Visual Quality Evaluation of Historic and Cultural City Landscapes: A Case Study of the Tai’erzhuang Ancient City
Abstract
1. Introduction
1.1. Methods for Landscape Visual Quality Assessment
1.2. Application of Eye Tracking Technology in Landscape Evaluation
2. Materials and Methods
2.1. Study Area
2.2. Research Methods
2.3. Experiment Design
2.3.1. Experiment Image Selection
2.3.2. Participant Selection
2.3.3. Experimental Equipment
2.3.4. Experiment Procedure
2.3.5. Indicator Selection
2.3.6. Data Analysis
3. Results
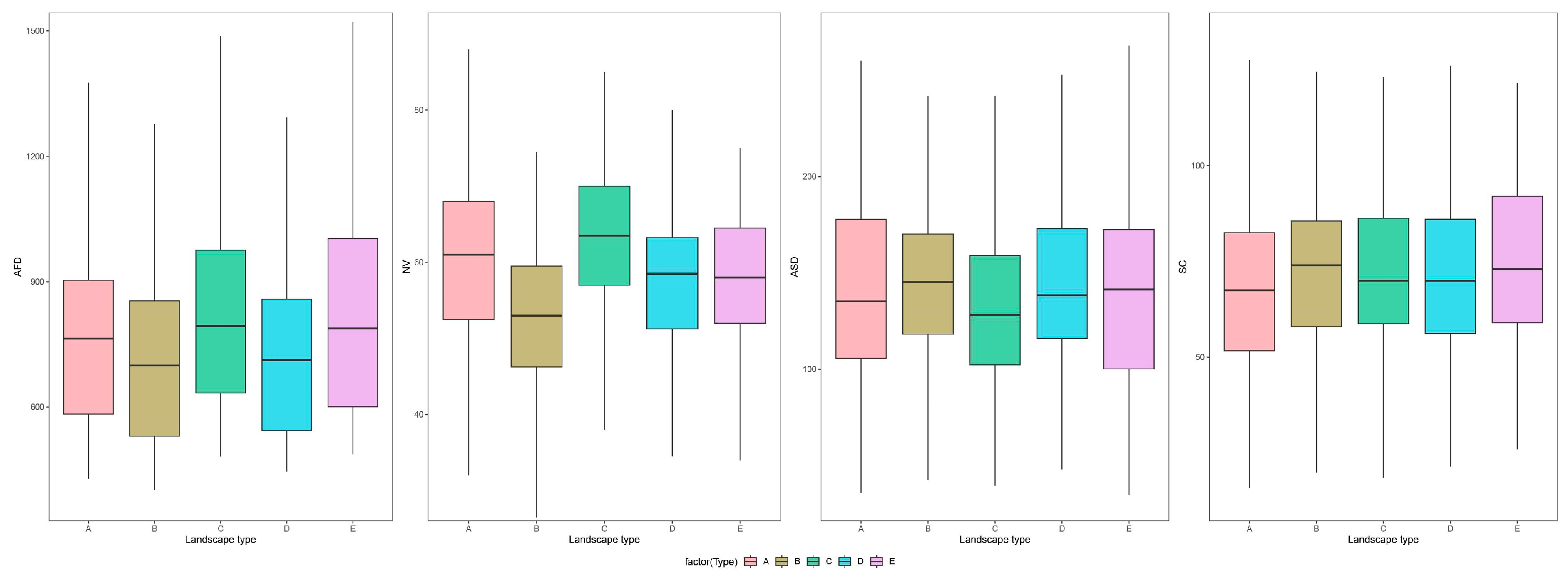
3.1. Differences in Eye Movement Indicators
3.2. Eye Tracking Heatmaps
3.3. Analysis of Landscape Preference Questionnaire Evaluation Results
3.4. Correlation Analysis Results Between Eye Movement Indicators and Subjective Evaluations
4. Discussion
4.1. Differences in Visual Attention Among Different Types of Landscapes in Historic and Cultural Cities
4.2. Differences and Similarities in the Attractive Features of Landscape Types in Historic and Cultural Cities
4.3. Landscape Enhancement, Optimization, and Conservation Strategies
- Enhance Visual Foci of Landscape Elements: For landscape types with insufficient attractiveness, such as ruins landscapes, efforts should be made to optimize the layout and enhance visual foci to capture more attention from the audience. This can be achieved by setting up conspicuous signs and adding interactive elements to guide the viewers’ gaze and arouse their curiosity.
- Improve Information Transmission Efficiency: In landscape design, emphasis should be placed on the efficiency and clarity of information transmission. While the arrangement of landscape elements and provision of visual guidance can potentially enhance viewers’ experience, it is crucial to ensure that such practices are in harmony with the protection and preservation of cultural heritage landscapes. In the context of international heritage policies, it is recommended to focus on enhancing the landscape experience through educational and interpretive approaches that respect the authenticity and integrity of the heritage site. This can be achieved by providing informative signage, guided tours, and interactive digital content that deepen visitors’ understanding and appreciation of the landscape’s cultural and historical significance, thereby enriching their overall experience without compromising the landscape’s heritage values.
- Protect and Highlight Landscape Features: Different landscape types possess unique characteristics and cultural connotations, which are crucial for attracting audiences. During the enhancement process, it is essential to focus on protecting and highlighting these distinctive elements to boost the landscapes’ appeal and uniqueness. Furthermore, effort should be made to preserve the original natural landscapes and cultural relics, enhance the quality of local tourism performances, and reinforce the attachment to film effects and celebrity effects. Local elements should be integrated into transportation, service facilities, accommodation, and shopping to strengthen the unique brand [20].
- Enhance Landscape Diversity and Hierarchy: Landscape types such as historical street landscapes, which provide rich visual information, demonstrate that diversity and hierarchy are significant for enhancing the audience experience. In landscape design, emphasis should be placed on the diversity and hierarchy of landscape elements to offer a richer and more interesting viewing experience. Culture-oriented urban space production in ancient cities helps to overcome the dilemma of “constructive destruction” and “protective decay”, achieving the revitalization of ancient cities.
- Enhance Landscape Interactivity with Technological Approaches: With the development of technology, advanced techniques such as Virtual Reality (VR) and Augmented Reality (AR) can be utilized to enhance the interactivity and entertainment of landscapes, thereby attracting more attention and participation from audiences.
4.4. Limitations
- Participant Selection: This study assessed the experiences of various landscape types in Tai’erzhuang Ancient City but did not examine demographic factors like gender and age among participants. The preferences of visitors who have previously been to Tai’erzhuang Ancient City might vary, particularly in their appreciation of architectural and cultural landscapes. Future research could offer a more comprehensive evaluation of experiences by incorporating participants with diverse demographic backgrounds.
- Observation Indicator Limitations: This study mainly utilized eye tracking devices to record eye movements across different landscape types, but was unable to assess other indicators. To enhance the precision of evaluative outcomes, future studies may consider combining eye tracking data with other physiological measurement techniques, such as electroencephalography (EEG), to enable a more in-depth and holistic analysis of diverse landscape types and their influence on audience experience.
5. Conclusions
Author Contributions
Funding
Data Availability Statement
Conflicts of Interest
References
- Escobar, A. Culture sits in places: Reflections on globalism and subaltern strategies of localization. Political Geogr. 2001, 20, 139–174. [Google Scholar] [CrossRef]
- Chen, M.; Wang, J.; Sun, J.; Ye, F.; Zhang, H. Spatio-Temporal Distribution Characteristics of Intangible Cultural Heritage and Tourism Response in the Beijing–Hangzhou Grand Canal Basin in China. Sustainability 2023, 15, 348. [Google Scholar] [CrossRef]
- Liu, Z.Q. The Construction of the Grand Canal National Cultural Park Is Being Actively Promoted. People’s Daily, 5 March 2024. [Google Scholar]
- Wang, Q.G. Research on the Space Production of Ancient Cities Oriented by Culture. Dongyue Forum 2023, 44, 182–190. [Google Scholar] [CrossRef]
- Cao, Y.P.; Wang, R.X. The Motivations and Pathways for the Integrated Construction of the Yangtze River and Grand Canal National Cultural Parks. Jianghai Acad. J. 2024, 108–114+255. [Google Scholar] [CrossRef]
- Qi, T.; Wang, Y.J.; Wang, W.H. A Review of International Visual Landscape Research. Prog. Geogr. 2013, 32, 975–983. [Google Scholar]
- Kaplan, R.; Kaplan, S. The Experience of Nature: A Psychological Perspective; Cambridge University Press: New York, NY, USA, 1989. [Google Scholar]
- Kaplan, R. The analysis of perception via preference: A strategy for studying how the environment is experienced. Landsc. Plan. 1985, 12, 161–176. [Google Scholar] [CrossRef]
- Wang, Y.; Chen, X.F. Psychophysical technique and its application in forest landscape evaluation abroad. For. Sci. 1999, 35, 110–117. [Google Scholar] [CrossRef]
- Cao, X. A comparative research on quantitative evaluation models of landscape resources: A summary and comparison. Tour. Sci. 2005, 19, 32–39. [Google Scholar]
- Feng, J.Z.; Liu, B.Y. Rationalization:A research on inventory methods of scenic resources. Archit. J. 1991, 5, 38–43. [Google Scholar]
- Daniel, T.C.; Boster, R.S. Measuring Landscape Esthetics: The Scenic Beauty Estimation Method; Plenum Press: New York, NY, USA, 1976. [Google Scholar]
- Buhyoff, G.J.; Leuschner, W.A.; Arndt, L.K. Replication of a scenic preference function. For. Sci. 1980, 26, 227–230. [Google Scholar]
- Osgood, C.E. Semantic differential technique in the comparative study of cultures. Am. Anthropol. 1964, 66, 171–200. [Google Scholar] [CrossRef]
- Yu, K.J. Research on the evaluation of natural landscape quality—BIBLCJ aesthetic judgment measurement method. J. Beijing Univ. 1988, 2, 1–11. [Google Scholar]
- Zhang, G.; Yang, J.; Wu, G.; Hu, X. Exploring the interactive influence on landscape preference from multiple visual attributes: Openness, richness, order, and depth. Urban For. Urban Green. 2021, 65, 127363. [Google Scholar] [CrossRef]
- Aghabozorgi, K.; van der Jagt, A.; Bell, S.; Smith, H. The role of university campus landscape characteristics in students’ mental health. Urban For. Urban Green. 2025, 111, 128863. [Google Scholar] [CrossRef]
- Xie, Q.; Hu, L.; Wu, J.; Shan, Q.; Li, W.; Shen, K. Investigating the Influencing Factors of the Perception Experience of Historical Commercial Streets: A Case Study of Guangzhou’s Beijing Road Pedestrian Street. Buildings 2024, 14, 138. [Google Scholar] [CrossRef]
- Duan, X.L.; Chan, C.S.; Lawal, M. Marafa. Does Authenticity Exist in Cultural Theme Parks? A Case Study of Millennium City Park in Henan, China. J. Tour. Cult. Change 2018, 17, 321–338. [Google Scholar] [CrossRef]
- Zhang, L.; Yang, K.; Liu, B.Y.; Liu, S.Y. Research on the Perceived Regional Characteristics of Jiangnan Water Town Landscapes from the Perspectives of Tourists and Residents: A Case Study of Tongli Ancient Town. Chin. Gard. 2019, 35, 10–16. [Google Scholar]
- Yang, Y.; Wang, Z.; Shen, H.; Jiang, N. The Impact of Emotional Experience on Tourists’ Cultural Identity and Behavior in the Cultural Heritage Tourism Context: An Empirical Study on Dunhuang Mogao Grottoes. Sustainability 2023, 15, 8823. [Google Scholar] [CrossRef]
- Tung, Y.-H.; Yang, Z.-R.; Shen, M.-W.; Chang, C.-Y.; Chen, C.-C.; Ho, L.-C. Research note: Assessing human preferences for natural landscapes—An analysis of ChatGPT-4 and LLaVA models. Landsc. Urban Plan. 2025, 259, 105371. [Google Scholar] [CrossRef]
- Zhang, L.; Zhao, S.H. The Coupling Relationship between the Perception of Locality and Tourist Pleasure in Jiangnan Water Towns under Tourism Development: A Case Study of Zhujiajiao Ancient Town in Shanghai. Hous. Sci. Technol. 2024, 44, 59–65. [Google Scholar]
- Santoro, A.; Venturi, M.; Agnoletti, M. Landscape Perception and Public Participation for the Conservation and Valorization of Cultural Landscapes: The Case of the Cinque Terre and Porto Venere UNESCO Site. Land 2021, 10, 93. [Google Scholar] [CrossRef]
- Misthos, L.M.; Krassanakis, V.; Merlemis, N.; Kesidis, A.L. Modeling the visual landscape: A review on approaches, methods and techniques. Sensors 2023, 23, 8135. [Google Scholar] [CrossRef]
- Daniel, T.C.; Vining, J. Methodological issues in the assessment of landscape quality. In Behavior and the Natural Environment; Springer: Boston, MA, USA, 1983; pp. 39–84. [Google Scholar] [CrossRef]
- De-Lucio, J.V.; Mohamadian, M.; Ruiz, J.P.; Banayas, J.; Bernaldez, F.G. Visual landscape exploration as revealed by eye-movement tracking. Landsc. Urban Plan. 1996, 34, 142. [Google Scholar] [CrossRef]
- Nassaueer, J.I. Cultural principle of the landscape. Landsc. Ecol. 1995, 10, 229–237. [Google Scholar] [CrossRef]
- Cosgrove, D. Social Formation and Symbolic Landscape; Groom Helm: London, UK, 1984; pp. 56–84. [Google Scholar]
- Rambonilaza, M.; Dachary-Bernard, J. Land-use planning and public preferences: What can we learn from choice experiment method? Landsc. Urban Plan. 2007, 83, 318–326. [Google Scholar] [CrossRef]
- Ryan, R.L. Preserving rural character in New England: Local residents’ perceptions of alternative residential development. Landsc. Urban Plan. 2002, 61, 19–35. [Google Scholar] [CrossRef]
- Deng, J.; Chen, J.; Lei, Y. A Study on the Visual Perception of Cultural Value Characteristics of Traditional Southern Fujian Architecture Based on Eye Tracking. Buildings 2024, 14, 3529. [Google Scholar] [CrossRef]
- Hao, S.; Hou, R.; Zhang, J.; Shi, Y.; Zhang, Y.; Wang, C. Visual behavior characteristics of historical landscapes based on eye-tracking technology. J. Asian Arch. Build. 2024, 24, 487–506. [Google Scholar] [CrossRef]
- Zheng, S.; Zhang, J.; Zu, R.; Li, Y. Visual Perception Differences and Spatiotemporal Analysis in Commercialized Historic Streets Based on Mobile Eye Tracking: A Case Study in Nanchang Wanshou Palace, China. Buildings 2024, 14, 1899. [Google Scholar] [CrossRef]
- Zhang, R.; Chai, D.; Zhou, Z.; Sun, R.; Zhang, Z.; Chen, C. Research on the Relationship Between Urban Visual Quality and Students’ Emotional Experience Driven by Multimodal Data: A Case Study of Beijing Olympic Park Museum Group. Buildings 2025, 15, 57. [Google Scholar] [CrossRef]
- Ye, F.; Yin, M.; Cao, L.; Sun, S.; Wang, X. Predicting Emotional Experiences through Eye-Tracking: A Study of Tourists’ Responses to Traditional Village Landscapes. Sensors 2024, 24, 4459. [Google Scholar] [CrossRef] [PubMed]
- Xu, X.; Dong, R.; Li, Z. Research on visual experience evaluation of fortress heritage landscape by integrating SBE–SD method and eye movement analysis. Herit. Sci. 2024, 12, 281. [Google Scholar] [CrossRef]
- Li, X.; Wang, P.; Li, L.; Liu, J. The influence of architectural heritage and tourists’ positive emotions on behavioral intentions using eye-tracking study. Sci. Rep. 2025, 15, 1447. [Google Scholar] [CrossRef] [PubMed]
- Jiang, X.; Wu, X.; Chen, F.; Chen, Z.; Li, Z. Visual Perception of Environmental Elements Analysis in Historical District Based on Eye-Tracking and Semi-Structured Interview: A Case Study in Xining, Taishan. Buildings 2025, 15, 1554. [Google Scholar] [CrossRef]
- Evans, D.; Chamberlain, B. In Pursuit of Eye Tracking for Visual Landscape Assessments. Land 2024, 13, 1184. [Google Scholar] [CrossRef]
- Taierzhuang Ancient City Official Website—The First Village Under Heaven [EB/OL]. Available online: http://www.tezgc.com (accessed on 15 May 2025).
- Li, Z.P.; Liu, L.M.; Xie, H.L. Methodology of rural landscape classifcation: A case study in Baijiatuan Village, Haidian District, Beijing. Resour. Sci. 2005, 27, 167–173. [Google Scholar] [CrossRef]
- Qin, Z.X.; Tan, M.H.; Zhang, W. Tourists’ Landscape Visual Perception and Emotional Experience in Historic and Cultural Characteristic Blocks. J. Arid Land Resour. Environ. 2024, 38, 201–208. [Google Scholar] [CrossRef]
- Nie, W.J. Design and Research on Cultural Display Spaces in Ancient Villages and Towns. Master’s Thesis, Tsinghua University, Beijing, China, 2015. [Google Scholar]
- Yu, L.B. Identification and Evaluation of Landscape Values of Historic and Cultural Blocks Based on HUL Theory. Master’s Thesis, Chongqing University, Chongqing, China, 2023. [Google Scholar]
- Liu, P.L. Gene expression and landscape recognition of the cultural landscape of ancient villages. J. Hengyang Normal Univ. 2003, 4, 1–8. [Google Scholar] [CrossRef]
- Palmer, J.F.; Hofman, R.E. Rating reliability and representation validity in scenic landscape assessments. Landsc. Urban Plan. 2001, 54, 149–161. [Google Scholar] [CrossRef]
- Dazhongdainping [EB/OL]. Available online: https://account.dianping.com/ (accessed on 15 March 2025).
- Huang, A.S.; Lin, Y. The effect of landscape colour, complexity and preference on viewing behaviour. Landsc. Res. 2019, 45, 214–227. [Google Scholar] [CrossRef]
- Dupont, L.; Antrop, M.; Van Eetvelde, V. Does landscape related expertise infuence the visual perception of landscape photographs? Implications for participatory landscape planning and management. Landsc. Urban Plan. 2015, 141, 68–77. [Google Scholar] [CrossRef]
- Habron, D. Visual perception of wild land in Scand. Landsc. Urban Plan. 1998, 42, 45–56. [Google Scholar] [CrossRef]
- Wang, J.X.; Jia, L.P.; Huang, P.P. Attentional bias to emotional scene pictures: An eye-tracking study. Psychol. Sci. 2014, 37, 1291–1295. [Google Scholar] [CrossRef]
- Cottet, M.; Vaudor, L.; Tronchere, H.; Roux-Michollet, D.; Augendre, M.; Brault, V. Using gaze behavior to gain insights into the impacts of naturalness on city dwellers’ perceptions and valuation of a landscape. J. Environ. Psychol. 2018, 60, 9–20. [Google Scholar] [CrossRef]
- Byrne, M.D.; Byrne, M.D.; Anderson, J.R.; Douglass, S.; Matessa, M. Eye tracking the visual search of click-down menus. In Proceedings of the SIGCHI Conference on Human Factors in Computing Systems, Pittsburgh, PA, USA, 15–20 May 1999; pp. 402–409. [Google Scholar]
- Gao, Y.; Zhang, T.; Zhang, W.; Meng, H.; Zhang, Z. Research on visual behavior characteristics and cognitive evaluation of diferent types of forest landscape spaces. Urban For. Urban Green. 2020, 54, 126788. [Google Scholar] [CrossRef]
- Lai, M.L.; Tsai, M.J.; Yang, F.Y.; Hsu, C.Y.; Liu, T.C.; Lee, S.W.Y.; Lee, M.H.; Chiou, G.L.; Liang, J.C.; Tsai, C.C. A review of using eye-tracking technology in exploring learning from 2000 to 2012. Educ. Res. Rev. 2013, 10, 90–115. [Google Scholar] [CrossRef]
- Zhou, X.; Cen, Q.; Qiu, H. Effects of urban waterfront park landscape elements on visual behavior and public preference: Evidence from eye-tracking experiments. Urban For. Urban Green. 2023, 82, 127889. [Google Scholar] [CrossRef]
- Zhang, J.H. Investigative analysis method 16 in planning and design: SD method. Chin. Landsc. Arch. 2004, 20, 57–61. [Google Scholar]
- Gobster, P.H.; Nassauer, J.I.; Daniel, T.C.; Fry, G. The shared landscape: What does aesthetics have to do with ecology? Landsc. Ecol. 2007, 22, 959–972. [Google Scholar] [CrossRef]
- Avolio, M.L.; Pataki, D.E.; Pincetl, S.; Gillespie, T.W.; Jenerette, G.D.; McCarthy, H.R. Understanding preferences for tree attributes: The relative efects of socio-economic and local environmental factors. Urban Ecosyst. 2015, 18, 73–86. [Google Scholar] [CrossRef]
- Bojko, A. Informative or misleading? Heatmaps deconstructed. In Human-Computer Interaction: New Trends, Proceedings of the 13th International Conference, San Diego, CA, USA, 19–24 July 2009; Springer: Berlin/Heidelberg, Germany, 2009; pp. 30–39. [Google Scholar]
- Ren, J.Y. Landscape visual evaluation and place attachment in historical and cultural districts: A study based on semantic differential scale and eye tracking experimental methods. Multimed. Syst. 2024, 30, 306. [Google Scholar] [CrossRef]









| Eye Movement Metrics | Saccade Count | Basic Significance |
|---|---|---|
| Average fixation duration/ms | AFD | The average duration of each fixation when observing a specific area or object reflects the individual’s level of attention to that area and the length of time required for information processing. |
| Number of views/n | NV | The total number of fixations made when observing a specific area or object reflects the frequency of attention and the degree of interest that an individual has toward that area. |
| Average scan duration/ms | ASD | The average duration of each saccade, which is the rapid movement of the eyes from one fixation point to another during the observation process, reflects the speed of visual information processing and the efficiency of eye movement. |
| Scan count/n | SC | The total number of saccades, which are the rapid movements of the eyes from one fixation point to another during the observation process, reflects the frequency and range of visual exploration. |
| Eye Movement Metrics | Average Fixation Duration/ms | Number of Views/n | Average Scan Duration/ms | Scan Count/n |
|---|---|---|---|---|
| Overall Differences | 0.001 ** | 0.00 ** | 0.128 | 0.022 * |
| Differences Among Landscape Types | ||||
| Historical Building Landscape (a) | 835.14 | 59.85 b | 139.92 | 67.42 e |
| Ruins Landscape (b) | 755.34 c | 52.57 acde | 146.02 | 73.96 |
| Canal Cultural Landscape (c) | 873.7 bd | 62.67 bde | 133.3 | 72.96 |
| Modern Commemorative Landscape (d) | 759.86 c | 56.96 bc | 143.99 | 71.76 |
| Historical Street Landscape (e) | 852.57 | 57.2 bc | 139.73 | 75.19 a |
| Relax | Curiosity | Attractiveness | Aesthetics | Characteristics | Cultural | |
|---|---|---|---|---|---|---|
| Overall Differences | 0.000 ** | 0.000 ** | 0.000 ** | 0.000 ** | 0.186 | 0.000 ** |
| Differences Among Landscape Types | ||||||
| Historical Building Landscape (a) | 3.53 c | 3.82 bcde | 3.96 bcd | 4.28 bcd | 4.17 | 4.35 bde |
| Ruins Landscape (b) | 3.35 ce | 3.37 ac | 3.44 ace | 3.85 ace | 4.05 | 4.1 a |
| Canal Cultural Landscape (c) | 4.56 abde | 4.25 abde | 4.6 abde | 4.72 abde | 4.06 | 4.17 |
| Modern Commemorative Landscape (d) | 3.44 c | 3.42 ac | 3.52 ace | 4 ace | 3.95 | 3.99 a |
| Historical Street Landscape (e) | 3.61 bc | 3.54 ac | 3.99 bcd | 4.43 bcd | 4.05 | 3.99 a |
Disclaimer/Publisher’s Note: The statements, opinions and data contained in all publications are solely those of the individual author(s) and contributor(s) and not of MDPI and/or the editor(s). MDPI and/or the editor(s) disclaim responsibility for any injury to people or property resulting from any ideas, methods, instructions or products referred to in the content. |
© 2025 by the authors. Licensee MDPI, Basel, Switzerland. This article is an open access article distributed under the terms and conditions of the Creative Commons Attribution (CC BY) license (https://creativecommons.org/licenses/by/4.0/).
Share and Cite
Du, P.; Man, X.; Wang, Y.; Wang, Y.; Li, H.; Yin, C.; Lin, Z.; Fan, J. Visual Quality Evaluation of Historic and Cultural City Landscapes: A Case Study of the Tai’erzhuang Ancient City. Buildings 2025, 15, 2115. https://doi.org/10.3390/buildings15122115
Du P, Man X, Wang Y, Wang Y, Li H, Yin C, Lin Z, Fan J. Visual Quality Evaluation of Historic and Cultural City Landscapes: A Case Study of the Tai’erzhuang Ancient City. Buildings. 2025; 15(12):2115. https://doi.org/10.3390/buildings15122115
Chicago/Turabian StyleDu, Pengfei, Xinbei Man, Yanbo Wang, Yanfen Wang, Hanyue Li, Chenghan Yin, Zimin Lin, and Junxi Fan. 2025. "Visual Quality Evaluation of Historic and Cultural City Landscapes: A Case Study of the Tai’erzhuang Ancient City" Buildings 15, no. 12: 2115. https://doi.org/10.3390/buildings15122115
APA StyleDu, P., Man, X., Wang, Y., Wang, Y., Li, H., Yin, C., Lin, Z., & Fan, J. (2025). Visual Quality Evaluation of Historic and Cultural City Landscapes: A Case Study of the Tai’erzhuang Ancient City. Buildings, 15(12), 2115. https://doi.org/10.3390/buildings15122115

