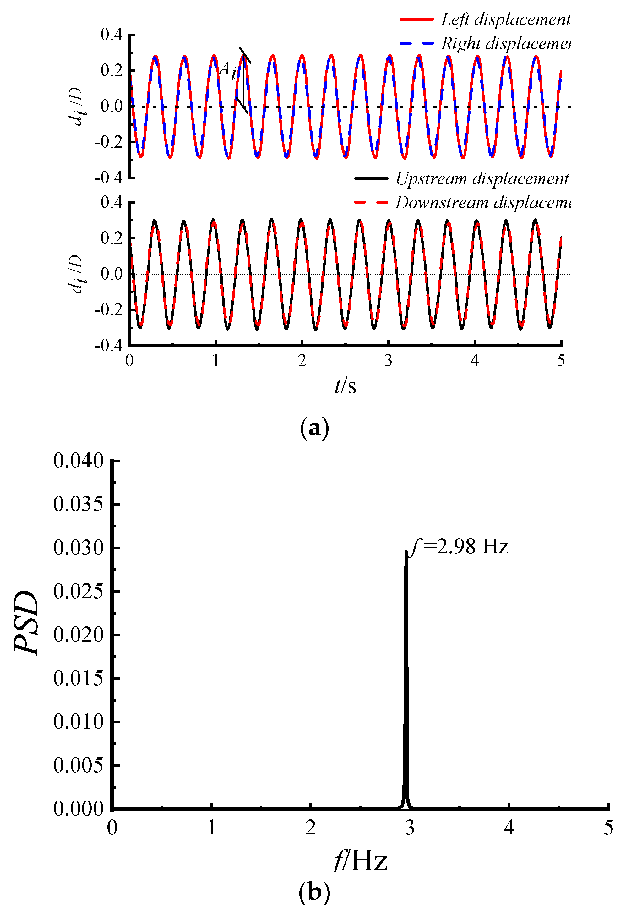
2.3. Parameter Definition
2.4. Dynamic Characteristics of the System
3. Occurrence of Vortex-Induced Vibrations
4. Test Conclusions
4.1. Influence of Wind Direction on Strouhal Number
4.2. Influence of Wind Direction on Lock-In Range and Amplitude
4.3. Effect of Wind Direction on Coupled Aerodynamic Forces
4.4. Influence of Wind Direction on Wind Pressure Distribution
5. Conclusions
- The Strouhal number of the square cylinder first increased and then decreased with the increase in wind direction, reaching its maximum at approximately 16°.
- The wind direction had a significant impact on the lock-in range and maximum amplitude of VIV in the square cylinder. At a wind direction of 10°, the lock-in range was the largest. In comparison, the amplitude was the smallest. At 0°, both the lock-in range and maximum amplitude were relatively large.
- The amplitude of the square cylinder was smallest at the 10° wind direction angle and greatest at the 30° wind direction angle.
- Compared with a stationary square cylinder, the wind direction had a smaller impact on the mean lift coefficient of the vibrating square cylinder but a greater impact on the mean drag coefficient, with the most significant effects occurring at wind directions of 20° and 30°.
- When the wind direction changed, the impact of cylinder vibration on the surface wind pressure varied significantly. Measures can be taken to adapt the surfaces, on which wind pressure changes greatly during vibration, to reduce these fluctuations, thereby achieving the goal of suppressing cylinder vibration.
Author Contributions
Funding
Data Availability Statement
Acknowledgments
Conflicts of Interest
References
- Nguyen, C.H.; Nguyen, D.T.; Owen, J.S.; Hargreaves, D.M. Wind tunnel measurements of the aerodynamic characteristics of a 3:2 rectangular cylinder including non-Gaussian and non-stationary features. J. Wind Eng. Ind. Aerodyn. 2022, 220, 104826. [Google Scholar] [CrossRef]
- Yang, X.; Su, Y.; Li, M.; Jiang, Z.; Du, S. Effect of turbulent integral scale on non-Gaussian characteristics of surface wind pressure on square cylinder. Phys. Fluids 2024, 36, 055150. [Google Scholar] [CrossRef]
- Feng, Z.; Lin, Y. Flutter Derivatives Identification and Uncertainty Quantification for Bridge Decks Based on the Artificial Bee Colony Algorithm and Bootstrap Technique. Appl. Sci. 2021, 11, 11376. [Google Scholar] [CrossRef]
- Wang, C.; Hua, X.; Feng, Z.; Xiao, H.; Chen, Z.; Zhang, J. Experimental investigation on vortex-induced vibrations of a triple-box girder with web modification. J. Wind Eng. Ind. Aerodyn. 2021, 218, 104783. [Google Scholar] [CrossRef]
- Ma, K.; Zhang, C.; Dang, X.; Zhang, G. Study on VIV Behavior of Two 5:1 Rectangular Cylinders in Tandem Based on Correlation Analysis. Buildings 2023, 14, 85. [Google Scholar] [CrossRef]
- Feng, Z.; Jing, H.; Wu, Q.; Li, Y.; Hua, X. Performance Evaluation of Inerter-Based Dampers for Bridge Flutter Control: A Comparative Study. Int. J. Struct. Stab. Dyn. 2023, 24, 2450058. [Google Scholar] [CrossRef]
- Carlson, D.W.; Currier, T.M.; Modarres-Sadeghi, Y. Flow-induced vibrations of a square prism free to oscillate in the cross-flow and inline directions. J. Fluid Mech. 2021, 919, A2. [Google Scholar] [CrossRef]
- Zhao, M. Effects of natural frequency ratio on vortex-induced vibration of a circular cylinder in steady flow. Phys. Fluids 2020, 32, 073604. [Google Scholar] [CrossRef]
- Lin, S.; Wang, Q.; Nikitas, N.; Liao, H. Effects of oscillation amplitude on motion-induced forces for 5:1 rectangular cylinders. J. Wind Eng. Ind. Aerodyn. 2019, 186, 68–83. [Google Scholar] [CrossRef]
- Govardhan, R.; Williamson, C.H.K. Modes of vortex formation and frequency response of a freely vibrating cylinder. J. Fluid Mech. 2000, 420, 85–130. [Google Scholar] [CrossRef]
- Govardhan, R.; Williamson, C.H.K. Critical mass in vortex-induced vibration of a cylinder. Eur. J. Mech.-B/Fluids 2004, 23, 17–27. [Google Scholar] [CrossRef]
- Modir, A.; Kahrom, M.; Farshidianfar, A. Mass ratio effect on vortex induced vibration of a flexibly mounted circular cylinder, an experimental study. Int. J. Mar. Energy 2016, 16, 1–11. [Google Scholar] [CrossRef]
- Sen, S.; Mittal, S. Effect of mass ratio on free vibrations of a square cylinder at low Reynolds numbers. J. Fluids Struct. 2015, 54, 661–678. [Google Scholar] [CrossRef]
- Sourav, K.; Kumar, D.; Sen, S. Vortex-induced vibrations of an elliptic cylinder of low mass ratio: Identification of new response branches. Phys. Fluids 2020, 32, 023605. [Google Scholar] [CrossRef]
- Chang, C.C.; Gu, M. Suppression of vortex-excited vibration of tall buildings using tuned liquid dampers. J. Wind Eng. Ind. Aerodyn. 1999, 83, 225–237. [Google Scholar] [CrossRef]
- Dorogi, D.; Baranyi, L. Identification of upper branch for vortex-induced vibration of a circular cylinder at Re=300. J. Fluids Struct. 2020, 98, 103135. [Google Scholar] [CrossRef]
- Chen, Z.; Huang, H.; Xu, Y.; Tse, K.T.; Kim, B.; Wang, Y. Unsteady aerodynamics on a tapered prism under forced excitation. Eng. Struct. 2021, 240, 112387. [Google Scholar] [CrossRef]
- Du, X.; Chen, R.; Dong, H.; Ma, W.; Xu, H.; Zhao, Y. Aerodynamic characteristics of two closely spaced square cylinders in different arrangements. J. Wind Eng. Ind. Aerodyn. 2021, 208, 104462. [Google Scholar] [CrossRef]
- Gaur, N.; Raj, R. Aerodynamic mitigation by corner modification on square model under wind loads employing CFD and wind tunnel. Ain Shams Eng. J. 2022, 13, 101521. [Google Scholar] [CrossRef]
- Yu, H.; Chen, W.-L.; Huang, Y.; Meng, H.; Gao, D. Dynamic wake of a square cylinder controlled with steady jet positioned at the rear stagnation point. Ocean Eng. 2021, 233, 109157. [Google Scholar] [CrossRef]
- Kozmar, H. Surface pressure on a cubic building exerted by conical vortices. J. Fluids Struct. 2020, 92, 102801. [Google Scholar] [CrossRef]
- Cui, Z.; Zhao, M.; Teng, B.; Cheng, L. Two-dimensional numerical study of vortex-induced vibration and galloping of square and rectangular cylinders in steady flow. Ocean Eng. 2015, 106, 189–206. [Google Scholar] [CrossRef]
- Irwin, H.P.A.H.; Cooper, K.R.; Girard, R. Correction of distortion effects caused by tubing systems in measurements of fluctuating pressures. J. Wind Eng. Ind. Aerodyn. 1979, 5, 93–107. [Google Scholar] [CrossRef]
- Alonso, G.; Valero, E.; Meseguer, J. An analysis on the dependence on cross section geometry of galloping stability of two-dimensional bodies having either biconvex or rhomboidal cross sections. Eur. J. Mech.-B/Fluids 2009, 28, 328–334. [Google Scholar] [CrossRef]
- Lee, B.E. The effect of turbulence on the surface pressure field of a square prism. J. Fluid Mech. 2006, 69, 263–282. [Google Scholar] [CrossRef]
















Disclaimer/Publisher’s Note: The statements, opinions and data contained in all publications are solely those of the individual author(s) and contributor(s) and not of MDPI and/or the editor(s). MDPI and/or the editor(s) disclaim responsibility for any injury to people or property resulting from any ideas, methods, instructions or products referred to in the content. |
© 2025 by the authors. Licensee MDPI, Basel, Switzerland. This article is an open access article distributed under the terms and conditions of the Creative Commons Attribution (CC BY) license (https://creativecommons.org/licenses/by/4.0/).
Share and Cite
Gu, Y.; Xing, J.; Zhang, X.; Wang, F.; Zhao, Q.; Ma, W. Study on the Effects of Wind Direction on the Characteristics of Vortex-Induced Vibration for a Square Cylinder. Buildings 2025, 15, 2129. https://doi.org/10.3390/buildings15122129
Gu Y, Xing J, Zhang X, Wang F, Zhao Q, Ma W. Study on the Effects of Wind Direction on the Characteristics of Vortex-Induced Vibration for a Square Cylinder. Buildings. 2025; 15(12):2129. https://doi.org/10.3390/buildings15122129
Chicago/Turabian StyleGu, Yurong, Junou Xing, Xiaobin Zhang, Fei Wang, Qiaochu Zhao, and Wenyong Ma. 2025. "Study on the Effects of Wind Direction on the Characteristics of Vortex-Induced Vibration for a Square Cylinder" Buildings 15, no. 12: 2129. https://doi.org/10.3390/buildings15122129
APA StyleGu, Y., Xing, J., Zhang, X., Wang, F., Zhao, Q., & Ma, W. (2025). Study on the Effects of Wind Direction on the Characteristics of Vortex-Induced Vibration for a Square Cylinder. Buildings, 15(12), 2129. https://doi.org/10.3390/buildings15122129

