Abstract
Vibration agitation, a mechanically enhanced material mixing technique, is appropriate for preparing concrete- and other cement-based materials as it helps to eliminate the agglomeration effect between particles, improving mixing efficiency and material properties and saving resources. Applying vibration agitation to the large-scale industry is challenging primarily due to the difficulty in elucidating the microscopic mixing mechanism. To this end, the Euler multiphase flow model and ALE dynamic grid technology were combined to create the flow field simulation model of the cement slurry vibration mixing process in this paper. The physical parameters and mixing characteristics of various structure agitators under various vibration mixing frequencies were investigated as well. The findings demonstrated that vibration agitation significantly improved the mixing effect and the mixing efficiency and homogeneity were positively correlated with the excitation frequency. The slurry had a larger average velocity and turbulent kinetic energy, along with a reduced frictional viscous moment on the agitator. The vibration altered the system’s pressure field and fluid movement direction. Furthermore, the improvement of the flow field parameters for the horizontal shaft mixer was highly sensitive in the low-frequency range, whereas for vertical shaft agitators, it was at higher excitation frequencies that more significant gains were achieved.
1. Introduction
Green, environmental protection, and intelligence have emerged as the contemporary cementitious materials and unavoidable development directions for the concrete industry and enterprises, as the social economy and infrastructure construction size continue to grow each year. Concrete is a civil engineering material made up of cement, aggregate, water, as well as additives and admixtures in certain proportions after uniform mixing, dense molding, maintenance, and hardening [1,2]. It is widely used in construction, shipbuilding and machinery infrastructures, and other industries because of its excellent mechanical qualities, low cost, and straightforward production method. Preparing concrete with better mechanical properties, improving the process of preparing concrete and raw materials, saving energy, and protecting the environment are now the main research directions of the concrete industry. The article [3] provides a comprehensive insight into limestone-calcined clay cement and explores its sustainable and environmentally friendly applications, with an emphasis on its economic and environmental advantages. In [4], the preparation technology of CBP (clay brick powder) and the micro- and macro-properties of cement concrete incorporating CBP are introduced. It is also found that the incorporation of CBP into concrete significantly reduces carbon dioxide emissions and energy consumption. The article [5] presents innovative ideas for the viable use of CMs and derivatives in extrusion-based 3D concrete printing and makes a more detailed analysis of it.
One of the fundamental ingredients of concrete is cement slurry, a cement and water mixture that is utilized to bond particles into a uniformly dense material. Concrete’s microstructure has a direct impact on its mechanical, transportation, and durability properties [6,7]. To prepare cement slurry, enough cement and water must be mixed and blended to distribute the cement particles. Percentages of 10% to 30% of the cement particles aggregate and form microscopic cement agglomerates, even though the conventional mixing procedure may accomplish macroscopic homogeneity in a comparatively short amount of time. In addition to decreasing the area of hydration reaction [8] and affecting the strength and workability of concrete, this cement agglomeration phenomenon also wastes material resources, increases greenhouse gas emissions and pollutes the environment, causing significant financial losses.
Vibration agitation is a new mechanically enhanced method of mixing concrete, which can promote convection and diffusion by using vibration technology and improve the frequency of collisions between the mix’s particles. Vibration agitation increases the effectiveness of mixing and the characteristics of the concrete by churning the cement particles and eliminating the agglomeration effect in the slurry [9,10]. Under the action of vibration, each particle inside the cement mixture makes uninterrupted vibration around the middle position of some unstable equilibrium, and as a result, the neighboring particles are also displaced. With the increase in the frequency of mutual movement between the particles of the mixture and the strengthening of the diffusion movement between the various components of the concrete, the form of the flow of the concrete in the mixing chamber and the distribution of energy are changed, so that the microstructure of the concrete is improved. In the case of the reasonable arrangement of vibration source, the vibration energy field dramatically reduces the adhesion and friction between the particles of the mixture within a short period of time, the viscous and frictional resistance and resistance moment of the mixed material acting on the mixing device are significantly reduced, and the resistance of the mixing blades than the ordinary mixing is decreased to about 10% [11]. The material’s diffusion of the movement and the cyclic flow are carried out more quickly, which in turn provides the elimination of the phenomenon of inefficient area of the very favorable conditions.
The water film on the surface of cement agglomerates under vibration is destroyed under a certain amplitude, which facilitates the cement particles in the material to change from an agglomerated state to a uniformly distributed state. The agglomeration of cement particles is eliminated, the hydration area grows, and the hydration reaction becomes more adequate, all of which create conditions for the improvement of the strength of hardened concrete [12]. In addition, vibration agitation can be part of the micro-bubbles added to the concrete, so that the air content in the cement concrete increases. These bubbles are tiny capillary voids and gel pores, so that the compressive strength and durability of the concrete are improved. Vibration agitation also improves the surface of the material and enhances the bond between the cement paste and the aggregate, which decreases the resistance of concrete to densification.
Vibration agitation to prepare cement slurry with a uniform particle distribution is a process of solid–liquid mixing with a high concentration of particles. The solid content distribution and concentration gradient distribution can effectively characterize the suspension mixing effect. The traditional methods to study solid–liquid mixing are mainly experimental, and the methods to measure the fluid and solid contents are LDV (laser Doppler velocity) [13,14], PIV (particle image velocimetry) [15,16,17], RPT (radioactive particle tracking) [18], CARPT (computer-automated radioactive particle tracking) [19,20], ERT (electrical resistance tomography) [21], and so on. Although the experimental approach can be highly intuitive for observing the effects of the mixing, it has limitations such as being expensive, empirical, and vulnerable to environmental influences. The hardware apparatus, technical circumstances, and additional factors restrict its measurement precision [22,23]. Furthermore, the experimental measurement is only able to obtain certain macroscopic parameters in the stirred flow field due to the limitations of the instruments and methods. It is hard to obtain microscopic parameters like the energy dissipation rate, turbulent kinetic energy distribution, the interaction force within a multiphase flow, and the interaction force between the multiphase flow and the reactor’s contact surface. Because of this, it is challenging to carry out more thorough studies on the microscopic level of stirred mixing.
The use of simulation methods can compensate the shortcomings of the experiment, Through the simulation, the microscopic phenomena can be observed, making it a good tool for studying the fluid movement. The development of CFD (Computational Fluid Dynamics) technology provides a reliable way to overcome some problems of the aforementioned experimental methods. Compared with experiments, it is time-efficient and cost-effective. It can intuitively analyze the change of the flow field, the distribution of each component, and the mixing effect of the solid–liquid multiphase flow inside the equipment. It shows strong advantages in the optimization of structural parameters and working conditions of mixing devices based on flow field characteristics. A reasonable CFD simulation method provides a strong supplement to the experimental method. When the computational model is fully verified, experiments can be designed to be broader and offer more possibilities than the single experimental method. Numerous academics, both domestically and internationally, have studied the solid–liquid mixing process based on CFD technology in great detail. Among these studies are the suspension mechanism, critical suspension speed, stirring power consumption, particle concentration and size distribution, particle residence time, suspension height, and ways to enhance suspension performance while consuming less energy. Additionally, the results of the calculations are used to improve the design of the mixing equipment structure, size, and installation position of key pieces, as well as other characteristics like the number and form of blades, their inclination angle, mixer height from the bottom, and blade pitch [24,25,26,27,28,29].
There are currently few reports on the research of vibration agitation of cement slurry, a high-concentration solid–liquid suspension system, and the majority of simulation studies of solid–liquid mixing and stirring are concentrated on the flow field of the low concentration suspension system. These studies primarily focus on the traditional mixing technology, i.e., smooth static mixing conditions. There are insufficient studies on the vibration agitation process of the vibration mixing device and the interaction process of the mixing material mechanism, which are the primary reasons why vibration agitation technology is limited to laboratory research and difficult to apply on a wide scale in industry. In light of this, the design of the mixer, vibration source, and mixing equipment for vibration agitation technology is developing slowly. In this work, a high-power pneumatic excitation mixing system and a flow field numerical simulation for the high-concentration solid–liquid vibration agitation process in two distinct mixing vessel structures—the vertical shaft type and the horizontal shaft type—were described. P·O 42.5 was the substance utilized, and the cement-to-water ratio was 0.5. At 0–100 Hz, vibration agitation was used to examine the cement slurry’s flow field properties and mixing effectiveness. This provides a theoretical foundation for the preparation of cementitious materials using vibration mixing and high-concentration solid–liquid mixing.
2. Model and Method
2.1. Process Flow
The process flow and structure diagram of the vibration agitation system for cement slurry proposed in this paper are shown in Figure 1 and Figure 2, respectively. It mainly includes two parts: the air source component and the preparation component. Compared with the traditional excitation method, the excitation module in the preparation component of the system uses a pneumatic exciter, which utilizes a gas supply device of the air source component to provide pure gas to drive the exciter for the mixing vessel to provide high-power vibration excitation with adjustable frequency. The gas produced by the air compressor is filtered through multiple stages to remove liquid impurities and then stored in a tank. When the system is activated, the storage tank supplies gas to the preparation component through the pipeline, and the pneumatic exciter is placed at the bottom of the mixing tank to transfer vibration energy to the material in the vessel. The air compressor and filter unit, as well as the filter unit and air purification unit, are equipped with flow and pressure regulators. The flow regulator stabilizes the gas flow within the required flow range, while the air pressure regulator is used to adjust the excitation frequency and power of the pneumatic exciter output.
Figure 1.
Process flow of the vibration agitation system.
Figure 2.
Structure of the vibration agitation system.
2.2. Calculation Model
The solid–liquid suspension mixing tank is a widely used unit equipment in the industry, and its main role is to realize the effective solid–liquid two-phase mixing for promoting the dispersion of particles, suspension, and mass transfer reaction [30], In this paper, the numerical simulation of the flow field of cement slurry was carried out for two types of mixing vessels with different structures, namely vertical shaft mixer and horizontal shaft mixer, which are commonly used in the industry. The paddle is selected to be suitable for the dispersion of the solid–liquid phase with large viscosity, featuring a bilayer, six-folded open turbine blade. The solid models of mixing tanks are shown in Figure 3, and the corresponding three-dimensional models are established using Solidworks 2023 software. Their structural dimensions are shown in Figure 4. The liquid level in the vertical shaft mixing tank is H = 685 mm, the inner diameter of the tank is R = 350 mm, the radius of the paddle is r = 200 mm, and the bottom paddle is h = 150 mm from the bottom of the tank. The length of the vertical shaft mixing tank is H0 = 1220 mm, the width of the tank is 2R0 = 870 mm, and the radius of the paddle is r0 = 200 mm. The distance of the paddle from the inner wall of the side of the mixing tank is h0 = 375 mm. The material parameters are shown in Table 1.
Figure 3.
Solid models of the mixing tanks.
Figure 4.
Model and dimensions of the mixing tanks.
Table 1.
Material parameters.
2.3. Theoretical Mathematical Modeling
The current numerical computational treatment of multiphase flows is generally categorized into two methods, the Eulerian–Eulerian method and the Eulerian–Lagrangian method. In the Eulerian–Eulerian method, different phases are treated as a continuous medium running through each other. Since the volume occupied by one phase cannot be occupied by other phases, the concept of phasic volume fraction is introduced, which is a continuous function of time and space, and the sum of the volume fraction of each phase is equal to 1. The Eulerian–Lagrangian method solves the N–S (Navier–Stokes) equations of a continuous-phase fluid with the RANSs (Reynolds-averaged Navier–Stokes equations) model in the Euler coordinate system and solves the solid-phase particle orbital equations in a stirred tank in the Lagrange coordinate system [31]. The N–S equations are motion equations that describe the momentum conservation of viscous incompressible fluid, while the RANS model assumes that the flow field variable in turbulence consists of a time mean and a pulsation quantity and treats the N–S equations from this point of view. This method is limited by the computational and statistical quantities and is only applicable to the case where the particle volume fraction is less than 10%. The subject of this paper, cement slurry, is a high-concentration suspension system with a solid particle volume fraction of more than 30%, so the Eulerian–Eulerian method was used to consider the cement particles in the solid phase in the mixing tank as a pseudo-fluid in order to solve the continuity and momentum equations. The governing equations are as follows [32]:
where (q = 1 or 2) is expressed as the volume fraction of the first phase (liquid phase) or the second phase (solid phase), is the density (kg/m3), is the time-averaged velocity vector of the solid or liquid phase (m/s), is the pressure shared by both phases (Pa), is the stress tensor (N/m2), is the turbulent dispersion force, is the external force, is the lift force, is the virtual mass force, is the interphase interaction force, g is the gravitational acceleration (m/s2), is the shear viscosity, is bulk viscosity, and is the unit stress tensor.
To control the computational accuracy and efficiency, the turbulence model used in the fluid control equations of this study was based on the RANS standard k-epsilon model, which is applicable to the high Reynolds number regime under rotating mechanical operation in the mixing tank. Its governing equations are divided into turbulence kinetic energy equation and energy dissipation equation, as shown in Equations (4) and (5) below:
In Equations (4) and (5), the empirical constants take the values of = 1.44, = 1.92; epsilon equation is affected by buoyancy, depending on , = 0; = 1.0; = 1.3; is the density; is the time; is the velocity; is the turbulence viscosity; is the turbulence kinetic energy-generating term due to the buoyancy force; is the stressor term due to the velocity gradient; is the pulsation expansion term in compressible turbulence; and are user-defined source terms, and different values are chosen according to the actual situation.
2.4. Meshing and Mesh Convergence Analysis
The fluid domain was extracted from the 3D model of the mixing tank, and the unstructured tetrahedral mesh was used for meshing the whole. During the simulation of the rotation of the stirring paddle, the Multiple Reference Frames model (MRF) was used to divide the entire fluid domain of the mixing tank into the rotating domain and the stationary domain, in which the dynamic region included the area near the stirring shaft and the stirring paddles to exchange data between the rotating domain and the stationary domain by using an interface, and at the same time, mesh encryption was carried out for the stirring paddles as well as for the rotating regions. The mesh division of the two different structures of the mixing tank is shown in Figure 5.
Figure 5.
Fluid-domain meshing.
The number of grid nodes in fluid simulation has an impact on the calculation results’ correctness. Numerical simulation uses interpolation to find the parameters on the nodes Theoretically, the more nodes there are, the more accurate the calculation results become. However, the mesh cannot be encrypted indefinitely; the computational efficiency decreases with the number of grids, and the rounding error grows as the number of computer operations increases. Therefore, the mesh convergence analysis must be performed in the simulation calculation to approximate the real solution and minimize the error while taking computational resource consumption into account. In this paper, the torques applied to the double-layer blades of vertical-shaft and horizontal-type mixers without vibration excitation were studied and analyzed in a mesh-independence study after 2 s of stable operation at a stirring speed of 300 r/min. The mesh number ranged from 3.3 × 105 to 1.9 × 106 for the vertical shaft mixer and from 5.7 × 105 to 2.46 × 106 for the horizontal shaft mixer. As shown in Figure 6, there was minimal change in the torque of the mixer blades when the number of grids in the vertical shaft mixer was increased to 8.85 × 105 and the number of grids in the horizontal shaft mixer was increased to 1.19 × 106. Setting the group with the largest number of respective grids as the reference value, the total torque error of the vertical shaft mixer decreased from 13.79% to 0.39%, the torque error of the upper blade decreased from 8.84% to 2.56%, and the torque error of the lower blade decreased from 19.1% to 2.06%. The total torque error of the horizontal shaft mixer dropped from 17.98% to 0.27%, the left blade torque error dropped from 18.6% to 0.16%, and the right blade error dropped from 17.38% to 0.21%. Additionally, the error of each torque value was less than 5% while the number of grids kept growing. Therefore, weighing the consumption of computational resources and computational accuracy, the above values of the number of meshes were chosen for the following simulation analysis of the mixer of both structures.

Figure 6.
Torques and errors for different mesh numbers: (a) vertical shaft mixers; (b) horizontal shaft mixers.
2.5. Boundary Conditions and Computational Settings
In order to simulate the vibration condition of the mixer during the vibration agitation process, we adopted the dynamic mesh module in FLUENT 2023 R1 software to simulate the vibration boundary conditions. The deformation of the specified region can be the pre-given motion parameters or the motion law calculated according to the coupling of the flow field at each time step in the calculation process. The basic principles of dynamic meshing were based on the Arbitrary Lagrange–Euler (ALE) method [33,34], which is an effective method to deal with free boundary motion problems. The time-varying mesh changed the node positions over time and used mesh smoothing and the necessary local reconstruction in ALE to arrange the internal nodes to prevent severe mesh deformation from affecting the computation. The motion on the boundary where the exciter was connected to the mixing tank was defined using the fluent UDF (user-defined functions) macro DEFINE_CG_MOTION function. The inner wall of the mixing tank and the paddles were defined as wall boundary conditions, the standard wall function was used in the near-wall region, and the interface between the rotational domain and the stationary domain was defined as the interface boundary condition. The pressure–velocity coupling relationship was solved by the Phase Coupled SIMPLE algorithm using the second-order upwind format for the momentum turbulence kinetic energy and turbulence dissipation rate. The solution process adopted the transient solution, the time step was set to be 5 × 10−4 s, and the residual convergence criterion was set to be 10−4. The initialization region of each phase was marked by using the Cell Registers in the fluid domain, and the marked regions were locally initialized by Patch.
3. Results and Discussion
In this paper, the simulation analyses of the flow fields of the vertical-shaft-type and horizontal-shaft-type mixers were carried out in the initial process of vibration agitation cement slurry at 0–100 Hz. It had a lower degree of hydration at this point, and the rotation speed of the blades was 300 r/min. The calculated results from the concentration, velocity magnitude, turbulent kinetic energy, and viscous force moment were used to evaluate the performance of the vibration-assisted mixing process.
3.1. Concentration
The volume fraction of the solid phase at the transversal direction is shown in Figure 7, after the completion of the respective vibration agitation setup times for the vertical shaft mixer measured at x = 0.2, z = 0.2 position in the internal flow field and the horizontal shaft mixer measured at x = 0, z = −0.1 position (as shown in Figure 8). For the vertical shaft mixer with a 100 Hz vibration mixing process compared to the static stirring process without vibration, the maximum volume fraction of the solid phase at the transversal direction decreased by 1.8%, and the minimum volume fraction increased by 1.1%. Figure 7b also shows the case of static mixing in the horizontal axis mixer with a 10 Hz low-frequency vibration imposed, which is located on the right side of the container, has a large number of solid-phase particles hoarding and does not achieve a more uniform mixing. In the case of the increase in the excitation frequency to 50 Hz and 100 Hz, the solid-phase “concentration peak” on the right side of the container was reduced greatly, and the concentration curve is relatively smooth. This showed that the vibration aid applied in the mixing process of cement slurry promoted the uniform dispersion of cement particles, and with the increase in vibration frequency, the dispersion efficiency of particles was improved to different degrees. To measure the uniformity of solid particles suspended in liquid, the concept of suspension uniformity was used, which is specifically defined as the standard deviation of the concentration distribution of the solid phase [35]:
where is the volume fraction of solid-phase particles at the sampling point in the mixer and is the average volume fraction of solid-phase particles in the mixer. When ≤ 0.2, it is a homogeneous suspension; for 0.2 < ≤ 0.8, it is a complete off-bottom suspension; the mixing effect is an incomplete suspension when >0.8. The homogeneity of the particle dispersion increases with decreasing values of . Table 2 displays the standard deviation of the concentration derived from this computation, demonstrating that the particles were uniformly suspended under various operating conditions following mixing. Following vibration, the solid-phase particle distribution became more uniform, the mixing effect improved, and the value decreased in proportion to an increase in excitation frequency.
Figure 7.
Volume fraction at the transversal direction: (a) vertical shaft mixers; (b) horizontal shaft mixers.
Figure 8.
Mixer transversal diagram.
Table 2.
value calculation results.
Figure 9 illustrates the variations in solid-phase particle concentration distribution at the initial stage of mixing for different excitation frequencies. In the case of the vertical shaft mixer, the mixer was vertically divided into four equal parts by means of the upper, middle, and lower cross-sections. The cement particles moved from the bottom of the mixer to the liquid-phase region under the axial thrust of the folded blade paddle, then spread to both sides of the wall of the mixing tank and settled downward, forming a round of cyclic flow, with solid–liquid mixing occurring throughout. At 0.5 s, a number of cement particles in the mixer with 100 Hz vibration-assisted mixing reached the upper cross-section, and its average concentration reached 12.58%, while the average concentration in the upper cross-section during static mixing was only 6.03%. The concentration of cement particles retained in the upper part of the mixer with high-frequency vibration at 4 s was also higher. In the case of the horizontal shaft mixer, a small portion of the cement particles were carried from the bottom to the upper part of the vessel by the rotation of the mixing blades at the beginning of mixing. After that, due to the overall rotational movement of the slurry flow field, most of the solid-phase particles moved up to the upper part of the vessel with the rotation of the flow field, and then, the slurry fell back to the bottom of the mixer by its own gravity and inertia, completing a mixing cycle. Due to the structure of the folded blade paddle, the process of mixing the fluid produced an axial flow, but limited by the direction of rotation. At 4 s, the direction of axial movement of the fluid was in only one side, and the solid particles on the other side of the blade was prone to the hoarding phenomenon, as shown in Figure 9. The hoarding phenomenon was improved by the overall fluid movement in the vessel under the increase in stirring time, and the concentration of the original hoarding side was also significantly reduced under the effect of vibration-assisted stirring, as shown in Figure 7b. It indicated that the convective diffusion of the flow field inside the stirrer was strengthened with the assistance of vibration action, which accelerated the circulation of particles in the mixture. With the advancement of the mixing process, the distribution of particles in the vessel also became more uniform, and the particle agglomerates that were deposited at the bottom were scattered.
Figure 9.
Cloud plots of solid-phase particle concentration distribution changes at the initial mixing stage under different excitation frequencies.
3.2. Velocity Field and Turbulent Kinetic Energy
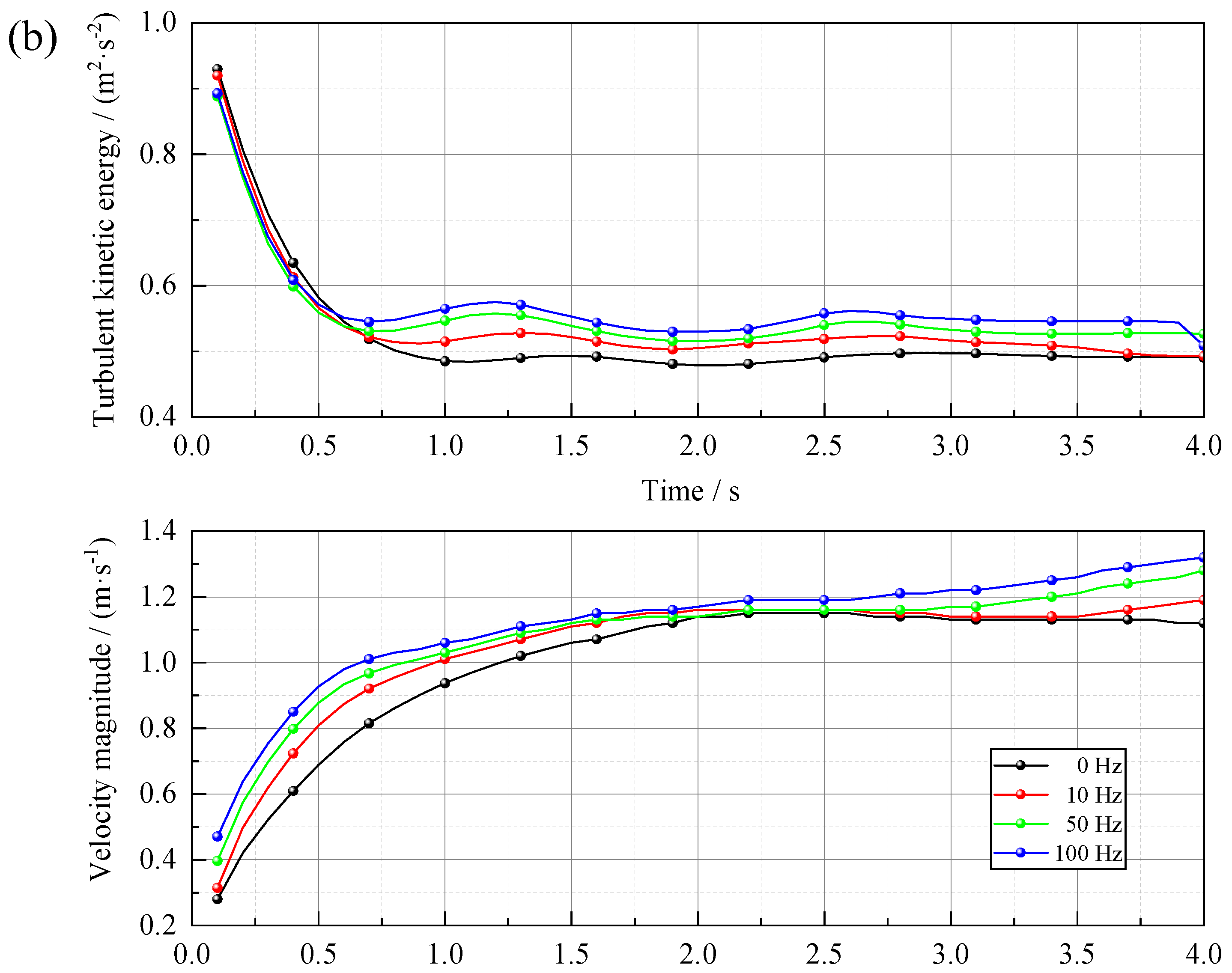
The average turbulent kinetic energy and velocity magnitude of the stirrer’s basin volume are displayed in Figure 10. The average turbulent kinetic energy and velocity magnitude in the mixer at various excitation frequencies did not vary significantly at the start of the mixing period, and as the stirring time increased, the turbulent kinetic energy and velocity in the fluid domain tended to stabilize. Obviously, the system’s total turbulent kinetic energy and velocity magnitude were still higher than the value of static mixing because of the constant input of external excitation energy. An enhanced energy transfer in the flow field within the mixer, a heightened material exchange, and an increased mixing effect were all indicated by the rise in turbulent kinetic energy. For the vertical shaft mixer, when the vibration frequency was increased from 0 to 10 Hz, the overall average turbulent kinetic energy and velocity magnitude in the outer domain increased minimally, and when the vibration frequency was doubled from 50 Hz to 100 Hz, the values increased by only 2% and 3.06%, respectively. Much more energy from the pneumatic exciter for a slight improvement in mass transfer velocity was not cost-effective. However, when the excitation frequency was increased from 10 Hz to 50 Hz, the average turbulent kinetic energy and velocity size distribution were increased by 33.85% and 33.44%, respectively, and the mixing efficiency was significantly improved when the excitation frequency shifted to the mid-frequency band. Under all four frequency circumstances, the turbulent kinetic energy increase for the horizontal axis mixer was comparatively smooth and fell between 3% and 10%. Figure 11 shows the turbulence energy distributions at the beginning of mixing under different excitation frequencies. At the start of mixing, almost all areas of the vertical shaft mixer had large turbulent kinetic energy, and the solid–liquid mixing material exchange process was intense, with extreme values of turbulent kinetic energy near the mixing blades. As the mixing time grew (2–4 s), the region of high turbulent kinetic energy shrank to the near paddle area, but for the case of high-frequency vibratory mixing. It can be clearly seen from the cloud diagram 10 that the top of the mixing vessel was still maintained in the state of high turbulence kinetic energy, which was extremely beneficial for the circulation of the two phases in the vessel as well as for the exchange of substances between the top and bottom of the high-concentration and low-concentration regions.

Figure 10.
The volume average turbulent kinetic energy and velocity magnitude. (a) vertical shaft mixers; (b) horizontal shaft mixers.

Figure 11.
Cloud plots of turbulent kinetic energy changes at the initial mixing stage under different excitation frequencies.
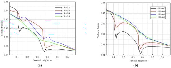
The velocity vector plots of the flow field within the stirrer at 0 Hz and 100 Hz excitation settings at 0.5 s and 2 s are shown in the Figure 12 to provide a more thorough representation of the fluid change pattern inside the stirrer. When a double-layer folded-blade paddle stirred generally, the vertical shaft stirrer created two vortices in the upper part of the mixer and close to each layer of paddles. An extra pair of vortices was created in the space between the double-layer paddles in the process of vibration agitation. In addition, there was a larger vertical velocity vector near the mixing shaft’s side and the bottom of the mixing vessel. The presence of more radial velocity vectors in the upper part of the mixer and in the region between the two blades compensated for the weak mass transfer capacity in the vertical and radial directions of the respective regions, as can be seen from the concentrations in the transversal direction at different radial distances (Figure 13), where vibratory stirring improved the homogeneity of the radial particle distribution. Both flow field characteristics could greatly improve the material transfer efficiency in the region of high and low solid-phase concentration and increase the vigor of the flow. The application of vibration changes the direction of motion of the fluid, breaking up large vortices into smaller ones and enhancing the range of motion for two-phase diffusion.

Figure 12.
Vertical shaft mixer velocity vector plots at different times and frequencies: (a) 0.5 s, 0 Hz; (b) 0.5 s, 100 Hz; (c) 2 s, 0 Hz; (d) 2 s, 100 Hz.
Figure 13.
Concentration in the transversal direction at different radial distances: (a) 0 Hz; (b) 100 Hz.
For the horizontal-axis mixer, vibration agitation to provide the vertical direction of the velocity vector disrupted the original circulation in a certain area of the vortex, so that in the container, the regions with low and high concentrations at the top and bottom exhibited more intense mass transfer, as shown in Figure 14. The flow field at the original paraxial direction was dominated by the movement along the axial direction, and a more obvious interface was formed at the position of the stirring axis. In the application of vibration-assisted mixing, the fluid in the radial direction of the diffusion capacity was improved, stirring the circulation of the flow field of the movement range was expanded, the original stirring “dead zone” of the low-flow phenomenon was eliminated, and the efficiency of the mixing was also significantly improved. In Figure 15, there was a considerable amount of solid-phase particle hoarding, and the stirring efficiency was poor in the right bottom section of the mixer. The deeper it went, the more serious the hoarding became. By comparing the 100 Hz vibration stirring with static stirring, although there were still some solid-phase particles clumping at the beginning of stirring, the peak concentration of the solid phase decreased from 50.2% to 44%, and the mixing homogeneity was significantly improved. The standard deviation of concentration reduced from 0.0560 to 0.0256, and the gap between the stirring efficiencies was further widened with the increase in time.
Figure 14.
Horizontal shaft mixer velocity vector plot at different times and frequencies: (a) 0.5 s, 0 Hz; (b) 0.5 s, 100 Hz; (c) 2 s, 0 Hz; (d) 2 s, 100 Hz.
Figure 15.
Concentrations in the transversal direction at different depths from the axis.
3.3. Viscous Forces
The mixing blade, as the power driving element in the mixing process, is subjected to a torque consisting of two parts, with one being the flow field pressure loading torque and the other being the torque caused by the viscous resistance of the fluid. At the initial stage of mixing, the blades need to overcome the inertia force of the fluid to conduct work. As the rotation area velocity increases, the inertia force is overcome, and the pressure loading torque decreases [36]. After the introduction of vibration assistance, in addition to changing the background pressure field of the fluid and affecting the pressure loading torque, it also puts the particles in a chattering state, destroys the viscous connection between the mixes, reduces the internal friction between the particles and makes the cement particles change from an agglomerated state to a homogeneous distribution state, with more adequate hydration. Figure 16 shows the magnitude of the moments caused by the viscous forces on each layer of blades within the two structures of the mixer. In the vertical shaft mixer, the concentration of solid phase particles was high in the bottom part of the container at the start of mixing, and the lower blade’s viscous moment was much higher than the upper blade’s. As the mixing time increased, the fluid flow rate grew, the Reynolds number increased, and the viscous force moments of the two blade layers decreased and tended to stabilize. The viscous force moment of vibration mixing was smaller than that of static mixing. The reduction was not large at 10 Hz, whereas the moment was more significant at medium- and high-frequency vibration. The viscous force moments of the upper and lower blades at 50 Hz decreased by 39.74% and 43.02%, respectively, compared with that of the ordinary mixing, and the viscous force moments of the vibration mixing at 100 Hz decreased by 48.21% and 54.60%, respectively. For the horizontal-axis stirrer, it had a good stirring state on the left where the solid phase concentration gradually decreased to a more uniform phase, while on the right side of the vessel in 1.5 s–2.5 s some of the solid-phase particles were deposited at the bottom of the vessel, the local phase density was high and the flow rate was low. The right side of the blades subjected to the viscous moment increased slightly before it gradually decreased and stabilized. However, unlike the vertical shaft mixer, the reduction in the viscous force moment caused by low-frequency and high-frequency vibration was more significant, but with the increase in vibration frequency, the reduction in viscous moment magnitude was diminished. The total viscous moment decreased by 31.25% between 0 and 50 Hz, but only by 6.37% between 50 and 100 Hz, which was inefficient when considering energy usage. In the whole vibration agitation process, for the vertical shaft mixer, under the three different excitation frequencies of 10 Hz, 50 Hz, and 100 Hz, the average magnitudes of decrease in the viscous force moment of the stirrer, i.e., the energy saving brought about by it, were 2.4%, 33.85%, and 43.01%, respectively, and for the vertical shaft mixer, they were 7.09%, 13.15%, and 17.12%, respectively. The reason for this difference may be that for the vertical shaft mixer, the excitation energy input to the system was relatively small at low frequencies and the main area of influence of vibration agitation was the bottom of the vessel. With a certain increase in frequency, there was an improvement, but when the frequency continued to increase, high-frequency vibration wave in the cement slurry viscous attenuation was more pronounced, reducing the magnitude of the enhancement in the mixing effect. As for the horizontal shaft mixer, the mixing shaft and the two blades were close to and at the same distance from the excitation source. The area was more strongly affected by the excitation source accounts for a larger proportion of the overall volume, though the excitation energy was more horizontally dispersed. Its vertical dimension was smaller than the horizontal dimension, the attenuation of the vibration wave in the vertical direction was not as significant as the vertical axis mixing, and the improvement of the mixing effect brought about by the increase in frequency was also relatively average. Overall, as shown in Figure 17, the application of vibration had a positive effect on the reduction in torque and motor energy consumption. In terms of concentration, speed, and torque, the vertical shaft agitator may require medium-to-high-frequency vibration and more energy input to bring about more significant gains in mixing efficiency, whereas the horizontal shaft agitator offers better cost-effectiveness with medium-to-low-frequency vibration agitation.
Figure 16.
Viscous force moments of mixing blades under different frequencies of vibration agitation: (a) vertical shaft mixers; (b) horizontal shaft mixers.
Figure 17.
Total viscous force moment.
3.4. Discussion
Promoting vibration mixing technology from the lab to large-scale industrial production is a drawn-out and difficult process that necessitates continuous trial and error and optimization based on theoretical analysis and experimental studies.
On the basis of exploring the macroscopic and microscopic phenomena, mechanism and change law in the process of material mixing to form new mixed concrete, we need to design a reasonable vibration mixing system, including a stirred container and a matched excitation source, by using the motion and state change law of concrete material under the action of vibration and its relationship with the material property change.
These studies can be subdivided into the structural design of the system, the rational distribution of the vibration sources, the setting range of the vibration parameters, and the influence of different factors on the mixing properties of the materials and the laws of motion inside the mixing chamber. In addition, the ability of the system to work continuously has to be considered, and the strength of the mechanical structure has to be calibrated. The geometrical, kinematic, and dynamic parameters of the working unit during the production of concrete can be adapted to the changes in the state and properties of the concrete. This process does not happen overnight, and the different factors and conditions interact with each other, requiring ongoing rounds of exploration and optimization. After clarifying the interaction mechanism and law between the material and the vibration mixing device at the macro- and micro-levels, the industrialized application of vibration mixing technology will be finally realized.
In this paper, the mixing characteristics and physical parameters of the vibration mixing process were analyzed from the perspective of CFD numerical simulation. Two common types of stirrers, vertical shaft and horizontal shaft, were discussed in terms of the structural shape, and the effect of the 0–100 Hz vibration frequency range on the mixing situation was investigated in terms of the setting of excitation parameters. In future research, more in-depth discussion will be needed from the above-proposed research flow.
4. Conclusions
In this paper, the Eulerian multiphase flow combined with dynamic grid technology was used to model and simulate the flow field of the vibration mixing process of cement slurry. The flow field characteristics, two-phase motion process, and particle dispersion and mixing mechanism of the vertical-axis and horizontal-axis agitators under 0–100 Hz vibration mixing were investigated. In contrast to the static mixing process, the vibration agitation process had a lower standard deviation value of solid-phase concentration, a more homogeneous mixing state, and a superior mixing effect. Additionally, the mixing efficiency improved as the vibration frequency rose.
Vibration agitation can make the fluid system maintain a higher average turbulent kinetic energy and velocity magnitude. Compared with static mixing, its material exchange capacity was enhanced, strengthening the convective diffusion of the flow field within the mixer and accelerating the particles in the mixture of the circulation speed. Vibration agitation for the flow field within the mixer provided a more vibration direction of the velocity vector, changing the direction of fluid movement, increasing the intensity of the flow, reducing the mixing “dead zone” and expanding the effective mixing range. It also reduced the blade resistance torque significantly, which is conducive to the material diffusion convection, reducing the power consumption of the motor.
Enhancements in homogeneity and mixing efficiency were also brought about by an increase in vibration frequency. Performance indicators and flow field parameters showed a more notable improvement with middle- and high-frequency vibration agitation (50 Hz) than with low-frequency (10 Hz) vibration for the vertical shaft mixer. Under low- and medium-frequency vibration mixing conditions, the horizontal shaft mixer already had a high cost-efficiency; further increasing the excitation frequency did not significantly improve performance.
This paper provides a theoretical basis for the study of particle dispersion and the high-concentration solid–liquid vibration mixing process of cement slurry, as well as a favorable perspective for the optimization design of the agitator structure and vibration mixing parameters settings. In addition, the research provides a valuable reference for the application of vibration agitation technology to the preparation process of cement-based materials.
Author Contributions
Conceptualization, Z.K.; methodology, T.T.; software, T.T.; validation, T.T. and H.C.; formal analysis, Z.K.; investigation, H.C.; resources, Z.K.; data curation, T.T.; writing—original draft preparation, T.T.; writing—review and editing, Z.K.; visualization, T.T.; supervision, Z.K.; project administration, Z.K.; funding acquisition, Z.K. All authors have read and agreed to the published version of the manuscript.
Funding
This research received no external funding.
Data Availability Statement
The original contributions presented in the study are included in the article; further inquiries can be directed to the corresponding author.
Conflicts of Interest
The authors declare no conflicts of interest.
References
- Anders, S.; Otto, J.; Gurski, J. Separability of Cement Stone and Aggregates in Concrete Recycling. ce/papers 2023, 6, 964–972. [Google Scholar] [CrossRef]
- Kanwal, H.; Adil, M.; Azhar, N.; Amin, N.; Rehman, M.F.; Javed, A.; Awan, A.; Tahir, M.; Mughal, S.; Asim, M. Improvement in Long Term Bonding and Mechanical Performance by Using Glass Concrete in Combination with Xanthan Gum Exposed to Harsh Environment. J. Appl. Eng. Sci. 2023, 13, 223–230. [Google Scholar] [CrossRef]
- Ijaz, N.; Ye, W.; ur Rehman, Z.; Ijaz, Z.; Junaid, M. Global Insights into Micro-Macro Mechanisms and Environmental Implications of Limestone Calcined Clay Cement (Lc3) for Sustainable Construction Applications. Sci. Total Environ. 2024, 907, 167794. [Google Scholar] [CrossRef]
- Wu, H.; Gao, J.; Liu, C.; Guo, Z.; Luo, X. Reusing Waste Clay Brick Powder for Low-Carbon Cement Concrete and Alkali-Activated Concrete: A Critical Review. J Clean. Prod. 2024, 449, 141755. [Google Scholar] [CrossRef]
- Salman, N.M.; Ma, G.; Ijaz, N.; Wang, L. Importance and Potential of Cellulosic Materials and Derivatives in Extrusion-Based 3d Concrete Printing (3dcp): Prospects and Challenges. Constr. Build. Mater. 2021, 291, 123281. [Google Scholar] [CrossRef]
- Wu, H.; Chen, C.; Zhang, W.; Wang, R.; Zhang, W. Effect of Nano-Clay Dispersion on Pore Structure and Distribution of Hardened Cement Paste. Buildings 2023, 13, 2753. [Google Scholar] [CrossRef]
- Zhang, J.; Wang, J.; Li, W.; Yuan, Q.; Gao, Y. A Micromechanical Investigation of Cement Paste through a Combination of the X-Ray Computed Tomography and the Phase Field Method. J. Build Eng. 2024, 84, 108449. [Google Scholar] [CrossRef]
- Zheng, J.-J.; Zhang, J.; Scherer, G.W. Prediction of the Degree of Hydration at Initial Setting Time of Cement Paste with Particle Agglomeration. Cem. Concr. Res. 2012, 42, 1280–1285. [Google Scholar] [CrossRef]
- Zhou, L.; Yin, J.; Wang, W.; Liu, F.; Xiao, M.; Yang, Y.; Cui, H. Effect of Vibration Mixing on the Mechanical Properties of Carbon Nanotube-Reinforced Ultra-High-Performance Concrete. Buildings 2024, 14, 2545. [Google Scholar] [CrossRef]
- Wu, Z.; Wang, R. Experimental Study on the Influence of High-Frequency Vibratory Mixing on Concrete Performance. Sci. Eng. Compos. Mater. 2023, 30, 20220199. [Google Scholar] [CrossRef]
- Zhao, K.; Zhao, L.; Hou, J.; Feng, Z.; Jiang, W. Impact of Mixing Methods and Cement Dosage on Unconfined Compressive Strength of Cement-Stabilized Macadam. Int. J. Concr. Struct. Mater. 2022, 16, 16. [Google Scholar] [CrossRef]
- Li, P.; Wei, D.; Zhang, D.; Xiong, J.; Xu, S. Study on the Properties and Mechanisms of a Cement-Stabilized Aggregate Mixture with Vibration Mixing. Front. Mater. 2021, 8, 634336. [Google Scholar] [CrossRef]
- Jahoda, M.; Moštěk, M.; Fořt, I.; Hasal, P. Cfd Simulation of Free Liquid Surface Motion in a Pilot Plant Stirred Tank. Can. J. Chem. Eng. 2011, 89, 717–724. [Google Scholar] [CrossRef]
- Sugiyama, D.; Ichinose, A.; Takeda, T.; Miyagawa, K.; Negishi, H.; Tsunoda, A. Investigation of Internal Flow in Centrifugal Pump Diffuser using Laser Doppler Velocimetry (LDV) and Computational Fluid Dynamics. J. Phys. Conf. Ser. 2021, 1909, 012075. [Google Scholar] [CrossRef]
- Liu, N.; Wang, W.; Han, J.; Zhang, M.; Angeli, P.; Wu, C.; Gong, J. A Piv Investigation of the Effect of Disperse Phase Fraction on the Turbulence Characteristics of Liquid–Liquid Mixing in a Stirred Tank. Chem. Eng. Sci. 2016, 152, 528–546. [Google Scholar] [CrossRef]
- Li, G.; Gao, Z.; Li, Z.; Wang, J.; Derksen, J. Particle-Resolved Piv Experiments of Solid-Liquid Mixing in a Turbulent Stirred Tank. AIChE J. 2018, 64, 389–402. [Google Scholar] [CrossRef]
- Montante, G.; Paglianti, A.; Magelli, F. Analysis of Dilute Solid–Liquid Suspensions in Turbulent Stirred Tanks. Chem. Eng. Res. Des. 2012, 90, 1448–1456. [Google Scholar] [CrossRef]
- Salierno, G.; Maestri, M.; Fraguío, M.S.; Picabea, J.; Cassanello, M.; De Blasio, C.; Cardona, M.A.; Hojman, D.; Somacal, H. Study on the Aggregate Motion for Gas–Liquid–Solid Agitated Tank Reactors Design Using Radioactive Particle Tracking. Meas. Sci. Technol. 2022, 33, 094004. [Google Scholar] [CrossRef]
- Vesvikar, M.S.; Al-Dahhan, M. Hydrodynamics Investigation of Laboratory-Scale Internal Gas-Lift Loop Anaerobic Digester Using Non-Invasive Caprt Technique. Biomass Bioenergy 2016, 84, 98–106. [Google Scholar] [CrossRef]
- Rammohan, A.; Kemoun, A.; Al-Dahhan, M.; Dudukovic, M. A Lagrangian Description of Flows in Stirred Tanks Via Computer-Automated Radioactive Particle Tracking (Carpt). Chem. Eng. Sci. 2001, 56, 2629–2639. [Google Scholar] [CrossRef]
- Stanley, S.; Mann, R.; Primrose, K. Tomographic Imaging of Fluid Mixing in Three Dimensions for Single-Feed Semi-Batch Operation of a Stirred Vessel. Chem. Eng. Res. Des. 2002, 80, 903–909. [Google Scholar] [CrossRef]
- Mao, Z.; Yang, C. Perspective to Study on Macro-Mixing in Chemical Reactors. CIESC J. 2015, 66, 2795–2804. [Google Scholar]
- Tamburini, A.; Cipollina, A.; Micale, G.; Brucato, A. Particle Distribution in Dilute Solid Liquid Unbaffled Tanks Via a Novel Laser Sheet and Image Analysis Based Technique. Chem. Eng. Sci. 2013, 87, 341–358. [Google Scholar] [CrossRef]
- Xia, D.; Mao, Z.; Zhou, S.; He, X.; Wang, Y. Optimized Design of Solid–Liquid Dual-Impeller Mixing Systems for Enhanced Efficiency. ACS Omega 2023, 8, 47635–47645. [Google Scholar] [CrossRef]
- Mao, C.; Hou, Y.; Liu, A.; Li, H.; Liu, Y. Computational Fluid Dynamics Analysis of a Novel Continuous Cementing Slurry Mixer. Geoenergy Sci. Eng. 2023, 231, 212389. [Google Scholar] [CrossRef]
- Zhao, H.-L.; Zhang, Z.-M.; Zhang, T.-A.; Yan, L.; Gu, S.-Q.; Zhang, C. Experimental and Cfd Studies of Solid–Liquid Slurry Tank Stirred with an Improved Intermig Impeller. Trans. Nonferrous Met. Soc. China 2014, 24, 2650–2659. [Google Scholar] [CrossRef]
- Casarez-Duran, A.A.; Paredes-Rojas, J.C.; Torres-San Miguel, C.R.; Méndez-García, S.R.; Ortiz-Hernández, F.E.; Calderón, G.M.U. Cfd Simulation of Mixing Forest Biomass to Obtain Cellulose. Processes 2024, 12, 2250. [Google Scholar] [CrossRef]
- Tamburini, A.; Brucato, A.; Busciglio, A.; Cipollina, A.; Grisafi, F.; Micale, G.; Scargiali, F.; Vella, G. Solid–Liquid Suspensions in Top-Covered Unbaffled Vessels: Influence of Particle Size, Liquid Viscosity, Impeller Size, and Clearance. Ind. Eng. Chem. Res. 2014, 53, 9587–9599. [Google Scholar] [CrossRef]
- Yousefi, H.; Akar, S.; Niazmand, H.; Shaegh, S.A.M. Improvement of Mixing Efficiency in Twisted Micromixers: The Impact of Cross-Sectional Shape and Eccentricity Ratio. Chem. Eng. Process.-Process Intensif. 2024, 205, 110006. [Google Scholar] [CrossRef]
- Liu, F.; Lu, T.; Li, K.; Xie, C.; Zhao, H. Computational Fluid Dynamics Study on the Effect of Stirring Parameters on Solid–Liquid Suspension in the Slurry Electrolysis Square Tank. Adv. Powder Technol. 2023, 34, 104016. [Google Scholar] [CrossRef]
- Derksen, J. Numerical Simulation of Solids Suspension in a Stirred Tank. AIChE J. 2003, 49, 2700–2714. [Google Scholar] [CrossRef]
- Wadnerkar, D.; Utikar, R.P.; Tade, M.O.; Pareek, V.K. Cfd Simulation of Solid–Liquid Stirred Tanks. Adv. Powder Technol. 2012, 23, 445–453. [Google Scholar] [CrossRef]
- Souli, M.; Ouahsine, A.; Lewin, L. ALE formulatio for fluid-structure interaction problems. Comput. Methods Appl. Mech. Eng. 2000, 190, 659–675. [Google Scholar] [CrossRef]
- Hirt, C.W.; Amsden, A.A.; Cook, J. An Arbitrary Lagrangian-Eulerian Computing Method for All Flow Speeds. J. Comput. Phys. 1974, 14, 227–253. [Google Scholar] [CrossRef]
- Bohnet, M.; Niesmak, G. Distribution of Solids in Stirred Suspensions. Ger. Chem. Eng. 1980, 3, 57–65. [Google Scholar]
- Ge, M.; Chen, J.; Zhao, L.; Zheng, G. Mixing Transport Mechanism of Three-Phase Particle Flow Based on Cfd-Dem Coupling. Processes 2023, 11, 1619. [Google Scholar] [CrossRef]
Disclaimer/Publisher’s Note: The statements, opinions and data contained in all publications are solely those of the individual author(s) and contributor(s) and not of MDPI and/or the editor(s). MDPI and/or the editor(s) disclaim responsibility for any injury to people or property resulting from any ideas, methods, instructions or products referred to in the content. |
© 2024 by the authors. Licensee MDPI, Basel, Switzerland. This article is an open access article distributed under the terms and conditions of the Creative Commons Attribution (CC BY) license (https://creativecommons.org/licenses/by/4.0/).