Experimental Research on Polymers for the Restoration of Cultural Relic Buildings
Abstract
1. Introduction
2. Experimental Principles and Testing Methods
2.1. Experimental Principle
- (1)
- Experimental materials: The main raw materials for the experiment include distilled water, acrylic acid, magnesium oxide, ammonium persulfate, triethanolamine, and glycerol. The acrylic acid manufacturer is Jinan Mingwei Chemical Co., Ltd. (Jinan, China), the magnesium oxide manufacturer is Tianjin Zhiyuan Chemical Reagent Co., Ltd. (Tianjin, China), the ammonium persulfate manufacturer is Tianjin Zhiyuan Chemical Reagent Co., Ltd., the triethanolamine manufacturer is Tianjin Zhonglian Chemical Reagent Co., Ltd. (Tianjin, China), and the glycerol manufacturer is Tianjin Zhonglian Chemical Reagent Co., Ltd.
- (2)
- Preparation principle: Based on the acid-base neutralization reaction, acrylic acid is mixed with MgO and reacted to prepare the magnesium acrylate monomer solution. The reaction formula is as follows:
- (3)
- Magnesium acrylate exhibits excellent water resistance. The acrylic groups and magnesium ions in its molecular structure can form stable chemical bonds, endowing it with good stability in water and making it less prone to dissolution or decomposition by water. It can be used to prepare various water-resistant coatings, waterproof materials, etc., enhancing the waterproof performance and weather resistance of materials.
2.2. Experimental Test Methods
- (1)
- Curing time test
- (2)
- Swelling performance test
- (3)
- Water loss rate test
- (4)
- Soil sample immersion test analysis
3. Results and Discussion
3.1. Analysis of the Properties of Magnesium Acrylate Polymer
3.1.1. Preparation of Magnesium Acrylate Solution
3.1.2. Curing Time Analysis
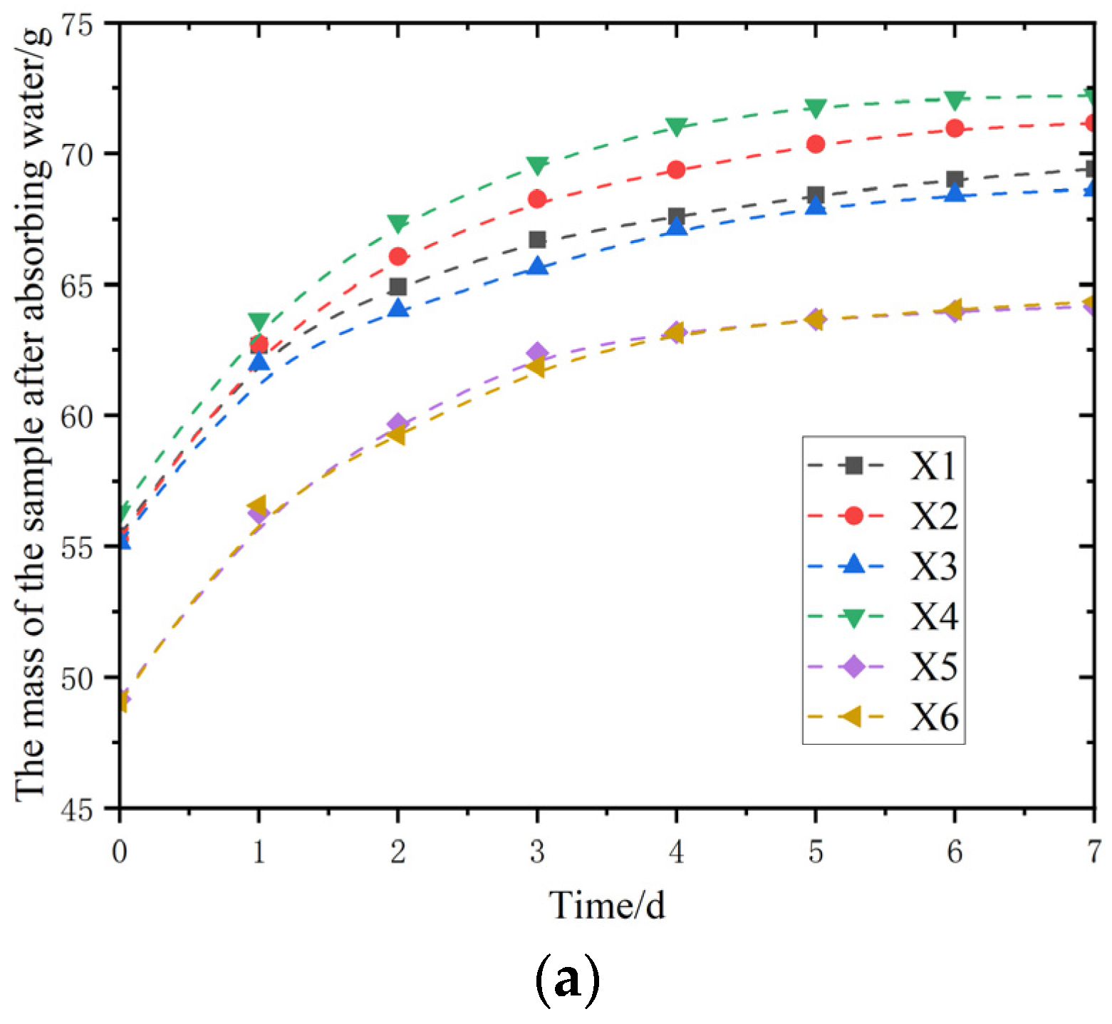
3.1.3. Analysis Swelling Performance Analysis
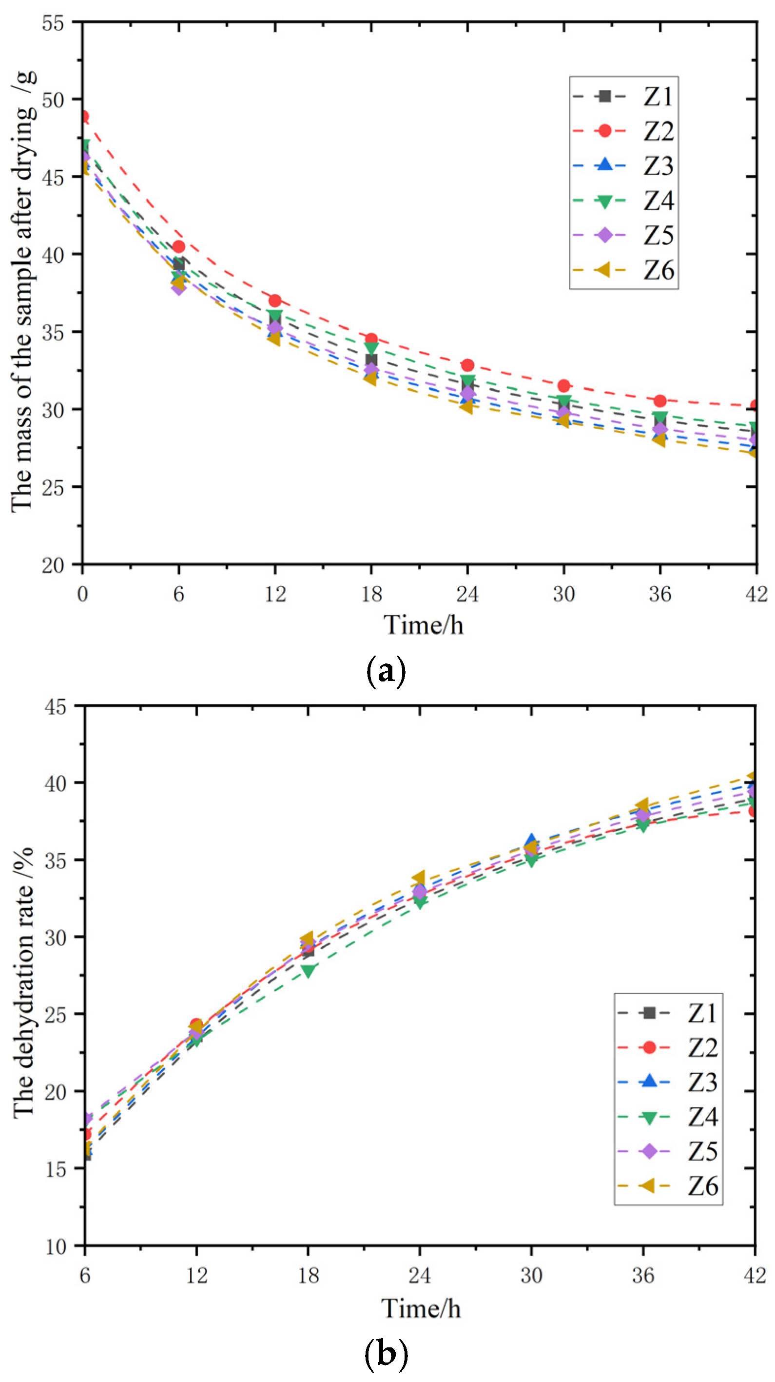
3.1.4. Analysis of Water Loss Rate
3.1.5. Testing and Analysis of Polymer Soil Samples
- (1)
- Magnesium acrylate solution is weakly acidic (acrylic acid is an organic acid, approximately pH = 6.8), and it will undergo soil carbonate reaction. If the soil contains calcium carbonate (commonly found in alkaline soil), the acid reacts with the carbonate to produce carbon dioxide gas, and the release of the gas causes bubbles to appear on the surface of the soil sample [22].
- (2)
- Precipitation and structural remodeling produce a honeycomb structure, generating insoluble salts. If calcium ions are present in the soil, the magnesium acrylate solution may react with Ca2+ to form slightly soluble calcium acrylate, which precipitates in the pores of the soil sample to form a network structure, supporting the honeycomb surface [23,24].
- (3)
- Compared with the experiment with deionized water, the osmotic pressure of the magnesium acrylate solution is higher due to the influence of high-concentration solutions, which may promote the migration of water on the surface of the soil sample, intensify expansion, and form a porous structure [25].
3.1.6. Summary
3.2. Performance Analysis of 4-Glycerol-Modified Magnesium Acrylate Polymer
3.2.1. Curing Time Analysis
3.2.2. Swelling Performance Analysis
3.2.3. Analysis of Water Loss Rate
3.2.4. Testing and Analysis of Soil Samples Modified with Glycerol Polymer
- (1)
- The complexation effect of glycerol on metal ions [26], the polyhydroxyl structure of glycerol (glycerol) can form stable polymers with Mg2+ (such as [Mg(glycerol)]2+), significantly reducing the concentration of free Mg2+ in the solution. The exchange between Mg2+ and surface cations (such as Ca2+ and Na+) of clay minerals has been reduced, thereby weakening the driving force for the water absorption and expansion of soil samples.
- (2)
- (3)
- Changes in the physical properties of the solution [29,30]: The high viscosity of glycerol (approximately 945 mPa·s) reduces the fluidity of the solution, hindering the rapid release and diffusion of CO2 bubbles, resulting in a reduction or even disappearance of the bubbles. Glycerol reduces the surface tension of the solution, making bubbles more prone to rupture and difficult to form a stable honeycomb structure on the surface of the soil sample.
3.2.5. Summary
3.3. Performance Analysis of Composite Modified Magnesium Acrylate Polymer
3.3.1. Curing Time Analysis
- (1)
- Magnesium acrylate is a weak acid salt. In aqueous solution, it undergoes a certain degree of hydrolysis, giving the solution a certain degree of alkalinity. Sodium methyl silicate will ionize into silicate ions and so on in water. When magnesium acrylate solution is mixed with sodium methyl silicate, magnesium ions (Mg2+) react with silicate ions (SiO32−) to form magnesium silicate (MgSiO3).
- (2)
- Sodium methyl silicate has a certain surface activity effect. When added to magnesium acrylate solution, it may change the surface tension and colloidal properties of the solution. Magnesium acrylate solution may have certain colloidal properties. The addition of sodium methyl silicate may disrupt the stability of this colloid, causing some of its components to coagulate or precipitate.
- (3)
- From the perspective of ionic reactions, the ion concentration in the solution and the interactions between ions have changed. After adding sodium methyl silicate, the types and concentrations of ions in the solution change, causing the ion product of magnesium ions and silicate ions to exceed the solubility product constant of magnesium silicate, thereby promoting the precipitation of magnesium silicate.
3.3.2. Swelling Performance Analysis
3.3.3. Analysis of Water Loss Rate
3.3.4. Testing and Analysis of Soil Samples Modified with Composite Polymer
3.3.5. Summary
4. Conclusions
- (1)
- The concentration of the initiator is a key factor affecting the curing rate of magnesium acrylate polymers. When the initiator content is ≥4%, the curing time is significantly shortened to 20–67 min, and the curing effect is stable. The incorporation of glycerol prolonged the curing time (100–140 min) by diluting the reaction system, but the dosage should be controlled at ≤55% to avoid incomplete curing. The addition of sodium methyl silicate does not change the curing time, but an excess (≥5%) will cause magnesium silicate precipitation, affecting the stability of the system.
- (2)
- Glycerol modification significantly enhanced the swelling capacity of the polymer, with the swelling rate increasing by approximately 15% to 20% compared to the unmodified system, and the initial water absorption rate also accelerated. The introduction of sodium methyl silicate did not have a significant effect on the swelling performance, but the high hygroscopicity of glycerol enhanced the water retention capacity of the composite polymer at 60 °C, reducing the dehydration rate by approximately 10–15%.
- (3)
- The composite modification of glycerol and sodium methyl silicate achieves complementary performance: Glycerol improves the flexibility and water retention of the polymer, while sodium methyl silicate enhances the durability of the water-blocking barrier. The optimal formula of magnesium acrylate polymer was obtained: 25% magnesium acrylate + 40% glycerol + 2% sodium methyl silicate. While maintaining curing for 120 min, it has a high swelling rate (equilibrium swelling ratio Ew ≈ 0.32) and a low dehydration rate (dehydration rate ≤ 35% after 48 h), and has volume stability after interaction with soil samples.
- (4)
- Polymers with excellent volume stability can form stable complexes with soil samples, preventing soil expansion and contraction caused by environmental humidity and temperature changes. Such materials reduce the need for repeated repairs, eliminating the requirement for frequent maintenance and avoiding secondary interventions on cultural relics. For non-renewable cultural heritage resources, this directly reflects the “minimum intervention” protection principle. Volume stability is often associated with a material’s environmental adaptability. Stable polymers can prevent soil disintegration caused by salt migration while avoiding the release of harmful substances due to water absorption and swelling, achieving the dual goals of “protection-compatibility”.
Author Contributions
Funding
Institutional Review Board Statement
Data Availability Statement
Acknowledgments
Conflicts of Interest
References
- Burri, N.M.; Weatherl, R.; Moeck, C.; Schirmer, M. A review of threats to groundwater quality in the anthropocene. Sci. Total Environ. 2019, 684, 136–154. [Google Scholar] [CrossRef] [PubMed]
- Yue, J.; Xu, S.; Lei, Y.; Yue, M.; Zhu, X. Macroscopic compressive strength study of historical grey bricks based on microscopic scale. Constr. Build. Mater. 2024, 421, 135634. [Google Scholar] [CrossRef]
- Li, B.; Jia, C.; Wang, G.; Ren, J.; Lu, G.; Liu, N. Numerical Analysis on the Performance of the Underwater Excavation. Adv. Civ. Eng. 2020, 8894138. [Google Scholar] [CrossRef]
- Fan, X.; Liu, B.; Fan, X. Causes Analysis and Reinforcement Techniques for 21 Horse Wall Cracks of Xi’an Ancient City Wall. J. Water Resour. Archit. Eng. 2017, 218, 012019. [Google Scholar]
- Yun, W. Comparison and selection of consolidation materials for the earthen sites and experimental study. J. Shaanxi Univ. Technol. Nat. Sci. Ed. 2010, 26, 36–39. [Google Scholar]
- Zhu, F.; Li, J.; Guo, Q.; Chen, Y.; Zhang, G.; Li, P.; Shang, D.; Yu, J.; Shan, Z.; Wu, F. Biomineralization technology of evaluation of soil reinforcement SuoYangCheng. J. Civ. Environ. Eng. 2025, 1–13, (In English and Chinese). Available online: http://kns.cnki.net/kcms/detail/50.1218.TU.20241008.1516.006.html (accessed on 9 October 2024).
- Sánchez-Calvillo, A.; Guzmán, E.M.A.; Ruvalcaba-Sil, J.L.; Molina, W.M.; Garcia, H.L.C.; Bedolla-Arroyo, J.A.; Navarro-Mendoza, E.G.; Blancas-Herrera, V.H.; Perez, J.A.V. Colorimetry of Clays as a Tool to Identify Soil Materials for Earthen Buildings Restoration. Key Eng. Mater. 2020, 862, 56–60. [Google Scholar] [CrossRef]
- Yoshihiro, H.; Mamoru, F. Study on a Construction Method of Earthen Walls Using Soil Cement. J. Struct. Constr. Eng. 2007, 72, 95–101. [Google Scholar] [CrossRef]
- Du, Z.; Zhu, J.; Ma, T.; Zhao, X.; Luo, H.; Liu, S. A Comparative Study on Reinforcement Materials for Earth Sites in Semi-Arid Areas: A Case Study of a Large Earth Site in Lintong Area, Shaanxi Province. Mater. Rev. 2025, 39, 24030010-9. [Google Scholar]
- Zhu, J.; Cai, L.; Guo, G. Research on the Application of Ethyl Silicate Reinforcement Materials in the Reinforcement and Protection of Soil Sites in Damp Environments. Cult. Relics Prot. Archaeol. Sci. 2015, 27, 7–14. [Google Scholar]
- Zhang, Y.; Shao, S.; Yin, X.; Guo, S.; Han, S. Evolution of the anti-weathering characteristics of clay at earthen sites treated with K2SiO3 solutions: Micromechanism analysis based on SEM tests. Bull. Eng. Geol. Environ. 2022, 81, 439. [Google Scholar] [CrossRef]
- Wang, J.K.; Zhou, S. Research on the Permeability Performance of Non-water Bulk Materials for Reinforcement of Earthen Sites. Res. Grottoes Earthen Site Conserv. 2022, 1, 93–101. [Google Scholar]
- Chai, X.J.; He, C.F.; Yu, J.W.; Gao, Y.S.; Rao, C.X. Unconfined Compression Strength of Tianluoshan Relic Soils Solidified by Methyl Acrylic Acid Resin. Adv. Mater. Res. 2012, 594–597, 343–346. [Google Scholar] [CrossRef]
- Wang, Y.; Li, G. Experimental Study on the Screening of Reinforcement and Protection Materials for Earth Sites in Damp Environments: A Case Study of the Tanshishan Site in Fujian Province. Cult. Relics Prot. Archaeol. Sci. 2014, 26, 8–21. [Google Scholar]
- Luo, J.; Sun, S.; Zhao, T.; Li, Q.; Gao, S. Bonding and toughness properties of PVA fibre reinforced aqueous epoxy resin cement repair mortar. Constr. Build. Mater. 2013, 49, 766–771. [Google Scholar] [CrossRef]
- Mercuri, M.; Vailati, M.; Gregori, A. Lime-based mortar reinforced with randomly oriented polyvinyl-alcohol (PVA) fibers for strengthening historical masonry structures. Dev. Built Environ. 2023, 14, 100152. [Google Scholar] [CrossRef]
- Yang, H.; Liu, P.; Sun, B.; Zhou, A.; PAN, D. Experimental Study on Screening and Proportion of Reinforcement Materials for the Ruins of Jinyang Ancient City. Sci. Technol. Eng. 2017, 17, 24–34. [Google Scholar]
- Hasbi Ab Rahim, M.; He, Q.; Lopez-Sanchez, J.A.; Hammond, C.; Dimitratos, N.; Sankar, M.; Carley, A.F.; Kiely, C.J.; Knight, D.W.; Hutchings, G.J.; et al. Gold, palladium and gold–palladium supported nanoparticles for the synthesis of glycerol carbonate from glycerol and urea. Catal. Sci. Technol. 2012, 2, 1914–1924. [Google Scholar] [CrossRef]
- Sun, C.; Wu, N.; Kou, S.; Wu, H.; Liu, Y.; Pei, A.; Li, Q. Occurrence, formation mechanism, detection methods, and removal approaches for chloropropanols and their esters in food: An updated systematic review. Food Chem. X 2023, 17, 10. [Google Scholar] [CrossRef]
- Guan, B. Effect of Acrylate Emulsion on the Mechanical and Microscopic Properties of Straw Fiber-Reinforced Cement-Magnesium Slag Stabilized Soil. Polymers 2024, 16, 3462. [Google Scholar] [CrossRef]
- Gao, D.; Zhang, J.; Lyu, B.; Ma, J.; Yang, Z. Polyacrylate crosslinked with furyl alcohol grafting bismaleimide: A self-healing polymer coating. Prog. Org. Coat. 2020, 139, 105475. [Google Scholar] [CrossRef]
- Ahmad, W.; Singh, B.; Dalal, R.C.; Dijkstra, F.A. Carbon dynamics from carbonate dissolution in Australian agricultural soils. Soil Res. 2015, 53, 144–153. [Google Scholar] [CrossRef]
- Zha, F.; Liu, C.; Kang, B.; Yang, X.; Zhou, Y.; Yang, C. Acid rain leaching behavior of Zn-contaminated soils solidified/stabilized using cement–soda residue. Chemosphere 2021, 281, 130916. [Google Scholar] [CrossRef]
- Chen, X.; Zhang, D.; Larson, S.L.; Ballard, J.H.; Knotek-Smith, H.M.; Nie, J.; Hu, N.; Ding, D.; Han, F.X. Microbially Induced Carbonate Precipitation Techniques for the Remediation of Heavy Metal and Trace Element–Polluted Soils and Water. Water Air Soil Pollut. 2021, 232, 268. [Google Scholar] [CrossRef]
- Yue, J.; Huang, X.; Zhao, L.; Wang, Z. Study on the factors affecting cracking of earthen soil under dry shrinkage and freeze–thaw conditions. Sci. Rep. 2022, 12, 1816. [Google Scholar] [CrossRef]
- Weng, L.; Elliott, G.D. Polymerization Effect of Electrolytes on Hydrogen-Bonding Cryoprotectants: Ion–Dipole Interactions between Metal Ions and Glycerol. J. Phys. Chem. B 2014, 118, 14546–14554. [Google Scholar] [CrossRef]
- Villa, A.; Campisi, S.; Mohammed KM, H.; Dimitratos, N.; Vindigni, F.; Manzoli, M.; Jone, W.; Bowker, M.; Hutchings, G.J. Tailoring the selectivity of glycerol oxidation by tuning the acid–base properties of Au catalysts. Catal. Sci. Technol. 2015, 5, 1126–1132. [Google Scholar] [CrossRef]
- Lauriol-Garbey, P.; Postole, G.; Loridant, S.; Auroux, A.; Belliere-Baca, V.; Rey, P.; Millet, J.M.M. Acid–base properties of niobium-zirconium mixed oxide catalysts for glycerol dehydration by calorimetric and catalytic investigation. Appl. Catal. B Environ. 2011, 106, 94–102. [Google Scholar] [CrossRef]
- Takamura, K.; Fischer, H.; Morrow, N.R. Physical properties of aqueous glycerol solutions. J. Pet. Sci. Eng. 2012, 98, 50–60. [Google Scholar] [CrossRef]
- Oss, C.V.; Good, R.J.; Busscher, R.J. Estimation of the polar surface tension parameters of glycerol and formamide, for use in contact angle measurements on polar solids. J. Dispers. Sci. Technol. 1990, 11, 75–81. [Google Scholar] [CrossRef]
- Yu, J.; Chen, Y.; Chen, G.; Wang, L. Experimental study of the feasibility of using anhydrous sodium metasilicate as a geopolymer activator for soil stabilization. Eng. Geol. 2020, 264, 105316. [Google Scholar] [CrossRef]
- Ma, Q.; Liu, S. Effect on Silt Capillary Water Absorption upon Addition of Sodium Methyl Silicate (SMS) and Microscopic Mechanism Analysis. Coatings 2020, 10, 724. [Google Scholar] [CrossRef]














| Group | Magnesium Acrylate Solution/g | Crosslinking Agent/g | Reducing Agent/g | Initiator/g | Curing Time (min) | 
|---|---|---|---|---|---|
| Z1 | 53.5 | 0.5 | 1 | 4% | 67 | 
| Z2 | 53.5 | 0.5 | 1 | 5% | 40 | 
| Z3 | 53.5 | 0.5 | 1 | 6% | 30 | 
| Z4 | 53.5 | 0.5 | 1 | 7% | 22 | 
| Z5 | 53.5 | 0.5 | 1 | 8% | 20 | 
| Z6 | 53.5 | 0.5 | 1 | 9% | 18 | 
| Group | Magnesium Acrylate Solution/g | Crosslinking Agent/g | Reducing Agent/g | Initiator/g | Glycerol Content | Curing Time (min) | Solidification Effect | 
|---|---|---|---|---|---|---|---|
| Y1 | 48.5 | 1 | 2 | 5% | 10% | 100 | Completely solidified | 
| Y2 | 48.5 | 1 | 2 | 5% | 20% | 100 | Completely solidified | 
| Y3 | 48.5 | 1 | 2 | 5% | 30% | 105 | Completely solidified | 
| Y4 | 48.5 | 1 | 2 | 5% | 40% | 120 | Completely solidified | 
| Y5 | 48.5 | 1 | 2 | 5% | 50% | 130 | Completely solidified | 
| Y6 | 48.5 | 1 | 2 | 5% | 55% | 140 | Completely solidified | 
| Group | Magnesium Acrylate Solution/g | Crosslinking Agent/g | Reducing Agent/g | Initiator/g | Glycerol Content | Sodium Methyl Silicate Content | Curing Time (min) | Solidification Effect | 
|---|---|---|---|---|---|---|---|---|
| X1 | 97 | 1 | 2 | 5% | 40% | 1% | 120 | No sediment | 
| X2 | 97 | 1 | 2 | 5% | 40% | 2% | 120 | No sediment | 
| X3 | 97 | 1 | 2 | 5% | 40% | 3% | 120 | No sediment | 
| X4 | 97 | 1 | 2 | 5% | 40% | 4% | 120 | No sediment | 
| X5 | 97 | 1 | 2 | 5% | 40% | 5% | 120 | Small sediment | 
| X6 | 97 | 1 | 2 | 5% | 40% | 6% | 120 | Small sediment | 
| Disclaimer/Publisher’s Note: The statements, opinions and data contained in all publications are solely those of the individual author(s) and contributor(s) and not of MDPI and/or the editor(s). MDPI and/or the editor(s) disclaim responsibility for any injury to people or property resulting from any ideas, methods, instructions or products referred to in the content. | 
© 2025 by the authors. Licensee MDPI, Basel, Switzerland. This article is an open access article distributed under the terms and conditions of the Creative Commons Attribution (CC BY) license (https://creativecommons.org/licenses/by/4.0/).
Share and Cite
Wang, X.; Yue, J.; Huang, T. Experimental Research on Polymers for the Restoration of Cultural Relic Buildings. Buildings 2025, 15, 2036. https://doi.org/10.3390/buildings15122036
Wang X, Yue J, Huang T. Experimental Research on Polymers for the Restoration of Cultural Relic Buildings. Buildings. 2025; 15(12):2036. https://doi.org/10.3390/buildings15122036
Chicago/Turabian StyleWang, Xinyu, Jianwei Yue, and Tuo Huang. 2025. "Experimental Research on Polymers for the Restoration of Cultural Relic Buildings" Buildings 15, no. 12: 2036. https://doi.org/10.3390/buildings15122036
APA StyleWang, X., Yue, J., & Huang, T. (2025). Experimental Research on Polymers for the Restoration of Cultural Relic Buildings. Buildings, 15(12), 2036. https://doi.org/10.3390/buildings15122036
 
        

 
       