Abstract
Centralized daylight control has been extensively studied for its ability to optimize useful daylight while mitigating glare in targeted areas. However, this approach lacks a comprehensive visual comfort framework, as it does not simultaneously address spatial glare distribution, uniform high useful daylight levels across all sensor points, and overheating prevention through regulated annual solar exposure. Nevertheless, decentralized control facilitates autonomous operation of the individual façade components, addressing all the objectives. This study integrates a biomimetic functional approach with building performance simulations by computational design to evaluate different kinetic façade configurations. Through the implementation of parametric modeling and daylight analysis, we have identified an optimal angular configuration (60° for the focal region, 50° for the non-focal region) that significantly increases building performance. The optimized design demonstrates substantial improvements, reducing excessive sunlight exposure by 45–55% and glare incidence by 65–72% compared to other dynamic solutions. The recommended steeper angles achieve superior performance, maintaining high useful daylight illuminance (UDI > 91.5%) while dramatically improving visual comfort. Sensitivity analysis indicates that even minor angular adjustments (5–10°) can induce a 10–15% variation in glare performance, emphasizing the necessity of precise control mechanisms in both focal and non-focal regions of the façade. These findings establish a framework for creating responsive building façades that balance daylight provision with occupant comfort in real-time operation.
1. Introduction
People spend a significant amount of time indoors, where daylighting plays a crucial role in illuminating the space and contributing to the comfort and well-being of occupants [1,2]. The façade acts as an interface that regulates energy flows between indoor and outdoor environments [3,4,5]. Acting as a mediator between the interior and exterior, the building skin selectively filters external influences, blocking unfavorable ones while allowing beneficial impacts to enhance indoor environmental quality [6,7]. Demands for diverse building performances have driven a shift from static to dynamic forms in façade design [8,9], as well as to dynamic, technology-driven forms incorporating adaptive features, like integrated sensors and biomimetic designs [7,10]. Variable skins now employ reflective [11,12,13], transmissive [14,15], and shading capabilities [16,17] to regulate light interaction with indoor spaces, fulfilling functional and control-oriented objectives. Several methodologies have been developed to enhance the responsiveness of kinetic skins to climate change [18,19,20].
In recent years, biomimicry has gathered significant attention from both industry and academia for its role in developing innovative building technologies inspired by adaptive geometries and mechanisms found in nature [21,22,23,24,25]. Janine [26] defines biomimicry as “the science of studying and imitating nature’s designs to address human challenges”. For instance, Lidia Badarnah introduced the concept of a “living envelope”, a bio-inspired system that dynamically responds to environmental stimuli changes to ensure occupant comfort [27]. Similarly, kinetic façades, including biomimetic designs, represent unconventional systems capable of altering their configuration, transforming their structure over time to adapt to changing conditions [2,28,29]. For example, Hosseini et al. (2020) [30] developed a kinetic façade which proposed real-time daylight control management based on sun positioning and occupant movement. A related study drew inspiration from tree morphology to develop a multilayered kinetic façade. While complex geometry enhanced visual comfort and daylight performance, it did not account for occupant positioning in determining centralized versus decentralized control strategies [24]. In contrast, Hosseini et al. (2024) [15] proposed a periodic interactive region inspired by the nanostructure of butterfly wings. Their study emphasized the performance differences between complex and simplified forms, highlighting the importance of focal regions, but overlooked the potential control benefits of non-focal areas in improving overall visual comfort and daylight distribution.
Since the concept of kinetic façades combines elements from nature, technology, and architecture, nature offers a valuable source of inspiration for building sustainable solutions [31]. There are practical examples of integrating movement and materials to develop centralized kinetic façades, such as the Arab World Institute and Al-Bahar Towers [32,33] (Figure 1). While this control system performs adequately in meeting users’ visual comfort requirements, it fails to simultaneously provide a glare-free view and excellent daylight performance for all points in the space while reducing solar gains to avoid overheating. Facade centralized systems make decisions based on single sensor points (areas), often neglecting the impact on other areas, resulting in responses that are not adaptive for the entire space. Therefore, it is crucial to review the literature and investigate the performance of centralized and decentralized systems to propose a new form and kinetic control system for façades.
Figure 1.
(A) Thysse Krupp cube, (B) Al-Bahar Towers, and (C) Arab World Institute [30,34].
The literature predominantly analyzes centralized control systems using parametric adjustments. However, the impact of decentralized systems, which allow modules at non-focal regions to operate independently under real-time control, has been largely overlooked. Upon closer examination, the logic control of decentralized systems and precise angular adjustments have been mostly unexplored in the context of unconventional façades. This logic can operate in real-time, responding to changes in user and sun positions to enhance visual comfort and daylight performance.
The study aims to answer the following questions:
- −
- How can a decentralized control strategy for unconventional façades improve daylight and enhance visual comfort?
- −
- To what extent does the kinetic façade form generation and precision of angle control improve the occupants’ daylight performance and visual comfort?
2. Literature Review
This section comprises two parts, namely (1) the state-of-the-art in kinetic façades (unconventional) and (2) biomimetic insights for kinetic and decentralized movements. In the first section, the study investigates the state-of-the-art of kinetic façades, with a focus on daylighting functions, to identify research gaps and potential developments. The second part will examine potential functional convergence in biological analogies and provides biomimetic examples for interactive and decentralized movements.
2.1. The State-of-the-Art in Kinetic Façades (Unconventional)
Recently, nature-inspired ideas have emerged as a valuable source for developing adaptive façade concepts. For example, the Flectofin™ project, inspired by the Strelitzia reginae flower, features a hinge-less louver system that rotates its lamina 90 degrees when an external force applied to the spine induces bending stresses [35,36]. Temperature changes activate the lamina’s displacements [36] (Figure 2a). Another project is Achim Menges’s meteorosensitive pavilion, HygroSkin, as shown in Figure 2b [37]. Plywood planar sheets are elastically bent to create a conical product for the project’s envelope, which is humidity-sensitive and may open and close independently in response to weather variations. These ideas represent high potential for energy efficiency and adaptability, utilizing the biomimetic approach [37,38,39,40].
Figure 2.
Examples of biomimetic adaptable building envelope projects: (a) Flectofin [35] and (b) Hygroskin [37].
Table 1 reviews recent research studies, covering topics including mechanisms, geometric forms, adaptation, environmental triggers, materials, functions, users’ detection and estimations, and control strategies. These systems have been explored in various building types and climates, comprising solar-responsive wall surfaces and intelligent systems, shading and blind systems, and unconventional façade designs [8,41]. Similarly, studies by Soliman and Bo [42] and Kuru et al. [43] introduced adaptive façades designed to address multiple functions, including thermoregulation and energy efficiency through daylight control in real-time operation. Most studies have concentrated on tropical, humid subtropical, and desert climates, highlighting the potential of kinetic façades to enhance visual comfort and daylight performance across diverse weather conditions. While parametric design, simulation, and building performance analysis are widely adopted, biomimetic strategies [2] and multiobjective optimization [42] are emerging as valuable methodologies in adaptive façade research. This evolution underscores the need to integrate biomimicry with computational design workflows [44]. Tools, such as Rhino, Grasshopper, and Ladybug Tools, commonly used in conjunction with Radiance and Energy Plus, enable detailed daylight and visual comfort analyses, supporting this integrated approach [29,45]. Although various kinetic mechanisms, such as rotation, sliding, and 3D transformations using hexagonal or rectangular modules, have been explored, there remains significant potential to integrate movement with complex three-dimensional geometries to enhance daylighting control performance.
Table 1.
Review of characteristics based on forms, control logic, and function of daylighting and kinetic façade. Climate—tropical rainforest: Af, humid continental: Dfb, humid continental climate: Dwa, temperate: Cfb, humid subtropical climate: Cfa, warm desert: BWh, marine west coast: Cfb, mild and semi-humid: Csa, monsoonal humid subtropical climate: Cwa, tropical savanna: Aw, semi-arid: BSh, and tropical and subtropical steppe: BSK. Method—parametric design: PD, parametric simulation: PS, building performance simulation: BPS, biomimetic: B, general morphological analysis: GMA, fabrication: F, multiobjective optimization: MOO, survey: S, machine learning: ML, sensitivity analysis: SA, finite element analysis: FEA, genetic algorithms: GAs, systematic methodology: SM, conceptual design kinetic strategy: CDKS, daylight performance (electrical): DPE, computer-aided design: CAD, and cold rolling method: CRM. Tools/software—Ladybug Tools: LB, DIVA: D, Climate Studio: CS, Design Builder: DB, Parametric Modeling Rhinoceros: RH, Grasshopper: GH, WUFI Plus: WP, Energy Plus: EP, Radiance: R, Galapagos: GP, Honeybee: HB, and SimScale: SS. Movement type—flap: F, fold: Fo, rotate: R, retractable: Ret, rolling: Ro, pivot: P, slide: S, scale: Sc, swelling and shrinking: SS, curve: C, three-dimensional: 3D, two-dimensional: 2D, Karamba 3D, periodic geometrical change: PGC, periodic interactive region: PIR, parameters identification: PI, and control strategy: CS. Geometric form—complex form: CF, hierarchical structure: HS, roller blind: RB, Venetian blind: VB, primary shape: PS, circular shape: CP, hyperbolic paraboloid shape: HPS, transitory sensitive area: TSA, and section shape: SS. Grid—rectangular: R, triangular, T, and hexagonal: H. Material—constant: C, smart material: SM, visible transmittance: VT, openness factor: OF, colorful glass: CG, photochromic glazing: PG, opaque material: OM, and shape memory materials: SMMs. Functions—thermoregulation: T, daylight performance: DP, energy efficiency: EE, energy production: EP, aesthetic: A, glare protection: GP, sufficient supply of daylight: SSD, real-time daylight control: RTDC, visual contact to exterior: VCE, visual occupants’ behavior: OP, daylight coefficient: DC, multiple occupants: MO, visual comfort: VC, and daylight glare probability: DGP. User detection and estimation—single user: SU, multiple users: MU, space: S, postures: P, one position: OP, and multiple positions: MP. Environmental trigger—sun: S and temperature: T. Control Logic—decentralized control: DC, centralized control: CC, interactive to environment: IE, and interactive to user: IU.
Given that visual comfort is closely tied to users’ detection-estimation and light level preferences within space, some studies have missed the essential role of users in the façade design process. For instance, Le et al. [46] explored adaptive façades with roller blinds, but their study was limited to fully open or closed configurations, disregarding users’ positions. However, there are few studies on decentralized control [31,47,48]. They considered the role of multiple users in an office, each with different light preferences. For example, recent studies developed decentralized control systems primarily focused on the shapes of focal areas [49,50]. However, the examination of controlling non-focal areas in terms of size and rotating angles, and their integration with the focal region, remains unclear. Furthermore, a detailed study of decentralized control with simultaneous adjustment of both focal and non-focal region components has not yet been conducted [29]. Specifically, the potential improvement in spatial disturbing glare through this control system has not been considered. In addition, a study proposed a biomimetic shading system for improving energy efficiency and daylight performance [29]. However, the evaluation relied solely on spatial daylight autonomy (sDA) as the performance metric, without considering other critical indicators, such as annual sunlight exposure (ASE), useful saylight illuminance (UDI), or the glare indices, which are essential for a comprehensive daylight and visual comfort assessment.
2.2. Biomimetic Insights for Kinetic and Decentralized Movements
The Venus flytrap possesses high-speed responsive systems, serving as a source of inspiration for rapid sensing and actuating functions. A hydroelastic curvature mechanism facilitates the movement of water between different leaf layers, enabling rapid closure within a fraction of a second [51]. These mechanisms can be utilized to prevent glare while allowing sufficient daylight to enter the room in daylighting systems. Its sensitive hairs can detect mechanical stimuli and transmit a signal for immediate buckling in its bistable lobes, resulting in an exceptionally rapid closure time of less than 100 milliseconds [52]. This combination of sensing and actuating prevents any possible delays, as the mechanical stimuli directly release pre-stored elastic energy through “hydroelastic curvature” [53,54]. Precedent studies indicate that a single touch can trigger two distinct action options under identical conditions, which changed the traditional perception of the trap’s mechanism [55]. This fast and accurate response procedure to environmental stimuli is aligned with the goals of kinetic façades to improve daylight performance and visual comfort by adapting to ever-changing daylight conditions [56].
Moreover, the plant can count and memorize several stimuli and plan for multiple possible actions for full trap closure and the digestive process [57]. This intelligent decision making allows the system to navigate complex scenarios and effectively differentiate between genuine stimuli and false triggers [57,58]. Principles inspired by the Venus flytrap in kinetic façades involve the integration of rapid movement, responsive opening and closing, and advanced sensing and triggering mechanisms. The Venus flytrap’s rapid trap closure, triggered by mechanical or electrical stimuli, can inspire kinetic façade designs [59,60]. There is strong potential to develop a new generation of kinetic façades by examining the Venus flytrap’s control logic and rapid actuation mechanisms, as well as by applying its distinctive three-dimensional geometry. This research aims to integrate biomimetic principles with computational design to explore innovative kinetic façade solutions inspired by the Venus flytrap’s responsive behavior.
3. Methods
This study integrates a biomimetic functional approach with building performance simulations using computational design to evaluate different kinetic façade configurations using four interconnected phases (Figure 3). The process begins with Section 3.1, focusing on the speed of response to daylight change and sensing, and actuation to visual discomfort challenges to identify a proper biological analogy. It then progresses to Section 3.2, which examines the morphology and kinetic behavior of the Venus flytrap to extract biomimetic principles. The outcomes of this step are based on the biomimetic literature review in the introduction section of “Section 2.2”. The third component, Section 3.3 (Design Solution Development), addresses both the mechanism aspects (rapid closure and transitory sensitive area) and form considerations (rotation of form and reversible motion). This step is crucial for developing a concept of a new kinetic façade and identifying its kinetic component variables. The methodology concludes with Section 3.4, which involves conducting daylight performance and visual comfort evaluation, then using inverse design and parametric exploration to find the optimal solutions. This comprehensive framework represents an organized biomimetic approach to solving design challenges by translating biological principles from the Venus flytrap into functional adaptive systems (Figure 3).
Figure 3.
Integrating a biomimetic functional approach with building performance simulations by computational design for kinetic façade design. Source: authors’ own creation.
3.1. Design Problem Definition and Functional Convergence
Dynamic daylight can cause visual discomfort for users due to real-time changes in direction and intensity. Consequently, adaptive façades must respond promptly to mitigate these challenges. This issue should be addressed by developing effective forms, movement, and control logic for the façades. A similar function of opening and closing shading systems in buildings can be observed in the Venus flytrap, which rapidly closes its lobes based on quick decision making regarding the position and situation of prey on the inner side of the lobes. A climate-adaptive façade should respond in real time to dynamic daylight. Investigating its forms and kinetic behavior can yield innovative solutions for the next generation of adaptive façades. This procedure provides a meaningful exploration to identify an appropriate biological analogy for further investigations into morphology and kinetic behavioral levels (Figure 4).
Figure 4.
Design problem definition and functional convergence to identify the proper biological analogy.
3.2. Biological Analogy Investigation
An examination of the Venus flytrap’s sensing and actuation processes shows that its rapid response is closely linked to its unique morphology and dynamic movement mechanisms. It possesses lobe structures and utilizes snap-buckling movements to facilitate opening and closing actions. From a behavioral perspective, the Venus flytrap can simultaneously detect the positions of multiple prey, memorize several stimuli, and implement periodic shape changes through a fast-triggering mechanism, enabling the planning of multiple actions to capture all prey. Indeed, it demonstrates intelligent decentralized control for immediate closure triggering by localized sensitive hairs (Figure 5). Translating this principle to a kinetic façade, each module functions as an independent unit, equipped with local sensors and actuators. A decentralized system can explore the façade surface and control kinetic elements within the focal area and the non-focal area individually. Based on the feedback from internal sensors about visual discomfort and the lack of useful daylight, the module quickly shifts from an open to a closed state, like how a Venus flytrap snaps shut (Figure 6). This procedure improves daylight performance with all possible positions in space while avoiding discomfort from glare (Figure 7).
Figure 5.
Biomimicry concepts inspired by the form and movement of the Venus flytrap, adapted from [61].
Figure 6.
Decentralized control with biomimetic façade approaches based on the Venus flytrap’s mechanism, adapted from [62].
Figure 7.
Investigation of Venus flytrap morphology and behavior to detect design solutions. Source: authors’ own creation.
3.3. Design Solution Development
The façade design utilizes a lobe structure form, allowing for dynamic angular adjustments to the dynamic characteristics of daylight. The Venus flytrap’s intelligent mechanism utilizes sensitive hairs to detect the precise positions of prey in real-time within the leaf area, triggering rapid and precise enclosure. This responsive mechanism inspires the concept of a transitory sensitive area [48], where multiple sensors on a façade enable decentralized movement, enhancing visual comfort and daylight performance for users. First, a grid was initially established 50 cm from the building façade to position the biomimetic shade sails. Following this, fixed shading planes were designed around the windows located on the eastern, western, and upper sides of the building. Finally, biomimetic shade sails were placed in the center of each section of the grid (Figure 8). The dynamic positions of occupants and the timing of sunlight involve creating a system that connects the sun’s position at different times with the locations of users within the space. This process also includes identifying key attraction points by determining where the user’s lines of sight intersect with the façade’s surface (Figure 9).
Figure 8.
A combination of a grid layout and a focal radius boundary is used for simulating the angle design. Source: authors’ own creation.
Figure 9.
Sunlight exposure and the occupants’ position affect the façade shape changes in a transitory sensitive area (TSA) based on optimization criteria.
3.4. Evaluation and Multifunctional Adaptation
The designed kinetic façade offers real-time daylight control to enhance daylight performance and improve occupants’ visual comfort. This section describes the use of climate-based and illuminance metrics to establish the criteria for daylight performance simulation, which are based on the guidelines for predicting daylight performance [63]. The study conducts comprehensive parametric simulations to analyze the daylight performance of various kinetic façades, focusing on their ability to enhance visual comfort. The analysis employs Rhino 8, Grasshopper, Climate Studio, and Design Explorer to assess daylight performance. These powerful tools enable an in-depth examination of daylight performance at the office [64,65]. The study uses daylight performance simulations to evaluate the kinetic façade solutions according to climate-based daylight modeling metrics, including spatial daylight autonomy (sDA), useful daylight illuminance (UDI), annual sun exposure (ASE), and spatial disturbing glare (sDG).
A point is considered “daylit” if its sDA value is 50% or higher, indicating that it meets a threshold of 300 lux [65]. Useful daylight illuminance (UDI) is an annual illuminance metric that categorizes daylight levels in a space, considering illuminance ranges between 100–3000 lux as desirable for most tasks, while values below 100 lux are insufficient and values above 3000 lux may cause visual discomfort [66]. Annual sunlight exposure (ASE) is a metric used to assess the percentage of space that receives excessive direct sunlight, which can lead to visual discomfort and increased cooling loads. “It is defined as the percent of an analysis area that exceeds a specified direct sunlight illuminance level (typically 1000 lux) for more than a specified number of hours (usually 250 h) per year” [67].
Glare is a sensation experienced when a bright light source appears in the field of vision, surpassing the brightness to which the eyes have adjusted [68]. DGP is a metric that has gained popularity in recent years, as indicated by various sources. It uses CCD camera-based luminance mapping technology to evaluate glare. DGP values are categorized into four groups, namely imperceptible, perceptible, disturbing, and intolerable (45–100). “Spatial Disturbing Glare (sDG): The percentage of views across the regularly occupied floor area that experience Disturbing or Intolerable Glare (DGP > 38%) for at least 5% of occupied hours” [69].
This assessment was conducted over an entire year, using hourly time intervals that commonly used the daylight coefficient (DC) method. The method simulates various daylight scenarios, using the following formula:
The resulting illuminance matrix (E) is obtained by multiplying the DC matrix with the sky matrix. The DC matrix describes the relationship between the virtual sensor points (n) and the 145 sky patches, while the sky matrix (S) contains the luminance values for each sky patch at every hour of the year. The DC matrix is derived from a computationally intensive lighting simulation. Once this matrix is established, the process of calculating illuminances involves the relatively quick multiplication of matrices. Both climate-based daylight modeling (CBDM) and radiance-based techniques are grounded in the Radiance software (version 5.4) platform and feature specific modifications of the DC method [65] (Table 2).
Table 2.
Ambient parameters for radiance were utilized in the simulation. Source: authors’ own creation.
Multiple input parameters can lead to different design alternatives that need to be evaluated based on design goals. The inverse design diagram (Figure 10) represents how input and output parameters interact in a brute-force algorithmic search to identify the optimal set of solutions. Building on the exploration size established in previous phases, this research utilizes a brute-force algorithm to explore all potential solutions precisely.
Figure 10.
An inverse design model for the optimization of the kinetic façade with Venus flytrap design principles using a brute force algorithm and a design explorer.
The next step involves conducting a benchmarking process, prioritizing an sDG of less than 20% while ensuring that UDI is greater than 90% and sDA exceeds 70% to identify the optimal solutions [63].
4. Case Study
The simulation experiment was conducted for an office building located in Yazd, Iran, which experiences a hot desert climate (BWh) with clear skies, according to the Köppen climate classification. The region’s weather data were obtained from the Energy Plus website. The weather file was organized by the countries defined by the World Meteorological Organization to indicate local climate conditions accurately. The file output provides key environmental indicators, including global solar radiation, global horizontal illuminance, and dry bulb temperature (Figure 11). Daylight-based metrics are calculated annually for each unique façade configuration. A grid was created to position the bio-imitation awnings 50 cm away from the building façade. The model depicted a single-zone office space located on the first floor of the reference building, measuring 4.20 m in depth, 7.00 m in width, and 2.80 m in height based on a standard office layout. It is important to note that the interior walls, roof, and floor were considered adiabatic surfaces. The south-facing wall features a window-to-wall ratio (WWR) of 85%, which is subject to variation depending on the applied shading strategies. For the daylight simulation, we assumed there was one occupant in the space (Figure 12A). Figure 12B illustrates the height of the user’s view toward the outside and its relationship to the sun’s position, which helps determine the location of the attraction point. The height of the task area for the simulation was set at 0.8 m for illuminance and 1.20 m for glare analysis. Table 3 provides information about the optical properties of material surfaces. Parametric and environmental analysis software, including Rhinoceros, Grasshopper, and Climate Studio, were used for conducting daylight performance and visual comfort evaluation (Table 3).
Figure 11.
Diurnal averages of weather environmental indicators.
Figure 12.
Test room definition (A): Plan view of test room, dimensions of room and occupant positions (B): Identification of attraction points and occupant’s direction of view.
Table 3.
Model description, including parameters related to fixed conditions, driving conditions, time, climate, energy, and daylight.
Daylight Simulation Validation
To validate the accuracy of the simulation, annual daylight simulations were conducted using the same case study room of Hosseini et al. (2020) [30]. The simulation results for sDA, UDI, ASE, and sDG were compared across both studies for various window-to-wall ratios ranging from 20% to 95% in 5% intervals, maintaining identical optical properties and office dimensions (Figure 13). The comparison utilized the normalized mean bias error (NMBE) for evaluation. According to ANSI/ASHRAE Standard 140 [70], a model is considered calibrated if the NMBE is within ±10% for the hourly data or ±5% for the monthly data. The comparison results indicated that all NMBE values fell within the acceptable range of less than 5%, specifically −3.36%, 0.83%, −0.41%, and 1.75% for sDA, ASE, UDI, and sDG, respectively. Therefore, our daylight simulation was validated.
Figure 13.
The average performance metrics of sDA, ASE, UDI, and sDG for validating the case study based on the DIVA results from Hosseini et al. (2020) [30].
5. Results
Figure 14 illustrates a parametric exploration of a biomimetic interactive kinetic façade utilizing a transitory sensitive area based on a climate-based daylight modeling metric. The figure employs parallel coordinate plots to represent various design parameters and performance outputs along vertical axes. The design parameters include month, hour, TSA (transitory sensitive area), angle domain A (focal region), and angle domain B (outside the focal region). The outputs comprise daylight performance metrics, namely sDA (spatial daylight autonomy) and UDI (useful daylight illuminance), while the visual comfort metrics include ASE (annual sunlight exposure) and sDG (spatial daylight glare). These metrics are used to evaluate the quality of daylighting. The bottom diagram shows a filtered set of design solutions based on the following criteria: sDA > 70%, ASE < 10%, UDI > 90%, and sDG < 20%. This procedure facilitates the collection of ideal solutions for data analysis and result interpretation, as shown in Figure 14.
Figure 14.
Parametric exploration of a biomimetic, interactive kinetic façade utilizing a transitory sensitive area based on a climate-based daylight modeling metric.
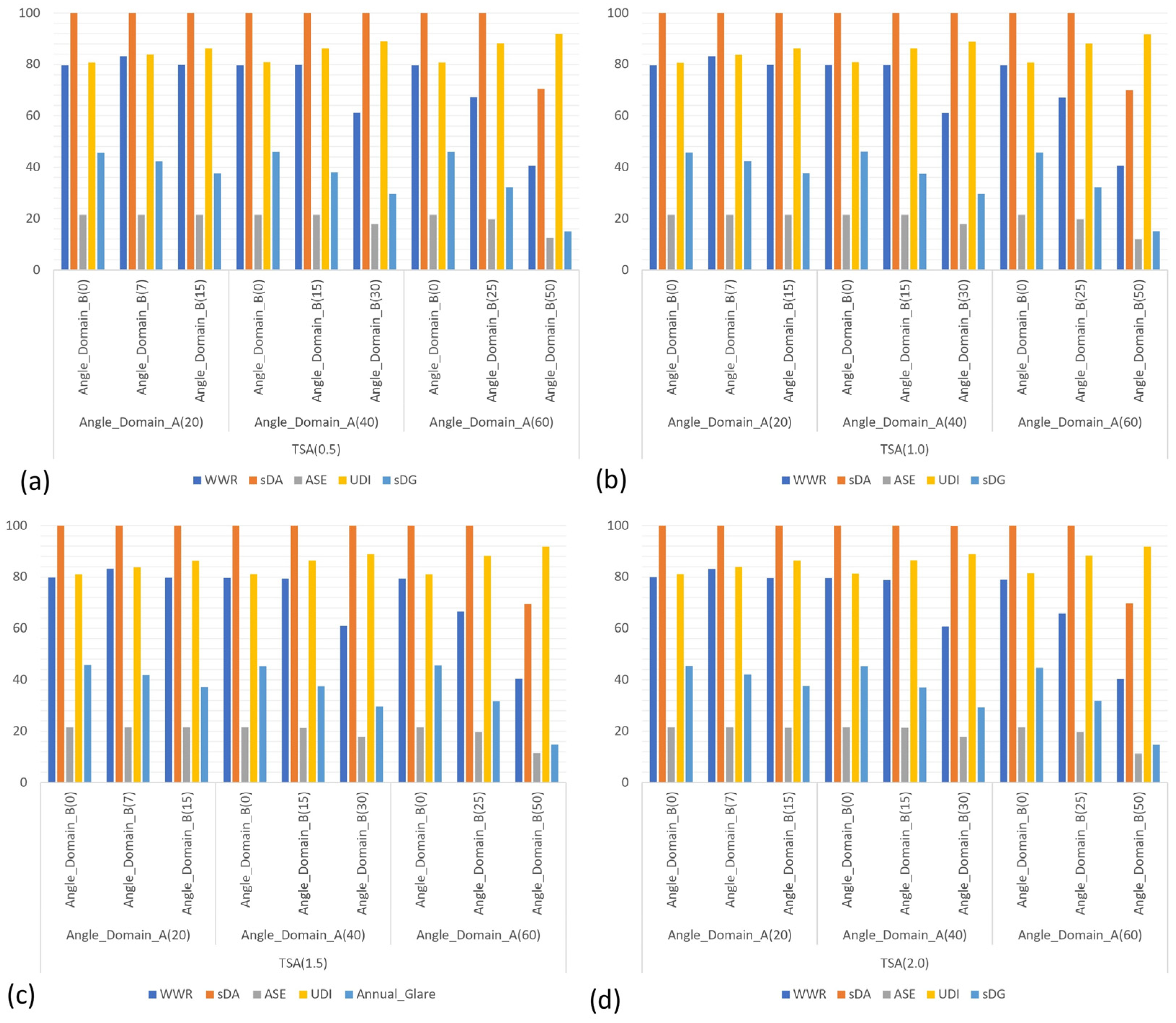
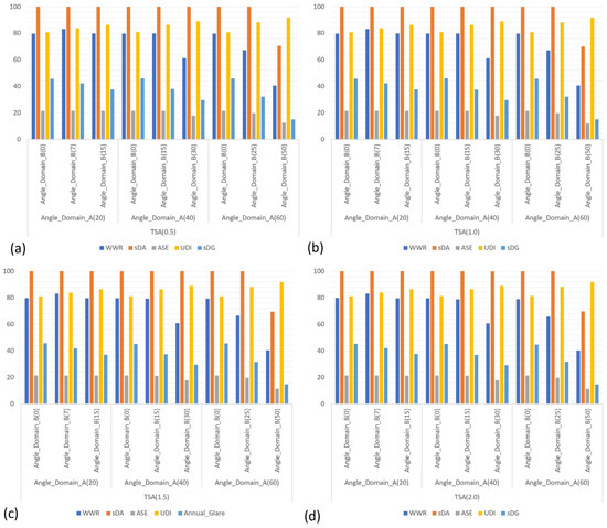
5.1. Performance Analysis Across Angle Domains (A: In the Focal Region, B: Outside the Focal Region) Based on Daylight Performance and Visual Comfort Metrics for TSAs of 0.5, 1, 1.5, and 2
The analysis of angular domains A and B reveals significant performance variations across different configurations due to changes within the focal region (A) and outside the focal region (B). Figure 15 presents a detailed examination of how changes in TSA radius from 0.5 to 2 across these angular domains influence key daylight metrics, including spatial daylight autonomy (sDA), annual sunlight exposure (ASE), useful daylight illuminance (UDI), and spatial daylight glare (SDG).
Figure 15.
A comparison of average daylight and visual comfort performance across different angle domains (A: in the focal region, B: outside the focal region) for TSAs radius of (a): 0.5, (b): 1, (c): 1.5, and (d): 2, and their effects on variations in the sDA, ASE, UDI, SDG metrics and the amount of WWR.
Several combinations of Angle_Domain_A (focal region) and Angle_Domain_B (outside the focal region) under a TSA of 0.5 have shown different impacts on daylight performance and visual comfort (Figure 15a). Most of the combinations reach an sDA of 100%, except for (A60/B50), which drops to 70.56%. Nevertheless, this solution shows exceptional performance with the highest UDI of 91.83%, while decreasing the ASE to 12.5% and avoiding the risk of glare and overheating. The sDG value of 15.02% indicates the high performance of the steeper angles in providing visual comfort as well.
Conducting a daylighting analysis for TSA: 1 (Figure 15b), based on the performance targets (sDA > 75% and UDI > 75%), reveals that all cases meet the criteria, except A60/B50 with an sDA of 70%. As this case reaches the maximum UDI of 91.71%, we can neglect the shortage of 5% in the sDA percentage. In terms of visual comfort, no solution fully meets both ASE < 10% and sDG < 15% simultaneously. The A60/B50 solution comes closest with an ASE of 11.9% (just above the 10% target) and an sDG of 15.07% (marginally exceeding the 15% limit).
Considering the solutions based on a TSA of 1.5 (Figure 15c) reveals an underlying trade-off between daylight performance and visual comfort across different angular configurations. While nearly all solutions meet daylight performance criteria, visual comfort is only met by the steepest angular domain. A60/B50 meets the glare mitigation criteria (sDG < 15%), whereas other configurations fail to avoid glare, with sDG values ranging from 29.60% to 45.77%.
Regarding a TSA of 2 (Figure 15d), the best daylight performance is identified at Angle_Domain_A at 20° or 40° in conjunction with Angle_Domain_B at 0° or 15°, where UDI ranges from 81.09% to 86.44% and sDA remains at 100%. However, these solutions exceed the recommended threshold for ASE and sDG, indicating suboptimal visual comfort quality. The best glare control is achieved with Angle_Domain_A at 60° and Angle_Domain_B at 50°, but this compromises daylight performance (sDA: 69.78%). A balanced option is Angle_Domain_A at 40° and Angle_Domain_B at 30°, where sDG is 29.28% and sDA remains high (99.89%). Overall, combinations with lower Angle_Domain_B values (e.g., 0–15°) provide strong daylight performance but require additional glare control measures.
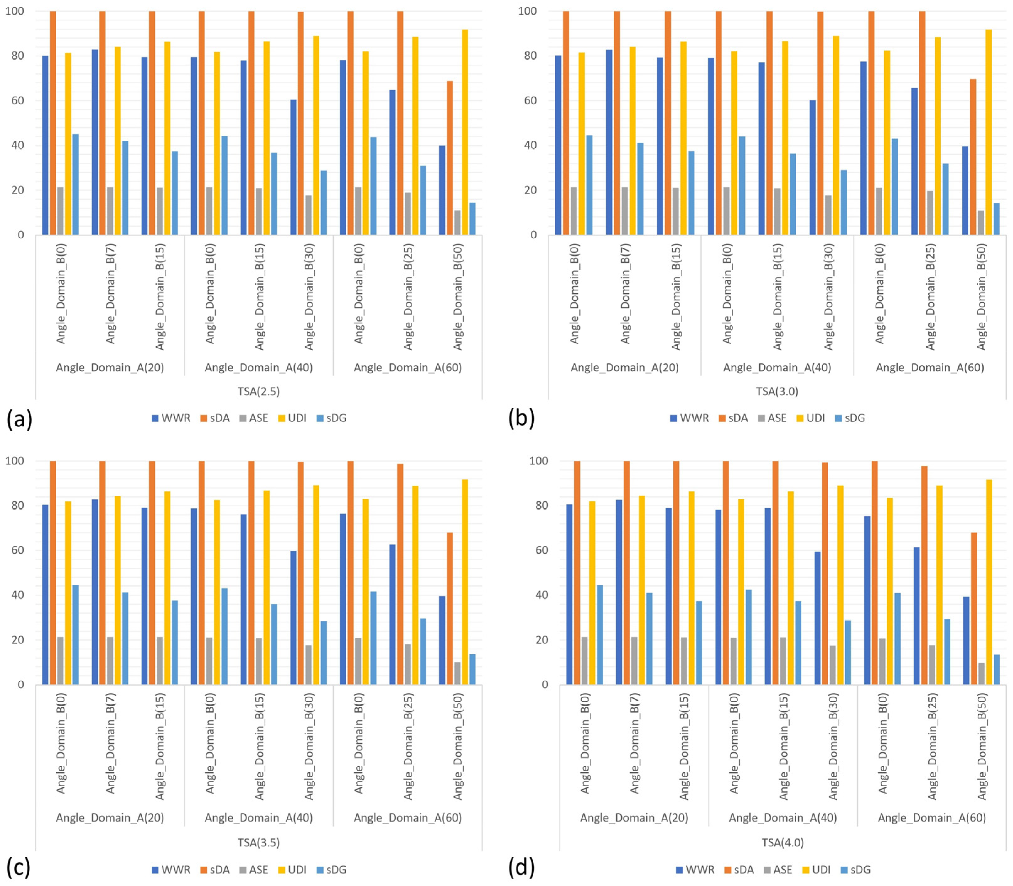
5.2. Performance Analysis Across Angle Domains (A: In the Focal Region, B: Outside the Focal Region) Based on Daylight Performance and Visual Comfort Metrics for TSAs of 2.5, 3, 3.5, and 4
Figure 16 analyzes the impact of varying TSA radii (2.5 to 4) across different angular domains on the critical daylight performance measures of sDA and UDI and on the visual comfort measures of ASE and SDG. Figure 16a (TSA: 2.5) demonstrates that changing angle domains A (focal region) and B (outside the focal region) substantially affects daylight and visual comfort metrics. Angular changes in both domains result in a UDI ranging from 80.27% to 88.81% while maintaining sDA at 100%.
Figure 16.
A comparison of the average daylight and visual comfort performance across different angle domains (A: in the focal region, B: outside the focal region) for TSAs radius of (a): 2.5, (b): 3, (c): 3.5, and (d): 4, and their effects on variations in sDA, ASE, UDI, and SDG metrics and the amount of WWR.
In terms of visual comfort, ASE remains below 21.43% in most cases, exceeding the target of <10%, while sDG (annual glare) ranges from 27.23% to 46.54%, far above the desired <15%. This indicates that while daylight performance is strong, the glare control is insufficient, especially as Angle_Domain_B increases. The best daylight performance is achieved with Angle_Domain_A at 20° and Angle_Domain_B at 0° or 7°, where sDA and UDI exceed 75%, but glare (sDG) remains problematic (39.4–46.32%). A reduction in glare highly depends on increasing the angle domains A and B with angle ranges of 40° to 60° and 30° to 50°, respectively.
UDI values range from 81.54% to 91.75% with an sDA of 100% for a TSA of 3 (Figure 16b), indicating the high performance of the solutions in meeting daylighting requirements. However, ASE values vary from 17.66% to 21.43%, which implies a risk of excessive sunlight and potential glare. In terms of visual comfort and glare control, spatial daylight glare (sDG) decreases as the angle of domain B increases, showing improved glare control. Specifically, sDG ranges from 44.59% to 14.37%. The lowest sDG value of 14.37% is observed when Angle_Domain_A is 60° and Angle_Domain_B is 50°. This highlights that larger angles for domain B are effective in reducing glare, bringing it closer to the recommended 15% threshold.
Overall, while the configurations effectively provide high daylight levels, optimizing the angles, especially increasing domain B, is essential to mitigate glare and enhance visual comfort. Analysis of angle domains A and B indicates consistently strong daylight performance, with spatial daylight autonomy (sDA) frequently reaching 100% (based on a TSA of 3.5, as in Figure 16c). The UDI values exceed the required 75%, demonstrating effective daylight distribution ranging from 81.94% to 91.68%. However, ASE values ranging from 10.12% to 21.43% indicate a risk of overheating and potential discomfort. Glare control can be improved through increasing the angular domain of the non-focal region (B), which reduces glare from 44.59% to 13.70%.
Similarly, the interaction of focal and non-focal regions (A and B) based on a TSA of 4 (Figure 16d) demonstrates effective daylight performance. In contrast, ASE values typically exceed the recommended 10%, fluctuating between 17.56% and 21.43%, indicating a risk of overheating and potential glare. However, as the angle of domain B increases, the sDG values decrease, resulting in improved visual comfort. The sDG values range from 44.28% to 13.48%. Notably, the lowest sDG (13.48%) occurs when Angle_Domain_A is 60° and Angle_Domain_B is 50°, confirming that larger domain B angles effectively reduce glare to below the target of 15%.
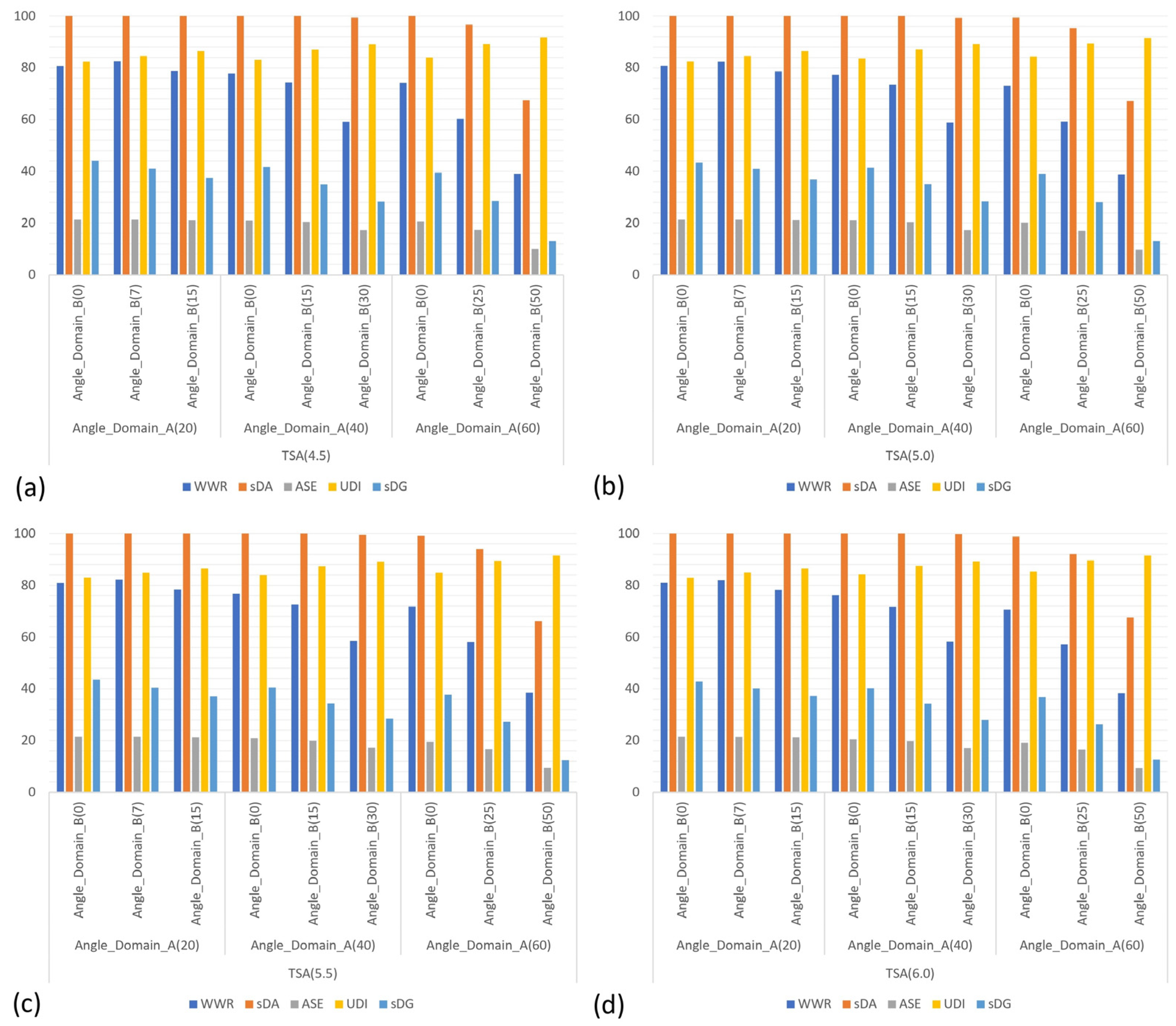
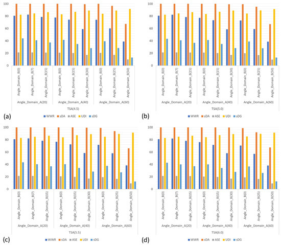
5.3. Performance Analysis Across Angle Domains (A: In the Focal Region, B: Outside the Focal Region) Based on Daylight Performance and Visual Comfort Metrics for TSAs of 4.5, 5, 5.5, and 6
Analyzing the performance of the combined angle domains A and B based on a TSA of 4.5 (Figure 17a) indicates strong daylight performance, with an sDA of 99.44% to 100% and a UDI between 82.32% and 91.69%. In terms of visual comfort, an improvement can be identified as the sDG and ASE values decrease from 44.11% to 12.98% and 21.43% to 9.92%, respectively. Notably, several solutions reach the desired sDG of less than 15%, indicating successful management of potential glare. Similar results have been observed for a TSA of 5 (Figure 17b). Daylighting performance is generally excellent, with sDA and UDI values consistently high, ranging from 99.33% to 100% and 82.40% to 91.50%, respectively, which suggests that a larger area receives useful daylight. However, visual comfort varies. ASE values range from 9.62% to 21.43%, indicating a risk of excessive sunlight and potential glare in some configurations, as the target is below 10%. sDG values decrease as angle domain B increases, moving from 43.32% to 12.98%, demonstrating better glare control with a larger angle domain B. Notably, several configurations achieve sDG values below the 15% threshold, showing effective glare management.
Figure 17.
A Comparison of average daylight and visual comfort performance across different angle domains (A: in the focal region, B: outside the focal region) for TSAs radius of (a): 4.5, (b): 5, (c): 5.5, and (d): 6, and their effects on variations in sDA, ASE, UDI, SDG metrics, and the amount of WWR.
For a TSA of 5.5 (Figure 17c), daylight performance is evaluated as generally strong with an sDA of 100% and a UDI of 91.55%. The visual comfort can vary, with ASE values between 9.42% and 21.43%, indicating a risk of excessive sunlight, and sDG values between 12.4% and 43.51%. Many alternatives achieve sDG values below the target point of 15%, highlighting that the larger angular domain of the non-focal region (B) is an effective medium for managing glare.
The integration of angle domains A and B based on a TSA of 6 (Figure 17d) suggests that applying the highest angle domains (A: 60° and B: 50°) provides high daylight performance with an sDA of 98.77% and a UDI of 91.51%. Visual comfort, however, shows variability; ASE values range from 9.32% (angle domain A at 60° and angle domain B at 50°) to 21.43% (angle domain A at 20° and angle domain B at 0°), indicating potential issues with excessive sunlight. sDG values decrease as angle domain B increases, demonstrating improved glare control, from 42.78% (angle domain A at 20° and angle domain B at 0°) to 12.58% (angle domain A at 60° and angle domain B at 50°). Notably, several configurations achieve sDG values below the 15% target, indicating effective glare management with a larger angle domain B.
5.4. The Best Biomimetic Kinetic Façade Solutions Based on the Daylight Performance and Visual Comfort Analysis
According to Figure 18, the biomimetic kinetic façades with angle domains A (60°) and B (50°) outperform most of the solutions due to daylight performance criteria. The results show that while all TSA scenarios reach the acceptable sDA values, the UDI of 91.55% struggles to provide a high level of useful daylight in space. In terms of the visual comfort, ASE values are steadily below 10% (ranging from 7.14% to 9.82%), meeting the target of ASE < 10%. Furthermore, sDG values ranging from 12.83% to 14.96% confirm that the façade successfully balances daylight penetration with visual comfort (Figure 19).
Figure 18.
A comparative analysis of WWR, sDA, ASE, UDI, and SDG metrics for the best solutions of biomimetic kinetic façades with angle domain A (60) and angle domain B (50).
Figure 19.
Visualization of the best solutions in meeting the requirements of daylight performance and visual comfort.
Table 4 presents the averages, standard deviations, and the upper and lower bands with a 95% confidence interval for the WWR, sDA, ASE, UDI, and sDG of the biomimetic kinetic façades with angle domain A (60) and angle domain B (50). The average values for sDA, ASE, UDI, and sDG are 68.55%, 10.59%, 91.68%, and 13.88%, respectively. In terms of daylight performance, sDA and UDI exhibited significant differences in their standard deviation (SD) values, with 3.47 for sDA and 0.3 for UDI. This indicates that UDI values are closely clustered around the mean, with lower and upper bands of 0.27 and 0.35, respectively. In contrast, sDA values show greater variability, suggesting a less consistent performance, with lower and upper bands of 3.06 and 4.0, respectively.
Table 4.
Standard deviations and the upper and lower bands with a 95% confidence interval for the WWR, sDA, ASE, UDI, and sDG of the biomimetic kinetic façades with angle domain A (60) and angle domain B (50) daylight.
Regarding visual comfort, the SD values for ASE and sDG indicate moderate fluctuations and variability. Considering the upper and lower bands, we are 95% confident that the true average glare (sDG) and annual sunlight exposure (ASE) fall within the ranges of 12.13% to 16.17% and 8.51% to 13.31%, respectively.
6. Discussion
The parametric analysis of biomimetic kinetic façades with angle domains A (focal region) and B (outside the focal region) under various radii of TSA reveal that logic-based control strategies can significantly enhance both daylight performance and visual comfort through dynamic façade adjustments. The most optimal solution integrates focal and non-focal regions through angle domains A (60°) and B (50°). This kinetic form meets the requirements of visual comfort by having an ASE below 10% (9.32–11.9%) and an sDG below 15% (12.4–15.07%). It shows a 45–55% enhancement in sunlight exposure control and a 65–72% reduction in glare compared to baseline configurations. This result confirms the critical role of TSA and angular optimization in providing high amount of useful daylight without glare and overheating in the office space, aligning with the results of Kamalabadi et al. (2025) [9] and Hosseini et al. (2024) [15]. Another study by Hosseini et al. (2024) [50] utilized the TSA concept with a similar methodology. However, they did not account for angular shape changes in non-focal areas, leading to a lack of consideration for spatial disturbing glare (sDG). In a similar study by Sankaewthong et al. 2022 [2], the authors applied the angular changes in kinetic components without considering the TSA control. Although the kinetic façade obtained a high performance for the daylight factor and LEED criteria, it could not provide any evidence for visual comfort improvements. Ashraf and Abdin (2024) [29] developed a biomimetic shading façade that achieved a sDA of 97%. Building on this benchmark, the current study introduces a novel system that simultaneously regulates focal and non-focal regions through the angular movements of a three-dimensional form inspired by the Venus flytrap. This design similarly reaches an sDA close to 97%. Beyond sDA, this study also assessed UDI and ASE, highlighting the façade’s capacity to provide ample useful daylight while effectively limiting exposure to direct sunlight. Additionally, the system records an sDG index of 12.4%, indicating that more than 87% of the occupied area remains free from glare. These performance indicators, including UDI, ASE, and sDG, were not addressed in the aforementioned study, thereby emphasizing the improved daylighting efficiency and visual comfort achieved by our proposed design. In addition, this study demonstrates the significance of three-dimensional forms derived from natural analogs in enhancing performance. These findings align with those of Hosseini et al. (2019) [71], who reported improved daylighting and visual comfort resulting from the transition from two-dimensional to three-dimensional shape transformations.
The system’s daylight performance shows interesting trade-offs between different angular configurations. While moderate angles (A20°/B0°) achieve perfect spatial daylight autonomy (sDA) at 100%, they underperform in terms of glare control. Conversely, steep angles (A60°/B50°) show a 28–31% reduction in sDA (69–72%) but significantly improve useful daylight illuminance (UDI) by 5–10%, reaching values above 91.5%.
The decentralized strategy and the precision of angle control play critical roles in system performance. Specifically, minor adjustments to the non-focal angle domain (B), ranging from 5 to 10°, have been observed to result in significant alterations to glare performance, with estimated variances ranging from 10 to 15%. This underscores the paramount importance of maintaining precise angle control. To illustrate this point, consider the following example: an increase in angle domain B from 30° to 50° results in a reduction in sDG of approximately 15%. Conversely, a decrease in angle domain A from 60° to 40° leads to an enhancement of sDA by approximately 30%, though this is accompanied by a 20–25% increase in glare risk. The findings indicate that the implementation of an adaptive control strategy, characterized by the dynamic modulation of steep angles (A60°/B50°) during periods of glare susceptibility and moderate angles (A20–40°/B0–15°) to ensure uniform daylight distribution, would lead to optimal performance.
6.1. A Simple Decision-Making Framework
This study proposes a simplified decision-making framework based on decentralized control logic. At the core of this system is the transitory sensitive area (TSA), a dynamic zone on the façade that shifts in response to the changing positions of both the sun and occupants. By adjusting its size and location, the TSA defines focal and non-focal regions across the façade. The focal region primarily supports individual visual comfort and daylight performance, while the non-focal region manages the remaining interior areas.
The control logic is adaptable to multiple users simultaneously and supports a broad range of window-to-wall ratios (WWRs), from 35% to 83%, with optimal performance typically observed between 38% and 46%. This flexibility allows the system to tailor WWR configurations based on user preferences, balancing daylight access, glare control, and outdoor views. In some cases, users may accept a degree of glare in exchange for maintaining visual connection with the exterior. The framework can be adapted to various scenarios by modifying the TSA’s position and extent, as well as by adjusting the angular behavior of the kinetic façade components in both focal and non-focal regions individually.
The Al Bahr Towers represent a real-world application of three-dimensional shape transformation using angular movements controlled through a decentralized system, aimed at enhancing visual comfort and daylight performance for occupants. While both the Al Bahr Towers and the current study employ decentralized control and dynamic geometry, the results presented here indicate higher performance. This improvement is attributed to the system’s ability to independently and precisely adjust angular movements in both focal and non-focal regions simultaneously.
6.2. Correlation Matrix
As illustrated by the correlation matrix in Figure 20, there is a discernible distinction between the impact of Angle_Domain_A (focal region) and Angle_Domain_B (outside the focal region) on daylight performance and visual comfort metrics. For the assessment of daylight performance, Angle_Domain_B exhibits a robust negative correlation with sDA (−0.76), signifying that an increase in focal angles results in a reduction in spatial daylight autonomy, which may consequently lead to suboptimal daylight conditions in specific areas. Conversely, it exhibits a robust positive correlation with UDI (0.88), signifying that the exterior of the focal region substantially enhances the useful daylight illuminance, thereby fostering balanced daylight distribution. Conversely, Angle_Domain_A demonstrates a moderate negative correlation with sDA (−0.46), signifying a reduction in daylight sufficiency by the focal region, albeit to a lesser extent. It also exhibits a weak positive correlation with UDI (0.41), suggesting only a marginal enhancement in daylight uniformity compared to the non-focal region.
Figure 20.
Correlation matrix for considering the effects of TSA and angle domains A (focal region) and B (outside the focal region) on the visual comfort and daylight performance metrics.
In consideration of visual comfort, Angle_Domain_B exhibits a robust negative correlation with ASE (−0.85) and an exceedingly robust negative correlation with SDG (−0.93). This indicates that an increase in non-focal angles leads to a substantial reduction in excessive solar exposure and glare, thereby enhancing visual comfort. These findings underscore the critical role of Angle_Domain_B in ensuring visual comfort in peripheral regions. Angle_Domain_A, on the other hand, shows a moderate negative correlation with ASE (−0.54) and with SDG (−0.52), suggesting some reduction in solar exposure and eliminating glare, though less pronounced than in the non-focal region. In summary, while the non-focal region strongly influences both daylight uniformity and visual comfort, the focal region collaborates in minimizing glare, complementing the non-focal region’s performance. This finding demonstrates the effectiveness of incorporating both focal and non-focal regions in dynamic façades to enhance performance, as evidenced by Kamalabadi et al. (2025) [9] and Sommese et al. (2024) [49]. However, this study emphasizes the crucial role of controlling the non-focal region to achieve the most optimal solutions.
6.3. Limitations
Conducting daylight performance and visual comfort analysis using complex façade forms is computationally expensive. Due to the limitations of hardware and simulation time, we ran preliminary tests to identify potential angle domains for this investigation. This approach ensured that we could explore all possible solutions by varying the window-to-wall ratios, providing different amounts of daylight within the spaces while evaluating visual discomfort. In addition, we need to mention that the focus of this study was the development of the concept through a combination of the biomimetic approach and computational design. The next phase would be rationalization of the concept to address practical implementation challenges, such as mechanical durability, maintenance requirements, or cost implications. As a result, this will require interdisciplinary collaboration from material science, mechanical, structural, and robotic engineers. While factors, such as orientation, climate variation, and different building functions, can significantly influence performance outcomes, these variables fall outside the scope of the current research. As such, we have acknowledged this limitation and recommended these aspects for future investigation in the corresponding section.
7. Conclusions
This study addresses a gap in the literature, which has predominantly focused on centralized control systems, by exploring the potential of decentralized systems in which modules within non-focal regions operate independently in real time. Drawing inspiration from the Venus flytrap’s rapid, localized response to stimuli and its distinctive three-dimensional form, the research integrates biomimetic principles with computational design to develop a kinetic façade capable of independently controlling elements across both focal and non-focal regions.
The parametric analysis of biomimetic kinetic façades, encompassing angle domains A (focal region) and B (outside the focal region) across various radii of TSA, demonstrates that decentralized control strategies can markedly enhance daylight performance and visual comfort through dynamic façade modulation. The most efficient configuration integrates angle domain A (60°) with angle domain B (50°), yielding substantial advancements in visual comfort metrics. This optimal arrangement sustains the annual sunlight exposure (ASE) below 10% and spatial daylight glare (sDG) below 15%, signifying a 45–55% enhancement in sunlight exposure management and a 65–72% diminution in glare relative to baseline configurations. Precision in angular control emerges as a pivotal determinant of system efficacy. The results indicate that an adaptive decentralized control of angle domains, dynamically oscillating between steep angles (A60°/B50°) during glare-prone intervals and moderate angles (A20–40°/B0–15°) for uniform daylight distribution, would optimize overall performance.
There are potential lighting energy savings and a cooling load increases to consider in a future study, which will require conducting a co-simulation optimization to come up with solutions that are energy efficient as well. Another avenue for future development involves fabricating a pilot system to assess mechanical durability, maintenance requirements, and cost implications. Additionally, conducting post-evaluations of the system using IoT technologies will enable precise adjustments and enhance performance in response to continuously changing climatic conditions. In addition, this study highlights the critical role of three-dimensional forms found in natural analogs in achieving high-performance outcomes. Future research could delve deeper into the morphological characteristics of these natural forms, with a focus on geometric optimization of the modules, as well as exploring practical aspects, such as fabrication techniques and prototyping strategies.
Author Contributions
Conceptualization, F.F. and S.M.H.; methodology, F.F., S.M.H. and S.H.; software, F.F., S.M.H. and S.H.; validation, F.F., S.M.H. and S.H.; formal analysis, F.F., S.M.H. and S.H.; investigation, F.F. and S.M.H.; data curation, F.F. and S.M.H.; writing—original draft preparation, F.F. and S.M.H.; writing—review and editing, F.F., S.M.H. and M.K.A.; visualization, F.F., S.M.H. and S.H.; supervision, S.M.H. and M.K.A. All authors have read and agreed to the published version of the manuscript.
Funding
This research received no external funding.
Data Availability Statement
The data that support the findings of this study are available on request from the corresponding author (SMHO).
Acknowledgments
This study forms part of our contribution to the project titled “EUDP 2023-I Participation in IEA SHC Task 70/EBC Annex 90: Low Carbon, High Comfort Integrated Lighting”.
Conflicts of Interest
The authors declare no conflict of interest.
References
- Taherkhani, R.; Aziminezhad, M. Human-Building Interaction: A Bibliometric Review. Build. Environ. 2023, 242, 110493. [Google Scholar] [CrossRef]
- Sankaewthong, S.; Horanont, T.; Miyata, K.; Karnjana, J.; Busayarat, C.; Xie, H. Using a Biomimicry Approach in the Design of a Kinetic Façade to Regulate the Amount of Daylight Entering a Working Space. Buildings 2022, 12, 2089. [Google Scholar] [CrossRef]
- Sadineni, S.B.; Madala, S.; Boehm, R.F. Passive Building Energy Savings: A Review of Building Envelope Components. Renew. Sustain. Energy Rev. 2011, 15, 3617–3631. [Google Scholar] [CrossRef]
- Dehghan Lotfabad, A.; Hosseini, S.M.; Dabove, P.; Heiranipour, M.; Sommese, F. Impacts of Vertical Greenery on Outdoor Thermal Comfort and Carbon Emission Reduction at the Urban Scale in Turin, Italy. Buildings 2025, 15, 450. [Google Scholar] [CrossRef]
- Zaina, S.M.; Fadli, F.; Hosseini, S.M. Evaluation of smart irrigation systems in hot-arid climates for green roofs and walls: Case of Doha, Qatar. Smart Sustain. Built Environ. 2022, 11, 346–367. [Google Scholar] [CrossRef]
- Loonen, R.C.G.M.; Trčka, M.; Cóstola, D.; Hensen, J.L.M. Climate Adaptive Building Shells: State-of-the-Art and Future Challenges. Renew. Sustain. Energy Rev. 2013, 25, 483–493. [Google Scholar] [CrossRef]
- Shi, F.; Zheng, Y.; Ma, Y. A study of the bionic design of a climate-adaptability building surface. South Archit. 2023, 2, 22–32. [Google Scholar]
- Loonen, R.C.G.M. Bio-Inspired Adaptive Building Skins. In Biotechnologies and Biomimetics for Civil Engineering; Pacheco Torgal, F., Labrincha, J.A., Diamanti, M.V., Yu, C.-P., Lee, H.K., Eds.; Springer International Publishing: Cham, Switzerland, 2015; pp. 115–134. ISBN 978-3-319-09287-4. [Google Scholar]
- Kamalabadi, S.T.; Hosseini, S.M.; Azmoodeh, M. Integration of Bio-Inspired Adaptive Systems for Optimizing Daylight Performance and Glare Control. J. Build. Eng. 2025, 105, 112415. [Google Scholar] [CrossRef]
- Guo, Z.; Ma, Y. Exploration of a Dynamic Building Skin System Responding to Light Environment Information. In Proceedings of the 7th International Conference on Architecture, Materials and Construction, Lisbon, Portugal, 27–29 October 2021; Mendonça, P., Cortiços, N.D., Eds.; Springer International Publishing: Cham, Switzerland, 2022; pp. 91–97. [Google Scholar]
- Zocchi, G.; Hosseini, M.; Triantafyllidis, G. Exploring the Synergy of Advanced Lighting Controls, Building Information Modelling and Internet of Things for Sustainable and Energy-Efficient Buildings: A Systematic Literature Review. Sustainability 2024, 16, 10937. [Google Scholar] [CrossRef]
- Sabry, H.; Sherif, A.; Gadelhak, M.; Aly, M. Balancing the Daylighting and Energy Performance of Solar Screens in Residential Desert Buildings: Examination of Screen Axial Rotation and Opening Aspect Ratio. Sol. Energy 2014, 103, 364–377. [Google Scholar] [CrossRef]
- Meerbeek, B.; te Kulve, M.; Gritti, T.; Aarts, M.; van Loenen, E.; Aarts, E. Building Automation and Perceived Control: A Field Study on Motorized Exterior Blinds in Dutch Offices. Build. Environ. 2014, 79, 66–77. [Google Scholar] [CrossRef]
- Shahin, H.S.M. Adaptive Building Envelopes of Multistory Buildings as an Example of High Performance Building Skins. Alex. Eng. J. 2019, 58, 345–352. [Google Scholar] [CrossRef]
- Hosseini, S.M.; Heidari, S.; Attia, S.; Wang, J.; Triantafyllidis, G. Biomimetic Kinetic Façade as a Real-Time Daylight Control: Complex Form versus Simple Form with Proper Kinetic Behavior. Smart Sustain. Built Environ. 2024; ahead of print. [Google Scholar] [CrossRef]
- Fang, J.; Zhao, Y.; Tian, Z.; Lin, P. Analysis of Dynamic Louver Control with Prism Redirecting Fenestrations for Office Daylighting Optimization. Energy Build. 2022, 262, 112019. [Google Scholar] [CrossRef]
- Masoud, S.; Zamani, Z.; Hosseini, S.M.; Attia, S. A Review of Factors Affecting the Lighting Performance of Light Shelves and Controlling Solar Heat Gain. Buildings 2024, 14, 1832. [Google Scholar] [CrossRef]
- Eltaweel, A.; Su, Y.; Lv, Q.; Lv, H. Advanced Parametric Louver Systems with Bi-Axis and Two-Layer Designs for an Extensive Daylighting Coverage in a Deep-Plan Office Room. Sol. Energy 2020, 206, 596–613. [Google Scholar] [CrossRef]
- Tian, Z.; Zhao, Y.; Fang, J.; Kong, Z. AStudy of Daylight Glare Evaluation with Prism Daylighting Redirecting Fenestrations. J. Build. Eng. 2023, 71, 106428. [Google Scholar] [CrossRef]
- Zhu, L.; Shao, Z.; Sun, Y.; Soebarto, V.; Gao, F.; Zillante, G.; Zuo, J. Indoor Daylight Distribution in a Room with Integrated Dynamic Solar Concentrating Facade. Energy Build. 2018, 158, 1–13. [Google Scholar] [CrossRef]
- Shao, Z.; Wang, B.; Xu, Y.; Sun, L.; Ge, X.; Cai, L.; Chang, C. Dynamic Concentrated Solar Building Skin Design Based on Multiobjective Optimization. Buildings 2022, 12, 2026. [Google Scholar] [CrossRef]
- Rizi, R.A.; Eltaweel, A. A User Detective Adaptive Facade towards Improving Visual and Thermal Comfort. J. Build. Eng. 2021, 33, 101554. [Google Scholar] [CrossRef]
- López, M.; Rubio, R.; Martín, S.; Croxford, B. How Plants Inspire Façades. From plants to architecture: Biomimetic principles for the development of adaptive architectural envelopes. Renew. Sustain. Energy Rev. 2017, 67, 692–703. [Google Scholar] [CrossRef]
- Hosseini, S.M.; Fadli, F.; Mohammadi, M. Biomimetic Kinetic Shading Facade Inspired by Tree Morphology for Improving Occupant’s Daylight Performance. J. Daylighting 2021, 8, 65–82. [Google Scholar] [CrossRef]
- Pawlyn, M. Biomimicry in Architecture, 2nd ed.; RIBA Publishing: London, UK, 2016; ISBN 978-1-85946-628-5. [Google Scholar]
- Benyus, J.M. Biomimicry: Innovation Inspired by Nature, 2nd ed.; Harper Perennial: New York, NY, USA, 2002; ISBN 978-0-06-053322-9. [Google Scholar]
- Badarnah, L. Towards the LIVING Envelope: Biomimetics for Building Envelope Adaptation. Ph.D. Thesis, Delft University of Technology, Delft, The Netherlands, 2012. [Google Scholar]
- Romano, R.; Aelenei, L.; Aelenei, D.; Mazzucchelli, E.S. What Is an Adaptive Façade? Analysis of Recent Terms and Definitions from an International Perspective. J. Facade Des. Eng. 2018, 6, 65–76. [Google Scholar] [CrossRef]
- Ashraf, N.; Abdin, A.R. Biomimetic Design Synthesis and Digital Optimization of Building Shading Skin: A Novel Conceptual Framework for Enhanced Energy Efficiency. Energy Build. 2024, 323, 114824. [Google Scholar] [CrossRef]
- Hosseini, S.M.; Mohammadi, M.; Schröder, T.; Guerra-Santin, O. Integrating Interactive Kinetic Façade Design with Colored Glass to Improve Daylight Performance Based on Occupants’ Position. J. Build. Eng. 2020, 31, 101404. [Google Scholar] [CrossRef]
- Hosseini, S.M.; Heidari, S. General Morphological Analysis of Orosi Windows and Morpho Butterfly Wing’s Principles for Improving Occupant’s Daylight Performance through Interactive Kinetic Façade. J. Build. Eng. 2022, 59, 105027. [Google Scholar] [CrossRef]
- Imani, M.; Donn, M.; Balador, Z. Bio-Inspired Materials: Contribution of Biology to Energy Efficiency of Buildings. In Handbook of Ecomaterials; Martínez, L.M.T., Kharissova, O.V., Kharisov, B.I., Eds.; Springer International Publishing: Cham, Switzerland, 2019; pp. 2213–2236. ISBN 978-3-319-68255-6. [Google Scholar]
- Lurie-Luke, E. Product and Technology Innovation: What Can Biomimicry Inspire? Biotechnol. Adv. 2014, 32, 1494–1505. [Google Scholar] [CrossRef]
- Kuipers, N. FROM STATIC TO KINETIC—The Potential of Kinetic Façades in Care-Hotels.AE-Intecture-Stud. 2015. Available online: https://www.academia.edu/24258545/FROM_STATIC_TO_KINETIC_-_The_potential_of_kinetic_fa%C3%A7ades_in_care-hotels (accessed on 20 January 2025).
- Lienhard, J.; Schleicher, S.; Poppinga, S.; Masselter, T.; Milwich, M.; Speck, T.; Knippers, J. Flectofin: A Hingeless Flapping Mechanism Inspired by Nature. Bioinspir. Biomim. 2011, 6, 45001. [Google Scholar] [CrossRef]
- Poppinga, S.; Masselter, T.; Lienhard, J.; Schleicher, S.; Knippers, J.; Speck, T. Plant Movements As Concept Generators For Deployable Systems In Architecture. WIT Trans. Ecol. Environ. 2010, 138, 403–409. [Google Scholar] [CrossRef]
- Krieg, O.D. HygroSkin—Meteorosensitive Pavilion. In Advancing Wood Architecture; Routledge: Oxfordshire, UK, 2016; ISBN 978-1-315-67882-5. [Google Scholar]
- Menges, A. Biomimetic Design Processes in Architecture: Morphogenetic and Evolutionary Computational Design. Bioinspir. Biomim. 2012, 7, 15003. [Google Scholar] [CrossRef]
- Knippers, J.; Gabler, M.; La Magna, R.; Waimer, F.; Menges, A.; Reichert, S.; Schwinn, T. From Nature to Fabrication: Biomimetic Design Principles for the Production of Complex Spatial Structures. In Proceedings of the Advances in Architectural Geometry 2012; Hesselgren, L., Sharma, S., Wallner, J., Baldassini, N., Bompas, P., Raynaud, J., Eds.; Springer: Berlin/Heidelberg, Germany, 2013; pp. 107–122. [Google Scholar]
- Menges, A. Integrative Design Computation: Integrating Material Behaviour and Robotic Manufacturing Processes in Computational Design for Performative Wood Constructions. In Integration Through Computation—Proceedings of the 31st Annual Conference of the Association for Computer Aided Design in Architecture; ACADIA: Fargo, ND, USA, 2011; pp. 72–81. [Google Scholar] [CrossRef]
- Kim, H.; Clayton, M.J. A Multi-Objective Optimization Approach for Climate-Adaptive Building Envelope Design Using Parametric Behavior Maps. Build. Environ. 2020, 185, 107292. [Google Scholar] [CrossRef]
- Soliman, M.E.; Bo, S. An Innovative Multifunctional Biomimetic Adaptive Building Envelope Based on a Novel Integrated Methodology of Merging Biological Mechanisms. J. Build. Eng. 2023, 76, 106995. [Google Scholar] [CrossRef]
- Kuru, A.; Oldfield, P.; Bonser, S.; Fiorito, F. Biomimetic Adaptive Building Skins: Energy and Environmental Regulation in Buildings. Energy Build. 2019, 205, 109544. [Google Scholar] [CrossRef]
- Bui, D.K. Improving Building Energy Efficiency: Biomimetic Adaptive Façade and Computational Data-Driven Approach. Ph.D. Thesis, The University of Melbourne, Parkville, Australia, 2020. [Google Scholar]
- Goharian, A.; Mahdavinejad, M.; Ghazazani, S.; Hosseini, S.M.; Zamani, Z.; Yavari, H.; Ghafarpoor, F.; Shoghi, F. Designing Adaptability Strategy to a Novel Kinetic Adaptive Façade (NKAF); Toward a Pioneering Method in Dynamic-Objects Daylight Simulation (Post-Processing). J. Daylighting 2025, 12, 69–90. [Google Scholar] [CrossRef]
- Le, D.M.; Park, D.Y.; Baek, J.; Karunyasopon, P.; Chang, S. Multi-Criteria Decision Making for Adaptive Façade Optimal Design in Varied Climates: Energy, Daylight, Occupants’ Comfort, and Outdoor View Analysis. Build. Environ. 2022, 223, 109479. [Google Scholar] [CrossRef]
- Wang, Y.; Han, Y.; Wu, Y.; Korkina, E.; Zhou, Z.; Gagarin, V. An Occupant-Centric Adaptive Façade Based on Real-Time and Contactless Glare and Thermal Discomfort Estimation Using Deep Learning Algorithm. Build. Environ. 2022, 214, 108907. [Google Scholar] [CrossRef]
- Hosseini, S.M.; Mohammadi, M.; Schröder, T.; Guerra-Santin, O. Bio-Inspired Interactive Kinetic Façade: Using Dynamic Transitory-Sensitive Area to Improve Multiple Occupants’ Visual Comfort. Front. Archit. Res. 2021, 10, 821–837. [Google Scholar] [CrossRef]
- Sommese, F.; Hosseini, S.M.; Badarnah, L.; Capozzi, F.; Giordano, S.; Ambrogi, V.; Ausiello, G. Light-Responsive Kinetic Façade System Inspired by the Gazania Flower: A Biomimetic Approach in Parametric Design for Daylighting. Build. Environ. 2024, 247, 111052. [Google Scholar] [CrossRef]
- Hosseini, S.M.; Heiranipour, M.; Wang, J.; Hinkle, L.E.; Triantafyllidis, G.; Attia, S. Enhancing Visual Comfort and Energy Efficiency in Office Lighting Using Parametric-Generative Design Approach for Interactive Kinetic Louvers. J. Daylighting 2024, 11, 69–96. [Google Scholar] [CrossRef]
- Markin, V.S.; Volkov, A.G.; Jovanov, E. Active Movements in Plants: Mechanism of Trap Closure by Dionaea Muscipula Ellis. Plant Signal Behav. 2008, 3, 778–783. [Google Scholar] [CrossRef]
- Lin, Y.; Zhang, C.; Tang, W.; Jiao, Z.; Wang, J.; Wang, W.; Zhong, Y.; Zhu, P.; Hu, Y.; Yang, H.; et al. A Bioinspired Stress-Response Strategy for High-Speed Soft Grippers. Adv. Sci. 2021, 8, 2102539. [Google Scholar] [CrossRef]
- Guo, Q.; Dai, E.; Han, X.; Xie, S.; Chao, E.; Chen, Z. Fast Nastic Motion of Plants and Bioinspired Structures. J. R. Soc. Interface 2015, 12, 20150598. [Google Scholar] [CrossRef] [PubMed]
- Zeng, X.; Wang, Y.; Morishima, K. Asymmetric-Bifurcation Snapping, All-or-None Motion of Venus Flytrap. Sci. Rep. 2025, 15, 4805. [Google Scholar] [CrossRef] [PubMed]
- Burri, J.T.; Saikia, E.; Läubli, N.F.; Vogler, H.; Wittel, F.K.; Rüggeberg, M.; Herrmann, H.J.; Burgert, I.; Nelson, B.J.; Grossniklaus, U. A Single Touch Can Provide Sufficient Mechanical Stimulation to Trigger Venus Flytrap Closure. PLoS Biol. 2020, 18, e3000740. [Google Scholar] [CrossRef] [PubMed]
- Yunitsyna, A.; Sulaj, E. Daylight Optimization of the South-Faced Architecture Classrooms Using Biomimicry-Based Kinetic Facade Shading System. J. Daylighting 2025, 12, 1–20. [Google Scholar] [CrossRef]
- Bemm, F.; Becker, D.; Larisch, C.; Kreuzer, I.; Escalante-Perez, M.; Schulze, W.X.; Ankenbrand, M.; de Weyer, A.-L.; Krol, E.; Al-Rasheid, K.A.; et al. Venus Flytrap Carnivorous Lifestyle Builds on Herbivore Defense Strategies. Genome Res. 2016, 26, 812–825. [Google Scholar] [CrossRef]
- Li, J.; Tian, A.; Sun, Y.; Feng, B.; Wang, H.; Zhang, X. The Development of a Venus Flytrap Inspired Soft Robot Driven by IPMC. J. Bionic. Eng. 2023, 20, 406–415. [Google Scholar] [CrossRef]
- Volkov, A.G.; Harris, S.L.; Vilfranc, C.L.; Murphy, V.A.; Wooten, J.D.; Paulicin, H.; Volkova, M.I.; Markin, V.S. Venus Flytrap Biomechanics: Forces in the Dionaea Muscipula Trap. J. Plant Physiol. 2013, 170, 25–32. [Google Scholar] [CrossRef]
- Volkov, A.G.; Adesina, T.; Markin, V.S.; Jovanov, E. Kinetics and Mechanism of Dionaea Muscipula Trap Closing. Plant Physiol. 2008, 146, 694–702. [Google Scholar] [CrossRef]
- Wang, B.; Hou, Y.; Zhong, S.; Zhu, J.; Guan, C. Biomimetic Venus Flytrap Structures Using Smart Composites: A Review. Materials 2023, 16, 6702. [Google Scholar] [CrossRef]
- Durak, G.M.; Speck, T.; Poppinga, S. Shapeshifting in the Venus Flytrap (Dionaea Muscipula): Morphological and Biomechanical Adaptations and the Potential Costs of a Failed Hunting Cycle. Front. Plant Sci. 2022, 13, 970320. [Google Scholar] [CrossRef]
- Reinhart, C. Daylight Performance Predictions. In Building Performance Simulation for Design and Operation; Routledge: Oxfordshire, UK, 2019; ISBN 978-0-429-40229-6. [Google Scholar]
- Reinhart, C.F.; Walkenhorst, O. Validation of Dynamic RADIANCE-Based Daylight Simulations for a Test Office with External Blinds. Energy Build. 2001, 33, 683–697. [Google Scholar] [CrossRef]
- Brembilla, E.; Mardaljevic, J. Climate-Based Daylight Modelling for Compliance Verification: Benchmarking Multiple State-of-the-Art Methods. Build. Environ. 2019, 158, 151–164. [Google Scholar] [CrossRef]
- Nabil, A.; Mardaljevic, J. Useful Daylight Illuminance: A New Paradigm for Assessing Daylight in Buildings. Light. Res. Technol. 2005, 37, 41–57. [Google Scholar] [CrossRef]
- American, A.N. ANSI/IES LM-83-23 Approved Method: IES Spatial Daylight Autonomy (SDA) and Annual Sunlight Exposure (ASE); Illuminating Engineering Society: New York, NY, USA, 2022. [Google Scholar]
- Wienold, J.; Christoffersen, J. Evaluation Methods and Development of a New Glare Prediction Model for Daylight Environments with the Use of CCD Cameras. Energy Build. 2006, 38, 743–757. [Google Scholar] [CrossRef]
- Reinhart, C.F.; Wienold, J. The Daylighting Dashboard—A Simulation-Based Design Analysis for Daylit Spaces. Build. Environ. 2011, 46, 386–396. [Google Scholar] [CrossRef]
- Nouri, A.; Frisch, J.; van Treeck, C. Statistical Methodologies for Verification of Building Energy Performance Simulation. IBPSA 2021, 17, 1719–1726. [Google Scholar]
- Hosseini, S.M.; Mohammadi, M.; Guerra-Santin, O. Interactive Kinetic Façade: Improving Visual Comfort Based on Dynamic Daylight and Occupant’s Positions by 2D and 3D Shape Changes. Build. Environ. 2019, 165, 106396. [Google Scholar] [CrossRef]
Disclaimer/Publisher’s Note: The statements, opinions and data contained in all publications are solely those of the individual author(s) and contributor(s) and not of MDPI and/or the editor(s). MDPI and/or the editor(s) disclaim responsibility for any injury to people or property resulting from any ideas, methods, instructions or products referred to in the content. |
© 2025 by the authors. Licensee MDPI, Basel, Switzerland. This article is an open access article distributed under the terms and conditions of the Creative Commons Attribution (CC BY) license (https://creativecommons.org/licenses/by/4.0/).



















