Abstract
This study focuses on the fundamental mechanical behavior of frame–shear wall split-foundation structures with shear walls at both upper and lower ground ends, investigating their basic mechanical characteristics, internal force redistribution patterns, and the influencing factor of intra-stiffness ratio on seismic performance. From the analysis results, it can be found that the relative drop height of frame–shear wall split-foundation structures significantly affects their internal force patterns. Shear-bending stiffness should be adopted in stiffness calculations to reflect the stiffness reduction effect of drop height on lower embedding shear walls. In frame–shear wall split-foundation structures, the existence of drop height causes upper embedding columns to experience more unfavorable stress conditions compared to lower embedding shear walls, potentially preventing lower embedding shear walls from serving as the primary seismic defense line. Strengthening lower embedding shear walls to reduce the intra-stiffness ratio can mitigate this issue. Performance evaluation under bidirectional rare earthquakes shows greater along-slope directional damage than cross-slope directional damage. Increasing shear wall length to reduce the intra-stiffness ratio improves component rotation-based performance, but shear strain-based evaluation of upper embedding shear walls indicates a limited improvement in shear capacity. Special attention should therefore be paid to along-slope directional shear capacity of upper embedding shear walls during structural design.
1. Introduction
Mountainous buildings are a unique form of architecture in mountainous areas. In order to adapt to the slope construction site, mountainous building structures (MBS) are used in mountainous buildings [1]. The structure supported by foundations on two elevations is an important kind of mountainous building structures (MBS), and a 3D model of a frame structure supported on two elevations is shown in Figure 1. It is also referred to as “split-foundation buildings”. Frame–shear wall split-foundation structures is a kind of MBS in which shear walls and the frame are both adopted, which is shown in Figure 2.
Figure 1.
A frame split-foundation structure: (a) 3D model of a frame split-foundation structure; (b) location of the mass center and the rigidity center in the upper embedding floor.
Figure 2.
A frame–shear wall split-foundation structure: (a) 3D model of a frame–shear wall split-foundation structure; (b) location of the mass center and the position change of the rigidity center in the upper embedding floor of the frame–shear wall split-foundation structure compared to the frame split-foundation structure.
Let us assume that in the structure shown in Figure 1, all the columns have fixed sizes, all the beams have the same sizes in the structure shown in Figure 1a, and the dead loads and live loads are distributed uniformly on each floor in the structure. Due to the strong embedding effects of the upper grounding end on the upper embedding column of the structure, the stiffness center and the mass center are not at the same point in the upper embedding floor. The relative positional relationship between the stiffness center and the mass center in the upper embedding floor is shown in Figure 1b. Under lateral loads, especially earthquake loads, this stiffness distribution feature leads to a significant overall torsional effect, which is harmful to the structure.
In the last few years, some scholars have conducted several studies on the seismic performance of MBS. Aggarwal et al. [2] studied the seismic performance of typical split-foundation buildings in hilly regions. The research results showed that split-foundation buildings have significant seismic vulnerability due to stiffness irregularities. Narayanan et al. [3] studied the seismic performance of reinforced concrete (RC) buildings on steep Himalayan slopes, focusing on split-foundation configurations with columns at varying elevations. These structures suffered severe damage during the 2011 Sikkim earthquake due to unanchored column bases, large plan dimensions, and irregular infill placement. Tang et al. [4] investigated the seismic behavior of mountainous building structures (MBS) with foundations at two different elevations, focusing on internal force redistribution and plastic hinge development under earthquake loading. Tang et al. [5] also studied the seismic performance of split-foundation structures with base isolation, and investigated the uneven isolation effect due to the non-uniformity of shear force of isolation on different elevations. Jiang et al. [6] experimentally investigated the seismic performance of split-foundation structures by conducting a shaking table test of a frame split-foundation structure and a conventional frame structure model. They found that the split-foundation structure had uneven damage, distinct natural frequency, larger acceleration, and more significant torsional response compared to the conventional frame structure. Xu et al. [7] studied the seismic performance of split-foundation steel frames in mountainous areas using modal pushover analysis (MPA). It identified upper embedding columns as the weakest components, which failed first during earthquakes, leading to the progressive collapse of floors under the upper embedding end. The improvements to enhance structural resistance were also validated in the study. Similarly, Xu et al. [8] also investigated the torsional effects of 3D split-foundation frames in the across-slope direction and proposed improvements (shear walls, relaxed column constraints) to reduce the ductility demand disparities. Singh et al. [9] analyzed mountainous structures on 45° slopes and compared them to flat-ground buildings using earthquake simulations. They found that hill buildings had shorter natural periods and severe torsion in cross-slope directions. Short columns at road level carried the most shear force during along-slope shaking, leading to early failure. Xu et al. [10] simulated shear-axial failure of the earthing beam tensile failure in split-foundation frame structures and found that increasing upper base bays can help to reduce roof drift but increase local damage.
The above research results indicate that the stiffness irregularity in the upper ground vertical component of split-foundation frame MBS is a key seismic vulnerability factor. During the design process, structural engineers can add some shear walls, which provide strong lateral stiffness, in the split-foundation frame structures to balance the natural unbalanced stiffness in the upper embedding floor. Shear walls and the frame form the frame–shear wall split-foundation structure system, which is shown in Figure 2a. The strong lateral stiffness of shear walls can help structural engineers to adjust the stiffness distribution in the structure to alleviate the harmful overall torsional effect of the structure under lateral loads. The relative positional relationship between the stiffness center and the mass center in the upper embedding floor of the model in Figure 2a is shown in Figure 2b.
Additionally, the frame–shear wall structure system can form two lines of defense to resist the earthquake load, and it is suitable for high-rise buildings. Some scholars have conducted research into the seismic performance on frame–shear wall split-foundation structures.
Xu et al. [8] added shear walls in the drop-story portion of frame MBS to improve the seismic performance of the structure. When the mountainous structure is taller, shear walls are required in the upper floors to provide horizontal lateral stiffness for the overall structure. Pawar et al. [11] evaluated 6-story RC buildings on 10–30° slopes with different shear wall configurations (straight, L, T) via SAP2000 response spectrum analysis. They found that straight walls perform best for stiffness and displacement control, followed by L-shaped walls, while T-shaped walls increase deformations. Xu [12] investigated the seismic fragility of frame–shear wall structures on steep slopes (FSWSS) with unequal-height grounding, focusing on the effects of shear wall configurations and stiffness eigenvalues. The analysis results reveal that FSWSS with shear walls uniformly distributed at both ends exhibit better seismic performance than those with walls concentrated at the lower end, with reduced probabilities of exceeding damage states. Li [13] examined the seismic performance of frame–shear wall split-foundation structures by using ABAQUS simulations. The research results reveal that upper embedding stories and adjacent floors are identified as vulnerable zones where plastic hinges form first under strong shaking. Wu [14] studied how shear wall placement affects the seismic behavior of frame–shear wall split-foundation structures by using theoretical models and dynamic simulations. Jian [15] investigated the seismic performance of frame–shear wall split-foundation structures by using shaking table tests and numerical simulations. The results show that increasing stiffness ratios reduces damage in upper embedding columns, improves inter-story drift control, and delays plastic hinge formation.
Previous studies revealed that rational shear wall placement in split-foundation structures can significantly improve their seismic performance compared to frame split-foundation structures, while some researchers have explored factors such as stiffness eigenvalues and shear wall configurations affecting the seismic performance of frame–shear wall split-foundation structures. However, no scholars have conducted research on the force-bearing mechanisms of each component of frame–shear wall split-foundation structures based on their fundamental mechanical models, nor have they explored the intra-stiffness ratio’s influence on the seismic performance of such structures. Although existing studies on frame split-foundation structures have reported results regarding the seismic performance based on their stiffness characteristics, the frame–shear wall split-foundation structures, which are dominated by shear-bending deformation, exhibit significantly different nonlinear mechanical behaviors in terms of stiffness characteristics compared with frame split-foundation structures dominated by shear deformation. Therefore, this paper investigates the influence of relevant parameters on their seismic performance based on the stiffness calculation method for the shear-bending type of frame–shear wall split-foundation structures.
In order to find out the seismic performance of frame–shear wall structures, a basic mechanical model of frame–shear wall split-foundation structures was built in the present study, and the deformation characteristics and force-bearing characteristics of the basic mechanical model were studied by varying relevant parameters. In addition, the nonlinear seismic performance of frame–shear wall split-foundation structures was studied using the time history method in Perform-3D v8.1.0. The main objective of the time history analysis was to obtain the seismic deformation characteristics of 3D multi-story frame–shear wall structures and the redistribution of their internal forces and seismic performance of different structural components under rare earthquake loads specified in Chinese codes. These analysis results can provide advice for structural engineers to improve the seismic resistance ability of frame–shear wall split-foundation structures during the design process.
For the convenience of description, the terminology of different components and different parts of frame–shear wall split-foundation structures is presented in Figure 3.
Figure 3.
Terminology for the components of frame–shear wall split-foundation structures.
In this paper, the work commences with the establishment and static analysis of the basic mechanical model of frame–shear wall split-foundation structures. The analysis results of the basic mechanical model can reveal the influencing factors of the two embedding ends on frame–shear wall split-foundation structures. The elastic response spectrum analysis of the plane model of multi-story frame–shear wall split-foundation structures was studied by changing the important influencing parameters. The elastoplastic time history analysis of frame-shear wall split-foundation structures was conducted in the last part. The basic seismic performance of the structure and the improvement methods can be found according to the analysis results.
The flowchart of the study process is presented in Figure 4.
Figure 4.
The flowchart of the present work.
The definitions and calculation formulas of relevant research parameters can be found in Appendix A and refer to Table A1.
2. Study of the Basic Mechanical Model of Frame–Shear Wall Split-Foundation Structures
2.1. Establishment and Rationality Verification of Basic Mechanical Models of Frame–Shear Wall Split-Foundation Structures
Due to the complex interaction between shear walls and frame components in multi-story frame–shear wall split-foundation structures under horizontal loads, directly establishing a mechanical model for them makes it difficult to obtain reasonable and concise mathematical expressions for describing the force mechanism of frame–shear wall split-foundation structures. Aiming at the main purpose of this study, the simplest single-story frame–shear wall split-foundation structures’ basic mechanical model that can represent the unequal-height grounding characteristics of this kind of structures was established and studied. The main factors affecting the overall stiffness and internal force distribution characteristics of frame–shear wall split-foundation structures were introduced into the establishment of the basic model, specifically considering the following:
- In this paper, the relative drop-story height (α = h2/h1) was used to characterize the influence of the drop-story height on the overall stiffness of the structure.
- The changes in the in-plane length of the upper embedding shear wall (l2) and the length of the lower embedding shear wall (l1) were used to reflect the influence of the shear wall stiffness on the overall structural stiffness.
- The changes in the linear stiffness of beams and columns (ib and ic) were used to characterize the influence of the frame component stiffness on the overall structural stiffness.
- In the study of planar simplified models of frame–shear wall structures, the two ends of the beam connecting the top of the frame and the top of the shear wall were typically simplified as hinged connections to reduce the total degrees of freedom of the basic mechanical model, thereby simplifying the mathematical expressions describing the stiffness characteristics of frame–shear wall structures. Since the overall stiffness of frame beams is generally lower than that of shear walls and the entire frame under normal conditions, it is reasonable to simplify both ends as hinged connections that only transmit axial forces while ignoring the bending moments transmitted by beams with weaker stiffness. This simplified method of frame–shear wall structure systems is also academically referred to as the hinged frame–shear wall system.
In this section, the basic model of frame–shear wall split-foundation structures hinged system is established. Leveraging the matrix displacement method of structures, formulas for calculating relevant outcomes of the frame–shear wall split-foundation structures’ basic model were deduced. Initially, the rationality of the stiffness index selection was validated by comparing the results derived from the computational formulas with those obtained from the finite-element software PKPM v2.1.3 [16]. Subsequently, a preliminary investigation into the impact of relevant influencing parameters on frame–shear wall split-foundation structures was conducted by varying the relevant parameters.
A basic mechanical model of the hinged system of the frame–shear wall split-foundation structures with shear walls on both grounding ends is shown in Figure 5.
Figure 5.
Basic mechanical model.
Due to the hinged connection between the shear wall and the frame part, the two models above both have three degrees of freedom. The unknown quantities corresponding to the three degrees of freedom are the rotational displacement at the joint of Column 1 and Beam 2, the rotational displacement at the joint of Column 2 and Beam 2, and the overall horizontal displacement at the top of the structure. Firstly, the basic equations for the three degrees of freedom of the basic mechanical model were established using the displacement method as follows:
The following equation is written in matrix form:
By solving the above equations, the calculation expressions for the displacements corresponding to the three degrees of freedom can be obtained. To simplify the expressions, we integrated the stiffness parameters into the following formula:
The analytical expressions for the three fundamental unknowns, derived from the solution process, are presented as follows:
According to the reciprocal theorem of reactions, the following relationships hold in the above equations, where, kij represents the reaction force generated in the additional constraint applied at point i when the additional constraint applied at point j undergoes a unit displacement (either rotational angular or horizontal displacement). Based on the shape–constant table in the displacement method of structural mechanics, the calculation formulas for the basic parameters in the above equations are as follows:
In the above Equation (5), i represents the linear stiffness of the corresponding component in Figure 5, while k33, kw1, and kw2 represent the stiffness of the upper and lower embedding shear walls, respectively. According to the calculation formula for cantilever members in material mechanics, the bending deformation of the shear wall can be expressed by Equation (6). The shear deformation of the shear wall can be expressed by Equation (7), and kw can be calculated using Equation (8).
In Equations (6)–(8), EIi is the flexural stiffness of a single shear wall, M(z) is the distribution function of the bending moment along the height, G is the shear modulus of the wall limb, A is the cross-sectional area of the wall limb, u is the shear non-uniformity coefficient, and y1 and y2 represent the contributions of the flexural stiffness part and the shear stiffness part of the shear wall, respectively.
We used Matlab to perform matrix operations on the above equations to calculate the horizontal displacement. We calculated the overall horizontal displacement of the structure under a concentrated horizontal force using the custom working condition in the finite-element software PKPM v2.1.3 [16] and Sap2000 V24 [17] (constraining the relative displacements at the tops of each node in the structural model). Then, we compared the three calculation results. The parameters of the given models are as follows. A total of five models were used for verification. The concrete strength of each model was C30, with an elastic modulus of E = 3 × 104 N/mm2, and the wall thickness was uniformly 310 mm. The horizontal concentrated force applied to the models was uniformly set as F = 1000 kN, and the shear non-uniformity coefficient u was taken as 2. The remaining basic parameters of the models are shown in the following Table 1.
Table 1.
Parameters for the basic mechanical models of verification.
The comparison of the calculation results of the displacements at the top of the basic mechanical model is shown in Figure 6.
Figure 6.
Comparison of the derived values and software calculations.
The error between the calculation results obtained from the equations and those from the software was within a reasonable range. In PKPM and Sap2000, the meshing of shell elements used to simulate the shear wall had a certain impact on the calculation results. Moreover, when the shear wall was relatively tall, the distributions of the bending moment and shear force differed from those of pure flexural and shear members, which accounts for this discrepancy.
2.2. Study on the Single-Force Response Characteristics of Basic Mechanical Models
To further investigate the mechanical behavior of the basic model of frame–shear wall split-foundation structures, modifications were made to the parameters of the basic models. Key computational indicators were selected for comparison. The dimensions of the beams and columns in the frame section were 300 mm × 500 mm and 500 mm × 500 mm, respectively. We defined α = h2/h1. The length of the shear walls was defined as a variable (ranging from 1.4 m to 3.8 m). In this study, α was modified by adjusting h₂ while selecting an appropriate value for h₁ and keeping it constant.
The length of the shear walls was defined as a variable (ranging from 1.4 m to 3.8 m). The variation coefficient α was 0.4–4. The basis for the value range of the relative drop height α (0.4–4) was as follows:
- Through trial calculations, when the value of the relative drop height α exceeded 4, increasing the length of the lower embedding shear wall or the upper embedding shear wall, the relative displacement values at the structure’s top exhibited minimal growth with the increase in α. Additionally, when adjusting the length of the lower grounded shear wall, the vertex displacements of each model showed little difference.
- To maintain consistent intervals between research data points, we took 8 data points starting from 4, which led us to α = 0.4 as the lower limit of the research. When the relative drop-story height α was less than 0.4, it indicated that the drop-story height was relatively small compared to the height above the upper grounding end of the structure; when α equaled 0, it meant no drop-story height existed, and the structure became a typical frame–shear wall structure with only one grounding end. Therefore, data points for α = 0 were not included.
In practical engineering, according to Clause 3.1.9 of the Standard for Design of Building Structures on Slopes (JGJ/T 472-2020) [18], the maximum drop-story height h₂ of a split-foundation structure can be 20 m. If the height h₁ of the structure above the upper grounding end is 5 m, then α equals 4; if h₁ is 50 m, α equals 0.4. Thus, selecting the value range of α as 0.4–4 is reasonable.
Eight basic models were established, including one baseline model where both the upper and lower embedding shear walls had a length of 1.4 m (l1 = 1.4 m). The other models varied only in the length of either the upper or lower embedding shear wall. For example, l1 = 2.0 m represented the lower embedding shear wall length of 2.0 m while the upper grounding shear wall remained 1.4 m; l2 = 2.0 m represented the upper embedding shear wall’s length of 2.0 m while the lower embedding shear wall remained 1.4 m.
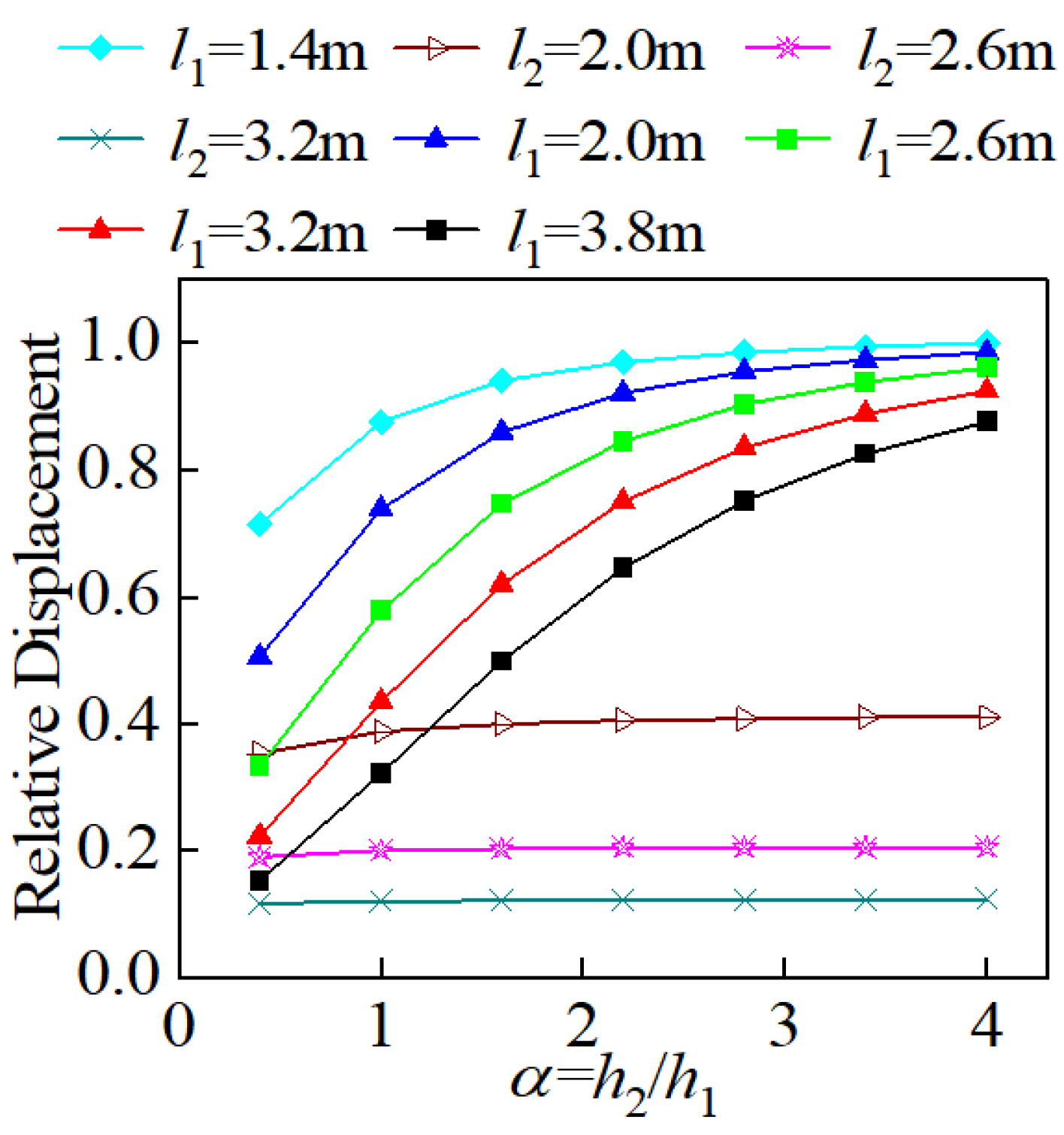
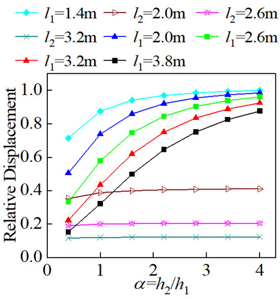
The vertex displacement of the model with the maximum vertex displacement was normalized to 1. Firstly, we generated a diagram showing the relative displacement variation of the vertex in the basic model of frame–shear wall structures relative to the maximum relative displacement in each model, as illustrated in Figure 7.
Figure 7.
The relative top point movement of models.
From Figure 7, it can be observed that in the basic structure, the curves generated by increasing the length of the upper embedding shear wall and the lower embedding shear wall exhibited distinct variation trends. When increasing the length of the lower embedding shear wall, the relative displacement at the structural vertex showed a larger decrease with the same value of α = h2/h1. When the length of the lower embedding shear wall was fixed, with the increasing value of α, the models’ relative displacement value increased significantly. In contrast, when the length of the upper embedding shear wall was fixed, it had almost no influence on the vertex displacement when increasing the value of α. This indicates that enhancing the upper embedding shear wall length improves the overall structural stiffness more effectively without the stiffness-weakening effect caused by increasing the drop-story relative height α = h2/h1. Furthermore, when the length of the lower embedding shear wall was fixed, the arrangement of the upper embedding shear wall played a dominant role in enhancing the overall lateral resistance stiffness of the basic structure. The existence of α = h2/h1 in frame–shear wall split-foundation structures affects the structures’ overall stiffness by weakening the lower embedding shear wall.
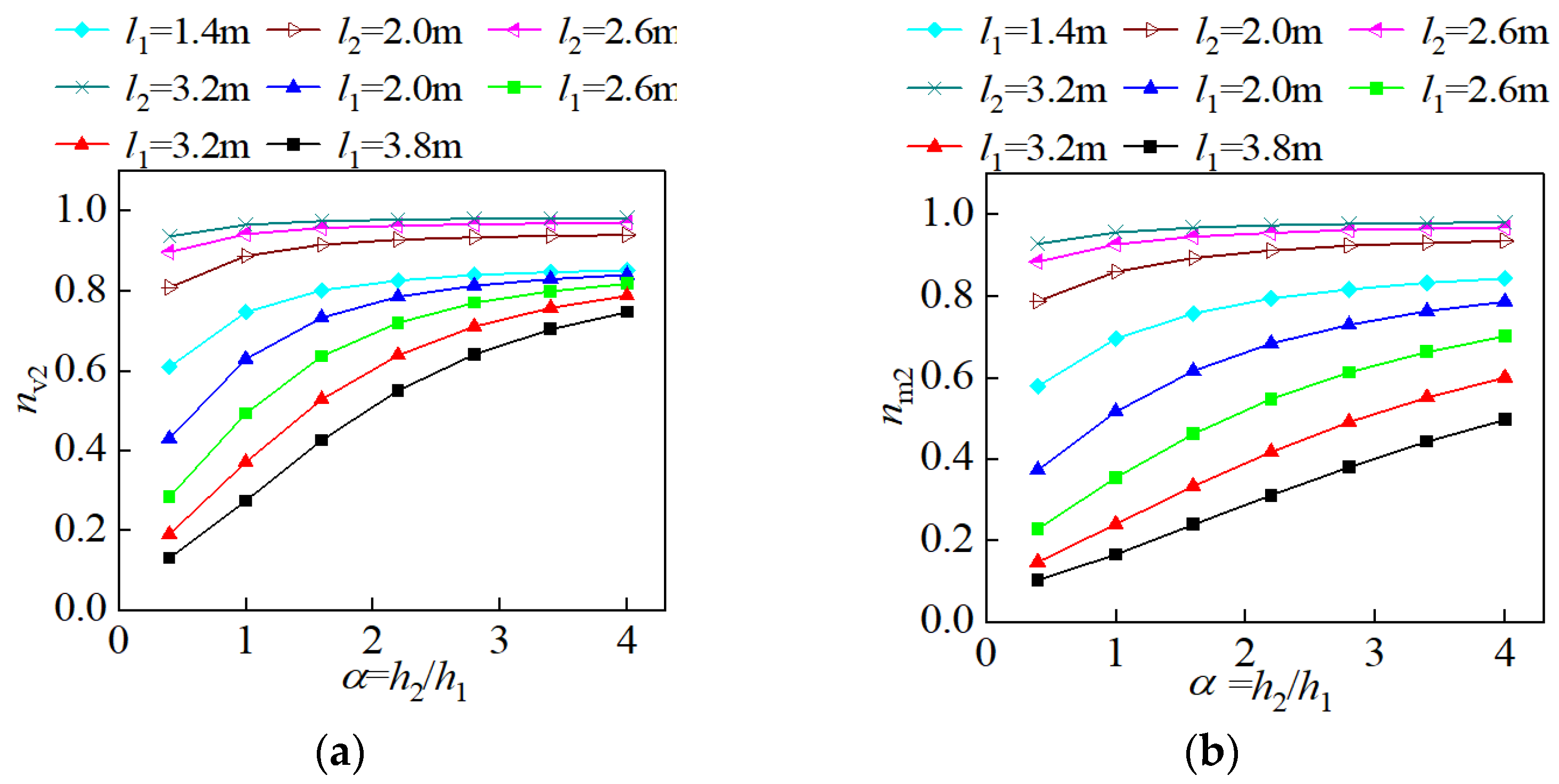
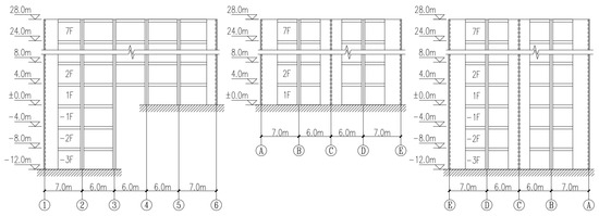
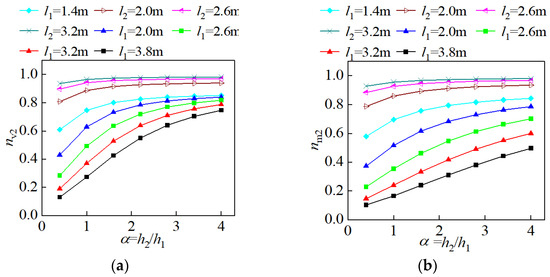
Similarly, the proportions of the shear force and bending moment of the upper and lower shear walls were plotted to explore the force-bearing characteristics of the first line of defense. The graphs showing the variations of the proportion of the shear force and the proportion of the bending moment of the upper embedding shear wall with the length of the shear wall are shown in Figure 8.
Figure 8.
Proportion of the internal force in the upper embedding shear wall: (a) proportion of the shear force nv2 in the upper embedding shear wall; (b) proportion of the moment nm2 in the upper embedding shear wall.
As can be seen from Figure 8, with the increase in the length of the shear wall and value of α, the proportions of the shear force and bending moment of the upper embedding shear wall both increased. When the length of the upper embedding shear wall was increased, the increasing trend of the proportion of the internal forces of the upper embedding shear wall tended to be gentle.
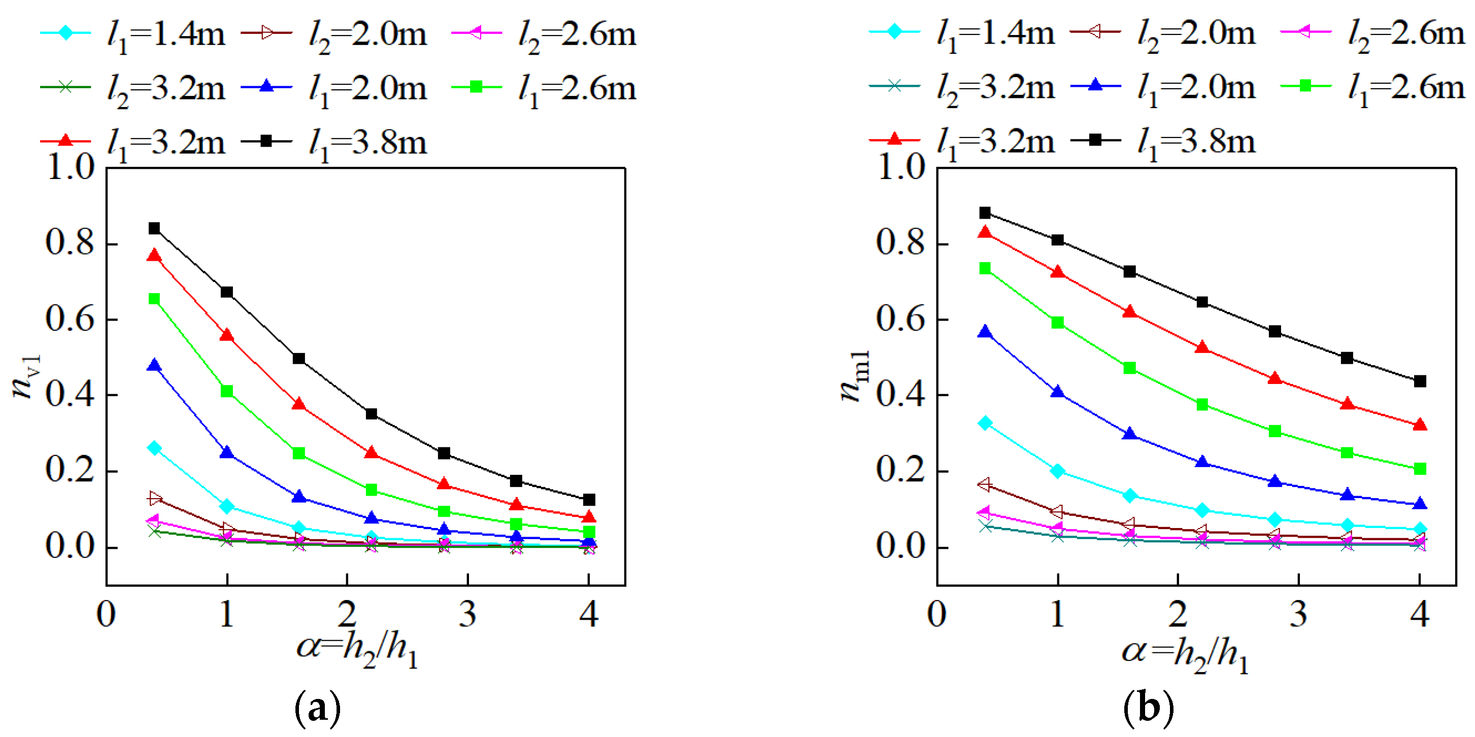
The variation diagrams of the shear force proportion nv1 and the bending moment proportion nm1 of the lower embedding shear wall with the length of the shear wall are shown in Figure 9.
Figure 9.
Proportion of the internal force of the lower embedding shear walls: (a) proportion of the shear force nv1 in the lower embedding shear wall; (b) proportion of the moment nm1 in the lower embedding shear wall.
The variation trend of the internal force proportion of the lower embedding shear wall was opposite to that of the upper embedding shear wall. However, they shared the same characteristic that when the length of the upper embedding shear wall was increased to a certain extent, the change of proportion in the internal force tended to be gentle. Figure 8 and Figure 9 indicate that when the length of the lower embedding shear wall was fixed, the arrangement of the upper embedding shear wall had a relatively greater impact than α on the change of the internal stiffness distribution of frame–shear wall split-foundation structures.
Meanwhile, by summarizing Figure 7, Figure 8 and Figure 9, it can be found that changing both the length and height of the lower embedding shear wall can significantly alter the overall stiffness of the structure and internal force distribution. When the relative height was small, changing the length of the upper embedding shear wall had a relatively large impact on the overall stiffness of the structure. As α increased, the change in the overall stiffness of the structure caused by the same length change of the lower embedding shear wall was greater compared to the situation when α was small. When the length of the lower embedding shear wall was large, increasing α would more obviously weaken the overall stiffness of the structure. As the length of the lower embedding shear wall decreased, the weakening effect of increasing α on the overall stiffness of the structure became lower and lower. At the same time, when only α was changed without changing the length of the lower embedding shear wall, the upper embedding shear wall played a controlling role in the overall stiffness of the structure. The influence of the upper embedding shear wall on the overall stiffness of the structure was similar to the role of the shear wall in a common frame–shear wall structure that has one embedding end.
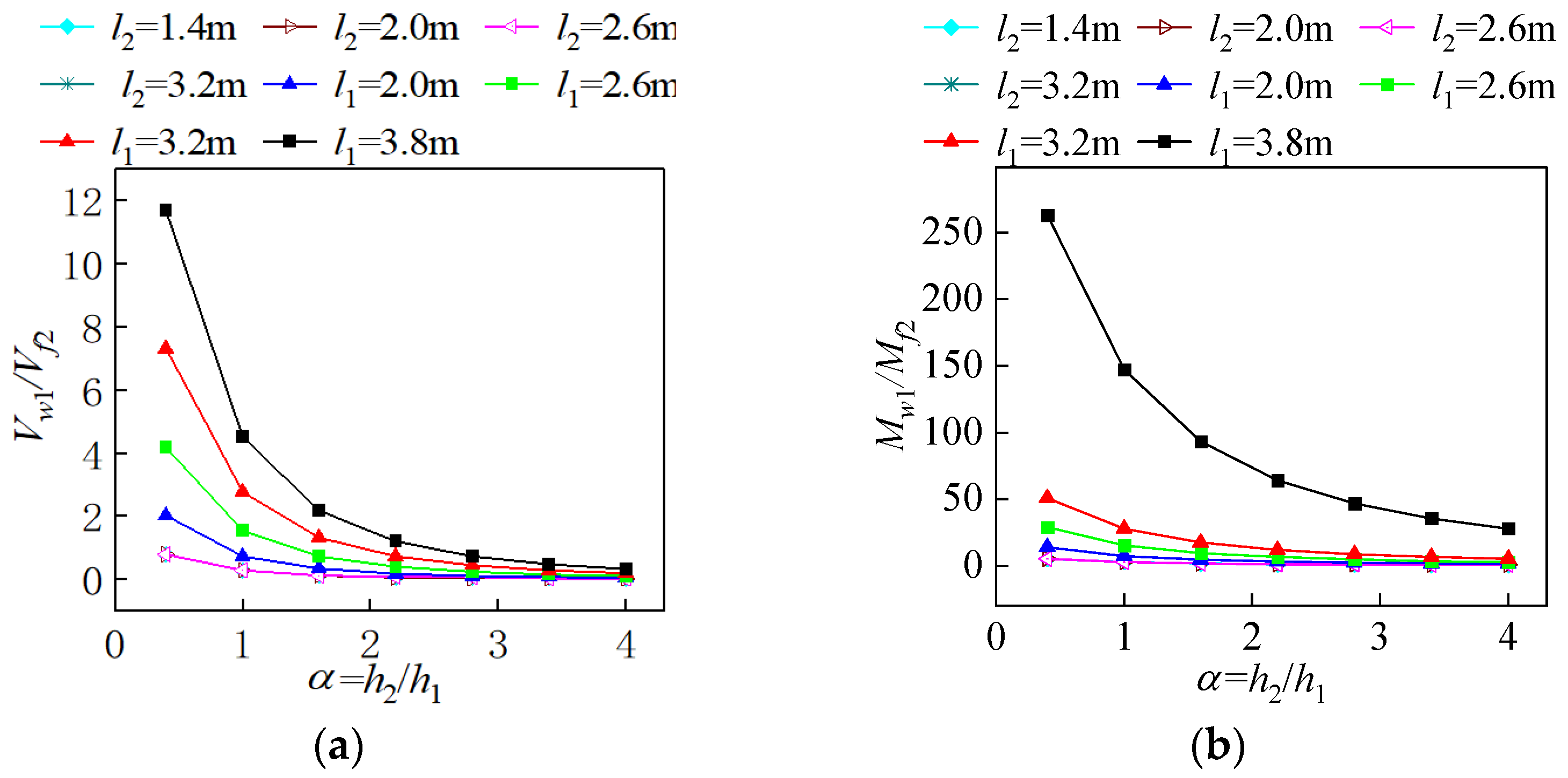
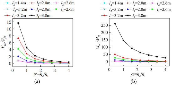
In order to explore the seismic vulnerable parts of the basic mechanical model of the frame–shear wall split-foundation structures, the shear force ratios Vw1/Vf2 and bending moment ratios Mw1/Mf2 between the upper embedding shear wall and the lower embedding shear wall, as well as between them and the upper embedding columns, were obtained. The variation curves of the shear force ratios and the bending moment ratios between the lower embedding shear wall and the upper embedding columns with α were plotted, as shown in Figure 10.
Figure 10.
The ratio of internal force: (a) the ratio of shear force; (b) the ratio of shear moment.
In Figure 10, Vw1 represents the shear force borne by the lower embedding shear wall and Vf2 represents the shear force borne by the upper embedding column; Mw1 represents the bending moment borne by the lower embedding shear wall, and Mf2 represents the bending moment borne by the upper embedding column.
Figure 10 shows that the variation of Vw1/Vf2 and Mw1/Mf2 was different. When the length of the lower embedding shear wall was relatively long, the change in values for the ratio of internal force was significantly affected by the relative drop-story height. When the length of the lower embedding shear wall remained unchanged and the length of the upper embedding shear wall increased, the curves basically overlapped. Specifically for the values less than 1, Vw1/Vf2 ranged from 0.07 to 1, and Mw1/Mf2 ranged from 0.531 to 1. This implies that upper embedding columns may be more unfavorably loaded compared to lower embedding shear walls, and thus lower embedding shear walls may not necessarily serve as the first line for seismic defense in frame–shear wall structures.
From the study of the deformation characteristics and force-bearing characteristics of the basic mechanical model of the above-mentioned frame–shear wall split-foundation structure, it can be seen that due to the fact that the shear wall had both bending stiffness and shear stiffness, the presence of the drop-story height weakened the horizontal lateral stiffness of the lower embedding shear wall compared to the upper embedding shear wall at the same elevation. The influence of the drop-story height on the overall stiffness of frame–shear wall split-foundation structures cannot be ignored. Through the relative internal force relationship analysis between the shear wall and the frame columns, it can be seen that, affected by the drop-story height, the force-bearing condition of the frame columns may be more unfavorable compared to that of the shear wall. The abovementioned stiffness characteristics and deformation characteristics have made the drop-story frame–shear wall structure significantly different from the ordinary structure with only one grounding end.
3. Seismic Time History Analysis of 3D Multi-Story Frame–Shear Wall Split-Foundation Structures
3.1. Development of Analytical Models and Selection of Seismic Waves
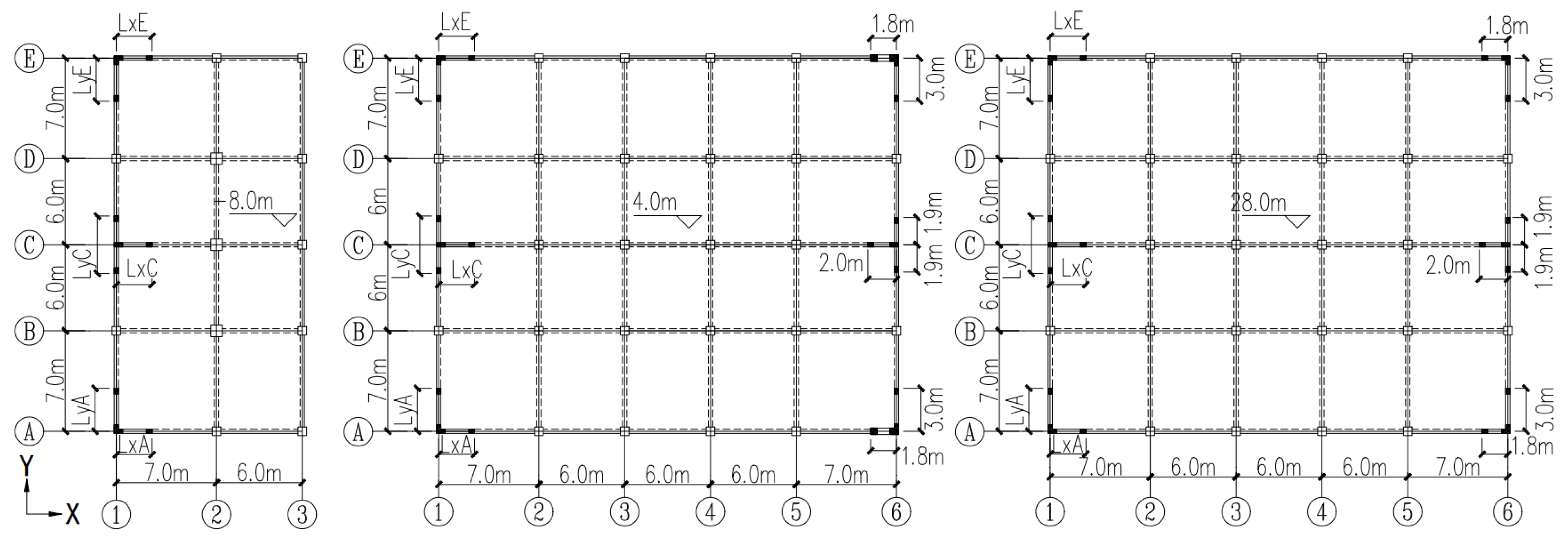
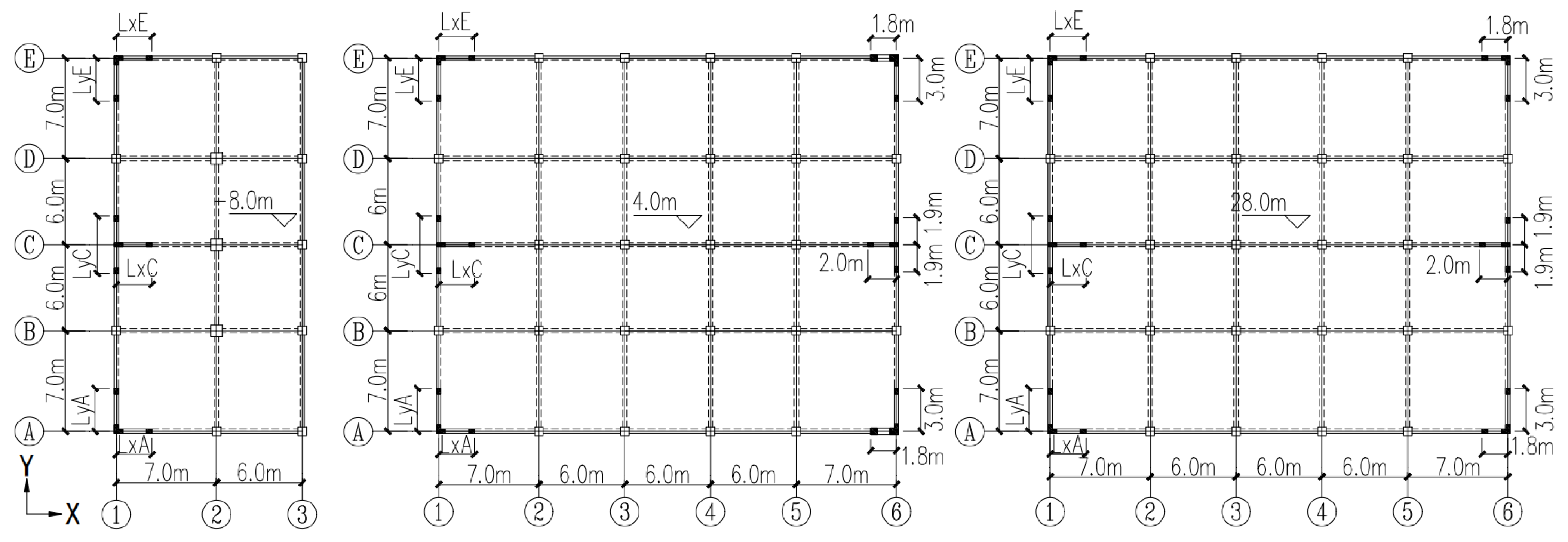
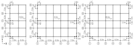
To further investigate the seismic performance of frame–shear wall split-foundation structures, three models with different intra-story stiffness ratios rintra across the slope and along the slope were designed by varying the length of the lower embedding shear walls according to Chinese codes. The geometric parameters of each structure are shown in Figure 11 and Figure 12 below.
Figure 11.
Structural layout plan of typical floors in the models.
Figure 12.
Elevation of structural models.
According to the analysis results of the basic mechanical model of frame–shear wall split-foundation structures, due to the presence of the drop height, the change in the stiffness of the lower embedding shear walls has a significant impact on the overall stiffness of the structure and the characteristics of internal force distribution. Moreover, changing the drop height and the length of the lower embedding shear walls can both alter their horizontal stiffness. Therefore, in the establishment of the elastoplastic analysis model in this section, the stiffness on the lower embedding side of the structure was changed by adjusting the length of the lower embedding shear walls so as to modify the intra-stiffness ratio of the lower embedding side of the structure and explore the influence of the change in the intra-stiffness ratio on the seismic performance of the structure. The corresponding positions of the parameters for the length of the lower embedding shear walls are shown as “LyA”, “LyC”, etc. in Figure 11. The parameter changes in different models C1–C3 are listed in Table 2.
Table 2.
Geometric parameters of different models.
The upper embedding ends of all the models were set to an elevation of 0.00, with each story height of uniformly 4 m. There were 7 stories above the upper embedding end, resulting in a total structural top elevation of 28 m. The floors under the upper embedding end consisted of three stories with a total height of 12 m. All models featured identical lengths for the upper embedding shear walls, with specific values listed in Table 2. The frame columns had a cross-sectional dimension of 500 mm × 500 mm, frame beams were 300 mm × 500 mm, and floor slabs were uniformly 120 mm thick. The concrete strength grade was C40, and the steel reinforcement usesd HRB400.
The mode shape diagrams and period values of the first three natural periods for each structure calculated by Perform-3D are shown in Figure 13.
Figure 13.
Proportion of the internal force of the lower embedding shear walls: (a) T1 = 1.077 s for C1; (b) T2 = 1.034 s for C1; (c) T3 = 0.7184 s for C1; (d) T1 = 0.9391 s for C2; (e) T2 = 0.9005 s for C2; (f) T3 = 0.639 s for C2; (g) T1 = 0.8453 s for C3; (h) T2 = 0.8146 s for C3; (i) T3 = 0.5756 s for C3.
As can be seen from the above Figure 13, the first mode shape of each structure was dominated by along-slope directional translation, the second mode shape was primarily characterized by across-slope translation with slight torsion, and the third mode shape was predominantly dominated by torsion.
From past research [4], it is evident that the intra-story stiffness ratio rintra of the upper embedding floor has a notable impact on the seismic performance of frame split-foundation structures. In this paper, the intra-story stiffness ratio rintra of the structure was tweaked by altering the length of the lower embedding shear walls. To account for both the shear stiffness and the flexural stiffness of shear walls, in this paper, the calculation method for the in-story stiffness ratio rintra was performed as shown in Figure 14 below. Specifically, isolated segments were taken from the upper and lower parts of the structure, loads were applied to the corresponding floors to obtain structural displacements, and the stiffness of the corresponding segment was calculated by dividing the force by the displacement.
Figure 14.
Schematic diagram for the separated lateral stiffness calculation. (a) Schematic diagram of stiffness calculation method for lower-embedding side of frame-shear wall split-foundation structures; (b) schematic diagram of stiffness calculation method for upper-embedding side of frame-shear wall split-foundation structures.
In Figure 14, P is the concentrated force applied to the corresponding part of the upper embedding floor, and Δt and Δb are the corresponding displacement of each part.
The equation for computing the intra-story stiffness ratio rintra is presented as follows:
rintra = (P/∆t)/(P/∆b + P/∆t) = ∆b/(∆t + ∆b)
The calculated values of the intra-story stiffness ratio rintra for each model are presented in the Table 3 below.
Table 3.
The intra-story stiffness ratios rintra for each model.
Seismic loads for all the models were uniformly applied with seismic ground motion intensities determined under the conditions specified in the Code for Seismic Design of Buildings (Intensity 7 [0.1 g], Site Class II, First Group) [19]. Additionally, an amplification factor of 1.3 for seismic ground motion input to structures located on steep slopes was considered in accordance with 4.1.1 of the General Code for Seismic Design of Buildings and Municipal Engineering, GB 55002-2021 [20], and 4.1.8 of the Code for Seismic Design of Buildings, GB/T 50011-2010 [19].
For Models C1~C3, the dead load of each floor (excluding the roof) was taken as 2 kN/m2, and the live load was 8 kN/m2 (including service live load and load due to partition walls). The roof level had a dead load of 6 kN/m2 and a live load of 2 kN/m2. Partial safety factors and combination factors for various structural load cases were to be determined in accordance with Chapter 2.4 of the General Code for Engineering Structures, GB 55001-2021 [20].
3.2. Selection of Seismic Waves and Constitutive Relationships for Structural Elastoplastic Analysis Models
The overall basis for selecting seismic waves in this paper was that the response spectrum of the main direction of the selected seismic waves in the Chinese codes is statistically consistent with the response spectrum of the Code for Seismic Design of Buildings (GB 50011-2010) [19] at the main period points of the structure. Since the response spectrum curve of GB 50011-2010 [19] is comprehensively derived from domestic strong-motion observation data, seismic hazard analysis, and international ground motion data, it is standardized and reliable. Meanwhile, the selected seismic waves included a Wenchuan earthquake wave (SC3), which occurred in the mountainous areas of China. For the hazard of steep scarp topography in mountainous areas, Chinese codes uniformly consider this adverse effect by amplifying the ground motion intensity. In this paper, the ground motion intensity amplification factor was determined by the drop height of the model to define the scarp height, and a unified value of 1.3 was adopted for rock slopes in accordance with the provisions of GB 50011-2010 [19].
In this paper, three natural waves and one artificial wave were selected in accordance with the provisions of the Chinese code named Code for Seismic Design of Buildings, GB 50011 [19]. The information for each wave is presented in the following Figure 15.
Figure 15.
The selected earthquake wave. (a) REN1; (b) SC1; (c) SC2; (d) SC3.
The comparison between the response spectra of the main direction (M) and secondary direction (R) of each seismic wave and the response spectrum specified in GB 50011 (rare earthquake) [19] is presented in Figure 16 below.
Figure 16.
Comparison of the response spectra of each wave with the code response spectrum.
In the Figure 16 above, REN1_M represents the seismic wave response spectrum in the main direction of the REN1 wave, and REN1_R represents the seismic wave response spectrum in the secondary direction of the REN1 wave. The suffixes (M and R) of other symbols denote the same meaning as those for the REN1 wave.
In this paper, the numerical simulation of shear walls employed the shear wall element in Perform-3D v8.1.0 based on the MVLEM theory [21,22]. The nonlinear mechanical behavior of beams and columns was modeled using the fiber hinge model [21,22], where fiber sections were assigned to the high-stress regions at both ends of the members to simulate plastic hinges. The simplified Mengegotto–Pinto steel constitutive model [23] was adopted and input into Perform-3D software to simulate the nonlinear analysis of steel reinforcement in structural components. Meanwhile, the Mander concrete constitutive model [24], combined with the built-in hysteretic loop in Perform-3D, was used to simulate the nonlinear behavior of concrete in this study. Cui [25] verified the accuracy and rationality of the aforementioned model. In this paper, the preliminary analysis model for structural seismic time history analysis first divided the gravity load cases into ten application steps. The horizontal seismic time history load cases were applied after the vertical gravity load (D + 0.5 L) had been fully applied.
3.3. Bidirectional Seismic Time History Analysis of Typical Multi-Story Frame–Shear Wall Split-Foundation Structures
3.3.1. Displacement Angle Distribution Characteristics
The along-slope drift angle response of each structure under bidirectional seismic wave inputs of different intensities (with the along-slope direction as the primary input direction) is presented as shown in Figure 17.

Figure 17.
The along-slope directional drift angles of C1, C2, and C3 under different seismic intensity levels for each earthquake wave. (a) C1 under REN1; (b) C1 under SC1; (c) C1 under SC2; (d) C1 under SC3; (e) C2 under REN1; (f) C2 under SC1; (g) C2 under SC2; (h) C2 under SC3; (i) C3 under REN1; (j) C3 under SC1; (k) C3 under SC2; (l) C3 under SC3.
As shown in Figure 17, as the ground motion intensity input to each structure increased, the along-slope drift angles of all the models gradually increased. However, due to differences in the stiffness of each model, the drift angles of different structural models under the same seismic wave input varied. Additionally, because the ground motion characteristics of the input seismic waves differed, the distribution of displacement angles along the floors of the same structure under different seismic wave inputs also varied.
By comparing the distribution of drift angles of C1 under each seismic wave input (i.e., Figure 17a–d), it can be seen that when the ground motion input intensity was low (0.046 g and 0.130 g), the distribution of structural drift angles along the floors under different seismic waves differed slightly. As the ground motion intensity increased (0.286 g and 0.429 g), significant differences emerged in the distribution of structural drift angles under different wave inputs. The positions where the maximum drift angles occurred in each wave were all above the upper grounding floor, but the specific floor locations differed. Figure 17e–l show that Models C2 and C3 exhibited similar characteristics.
When comparing the maximum drift of structures C1, C2, and C3 under the same seismic wave input, the maximum drift angles under the REN1 wave decreased gradually from C1 to C3. The difference between C3 and C2 was more pronounced than that between C2 and C1, and this pattern was consistent across all input seismic waves.
The across-slope drift response of each structure under bidirectional seismic wave inputs of different intensities (with the cross-slope direction as the primary input direction) is presented as shown in Figure 18.
Figure 18.
The across-slope directional drift angles of C1, C2 and C3 under different seismic intensity levels for each earthquake wave. (a) C1 under REN1; (b) C1 under SC1; (c) C1 under SC2; (d) C1 under SC3; (e) C2 under REN1; (f) C2 under SC1; (g) C2 under SC2; (h) C2 under SC3; (i) C3 under REN1; (j) C3 under SC1; (k) C3 under SC2; (l) C3 under SC3.
As shown in Figure 18, the across-slope drift angle responses of all the models were generally smaller than those in the along-slope direction, and the drift angle distribution plots of the structures under different seismic wave inputs exhibited greater discrepancies. From Figure 18a–d, it can be seen that for model C1, the drift angles at the upper embedding floor showed a sudden increase under each seismic wave, a phenomenon not observed in the along-slope drift angles of the structure. This is because the C1 structure exhibited a more pronounced torsional response in the along-slope direction. As the lower embedding shear walls were lengthened (C2 and C3), this phenomenon disappeared. Comparing the drift distribution plots, the structures exhibited the largest displacement angle values under the SC2 seismic wave, which was consistent with the drift response in the along-slope direction.
3.3.2. Key Components’ Hysteresis Curves
The hysteretic characteristics (force displacement) of structural components under seismic loading effectively reflected their seismic behavior. The area and fullness of the hysteresis loop visually indicated the energy dissipation capacity of each component. Representative local components from the C1 model and the C3 model were selected, and their moment–curvature hysteresis curves under the artificial wave REN1 (0.289 g) in the along-slope direction are shown in Figure 19 below.
Figure 19.
Hysteresis curves of the key structural components of C1 and C3 under the bidirectional seismic condition with the along-slope direction as the main input direction of wave REN1. (a) The upper embedding column of C1; (b) the beam connected to the shear wall in the upper embedding floor of C1; (c) the upper embedding shear wall in the upper embedding floor of C1; (d) the upper embedding column of C3; (e) the beam connected to the shear wall in the upper embedding floor of C3; (f) the upper embedding shear wall in the upper embedding floor of C3.
As shown in Figure 19a–c, the hysteresis curves of the upper embedding column and the frame beam connected to the upper embedding shear walls in model C1 were relatively plump, indicating that they fully dissipated energy under rare earthquake actions. In contrast, the hysteresis curves of the upper embedding shear wall were relatively slender, suggesting weaker energy dissipation capacity. Figure 19d–f shows that the hysteresis curves of the beam, column, and wall at the same locations in C3 differed from those in C1. Overall, the energy dissipation of the beam and the column at the corresponding positions in model C3, as well as the bending moments borne by the shear wall, were lower than those in C1. It can be seen that as the intra-story stiffness ratio rintra decreased, the force conditions in the along-slope direction for the structural components of the upper embedding floor in the frame–shear wall split-foundation structure became more favorable.
Representative components from the C1 model and the C3 model were selected, and their moment–curvature hysteresis curves under the artificial wave REN1 (0.289 g) in the across-slope direction are shown in Figure 20 below.

Figure 20.
Hysteresis curves of the key structural components of C1 and C3 under the bidirectional seismic condition with the across-slope direction as the main input direction of wave REN1. (a) The upper embedding column of C1; (b) the beam connected to the shear wall in the upper embedding floor of C1; (c) the upper embedding shear wall in the upper embedding floor of C1; (d) the upper embedding column of C3; (e) the beam connected to the shear wall in the upper embedding floor of C3; (f) the upper embedding shear wall in the upper embedding floor of C3.
As shown in Figure 20a–c, the hysteresis curves of the cross-slope frame beams connected to shear walls in model C3 were plumper compared to those of the frame beams at the corresponding positions in model C1. The maximum bending moments borne by the across-slope shear walls in C3 were greater than those in C1, while the plumpness of the hysteresis curves of the upper embedding column at the same position was lower than that in C1. As indicated in Figure 20a–f above, decreasing the intra-story stiffness ratio rintra in the across-slope direction exacerbated the nonlinear responses of certain structural components in the cross-slope direction.
3.3.3. Internal Force Redistribution Analysis
In this section, the internal force redistribution of the frame–shear wall split-foundation structure under seismic action was investigated primarily through the calculation of the shear force amplification factor λ. Since the structure remains in an elastic state under minor earthquakes, Tang [4] defined the seismic shear force amplification factor λ as the ratio of the story shear force under various ground motion intensities to that under minor earthquakes, which is used for studying internal force redistribution. A higher ratio corresponding to a structural story indicates a greater degree of internal force transfer to that part. The calculation equation for λ is as follows:
In the above equation, V represents the story shear force of the specified part of the structure under various ground motion intensities, while V0.046 g denotes the story shear force under minor earthquakes.
In contrast to frame split-foundation structures, frame–shear wall split-foundation structures exhibit interaction between the frame and shear wall components at the same floor level. Therefore, it was necessary to conduct a component-based study on the internal force redistribution of frame–shear wall split-foundation structures. Specifically, the maximum floor shear force amplification factors in the along-slope and across-slope directions for each component (upper embedding shear walls, upper embedding frames, lower embedding shear walls, lower embedding frames) of the C1 and C3 models would be determined.
This study’s analysis gives directions for the frame–shear wall structures’ design work, a structural system featuring multi-seismic defense lines. It can assist structural engineers in enhancing the load-bearing capacity of regions with intense internal force redistribution (i.e., reinforcing bars), thereby ensuring the effectiveness of the structure’s multiple seismic defense lines.
First, the floor shear force amplification factor λ for the upper embedding components (upper embedding shear walls and upper embedding frames) of the C1 model is presented as shown in Figure 21 below.
Figure 21.
Amplification factors λ of the floor shear forces for the components of C1. (a) Upper embedding shear walls along the slope; (b) upper embedding shear walls across the slope; (c) upper embedding frames along the slope; (d) upper embedding frames across the slope.
As can be observed from Figure 21 above, the floor distribution of the shear force amplification factor λ for the upper embedding vertical components of the C1 model differed between the across-slope direction and the along-slope direction. For the upper embedding shear walls, in the along-slope direction, the second floor (the floor above the upper embedding level) and the sixth floor exhibited larger amplification factors. As for the across-slope direction, the largest amplification factors λ occurred at the top floor and the second floor, with the second floor’s along-slope amplification factor λ notably greater than its perpendicular counterpart. For the upper embedding frames, in the along-slope direction, the maximum amplification factor occurred at the upper embedding story. As for the across-slope direction, at a lower seismic intensity (0.130 g), the maximum amplification factor remained at the upper embedding floor. With increasing seismic intensity (0.286 g, 0.429 g), the second floor became the location of the maximum amplification factor.
A floor distribution diagram of the shear force amplification factor for the lower embedding shear walls and the lower embedding frame under the C1 model is shown in Figure 22.
Figure 22.
Amplification factors λ of the floor shear forces for the components of C1. (a) Lower embedding shear walls along the slope; (b) lower embedding shear walls across the slope; (c) lower embedding frames along the slope; (d) lower embedding frames across the slope.
As can be seen from Figure 22 above, in the C1 model, the floor distribution of shear force coefficients for the lower embedding components was relatively complex. In the along-slope direction, the shear force amplification factors were larger for the lower embedding shear walls of the 5th/6th floors. In the across-slope direction, the values were larger near the top floor and the upper embedding floor. The shear force amplification factor for the top floor of the lower embedding frame was smaller, while larger values occurred in the floors below the upper embedding floor.
As presented in Figure 23, a floor distribution chart of the shear force amplification factors for the upper embedding vertical elements in the C3 model, which had a relatively low value of the intra-story stiffness ratio rintra, was plotted. This chart shows the values in the along-slope direction and in the across-slope direction.
Figure 23.
Amplification factors λ of the floor shear forces for the components of C3. (a) Upper embedding shear walls along the slope; (b) upper embedding shear walls across the slope; (c) upper embedding frames along the slope; (d) upper embedding frames across the slope.
Similar to the C1 model, the shear force amplification factors of the upper embedding vertical elements in the C3 model differed between the across-slope and along-slope directions. When ground motion intensities were low (0.046 g, 0.130 g), the maximum shear force amplification factors for the upper embedding shear walls occurred on the second floor. At a ground motion intensity of 0.429 g, the peak value shifted to the fifth floor. Conversely, the maximum seismic shear force coefficient for the upper embedding shear walls in the across-slope direction appeared at the top floor. Similar to the C1 model, the C3 model exhibited larger shear force amplification factors in the upper embedding floor and the second floor for both across-slope and along-slope directions.
Under the REN1 earthquake, a floor distribution diagram of the shear force amplification factor for the lower embedding shear walls and the lower embedding frame in the C3 model is shown in Figure 24.
Figure 24.
Amplification factors λ of the floor shear forces for the components of C3. (a) Lower embedding shear walls along the slope; (b) lower embedding shear walls across the slope; (c) lower embedding frames along the slope; (d) lower embedding frames across the slope.
The distribution pattern of the shear force amplification factors for the lower embedding frame in the C3 model was similar to that of the C1 model, with larger values observed in the upper embedding floor and the floor immediately below. Unlike the C1 model, the maximum shear force amplification factor for the lower embedding frame occurred at the lower embedding floor, demonstrating a more significant internal force redistribution phenomenon in the lower embedding frame. The floor location of the maximum shear force amplification factor for the lower embedding shear walls in the C3 model followed a pattern similar to that of the C1 model.
By comparing Figure 21, Figure 22, Figure 23 and Figure 24, it can be observed that the reduction in the intra-story stiffness ratio rintra (accompanied by an increase in the lower embedding shear wall’s stiffness) had a notable impact on the internal force redistribution characteristics of the structures. Specifically, the effectiveness issues of the secondary defense system in the frame sections with larger shear force amplification factors warrant attention. Appropriate strengthening measures should be taken during the design process to ensure these sections can bear the transferred seismic forces following shear wall stiffness degradation.
3.3.4. Seismic Performance Evaluation of Structures Under Rare Earthquake Intensity
To more intuitively observe the seismic performance of various structural components, this study further benchmarked the component rotation performance evaluation indices specified in ASCE 41 [26] and employed conservatively adjusted performance-based evaluation indices for structural component rotations converted from Chinese codes to conduct research on the seismic performance of frame–shear wall split-foundation structures [27]. Based on the recommended limiting values for the acceptable plastic rotation angles at the beam ends for each performance level of flexural failure of frame beams as shown in Table 4.2.8-2a of the Sichuan Province Technical Drawings for Seismic Design of Tall Buildings Beyond Code Limits (Chuan2020G145-TY) [27], the rotational thresholds for immediate occupancy (IO) and life safety (LS) at the beam ends were conservatively taken as 0.005 rad and 0.010 rad, respectively. According to Table 4.2.8-2b, the rotational thresholds for IO and LS at the frame column ends were conservatively adopted as 0.003 rad and 0.012 rad, respectively. Similarly, based on Table 4.2.8-2c, the rotational thresholds for IO and LS of the shear walls were conservatively set as 0.003 rad and 0.006 rad, respectively.
According to the current definition, exceeding limit 1 indicates that structural components enter the immediate occupation (IO)-to-life safety (LS) performance stage. The acceleration input of a rare earthquake wave for the specified location of the structures is 0.286 g.
First, the structural components’ rotation performance evaluation of the C1 model under a rare bidirectional earthquake with an artificial wave (REN1) primarily input in the along-slope direction is shown in Figure 25.
Figure 25.
Structural performance evaluation of the C1 model based on component rotation under the REN1 wave with rare earthquake intensity: (a) axis E; (b) axis D; (c) axis 1; (d) axis 4; (e) axis 6.
As shown in Figure 25, in the along-slope direction on the E-axis plane, severe damage occurred in the upper embedding shear walls at the upper embedding floor, upper embedding columns, and frame beams connecting the upper–middle portions of the lower embedding shear walls. The D-axis frame generally exhibited less severe damage. For the across-slope direction represented by axis 1, minor damage was observed in the ground floor and the upper embedding floor sections of the lower embedding shear walls. In comparison, the upper embedding floor shear walls in the along-slope direction on axis 6 showed more severe damage than those on axis 1 but less than the E-axis upper embedding shear walls. Additionally, minor damage was detected in the upper embedding columns of the 4-axis plane, with rotation damage levels comparable to those of the D-axis upper embedding columns.
Based on the analysis results presented above, it can be concluded that the input direction along the slope represents an adverse seismic loading condition for frame–shear wall split-foundation structures. Therefore, during the design and analysis of such structures, special attention should be paid to the structural response under seismic inputs aligned with the slope direction.
Performance evaluation of the C1 model under a bidirectional earthquake with the SC2 wave primarily input in the along-slope direction is shown in Figure 26.
Figure 26.
Structural performance evaluation of the C1 model based on component rotation under the SC2 wave with rare earthquake intensity: (a) axis E; (b) axis D; (c) axis 1; (d) axis 4; (e) axis 6.
As shown in Figure 26, the C1 model under the SC2 wave exhibited more severe damage in the along-slope direction compared to that under the REN1 wave. Specifically, the upper embedding shear walls in the along-slope direction and the frame beams in the upper floors of the upper embedding columns entered the immediate occupation (IO)-to-life safety (LS) performance stage. However, overall structural damage in the across-slope direction was slightly less severe than under the REN1 wave. These differences were attributed to the characteristics of the input ground motions used in the structural analysis. Nevertheless, the locations and severity of structural damage under both seismic waves were generally consistent.
Performance evaluation results of the C2 model under rare bidirectional earthquakes with the artificial wave (REN1) and the natural wave (SC2) mainly input in the along-slope direction are shown in Figure 27 and Figure 28.
Figure 27.
Structural performance evaluation of the C2 model based on component rotation under the REN1 wave with rare earthquake intensity: (a) axis E; (b) axis D; (c) axis 1; (d) axis 4; (e) axis 6.
Figure 28.
Structural performance evaluation of the C2 model based on component rotation under the SC2 wave with rare earthquake intensity: (a) axis E; (b) axis D; (c) axis 1; (d) axis 4; (e) axis 6.
As shown in Figure 27 and Figure 28, under the REN1 and SC2 waves, the locations of severe damage in C2 remained consistent with those of the C1 model, concentrating on the upper embedding shear walls, the upper embedding columns, and the frame beams in the upper floors connected to the lower embedding shear walls in the along-slope direction. However, under the SC2 wave, the damage to the upper connected shear walls in the along-slope direction was alleviated, and the degree of plastic deformation in the upper embedding columns under both REN1 and SC2 waves was also reduced.
Further, the performance evaluation results of the C3 model under rare bidirectional earthquakes with the artificial wave (REN1) and the natural wave (SC2) primarily input in the along-slope direction are shown in Figure 29 and Figure 30.
Figure 29.
Structural performance evaluation of the C3 model based on component rotation under the REN1 wave with rare earthquake intensity: (a) axis E; (b) axis D; (c) axis 1; (d) axis 4; (e) axis 6.
Figure 30.
Structural performance evaluation of the C3 model based on component rotation under the SC2 wave with rare earthquake intensity: (a) axis E; (b) axis D; (c) axis 1; (d) axis 4; (e) axis 6.
As shown in Figure 29 and Figure 30, compared to the C1 and C2 models, the C3 model exhibited a lower intra-story stiffness ratio rintra. Although the upper embedding shear walls in both the across- and along-slope directions suffered severe damage similar to those in C1 and C2, the damage to the upper embedding columns was less pronounced.
Numerous studies and seismic damage investigations have shown that shear walls in frame–shear wall structures may also experience shear failure under strong seismic actions, making the shear resistance performance of shear walls in such structures worthy of attention from researchers. For example, during the Wenchuan Earthquake, an eight-story frame–shear wall structure in Dujiangyan exhibited shear failure in its wall body [28]. Through pseudo-static tests on shear walls, Miao Liyue [29] found that shear failure is a common failure mode in shear walls. Chapter 3.11.3 of the Technical Specification for Concrete Structures of Tall Buildings JGJ 3-2010 (High-Rise Code) [30] specifies the sectional limitation requirements for shear sections of shear walls under performance level 4 (moderate damage) as follows:
In the above equation, VGE represents the member shear force under the representative value of gravity load, V*Ek denotes the member shear force under the standard value of seismic action, bh0 is the effective cross-sectional area of the shear wall, and fck is the standard value of the axial compressive strength of concrete. The loading method adopted in this paper applies the representative value of gravity load (D + 0.5 L) to the structure first, followed by horizontal seismic time history input. Therefore, the calculated seismic force of the shear wall is consistent with the left-hand side of Equation (11). Due to the brittle nature of shear failure in shear walls, a linear stress–strain relationship is assumed. By combining the seismic force calculated from Equation (11) with the shear modulus of reinforced concrete materials for shear walls, the ultimate shear strain εv of shear walls based on performance level 4 of the High-Rise Code [30] can be obtained, which is shown in Equation (12). The shear seismic performance of shear walls is evaluated using the above strain values. Since there are no short columns in the frame part of this study, and frame columns mainly exhibit flexural failure, their shear performance is not discussed here.
The shear seismic performance evaluations of the C1 and C3 models with different intra-story stiffness ratios under rare bidirectional earthquakes of the REN1 wave (with the slope direction as the primary input direction) are presented in Figure 31 and Figure 32.
Figure 31.
Evaluation of the shear walls in the C1 model based on shear strain under the REN1 wave with rare earthquake intensity: (a) axis E; (b) axis D; (c) axis 1; (d) axis 4; (e) axis 6.
Figure 32.
Evaluation of the shear walls in the C3 model based on shear strain under the REN1 wave with rare earthquake intensity: (a) axis E; (b) axis D; (c) axis 1; (d) axis 4; (e) axis 6.
As can be observed from the above figure, for the C1 model with a larger inter-story stiffness ratio, the shear wall strains of the upper embedding floor exceeded the ultimate shear strain of performance level 4, while all the other shear walls met the requirements of performance level 4 specified in the High-Rise Code [30]. When the intra-story stiffness ratio rintra decreased, although the shear wall strains at the upper embedding end of the upper embedding floor in the C3 model still exceeded the ultimate shear strain of performance level 4, a slight improvement in the situation could be noted.
4. Conclusions
The stiffness distribution characteristics and seismic response of frame–shear wall split-foundation structures differ significantly from those of ordinary frame–shear wall structures. Previous studies on split-foundation structures mainly focused on frame structures, with limited research on split-foundation structures with shear walls. Starting from the basic mechanical model of the frame–shear wall split-foundation structure with shear walls at both upper and lower embedding ends, this paper investigates the influence of shear wall positions on structural stiffness. By adjusting the length of the lower embedding shear walls to alter the overall intra-story stiffness ratio rintra of the structure, an elastoplastic analysis model was established and subjected to elastoplastic time history analysis. The main conclusions are as follows:
- (a)
- Since bending stiffness of shear walls makes a significant contribution to their overall stiffness, according to Equation (6), as the height of flexural cantilever members increases, the stiffness of the parts corresponding to those farther from the fixed end decreases. Through analysis of the basic mechanical model of frame–shear wall split-foundation structures, it was found that the drop-story height significantly reduces the stiffness contribution to the structure of the lower embedding shear walls. When calculating the stiffness components of frame–shear wall split-foundation structures, it is advisable to apply concentrated loads to the corresponding structural parts to determine their shear-bending stiffness for studying structural behavior.
- (b)
- In frame–shear wall split-foundation structures, upper embedding columns may experience more unfavorable force conditions compared to lower embedding shear walls. Increasing the length of lower embedding shear walls to reduce the intra-story stiffness ratio can alleviate this issue, but it has limited effect on improving the shear resistance of upper embedding shear walls.
- (c)
- Analysis of internal force redistribution in frame–shear wall split-foundation structures reveals distinct patterns between the across-slope and along-slope directions. Significant redistribution occurs in local floor frames, highlighting the need for structural engineers to ensure the effectiveness of secondary defense lines in these areas during design.
- (d)
- Under the same seismic intensity input, seismic responses in the along-slope direction are more unfavorable than the across-slope responses. Therefore, design should prioritize the most critical input direction (along-slope) and incorporate the following measures: enhance the ductility of upper embedding columns and frame beams connected to shear walls and strengthen the load-carrying capacity of upper embedding shear walls, particularly their shear resistance.
Author Contributions
Conceptualization, W.W. and Y.L.; methodology, W.W. and Y.L.; software, W.W.; formal analysis, W.W. and B.J.; investigation, W.W. and B.J.; writing—original draft preparation, W.W.; writing—review and editing, W.W., Y.L., S.J., Y.T. and B.J.; supervision, Y.L. All authors have read and agreed to the published version of the manuscript.
Funding
This research was funded by the National Natural Science Foundation of China (grant numbers 52278484 and 51638002) and Chongqing Municipal Housing and Urban–Rural Development Commission (grant number chengkezi2021-1-3).
Data Availability Statement
The data used to support the findings of this study are available from the corresponding author upon reasonable request.
Conflicts of Interest
Wusu Wang was employed by the company General Institute of Architecture & Planning Design Co., Ltd., Chongqing University. The remaining authors declare that the research was conducted in the absence of any commercial or financial relationships that could be construed as a potential conflict of interest.
Correction Statement
This article has been republished with a minor correction to resolve spelling and grammatical errors. This change does not affect the scientific content of the article.
Appendix A
Definitions of the important parameters in this paper are as follows:
Table A1.
Summary of the parameters used in this paper.
References
- Li, Y.; Liu, L.; Han, J. Basic Concepts and Performance of Mountainous Building Structures; Science Press: Beijing, China, 2016. [Google Scholar]
- Aggarwal, Y.; Saha, S.K. Seismic performance assessment of reinforced concrete hilly buildings with open story. Structures 2021, 34, 224–238. [Google Scholar] [CrossRef]
- Narayanan, A.V.; Goswami, R.; Murty, C. Performance of RC Buildings Along Hill Slopes of Himalayas During 2011 Sikkim Earthquake. In Proceedings of the 15th World Conference of Earthquake Engineering, Lisboa, Portugal, 24–28 September 2012. [Google Scholar]
- Tang, Y.; Li, Y.; Jiang, B.; Wang, L.; Ji, S. Study on redistribution of internal force and plastic hinge development of mountainous building structures with foundations at two different elevations. Buildings 2023, 13, 909. [Google Scholar] [CrossRef]
- Tang, Y.; Jiang, B.; Li, Y.; Ji, S. Study on the influence of base shear distribution on the seismic response of base-isolated split-foundation structures. J. Asian Archit. Build. Eng. Build. 2024, 24, 1221–1234. [Google Scholar] [CrossRef]
- Jiang, B.; Li, Y.; Tang, Y.; Ji, S.; Liu, L. Shaking table test of a split-foundation RC frame structure with one lower story compared with a conventional RC frame structure. Int. J. Struct. Stab. Dyn. 2023, 23, 2340025. [Google Scholar] [CrossRef]
- Xu, G.; Li, A. Seismic performance and improvements of stepback steel frames. J. Earthq. Eng. 2021, 25, 163–187. [Google Scholar] [CrossRef]
- Xu, G.; Zhang, R.; Li, A. Seismic performance and improvements of split-foundation buildings in across-slope direction. Adv. Struct. Eng. 2020, 23, 749–763. [Google Scholar] [CrossRef]
- Singh, Y.; Gade, P.; Lang, D.H.; Erduran, E. Seismic behavior of buildings located on slopes-An analytical study and some observations from Sikkim Earthquake of September 18, 2011. In Proceedings of the 15th World Conference of Earthquake Engineering 2012, Lisbon, Portugal, 24–28 September 2012. [Google Scholar]
- Xu, J.; Ji, S.Y.; Li, Y.M.; Liu, L.P.; Wang, X.W.; Wang, G.J. Seismic failure modes identification of split-foundation RC frame structures. In Proceedings of the 17th World Conference on Earthquake Engineering, Sendai, Japan, 27 September 2021. [Google Scholar]
- Pawar, S.; Pise, D.C.; Pawar, Y.; Shelar, N.K. Effect of positioning of RC shear walls of different shapes on seismic performance of building resting on sloping ground. Int. J. Civ. Eng. 2016, 7, 373–384. [Google Scholar]
- Xu, L. Seismic Fragility Analysis of the Frame-shear Wall Structure on Steep Slopes. Master Thesis, Chongqing University, Chongqing, China, 2019. [Google Scholar]
- Li, D. The Elastic-plastic Mechanical Behavior and Seismic Performance of Frame-shear wall Structure on Slope. Master Thesis, Chongqing University, Chongqing, China, 2012. [Google Scholar]
- Wu, G. Influence Research on Force Characteristics and Seismic Performance of Step-terrace Frame Shear wall Structure with Different Shear-Wall Arrangement. Master Thesis, Chongqing University, Chongqing, China, 2017. [Google Scholar]
- Jian, F. Shaking Table Test on Seismic Performance of Frame Shear Wall Structures Supported by Foundations with Different Elevations. Master Thesis, Chongqing University, Chongqing, China, 2020. [Google Scholar]
- China Academy of Building Research Co., Ltd.; Beijing Gouli Technology Co., Ltd. Technical Manual for Structural Analysis and Design Software of Multi-Story and High-Rise Buildings for PKPM; Beijing, China. 2023. Available online: https://product.pkpm.cn/productDetails?type=common&from=common&key=1&productId=8 (accessed on 22 April 2025).
- Beijing Jin Tumu Software Technology Co., Ltd. China Institute of Building Standard Design and Research. In SAP2000 Chinese Version of User Guide, 2nd ed.; China Communications Press: Beijing, China, 2012. [Google Scholar]
- JGJ/T 472-2020; Standard for Design of Building Structures on Slopes. China Architecture & Building Press: Beijing, China, 2020.
- GB/T 50011-2010; Code for Seismic Design of Buildings. China Architecture & Building Press: Beijing, China, 2010.
- Ministry of Housing and Urban-Rural Development of the People’s Republic of China. General Code for Engineering Structures; China Construction Industry Press: Beijing, China, 2022. [Google Scholar]
- Computers and Structures, Inc. Nonlinear Analysis and Performance Assessment for 3D Structures; Computers and Structures, Inc.: Berkeley, CA, USA, 2006. [Google Scholar]
- Computers and Structures, Inc. Components and Elements for PERFORM-3D; Computers and Structures, Inc.: Berkeley, CA, USA, 2006. [Google Scholar]
- Menegotto, M.; Pinto, P. Method of analyses of cyclically loaded RC plane frames including changes in geometry and non-elastic behavior of elements under normal force and bending. Prelim. Rep. IABSE 1973, 15–20. [Google Scholar] [CrossRef]
- Mander, J.B.; Priestley, M.J.; Park, R. Theoretical stress-strain model for confined concrete. J. Struct. Eng. 1988, 114, 1804–1826. [Google Scholar] [CrossRef]
- Cui, J. PERFORM-3D Theory and Tutorials; China Construction Industry Press: Beijing, China, 2017. [Google Scholar]
- ASCE 41-17; Seismic Evaluation and Retrofit of Existing Buildings. American Society of Civil Engineers: Reston, VA, USA, 2017.
- Chuan2020G145-TY; Sichuan Province Technical Drawings for Seismic Design of Tall Buildings Beyond Code Limits. Southwest Jiaotong University Press: Chengdu, China, 2020.
- Feng, Y.; Liu, Y.; Xiao, K. Experience the Wenchuan Earthquake—Structural Engineers’ Point and View; China Architecture & Building Press: Beijing, China, 2009. [Google Scholar]
- Miao, L.; Chen, F.; Jin, L.; Du, X. Experimental study on seismic behavior and corresponding size effect of reinforced concrete shear walls. J. Build. Struct. 2024, 45, 107–116. [Google Scholar]
- JGJ 3-2010; Technical Specification for Concrete Structures of Tall Buildings. China Architecture & Building Press: Beijing, China, 2010.
Disclaimer/Publisher’s Note: The statements, opinions and data contained in all publications are solely those of the individual author(s) and contributor(s) and not of MDPI and/or the editor(s). MDPI and/or the editor(s) disclaim responsibility for any injury to people or property resulting from any ideas, methods, instructions or products referred to in the content. |
© 2025 by the authors. Licensee MDPI, Basel, Switzerland. This article is an open access article distributed under the terms and conditions of the Creative Commons Attribution (CC BY) license (https://creativecommons.org/licenses/by/4.0/).

































