Abstract
This study introduces an innovative approach by modifying a commonly used filler with a natural compound, PEI. Fine aggregates within the filler were treated with different contents of PEI solutions. This research thoroughly examined the filler’s pore structure, mineral composition, physical characteristics, and surface morphology. Additionally, this study explored the effects of PEI-treated fine aggregates on the macroscopic features of recycled cement mortar, focusing on aspects like flowability, compressive strength, capillary water absorption, and chloride ion permeability. The findings revealed that treating the fine aggregates with PEI decreased the pore volume by up to 28.2% compared to untreated samples. This improvement in the microstructure may originate from the formation of calcite and its by-products, which occupy the pores with nanoparticles generated in situ. Furthermore, the modification with polyethyleneimine resulted in a wavy, plate-like structure that not only enhanced the surface morphology but also improved the compressive strength and chloride ion permeability. Furthermore, it significantly reduced capillary water absorption by 32% to 51%, thereby enhancing the material’s durability. The present study underscores the superior advantages of PEI modification as a promising strategy to enhance the viability of public fine aggregates.
1. Introduction
The rapid expansion of construction, renovation, and demolition activities in China has significantly contributed to the country’s economic growth and urbanization [1,2]. However, these activities have also led to the generation of vast amounts of construction waste and the depletion of substantial resources [3]. Studies reveal that China’s construction waste recycling rate is below 10%, which is starkly lower than the rates of 94% in the Netherlands and 95% in Japan, highlighting a significant disparity between China and developed nations in terms of recycling practices within the construction industry [4,5,6]. Meanwhile, the prevalent method of disposing of urban construction waste through landfilling results in numerous social and environmental challenges. Consequently, developing methods for the effective and efficient management of construction waste is of significant importance. In this context, various methods have been proposed to minimize construction waste, with one widely adopted approach being the reuse of construction waste as secondary building materials [7,8]. This method not only reduces the accumulation of construction waste but also lessens the demand for natural building materials [9].
Construction waste predominantly consists of concrete and brick debris, with over 90% being inert materials, commonly referred to as PF [8,10]. Enhancing the performance of PF typically involves the use of surfactants or polymers, such as silane coupling agents or polymer modifiers [11,12,13]. For instance, Gao et al. [14] studied the mechanical properties of RAC, which utilized RCBAs as coarse aggregates and was modified with nanoparticles. Their findings indicated that the compressive and tensile strengths of raw and nanoparticle-modified RAC reduced as the replacement ratio of recycled aggregates rose. Additionally, He et al. [15] conducted experiments and demonstrated that treating a BCRA with a pozzolan slurry combined with sodium silicate enhanced its mechanical strength. Although silane coupling agents can create chemical bonds on the surface of fillers, improving adhesion between fillers and cement matrices, their capacity to enhance particle dispersion and overall performance is limited [16].
PEI, distinguished by its multiple functional groups (amino and imino groups), exhibits strong surface activity and chemical reactivity [17,18]. As a water-soluble amine-based polymer, PEI contains a remarkable concentration of amino groups along its molecular chain, enabling it to create a uniform layer on the surface of fillers. This coating significantly enhances the bonding strength between particles and improves their dispersion. Research has demonstrated that materials modified with PEI exhibit remarkable adsorption capabilities, particularly in removing heavy metal ions from aqueous solutions [19,20]. Furthermore, PEI reacts with carboxyl groups within the cement matrix, thereby strengthening the adhesion between fillers and the cement matrix [21,22]. Due to these properties, PEI is an effective and versatile agent for treating fillers, leading to comprehensive improvements in concrete performance, including better mechanical properties, durability, and workability. Neelamegam and Muthusubramanian [23] conducted a pretreatment of CDW using various concentrations of PEI to examine variations in pore structure, mineral composition, physical features, and surface morphology. Their research identified 0.2 as the optimal PEI concentration, which significantly enhanced the carbonation efficiency and overall performance of the treated CDW.
This study explores the impact of PEI on refining the surface structure of PFs and boosting the performance of RCM. PFA was pretreated with PEI solutions of varying concentrations, followed by the preparation of RCM using the PEI-modified PFA. A range of analytical techniques were employed to investigate the modifications in pore structure, surface morphology, hydration process, and ITZ characteristics of the PFA before and after PEI treatment. Finally, the study assessed the macroscopic properties of RCM, including flowability, compressive strength, capillary water absorption, and electric flux, in response to the PEI modification of the PFA.
2. Materials and Methods
2.1. Raw Materials
PFs were sourced from a demolished residential area primarily composed of brick aggregates. These aggregates were initially crushed and screened, producing PFA with particle sizes ranging from 0.15 mm to 4.75 mm. Before the experiment, the PFs underwent a pre-wetting process, and excess surface water was removed. As shown in Figure 1, a microstructure analysis revealed that the PFs demonstrated a molten state following high-temperature calcination. Additionally, the PFs were characterized by larger internal pores compared to conventional materials, with a high degree of interconnectivity, resulting in strong water absorption capabilities. The cement used in the experiment was ordinary Portland cement (PO 42.5) (South Cement Co., Ltd., Guangzhou, China). The PEI employed in the study was an analytical-grade reagent with a purity of 95% (Shanghai Macklin Biochemical Technology Co., Ltd., Shanghai, China). Municipal tap water was used for mixing, and a high-efficiency polycarboxylate superplasticizer (Shanghai Macklin Biochemical Technology Co., Ltd., Shanghai, China), featuring a water-reducing rate of 22.5%, was utilized as the water reducer.
Figure 1.
Microstructure of PFA: (a) SEM image; (b) FTIR spectra; (c) particle size distribution curve; and (d) EDS pattern.
2.2. Sample Preparation Process
2.2.1. Pretreatment of PFA
The procedure for modifying the PFA with PEI involved three key steps: (1) pretreatment of the PFA, (2) PEI adsorption, and (3) post-immersion treatment. Initially, the PFA was dried in a blast oven at 105 °C until it reached a constant weight. Following this, any remaining excess water was removed, and the material was allowed to cool at 23 ± 2 °C for 24 h. The PFA was then submerged in PEI solutions of varying concentrations (10%, 20%, 30%, 40%, and 50%) and continuously stirred for 12 h. The solid-to-liquid ratio during the immersion process was maintained at 1:10. After immersion, the mixtures were thoroughly rinsed and allowed to soak for an additional 2 h before being dried in an oven at 70 °C for 6 h (Figure 2).
Figure 2.
Modification of PFA with different concentrations of PEI.
The initial water content and the mass changes of the PFA after PEI treatment and subsequent atmospheric curing are summarized in Table 1. The findings revealed that the initial water content of the PFA was 1.7%. The mass change rates observed for the PFA treated with 10%, 20%, 30%, 40%, and 50% PEI solutions were 1.77%, 2.01%, 2.31%, 2.61%, and 2.79%, respectively. This increase in mass may originate from the progressive adsorption of PEI by the PFA. Additionally, as the concentration of PEI increased, the surface color of the PFA gradually darkened from gray to brown. This color change is primarily due to the formation of a precipitate resulting from the reaction between the PFA and PEI, which adhered to the surface of the PFA [24].
Table 1.
PFA mass after pretreatment.
2.2.2. Mix Proportion and Preparation of RCM
In accordance with the specifications outlined in the standard GB/T 25176-2010 [25], the mix proportions used for all specimens in this experiment were as follows: 472 kg/m3 of cement, 1451 kg/m3 of PFA, 261 kg/m3 of water, and 1.62 kg/m3 of water reducer. The Control group, which used non-treated PFA, was designated as “Control” (0% PEI), while the groups in which the PFA was modified with 10%, 20%, 30%, 40%, and 50% PEI solutions were labeled as RCM-10 PEI, RCM-20 PEI, RCM-30 PEI, RCM-40 PEI, and RCM-50 PEI, respectively. The experiment began by mixing the measured quantities of cement and PFA in a forced planetary mixer for 1 min. After the initial mixing of the dry ingredients, water, pre-mixed with the water reducer, was added to the mixture. The combined materials were then stirred thoroughly for another 3 min to ensure a uniform blend. The prepared mixture was poured into molds with dimensions of 70.7 mm × 70.7 mm × 70.7 mm. The molds were subsequently vibrated to remove any trapped air bubbles and to achieve a smooth surface. After leveling, the specimens were de-molded after curing for 24 h. Following de-molding, the specimens were placed in a curing environment maintained at 95% humidity and a temperature of 23 ± 2 °C. To evaluate their performance, the compressive strength of the specimens was tested at 3, 7, and 28 days.
2.3. Evaluation Methods
2.3.1. Microstructures of PFA
The pore volume and size distribution of the specimens were analyzed based on the BET method, utilizing a specific surface area and pore size analyzer (3H-2000PSI, Best Instruments Technology Co., Ltd., Beijing, China). Each sample, weighing around 5 g, underwent a degassing process at 60 °C for 12 h before being tested. The surface structure of these specimens, pre- and post-modification, was analyzed using SEM. Additionally, EDS was utilized to analyze the elemental composition. Prior to these analyses, the specimens were immersed in isopropanol for 48 h to eliminate any remaining moisture and subsequently dried in a vacuum oven at 50 °C for an additional 48 h.
2.3.2. Mineral Composition
XRD was conducted to determine the phase composition of PFA specimens. The samples were analyzed within the angular range of 0° to 100°, with 10° intervals, and the resulting data were interpreted using the ICSD. FTIR spectroscopy was employed to validate the ATR FTIR spectra of the PF samples. TGA was performed using a thermogravimetric analyzer (NETZSCH STA 449F5, Naiqi Scientific Instruments Trading Co., Ltd., Selb, Germany), with the temperature ranging from 30 °C to 900 °C at a heating rate of 10 °C/min. DTG curves were utilized to examine the mass changes across different phases.
2.3.3. Physical Properties
In this section, the water absorption of the PFA was tested following the procedures outlined in GB/T 14685-2011 [26]. The flowability and compressive strength of the RCM were evaluated following the steps outlined in the standard JGJ/T 70-2009 [27].
2.3.4. Capillary Water Absorption (CWA) Test
The capillary water absorption test was performed following the standard ASTM C1585 [28]. To this end, three cylindrical specimens with dimensions of 100 mm in diameter and 50 mm in length were prepared for each group [29]. After curing for 28 days, the samples were dried in a convection oven at 105 °C until they reached a constant weight. To ensure one-dimensional water transport during the test, the side surfaces of the samples were sealed using an epoxy resin coating. Before the test, the initial mass of each sample was measured using an electronic balance with a precision of 0.01 g. The specimens were then partially immersed in water, and the mass change was recorded at intervals of up to 10 days. The cumulative water absorption mass (∆m) for each group of specimens was calculated, and the capillary water absorption (I) was determined from the following expression:
where mt is the mass change of the specimen at time t; a is the exposed area; and d is the water density.
2.3.5. Electric Flux
The electric flux of concrete specimens, which measures chloride ion migration in PFA, was determined following the GB/T 50082-2009 standard [30,31]. Each specimen had a diameter of 100 ± 1 mm and a height of 50 ± 2 mm. Prior to testing, the specimens were saturated with water or limewater to ensure full saturation.
3. Results and Discussion
3.1. Influence of PEI on the Structural Densification of PFA
3.1.1. Pore Structure
Figure 3 presents the cumulative and differential pore volumes for the PFA samples. The results demonstrate that the cumulative pore volume of the untreated PFA was 0.0143 cm3/g, whereas the PFA treated with 10% PEI exhibited a significantly lower pore volume of 0.0086 cm3/g, indicating a 42.0% reduction. Overall, the study shows a substantial reduction in pore volume, with a decrease of up to 28.2% in the treated PFA samples compared to the untreated ones. Figure 3b highlights a significant reduction in the number of mesopores, particularly those in the 2 to 50 nm range, with a noticeable decrease in cumulative pore volume for pores between 2 and 10 nm. In contrast, the effect on macropores, defined as capillary pores larger than 50 nm, was less pronounced. When the concentration of the PEI solution was increased to 40% and 50%, the pore volume continued to decrease, but the reduction was less significant, resulting in total pore volumes of 0.0258 cm3/g for PFA-40 PEI and 0.0281 cm3/g for PFA-50 PEI. These observations can be attributed to the carbonation process, where calcium ions (Ca) react with PEI to form calcium carbonates and bicarbonates. Additionally, mass changes after pretreatment might influence the results. For the PFA-40 PEI and PFA-50 PEI groups, the higher moisture content may have hindered CO2 diffusion, reducing their effectiveness in pore filling compared to other groups [32].
Figure 3.
The pore volume of PFA samples: (a) cumulative pore volume; and (b) differential pore volume.
3.1.2. Water Absorption
Figure 4 illustrates the water absorption capacity of the PFA samples with varying concentrations of PEI. The Control group (0% PEI) showed a water absorption rate of 13.5% after 24 h. In contrast, the water absorption rates of the PFA treated with PEI dropped below 12%, highlighting the effectiveness of PEI in reducing water absorption. As the concentration of PEI increased, the water absorption rate further declined. Specifically, PFA-10 PEI, PFA-20 PEI, and PFA-30 PEI exhibited water absorption rates of 10.7%, 10.1%, and 8.7%, respectively, indicating a significant improvement in performance due to PEI modification. However, when the PEI concentration exceeded 30%, the reduction in water absorption plateaued. The water absorption rates for PFA-40 PEI and PFA-50 PEI were 10.9% and 11.6%, respectively, which were 2.2% and 2.9% higher than that of PFA-30 PEI. This trend aligns with the observed changes in the pore structure of PFA, suggesting that PEI treatment effectively refines the pore structure, thereby reducing water absorption [32]. The study of water absorption and pore structure revealed that PEI modification leads to the densification of the PFA microstructure. The reduction in pore volume observed in PFA-30 PEI may originate from the formation of new carbonate compounds. In the presence of PEI, calcium ions (Ca2+) more readily dissolve from calcium-bearing phases in the PFA, leading to the formation of additional carbonate products, which contributes to the observed reduction in water absorption capacity.
Figure 4.
Water absorption curves of PFA samples.
3.2. Influence of PEI on the Texture of PFA
3.2.1. SEM
Figure 5 illustrates the microstructure of the ITZ observed through SEM following the modification of the PFA with PEI. The untreated PFA surface shows an irregular and disorganized texture, featuring components such as calcium silicate hydrate (C–S–H) and calcium hydroxide (CH) crystals [33]. As the concentration of PEI increases, there is a noticeable rise in the coverage of PEI on the PFA surface, leading to the creation of uneven calcium carbonate patches. These newly formed CaCO3 precipitates are irregularly distributed, leading to a reduction in defects and gaps within the interface, which enhances the bonding between the fine aggregates and the cement matrix [34].
Figure 5.
Surface morphologies of (a) Control, (b) PFA-10 PEI, (c) PFA-20 PEI, (d) PFA-30 PEI, (e) PFA-40 PEI, and (f) PFA-50 PEI.
At a PEI concentration of 20%, the microstructure of the PFA undergoes significant changes, becoming more undulating with layered carbonate precipitates that create rough and complex segments. Figure 5d,e further illustrates substantial alterations in the surface morphology of the PFA treated with higher PEI concentrations. A honeycomb-like structure emerges as plate-like formations interconnect. When the PFA is treated with a 50% PEI concentration, the internal architecture shows a smoother and more continuous surface, with a uniform distribution and minimal variation in geometric shape. This results in a more refined and significantly enhanced plate-like structure compared to the PFA treated with a 40% PEI concentration. The morphological changes observed in the PFA microstructure indicate a complex interaction between PEI and the inorganic components of PFA, leading to these textural modifications. Lower PEI concentrations tend to cause aggregation or clustering of the fine aggregates, as seen in Figure 5b. In contrast, higher PEI concentrations are more effective in dispersing the fine aggregates and preventing their aggregation, resulting in a more uniform and improved microstructure.
3.2.2. XRD
Figure 6 illustrates the XRD pattern of the PEI-modified PFA, demonstrating that the calcite and dolomite present in the samples remained inactive, not contributing to the hydration reactions. Following PEI modification, the PFA predominantly exhibited quartz-related diffraction peaks within the 20° to 30° 2θ range. As the PEI concentration increased from 10% to 50%, these quartz peaks intensified, with the most significant enhancement observed at a 30% PEI concentration. The increased PEI concentration resulted in the formation of a more continuous and dense surface coating layer, which effectively prevented the aggregation or deposition of silica particles on the PFA surface [35]. This process led to a smoother surface for the modified aggregate, which aligns with the SEM observations discussed earlier in Section 3.2.
Figure 6.
XRD pattern of PEI-modified PFA.
3.2.3. FTIR
FTIR was utilized to identify the chemical bonds and functional groups present in the PFA by examining the transmission infrared spectra of the samples. Figure 7 presents the FTIR spectra, highlighting the spectral characteristics of both the untreated PFA and PEI-modified PFA within the wavenumber range of 400 cm−1 to 4000 cm−1. Notable peaks at 2842 cm−1 and 2952 cm−1 correspond to the C–H stretching vibrations, which are indicative of the PEI backbone. Additionally, the peak observed at 459 cm−1 is associated with the N–H bending vibration, characteristic of the secondary amine groups in the PEI structure. These spectral features provide valuable insights into the chemical interactions and functional group modifications resulting from the incorporation of PEI, enhancing the understanding of the material’s molecular composition and its impact on the physicochemical properties of PFA [36]. Furthermore, the absorption peaks detected at 1665 cm−1 and 1065 cm−1 may originate from the stretching vibrations of C=O in amides and C–O stretching vibrations, respectively. The formation of stable chemical bonds on the surface of the PEI-modified PFA is significant, as it reduces the likelihood of producing unwanted reaction by-products. This stabilization contributes to improved bonding performance, stability, and overall utility of the modified PFA [37,38].
Figure 7.
FTIR spectra of PFA specimens.
3.2.4. Thermogravimetric Analysis (TGA)
TGA was employed to investigate the changes in sample mass across varying temperatures [39]. Figure 8 presents the results, showing the DTG and TG curves for the PEI-modified PFA samples. The primary mass loss, observed between 0 °C and 400 °C, was mainly due to the dehydration of hydration products, with the most significant mass loss occurring between 250 °C and 400 °C. The mass losses for the five modified PFA samples were recorded as 11.6%, 4.5%, 14.4%, 15.1%, and 17.9%, with PFA-20 PEI showing the least mass reduction. This minimal loss is likely due to the creation of a relatively stable and dense PEI coating on the surface of the aggregates, which may enhance the bonding properties and reduce aggregate dissolution, thereby minimizing mass loss [40,41].
Figure 8.
TGA results of PEI-modified PFA: (a) PFA-10 PEI; (b) PFA-20 PEI; (c) PFA-30 PEI; (d) PFA-40 PEI; and (e) PFA-50 PEI.
As the PEI concentration increased beyond 20%, the mass loss of the PFA samples progressively rose. The peak around 100 °C corresponds to the dehydration of C–S–H phases, while the peak around 400 °C is associated with the dehydration of portlandite, which is consistent with empirical data [42].
3.3. Influence of PEI-Modified PFA Incorporation on the Properties of Fresh Mortar
3.3.1. Flowability
Figure 9 presents the flowability results for the RCM made with different concentrations of PEI-modified PFA. The inclusion of the PEI-modified PFA significantly improved the flowability of the mortar, aligning with previous findings related to the use of tannic acid-modified public fillers in polymer matrices. The average flowability measurements for the RCM with 10%, 20%, 30%, 40%, and 50% PEI-modified PFA were 119 mm, 125 mm, 129 mm, 122 mm, and 117 mm, respectively. Compared to the untreated RCM, these modifications resulted in increased flowability by 11.2%, 16.8%, 20.6%, 14.0%, and 9.3%, respectively. The RCM containing PFA modified with a 30% PEI solution demonstrated the highest flowability. This improvement is likely due to the reduced water absorption capacity of the PEI-modified PFA compared to the non-treated PFA, which would otherwise absorb free water from the mortar matrix and hinder the lubrication and flow of the mixture. Additionally, the potential for PFA particles to aggregate in the RCM matrix, which can negatively impact workability, is minimized with PEI modification, particularly at the optimal concentration.
Figure 9.
Flowability of RCM prepared with various PFA treatments.
3.3.2. Compressive Strength
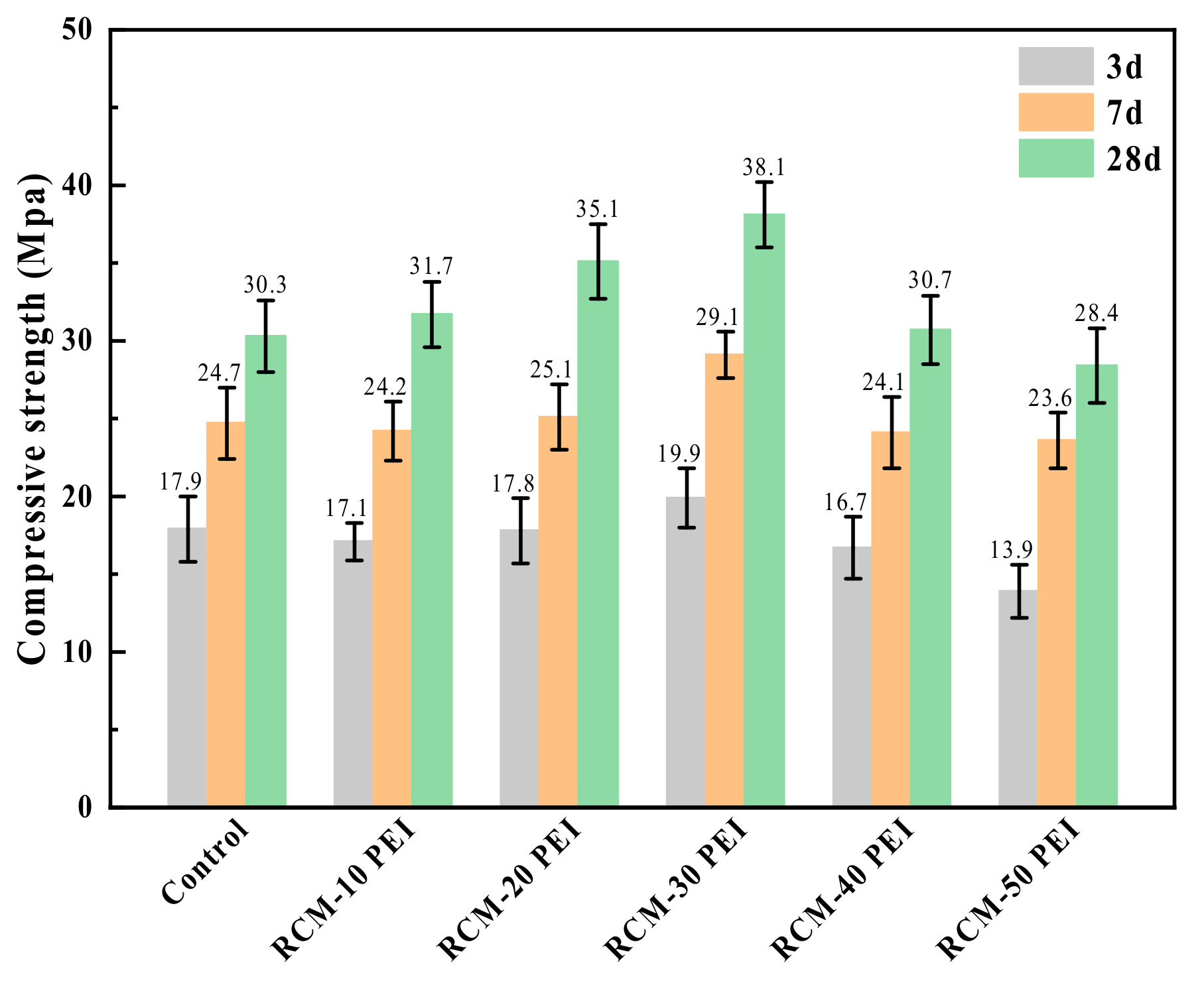
Figure 10 illustrates the impact of the PEI-modified PFA on the compressive strength of the RCM. The data show that the RCM made with the PEI-treated PFA exhibited higher compressive strength compared to the Control group without PEI modification. Initially, the enhancement in compressive strength was modest due to the inhibitory effect of PEI on the early stages of cement hydration. However, as the curing time increased, this inhibitory effect diminished. Among the different concentrations tested, the RCM with PFA modified using a 30% PEI solution exhibited the most significant improvement, showing a 20.5% increase in compressive strength at 28 days. This suggests that up to a 30% concentration of PEI effectively enhances the strength of RCM by improving the bond between the aggregates and the cement matrix. However, when the PEI concentration exceeded 30%, the compressive strength began to decline. Specifically, RCM-50 PEI had a compressive strength of 28.4 MPa, which was 6.7% lower than that of the untreated Control group. This reduction is likely due to the excessive accumulation of PEI on the surface of PFA, which hinders the cement hydration process, thus weakening the overall structure. Consequently, to avoid compromising the compressive strength, it is recommended that the PEI concentration for modifying PFA should not exceed 30%.
Figure 10.
Compressive strength of RCM prepared with various PFA treatments.
3.3.3. Capillary Water Absorption
Figure 11 presents the CWAM curves over time for the different RCM samples. It is observed that the CWAM increased for all samples as water absorption progressed, with the Control group exhibiting a marked increase within the first 8 days compared to the modified groups. This behavior is likely due to the greater number of cracks and weaker interfaces formed in the untreated PFA during crushing, which created a network of pores and microcracks that facilitated faster water movement. In contrast, the CWAM for the PFA modified with the PEI solutions was notably lower, aligning with the findings from the pore structure analysis. The reduction in total porosity of the modified PFA mortar was achieved by the nanoparticles resulting from the reaction between PEI, calcium hydroxide (CH), and calcite, which helped to fill the pores, decrease pore diameters, and slow water transmission. Specifically, at a water absorption time of 807 s to the power of 1/2, the CWAM values were 66.6 g for Control, 39.1 g for PFA-10 PEI, 28.1 g for PFA-20 PEI, 25.9 g for PFA-30 PEI, 14.5 g for PFA-40 PEI, and 12.2 g for PFA-50 PEI. This corresponds to reductions in water absorption mass of 41.3%, 57.8%, 61.1%, 78.2%, and 81.7% for the respective PEI-modified samples, demonstrating the enhanced waterproofing properties of the PEI-modified PFA. As the RCM samples continued to absorb water, the rate of capillary suction gradually decreased and eventually stabilized. This stabilization occurred because as the internal moisture content increased, capillary suction slowed down and reached a steady state under the influence of gravity.
Figure 11.
Capillary water absorption of RCM prepared with various PFA treatments.
3.3.4. Electric Flux
Figure 12 illustrates the electrical flux of the RCM samples prepared with varying concentrations of PEI-modified PFA. The data demonstrate a noticeable enhancement in the resistance to chloride ion migration with the incorporation of PEI. Specifically, the electric flux values for the RCM with PEI concentrations of 10%, 20%, 30%, 40%, and 50% were reduced by 10.9%, 12.5%, 13.0%, 8.5%, and 5.7% respectively, compared to the Control group. This improvement may originate from the creation of a coating on the pore surfaces by the nanoparticles produced from the reaction between PEI, calcium hydroxide (CH), and calcite. These nanoparticles effectively reduce pore diameters and limit chloride ion pathways. Additionally, the better bonding between the PEI-modified PFA and the new mortar contributes to a denser ITZ, further enhancing the resistance to chloride ion penetration [23,43].
Figure 12.
The electric flux of RCM prepared with various PFA treatments.
3.3.5. BET
The specific surface area and pore volume of the PFA modified with different concentrations of PEI were analyzed using the BET method, while pore size distribution was evaluated using the BJH technique. Samples, each weighing between 0.2582 g and 0.3574 g, were extracted from the experimental blocks for these measurements. The detailed results of the specific surface area and pore volume for different PEI modifications are summarized in Table 2, highlighting the impact of PEI concentration on the textural characteristics of PFA. These findings are crucial for understanding how PEI modification affects PFA’s performance in various applications.
Table 2.
Specific surface areas and pore volumes of PEI-modified PFA.
Table 2 indicates that the PFA-20 PEI sample exhibited the highest specific surface area at 1.8830 m2/g and a pore volume of 0.008557 mL/g. In contrast, the specific surface areas of PFA-30 PEI and PFA-40 PEI were reduced by 32.7% and 15.0%, respectively, while their pore volumes decreased by 22.3% and 53.8%. This reduction may be attributed to the aggregation of PEI with aggregate particles at higher concentrations, which decreases the available contact area between particles. Additionally, PFA-50 PEI showed a lower specific surface area and pore volume compared to PFA-10 PEI, indicating that higher PEI concentrations not only minimize pore defects in the recycled aggregates but also reduce the porosity between cement hydrates and aggregates.
4. Conclusions
This study explored the impact of PEI on improving the surface features of PFs and the performance of RCM. PEI-modified PFA was prepared with various concentrations of PEI solutions, and the resulting RCM was analyzed to evaluate changes in pore structure, surface morphology, hydration processes, and the ITZ characteristics of the PFA before and after treatment.
- (1)
- Increasing the PEI concentration to 40% and 50% decreased the pore volume of the PFA. However, the effect diminished at higher concentrations, with total pore volumes of 0.0258 cm3/g for PFA-40 PEI and 0.0281 cm3/g for PFA-50 PEI. This suggests that while higher PEI concentrations do reduce pore volume, the benefit levels off, indicating a saturation point in the modification of PFA’s porosity.
- (2)
- The water absorption rates for PFA-10 PEI, PFA-20 PEI, and PFA-30 PEI were 10.7%, 10.1%, and 8.7%, respectively. These observations demonstrate the effectiveness of PEI in enhancing the performance of PFA by refining its pore structure and reducing its water absorption capacity.
- (3)
- The compressive strength of the RCM improved from 30.3 MPa to 38.1 MPa with the use of the PEI-modified PFA. This enhancement originates from the increased density of the pore structure and the rougher surface texture of the modified PFA. The optimal values for electric flux and capillary water absorption were achieved with a 20% PEI concentration, demonstrating the optimal balance between performance and modification level.
- (4)
- The study suggests that PEI is a promising agent for improving the carbonation efficiency of PFA, refining its microstructure, and improving its surface characteristics. The development of PEI-based CO2 capture technologies can significantly reduce CO2 emissions, contributing positively to climate change mitigation efforts.
The results indicate that using PEI-modified recycled aggregates in construction materials offers considerable academic and practical benefits. This approach supports resource reclamation and environmental sustainability while providing cost-saving advantages in construction projects. Additionally, it improves the mechanical features and durability of concrete structures, laying the groundwork for more sustainable construction practices. The use of PEI-modified recycled aggregates also encourages innovation in materials science and engineering, advancing construction methods toward greater sustainability and eco-friendliness.
Author Contributions
Conceptualization, Y.Z. and H.L.; Validation, K.C., X.W. and X.Q.; Formal analysis, X.Q.; Investigation, Y.Z. and H.L.; Writing—original draft, C.C. and Y.Z.; Writing—review & editing, X.W. and H.L.; Supervision, C.C.; Project administration, C.C. and K.C. All authors have read and agreed to the published version of the manuscript.
Funding
This research was funded by the Natural Science Foundation of the Jiangsu Higher Education Institutions of China, grant number (22KJB560001).
Data Availability Statement
The raw data supporting the conclusions of this article will be made available by the authors on request.
Conflicts of Interest
Authors Chen Cheng, Kingsley Chiang, Xinxin Wang, and Xiaoyang Qu are employed by the company China State Construction Engineering (Hong Kong) Limited. The remaining authors declare that the research was conducted in the absence of any commercial or financial relationships that could be construed as a potential conflict of interest.
Nomenclature
| TGA | Thermogravimetric analysis |
| PFA | Pulverized fly ash |
| PEI | Polyethyleneimine |
| PF | Public filler |
| RCM | Recycled concrete mortar |
| PFA | Public fine aggregate |
| ITZ | Interface transition zone |
| XRD | X-ray diffraction |
| ATR | Attenuated total reflectance |
| BET | Brunauer–Emmett–Teller |
| BJH | Barrett–Joyner–Halenda |
| RAC | Recycled aggregate concrete |
| RCBA | Recycled clay brick aggregate |
| SEM | Scanning electron microscopy |
| CDW | Construction and demolition waste |
| DTG | Derivative thermogravimetry |
| EDS | Energy-dispersive spectroscopy |
| CWAM | Capillary water absorption mass |
| ICSD | International Crystal Structure Database |
| FTIR | Fourier transform infrared |
| BCRA | Brick–concrete recycled aggregate |
References
- Xu, K.; Shen, G.Q.; Liu, G.; Martek, I. Demolition of existing buildings in urban renewal projects: A decision support system in the China context. Sustainability 2019, 11, 491. [Google Scholar] [CrossRef]
- Liu, J.; Yi, Y.; Wang, X. Exploring factors influencing construction waste reduction: A structural equation modeling approach. J. Clean. Prod. 2020, 276, 123185. [Google Scholar] [CrossRef]
- Yu, B.; Wang, J.; Li, J.; Zhang, J.; Lai, Y.; Xu, X. Prediction of large-scale demolition waste generation during urban renewal: A hybrid trilogy method. Waste Manag. 2019, 89, 1–9. [Google Scholar] [CrossRef] [PubMed]
- Ogunmakinde, O.E. A review of circular economy development models in China, Germany and Japan. Recycling 2019, 4, 27. [Google Scholar] [CrossRef]
- Tam, V.W.; Soomro, M.; Evangelista, A.C.J. A review of recycled aggregate in concrete applications (2000–2017). Constr. Build. Mater. 2018, 172, 272–292. [Google Scholar] [CrossRef]
- Akhtar, A.; Sarmah, A.K. Construction and demolition waste generation and properties of recycled aggregate concrete: A global perspective. J. Clean. Prod. 2018, 186, 262–281. [Google Scholar] [CrossRef]
- Whittaker, M.J.; Grigoriadis, K.; Soutsos, M.; Sha, W.; Klinge, A.; Paganoni, S.; Casado, M.; Brander, L.; Mousavi, M.; Scullin, M. Novel construction and demolition waste (CDW) treatment and uses to maximize reuse and recycling. Adv. Build. Energy Res. 2021, 15, 253–269. [Google Scholar] [CrossRef]
- Sormunen, P.; Kärki, T. Recycled construction and demolition waste as a possible source of materials for composite manufacturing. J. Build. Eng. 2019, 24, 100742. [Google Scholar] [CrossRef]
- Nautiyal, H.; Shree, V.; Khurana, S.; Kumar, N.; Varun. Recycling potential of building materials: A review. In Environmental Implications of Recycling and Recycled Products; Springer: Berlin/Heidelberg, Germany, 2015; pp. 31–50. [Google Scholar] [CrossRef]
- Islam, R.; Nazifa, T.H.; Yuniarto, A.; Uddin, A.S.; Salmiati, S.; Shahid, S. An empirical study of construction and demolition waste generation and implication of recycling. Waste Manag. 2019, 95, 10–21. [Google Scholar] [CrossRef]
- Kujawa, W.; Olewnik-Kruszkowska, E.; Nowaczyk, J. Concrete strengthening by introducing polymer-based additives into the cement matrix—A mini review. Materials 2021, 14, 6071. [Google Scholar] [CrossRef]
- Knapen, E.; Beeldens, A.; Van Gemert, D.; Van Rickstal, F. Modification of cement concrete by means of polymers in solution. In Proceedings of the 11th Congress on Polymers in Concrete, Berlin, Germany, 2–4 June 2004; pp. 83–90. [Google Scholar]
- Aziz, T.; Ullah, A.; Fan, H.; Jamil, M.I.; Khan, F.U.; Ullah, R.; Iqbal, M.; Ali, A.; Ullah, B. Recent progress in silane coupling agent with its emerging applications. J. Polym. Environ. 2021, 29, 3427–3443. [Google Scholar] [CrossRef]
- Gao, C.; Huang, L.; Yan, L.; Jin, R.; Chen, H. Mechanical properties of recycled aggregate concrete modified by nano-particles. Constr. Build. Mater. 2020, 241, 118030. [Google Scholar] [CrossRef]
- He, Z.; Shen, A.; Wu, H.; Wang, W.; Wang, L.; Guo, Y. Properties and mechanisms of brick-concrete recycled aggregate strengthened by compound modification treatment. Constr. Build. Mater. 2022, 315, 125678. [Google Scholar] [CrossRef]
- Feng, Y.; Qin, D.; Zhao, C. The synergistic strengthening effect of silane coupling agent on the interface between PVA/EPS and cement: Experiment and molecular simulation. Compos. Interfaces 2023, 30, 21–41. [Google Scholar] [CrossRef]
- You, J.; Wang, L.; Zhao, Y.; Bao, W. A review of amino-functionalized magnetic nanoparticles for water treatment: Features and prospects. J. Clean. Prod. 2021, 281, 124668. [Google Scholar] [CrossRef]
- Singh, R.; Nayak, D.; Pandey, A.; Kumar, R.; Kumar, V. Effects of recycled fine aggregates on properties of concrete containing natural or recycled coarse aggregates: A comparative study. J. Build. Eng. 2022, 45, 103442. [Google Scholar] [CrossRef]
- Li, Y.; Dong, X.; Zhao, L. Application of magnetic chitosan nanocomposites modified by graphene oxide and polyethyleneimine for removal of toxic heavy metals and dyes from water. Int. J. Biol. Macromol. 2021, 192, 118–125. [Google Scholar] [CrossRef] [PubMed]
- He, X.; Zhang, T.; Xue, Q.; Zhou, Y.; Wang, H.; Bolan, N.S.; Jiang, R.; Tsang, D.C. Enhanced adsorption of Cu (II) and Zn (II) from aqueous solution by polyethyleneimine modified straw hydrochar. Sci. Total Environ. 2021, 778, 146116. [Google Scholar] [CrossRef] [PubMed]
- Chen, Z.; Lv, Z.; Sun, Y.; Chi, Z.; Qing, G. Recent advancements in polyethyleneimine-based materials and their biomedical, biotechnology, and biomaterial applications. J. Mater. Chem. B 2020, 8, 2951–2973. [Google Scholar] [CrossRef]
- Riva, L.; Fiorati, A.; Punta, C. Synthesis and application of cellulose-polyethyleneimine composites and nanocomposites: A concise review. Materials 2021, 14, 473. [Google Scholar] [CrossRef]
- Neelamegam, P.; Muthusubramanian, B. Influence of Polyethylenimine (PEI) in enhancement of microstructure and surface morphology of recycled construction and demolition waste aggregate in concrete by carbonation. Constr. Build. Mater. 2023, 405, 133342. [Google Scholar] [CrossRef]
- Junak, J.; Sicakova, A. Effect of surface modifications of recycled concrete aggregate on concrete properties. Buildings 2017, 8, 2. [Google Scholar] [CrossRef]
- GB/T 25176-2010; Recycled Fine Aggregate for Concrete and Mortar. Standard Press of China: Beijing, China, 2011.
- GB/T 14685-2011; Pebble and Crushed Stone for Construction. China National Standardization Management Committee: Beijing, China, 2005.
- JGJ/T 70-2009; Standard for Test Method of Basic Properties of Construction Mortar. Standard Press of China: Beijing, China, 2009.
- ASTM C1585; Standard Test Method for Measurement of Rate of Absorption of Water by Hydraulic-Cement Concretes. ASTM International: West Conshohocken, PA, USA, 2004.
- Da Rocha Gomes, S.; Ferrara, L.; Sánchez, L.; Moreno, M.S. A comprehensive review of cementitious grouts: Composition, properties, requirements and advanced performance. Constr. Build. Mater. 2023, 375, 130991. [Google Scholar] [CrossRef]
- Pontes, J.; Bogas, J.A.; Real, S.; Silva, A. The rapid chloride migration test in assessing the chloride penetration resistance of normal and lightweight concrete. Appl. Sci. 2021, 11, 7251. [Google Scholar] [CrossRef]
- GB/T 50082-2009; Standard for Test Methods of Long-Term Performance and Durability of Ordinary Concrete. China Architecture & Building Press: Beijing, China, 2009.
- Ouyang, K.; Shi, C.; Chu, H.; Guo, H.; Song, B.; Ding, Y.; Guan, X.; Zhu, J.; Zhang, H.; Wang, Y. An overview on the efficiency of different pretreatment techniques for recycled concrete aggregate. J. Clean. Prod. 2020, 263, 121264. [Google Scholar] [CrossRef]
- Jiang, Y.; Li, L.; Lu, J.-x.; Shen, P.; Ling, T.-C.; Poon, C.S. Enhancing the microstructure and surface texture of recycled concrete fine aggregate via magnesium-modified carbonation. Cem. Concr. Res. 2022, 162, 106967. [Google Scholar] [CrossRef]
- Meng, T.; Lai, Z.; Yang, X.; Dai, D.; Jia, Y.; Yu, H. An approach to effectively improve the properties of recycled concrete aggregate and recycled brick aggregate by micro-nano particle reconstruction. Constr. Build. Mater. 2024, 421, 135669. [Google Scholar] [CrossRef]
- Wu, K.; Hu, Y.; Zhang, L.; Su, Y.; Han, J.; Yang, Z.; De Schutter, G. Quantitative evaluation of interfacial transition zone of sustainable concrete with recycled and steel slag as aggregate. Struct. Concr. 2021, 22, 926–938. [Google Scholar] [CrossRef]
- Gholizadeh-Vayghan, A.; Bellinkx, A.; Snellings, R.; Vandoren, B.; Quaghebeur, M. The effects of carbonation conditions on the physical and microstructural properties of recycled concrete coarse aggregates. Constr. Build. Mater. 2020, 257, 119486. [Google Scholar] [CrossRef]
- Pandurangan, K.; Dayanithy, A.; Prakash, S.O. Influence of treatment methods on the bond strength of recycled aggregate concrete. Constr. Build. Mater. 2016, 120, 212–221. [Google Scholar] [CrossRef]
- Verian, K.P.; Ashraf, W.; Cao, Y. Properties of recycled concrete aggregate and their influence in new concrete production. Resour. Conserv. Recycl. 2018, 133, 30–49. [Google Scholar] [CrossRef]
- Zhao, Z.; Remond, S.; Damidot, D.; Courard, L.; Michel, F. Improving the properties of recycled concrete aggregates by accelerated carbonation. Proc. Inst. Civ. Eng. Constr. Mater. 2018, 171, 126–132. [Google Scholar] [CrossRef]
- Eguchi, K.; Teranishi, K.; Nakagome, A.; Kishimoto, H.; Shinozaki, K.; Narikawa, M. Application of recycled coarse aggregate by mixture to concrete construction. Constr. Build. Mater. 2007, 21, 1542–1551. [Google Scholar] [CrossRef]
- Gonzalez-Fonteboa, B.; Martinez-Abella, F.; Eiras-Lopez, J.; Seara-Paz, S. Effect of recycled coarse aggregate on damage of recycled concrete. Mater. Struct. 2011, 44, 1759–1771. [Google Scholar] [CrossRef]
- Etxeberria, M.; Vázquez, E.; Marí, A.; Barra, M. Influence of amount of recycled coarse aggregates and production process on properties of recycled aggregate concrete. Cem. Concr. Res. 2007, 37, 735–742. [Google Scholar] [CrossRef]
- Ji, Y.; Pei, Z. Investigation of Mechanical Properties of Ultra-High-Performance Polyethylene-Fiber-Reinforced Recycled-Brick-Aggregate Concrete. Polymers 2023, 15, 4573. [Google Scholar] [CrossRef]
Disclaimer/Publisher’s Note: The statements, opinions and data contained in all publications are solely those of the individual author(s) and contributor(s) and not of MDPI and/or the editor(s). MDPI and/or the editor(s) disclaim responsibility for any injury to people or property resulting from any ideas, methods, instructions or products referred to in the content. |
© 2024 by the authors. Licensee MDPI, Basel, Switzerland. This article is an open access article distributed under the terms and conditions of the Creative Commons Attribution (CC BY) license (https://creativecommons.org/licenses/by/4.0/).











