Research on Bearing Capacity Characteristics of Cave Piles
Abstract
1. Introduction
2. Field Tests
2.1. Selection of Test Piles
2.1.1. Stratigraphic Distribution of the Pile Foundation at Pier 1
2.1.2. Test Piles and Karst Cave Parameters
2.2. Pile Foundation Measurement Point Arrangement
2.2.1. The Arrangement of the Strain Gauges Inside the Pile
2.2.2. Test Loading Scheme
- Fk—The vertical force acting on the top surface of the pile foundation bearing when corresponding to the standard combination of the action of the load, (kN);
- Gk—The standard value of the self-weight of the pile foundation-bearing platform and the self-weight of the soil on the bearing platform, (kN);
- Qk—Corresponding to the vertical force of any single pile under the action of the axial vertical force at the standard combination of actions, (kN);
- n—The number of piles in the pile foundation.
2.3. Analysis and Processing of Test Data
2.3.1. Conversion of Test Data
- FS—The reinforcement’s axial force, (kN);
- n—The number of pile reinforcements;
- EC—The modulus of the elasticity of the pile concrete, (kPa);
- ES—The modulus of the elasticity of the reinforcement, (kPa);
- AC—The pile’s cross sectional area, (m2);
- AS—The reinforcing steel’s cross sectional area, (m2).
2.3.2. Analysis of Pile Axial Force
3. Research on Bearing Capacity Characteristics of Pile Group Foundation Based on Finite Element Method
3.1. The Establishment of Finite Element Model
3.1.1. Construction of Pile Foundation and Cap
3.1.2. The Building of the Pier
3.2. Calculation of Pile Axial Force in Different Construction Stages
3.2.1. Axial Force of Pile Foundation When It Is Built
3.2.2. Axial Force of Pile Under Load
3.3. Comparison and Analysis of Numerical Simulation Results of Pile Axial Force with Field Test Results
4. Superstructure Construction Phase Simulation
4.1. Axial Force of Pile During Construction of Superstructure
4.1.1. Axial Force Distribution of Pile Z1-1 (Through Karst Cave)
4.1.2. Axial Force Distribution of Pile Z1-9 (Without Passing Through Karst Cave)
4.1.3. Axial Force Distribution of Pile
4.2. Lateral Friction Resistance of Pile During Superstructure Construction
4.2.1. Z1-1 Pile Side Friction Distribution (Through Karst Cave)
4.2.2. Z1-9 Pile Side Friction Distribution (Not Through the Cave)
4.2.3. Distribution Law of Pile Side Friction Resistance
5. Axial Force Distribution of Piles with Different Depths
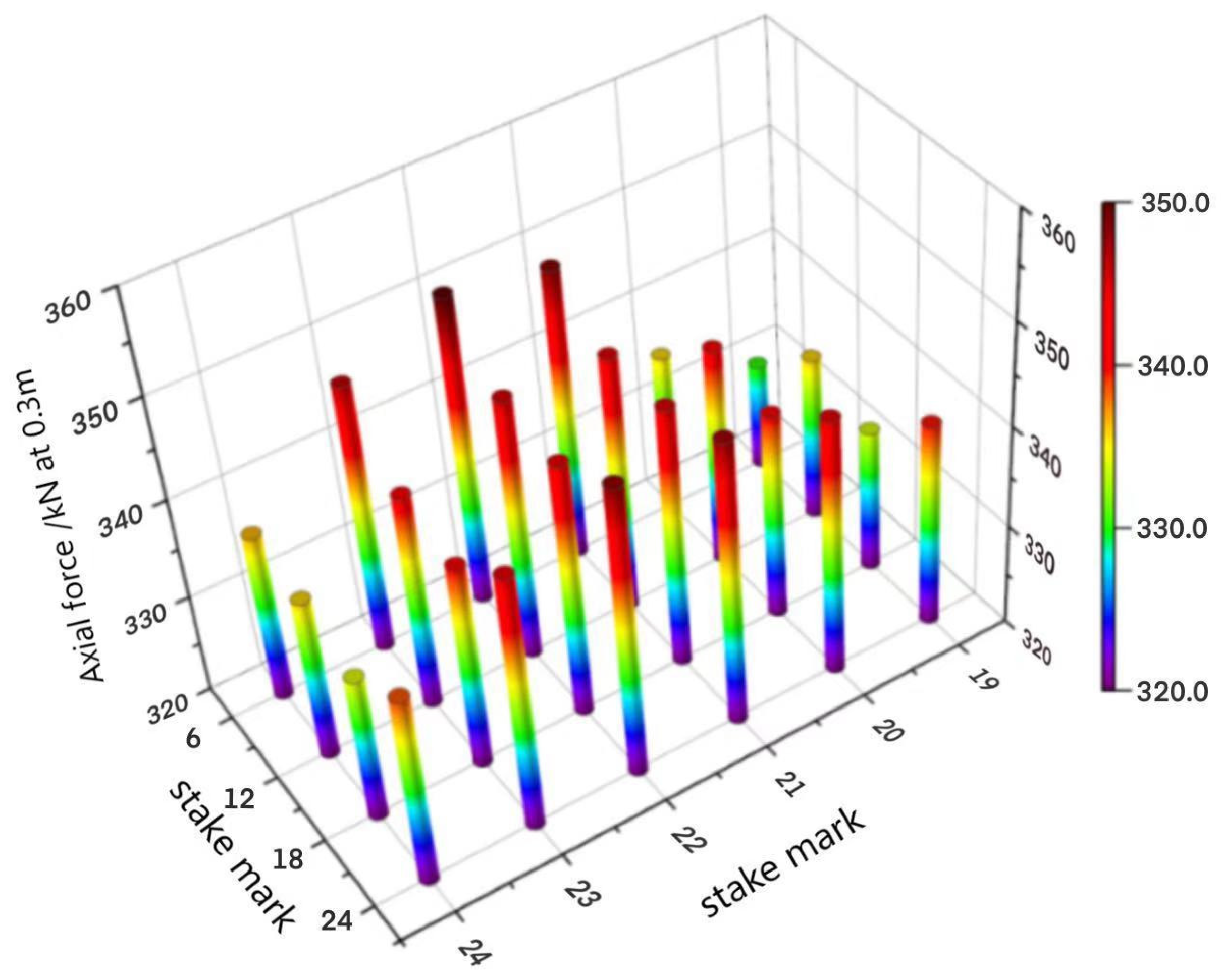
5.1. Axial Force at 0.3 m
5.2. Axial Force at 13.0 m
5.3. Axial Force at 19.0 m
6. Settlement Distribution and Non-Uniform Settlement
6.1. Pile Top Settlement
6.2. Subsidence at the Bottom of the Cave
6.3. Pile Bottom Settlement
6.4. Summary of Settlement Distribution and Influence Range of Karst Caves
7. Relative Vertical Displacement of Pile Side Soil
7.1. Vertical Relative Displacement of Pile Top
7.2. Vertical Relative Displacement at the Depth of the Cave Floor
7.3. Vertical Relative Displacement of Pile Bottom
7.4. The Distribution Law of the Vertical Relative Displacement of the Pile Side Soil and the Influence Range of the Karst Cave Are Summarized
8. Conclusions and Prospect
8.1. Conclusions
8.2. Prospect
Author Contributions
Funding
Data Availability Statement
Conflicts of Interest
References
- Gotman, N.Z.; Evdokimov, A.G. Determination of Additional Load on the Bridge Foundation Pile under Karst Deformation. J. Phys. Conf. Ser. 2021, 1928, 012058. [Google Scholar] [CrossRef]
- Feng, Z.; Chen, J.; He, J. Study on Vertical Bearing Characteristics of Bridge Pile Foundation in Karst Area Considering the Size. IOP Conf. Ser. Mater. Sci. Eng. 2020, 780, 022003. [Google Scholar] [CrossRef]
- Feng, Z.; Guo, S.; He, J.; Huang, Z.; Dong, Y.; Jiang, D.; Xia, C. Study on the Influence of Karst Size on the Vertical Bearing Capacity of Pile Foundation. IOP Conf. Ser. Mater. Sci. Eng. 2020, 780, 022005. [Google Scholar] [CrossRef]
- Abi, E.; Shen, L.; Liu, M.; Du, H.; Shu, D.; Han, Y. Calculation Model of Vertical Bearing Capacity of Rock-Embedded Piles Based on the Softening of Pile Side Friction Resistance. Mar. Sci. Eng. 2023, 11, 939. [Google Scholar] [CrossRef]
- Di Laora, R.; de Sanctis, L.; Aversa, S. Bearing capacity of pile groups under vertical eccentric load. Acta Geotech. 2019, 14, 193–205. [Google Scholar] [CrossRef]
- Serrano, A. Ultimate bearing capacity at the tip of a pile in rock. Int. J. Rock Mech. Min. Sci. 2002, 39, 833–846. [Google Scholar] [CrossRef]
- Sharapov, R.; Lodigina, N. Features of Calculating Pile Foundations in Karst Area. In International Scientific Siberian Transport Forum; Springer International Publishing: Cham, Switzerland, 2021. [Google Scholar]
- Yang, W. Research on Vertical Bearing Characteristics of Single Pile Crossing Large Karst Cave. Master’s Thesis, Chang’an University, Xi’an, China, 2013. [Google Scholar]
- Cui, J.; Geng, M. Finite element analysis of deformation characteristics of single pile and pile group. Low Temp. Build. Technol. 2023, 45, 126–129. [Google Scholar]
- Zhang, J.; Chen, F.; Jian, H. Numerical analysis of soil arch effect in passive piles. Rock Soil Mech. 2004, 25, 174–178+184. [Google Scholar] [CrossRef]
- Xie, F. Research on Bearing Characteristics of Bridge Pile Foundation in Karst Area. Master’s Thesis, Chang’an University, Xi’an, China, 2007. [Google Scholar]
- Xiao, Y.; Zhao, M.; Zhang, R.; Xu, Z.; Zhao, H. Finite element limit analysis of bridge double-pile foundation in karst area. J. Eng. Geol. 2019, 27, 923–932. [Google Scholar]
- Gong, X.; Zhao, M.; Yang, M.; Wu, L. Sudden change method for ultimate bearing capacity of bridge foundation piles in karst area. J. Highw. Transp. Sci. Technol. 2012, 29, 53–57+74. [Google Scholar]
- Liu, X.; He, Q.; Zhao, M. Research and case study on optimization method of bridge pile foundation design on karst foundation. J. Cent. South Univ. (Nat. Sci. Ed.) 2014, 45, 1653–1658. [Google Scholar]
- Huang, X.; Ke, W.; Li, H.; Chen, B.; Chai, D. Numerical simulation of karst cave disease treatment in bridge pile foundation construction in karst area. Constr. Tech. 2017, 46, 220–224. [Google Scholar]
- Wu, D. Survey and design of bridge pile foundation in karst area. Highway 2019, 64, 113–117. [Google Scholar]
- Feng, Z.; Wu, M.; He, J.; Huang, Z.; Dong, Y.; Hu, H.; Yi, J. Calculation of ultimate bearing capacity of highway bridge pile foundation under steep hill-karst coupling. Highway 2021, 66, 115–121. [Google Scholar]
- Feng, Z.; Chen, H.; Bai, S.; Cai, J.; Xia, C.; Yuan, C.; Huang, Z. Experimental study on load transfer mechanism of highway bridge pile foundation crossing super large karst cave. Chin. J. Rock Mech. Eng. 2023, 42, 3700–3711. [Google Scholar]
- Feng, Z.; Xu, B.; Chen, H.; Xia, C.; Cai, J. Study on the influence of different treatment measures on load bearing characteristics of pile foundation. J. Build. Sci. Eng. 2024, 41, 151–158. [Google Scholar] [CrossRef]
- Feng, Z.; Hu, H.; Dong, Y.; Feng, K.; Li, S.; He, J.; Zhao, Y. Laboratory simulation test for reducing negative friction resistance of pile foundation. Chin. J. Geotech. Eng. 2019, 41, 45–48. [Google Scholar]
- Mardfekri, M.; Gardoni, P.; Roesset, J.M. Modeling Laterally Loaded Single Piles Accounting for Nonlinear Soil-Pile Interactions. J. Eng. 2013, 2013, 243179. [Google Scholar] [CrossRef]
- Kim, Y.; Jeong, S. Analysis of soil resistance on laterally loaded piles based on 3D soil-pile interaction. Comput. Geotech. 2011, 38, 248–257. [Google Scholar] [CrossRef]
- JTG 3363-2019; Ministry of Transport of the People’s Republic of China. Code for Design of Foundations and Foundations of Highway Bridges and Culverts. People’s Communications Press: Beijing, China, 2019.
- GB50007-2011; Ministry of Housing and Urban-Rural Development of the People’s Republic of China. Code for Design of Building Foundation. China Building Industry Press: Beijing, China, 2011.
- JTG 3362-2018; Ministry of Transport of the People’s Republic of China. Code for Design of Reinforced Concrete and Prestressed Concrete Bridges and Culverts for Highway. People’s Communications Press: Beijing, China, 2018.


























| Pile length L/m | 20.1 |
| Pile Diameter D/m | 2.0 |
| Concrete strength class | C30 |
| Embedded rock depth h/m | >5 (2.5 D) |
| Cave height Hc/m | 6 |
| Cave size range Bc × Lc/m2 | 8 × 8 |
| Cave type | Semi-filled cavern |
| Cave backfill material | Crushed stone, schist, clay, concrete, etc. |
| Soil Layer Type | Capacity γ /kN·m−3 | Modulus of Compression E/MPa | Cohesive Force c/kPa | Internal Friction Angle φ/° | Side Friction qik/kPa | Uniaxial Saturation Compressive Strength frk/MPa |
|---|---|---|---|---|---|---|
| Plain fill | 16.6 | 2.0 | 15 | 14 | 15 | / |
| Silty clay | 17.2 | 3.8 | 26 | 16.2 | 45 | / |
| Sloping gravel soil | 19.2 | 15.7 | 16 | 33 | 66 | / |
| Moderately weathered limestone | 25.3 | 2661 | 240 | 51 | 195 | 28.7 |
| Intermediately weathered limestone | 22.3 | 1300 | 150 | 46 | 117 | 16.4 |
| Highly weathered limestone | 21.6 | 650 | 78 | 37 | 85 | 8.9 |
| Cave filling material | 18.3 | 13.5 | 20 | 25 | 58 | / |
| Structure | Pile | Pile Cap | Pier | 0#Beam |
|---|---|---|---|---|
| Weights (KN) | 1576.53 | 48,540.22 | 79,948.17 | 14,125.72 |
| Structure | 1, 2 Beams | 3–10 Beams | 11–18 Beams | Closure |
| Weights (KM) | 13,927.76 | 52,006.64 | 41,160.00 | 2281.44 |
| Construction Phase Loading | Load Size (kN) |
|---|---|
| 1 The weight of a single pile. | 1576.53 |
| 2 The weight of the bearing platform. | 2022.51 |
| 3 The weight of the bearing platform and the first section of the lower part of the pier. | 2855.31 |
| 4 Bearing platform+ pier lower overall deadweight. | 3688.10 |
| 5 Bearing platform+ lower part of pier+ first section of self-weight on upper part of pier. | 4520.89 |
| 6 Bearing platform+ pier body overall self-weight. | 5353.68 |
| 7 Bearing platform+ pier +weight of 0#block. | 5942.25 |
| 8 The bearing platform+ pier + zero block + self-weight of the first cantilever section. | 6522.58 |
| 9 Bearing platform+ pier + block zero + first cantilever section + 33% self-weight of second cantilever section. | 7244.89 |
| 10 Bearing platform+ pier + block zero + first cantilever section + 67% self-weight of second cantilever section. | 7967.21 |
| 11 Bearing platform+ pier + block zero + first cantilever section + 100% self-weight of second cantilever section. | 8689.52 |
| 12 The bearing platform+ pier + zero block + first and second cantilever section + 50% of the self-weight of the third cantilever section. | 9547.02 |
| 13 The bearing platform+ pier + block zero + first and second cantilever section + 100% of the third cantilever section deadweight. | 10,404.52 |
| 14 Bearing platform+ pier + zero block + all cantilever section weight before merging. | 10,499.58 |
Disclaimer/Publisher’s Note: The statements, opinions and data contained in all publications are solely those of the individual author(s) and contributor(s) and not of MDPI and/or the editor(s). MDPI and/or the editor(s) disclaim responsibility for any injury to people or property resulting from any ideas, methods, instructions or products referred to in the content. |
© 2025 by the authors. Licensee MDPI, Basel, Switzerland. This article is an open access article distributed under the terms and conditions of the Creative Commons Attribution (CC BY) license (https://creativecommons.org/licenses/by/4.0/).
Share and Cite
Ou, L.; Huang, Y.; Chen, X.; Xue, Y.; Li, Q.; Guo, B. Research on Bearing Capacity Characteristics of Cave Piles. Buildings 2025, 15, 143. https://doi.org/10.3390/buildings15010143
Ou L, Huang Y, Chen X, Xue Y, Li Q, Guo B. Research on Bearing Capacity Characteristics of Cave Piles. Buildings. 2025; 15(1):143. https://doi.org/10.3390/buildings15010143
Chicago/Turabian StyleOu, Lixin, Yufeng Huang, Xu Chen, Yang Xue, Qingfu Li, and Biao Guo. 2025. "Research on Bearing Capacity Characteristics of Cave Piles" Buildings 15, no. 1: 143. https://doi.org/10.3390/buildings15010143
APA StyleOu, L., Huang, Y., Chen, X., Xue, Y., Li, Q., & Guo, B. (2025). Research on Bearing Capacity Characteristics of Cave Piles. Buildings, 15(1), 143. https://doi.org/10.3390/buildings15010143
