Study on Seasonal Permafrost Roadbed Deformation Based on Water–Heat Coupling Characteristics
Abstract
1. Introduction
2. The Water–Heat Coupling Model
2.1. Water–Heat Coupling Differential Equations
2.2. Water–Heat Coupling Numerical Model
- (1)
- Modeling of the water field
- (2)
- Modeling of the temperature field
2.3. Validation of Numerical Model
2.3.1. Freezing Simulation Validation and Analysis
2.3.2. Thawing Simulation Validation and Analysis
3. Deformation Analysis of Seasonal Frozen Roadbed
3.1. Project Overview
3.2. Water–Heat Coupling Analysis
3.2.1. Parameters of the Model
3.2.2. Boundary Conditions and Simulation Process
- (1)
- Temperature boundary conditions
- (2)
- Moisture boundary conditions
- (3)
- Initial conditions
3.2.3. Results and Discussion
- (1)
- Temperature field
- (2)
- Moisture field
3.3. Deformation Analysis
3.3.1. Basic Equations for the Stress Field
3.3.2. Numerical Modeling
- (1)
- Calculation parameters
- (2)
- Boundary conditions
- (3)
- Roadbed freezing and thawing coefficient
- (4)
- The deformation analysis steps
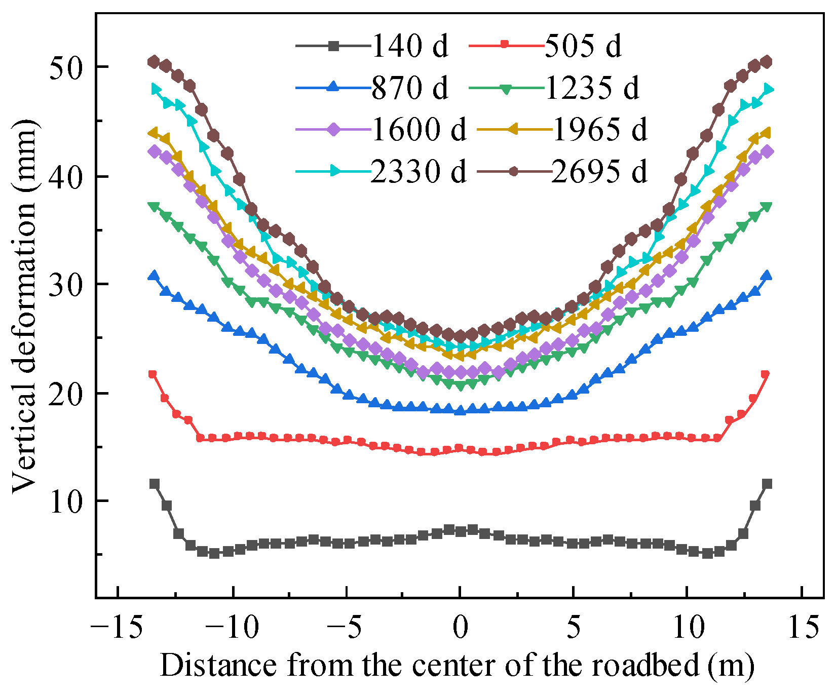
3.3.3. Results and Discussion
3.3.4. Discussion and Limitations
- (1)
- A sensitivity analysis of the parameters has not been conducted yet. Initially, identify the dominant variables influencing the frost heave/thaw settlement. Subsequently, develop a multi-source data-driven model for evaluating and predicting the safety of seasonal permafrost roadbeds, with soil-sensitive parameters as controlled independent variables, and frost heave/thaw settlement as the target-controlled variables;
- (2)
- This investigation neglected the stress redistribution caused by external loads and pore water pressure and only analyzed the stress caused by frost heave, thus traffic load was not considered. Hence, it is necessary to incorporate dynamic traffic loads to further develop the water–heat coupling computational model under dynamic load conditions.
4. Conclusions
- (1)
- A water–heat coupling mathematical model is established, of which the calculation is realized by using the secondary development module in the COMSOL software, thereby achieving the fully coupled numerical simulation of the temperature field and the moisture field. The accuracy of the model is verified by the classic freeze–thaw test involving a soil column. The simulation results are in good agreement with the test results, with an error of no more than 10%;
- (2)
- During the freezing and thawing process of the soil, the temperature distribution along the soil column direction is approximately linear, while the water migrates from the positive temperature zone to the negative temperature zone, with the maximum migration amount reaching 20% of the water content. Moreover, the balance of the water field lags behind that of the temperature field;
- (3)
- The duration of the soil freezing period is 4 months, with the maximum freezing depth of the roadbed being 2.5 m and that of the road shoulder being 2 m. After thawing, the water content in the shallow layer of the roadbed increases compared to the initial water content, leading to a decrease in soil strength;
- (4)
- After experiencing multiple freeze–thaw cycles, significant deformation occurs in the roadbed. In the first year, the vertical frost heave deformation of the roadbed is 6 mm, resulting in a concave-shaped road surface; the vertical thaw settlement deformation of the roadbed reaches 1.2 mm, resulting in a convex-shaped road surface. By the seventh year, the maximum frost heave can reach 51 mm, and the maximum thaw settlement can reach 13 mm.
Author Contributions
Funding
Data Availability Statement
Conflicts of Interest
References
- Wu, G.; Xie, Y.; Wei, J.; Yue, X. Freeze-thaw erosion mechanism and preventive actions of highway subgrade soil in an alpine meadow on the Qinghai-Tibet Plateau. Eng. Fail. Anal. 2023, 143, 106933. [Google Scholar] [CrossRef]
- Roh, H.J. Developing a risk assessment model for a highway site during the winter season and quantifying the functional loss in terms of traffic reduction caused by winter hazards conditions. J. Transp. Eng. Part A Syst. 2022, 148, 04022036. [Google Scholar] [CrossRef]
- Cai, H.; Hong, R.; Xu, L.; Wang, C.; Rong, C. Frost heave and thawing settlement of the ground after using a freeze-sealing pipe-roof method in the construction of the Gongbei Tunnel. Tunn. Undergr. Space Technol. 2022, 125, 104503. [Google Scholar] [CrossRef]
- Derk, L.; Unold, F. Effect of temperature gradients on water migration, frost heave and thaw-settlement of a clay during freezing-thaw process. Exp. Heat Transf. 2023, 36, 585–596. [Google Scholar] [CrossRef]
- Huang, X.; Rudolph, D.L.; Glass, B. A Coupled Thermal-Hydraulic-Mechanical Approach to Modeling the Impact of Roadbed Frost Loading on Water Main Failure. Water Resour. Res. 2022, 58, e2021WR030933. [Google Scholar] [CrossRef]
- Zheng, Z.; Bao, Z.; Yang, J.; Cui, M.; Ma, X.; Li, Y. The products transformation and leaching behavior in solidified cement matrices under the coupling actions of “water-heat-chemistry. Constr. Build. Mater. 2022, 323, 126565. [Google Scholar] [CrossRef]
- Sun, W.; Fish, J.; Leng, Z.; Ni, P. PD-FEM chemo-thermo-mechanical coupled model for simulation of early-age cracks in cement-based materials. Comput. Methods Appl. Mech. Eng. 2023, 412, 116078. [Google Scholar] [CrossRef]
- Taber, S. The mechanics of frost heaving. J. Geol. 1930, 38, 303–317. [Google Scholar] [CrossRef]
- Everett, D.H. The thermodynamics of frost damage to porous solids. Trans. Faraday Soc. 1961, 57, 1541–1551. [Google Scholar] [CrossRef]
- Harlan, R.L. Analysis of coupled heat-fluid transport in partially frozen soil. Water Resour. Res. 1973, 9, 1314–1323. [Google Scholar] [CrossRef]
- Taylor, G.S.; Luthin, J.N. A model for coupled heat and moisture transfer during soil freezing. Can. Geotech. J. 1978, 15, 548–555. [Google Scholar] [CrossRef]
- Zhan, Y.; Zhao, M.; Lu, Z.; Liu, G.; Yao, H. Study on water–heat coupling migration law and frost heave effect of soil slope in seasonal frozen regions during groundwater recharge. Environ. Earth Sci. 2023, 82, 401. [Google Scholar] [CrossRef]
- Booshehrian, A.; Wan, R.; Su, X. Hydraulic variations in permafrost due to open-pit mining and climate change: A case study in the Canadian Arctic. Acta Geotech. 2020, 15, 883–905. [Google Scholar] [CrossRef]
- Mihara, K.; Kuramochi, K.; Toma, Y.; Hatano, R. Effect of water movement in frozen soil on long-term hydrological simulation of Soil and Water Assessment Tool in cold climate watershed in Hokkaido, Japan. Soil Sci. Plant Nutr. 2024, 70, 160–173. [Google Scholar] [CrossRef]
- Yin, X.; Liu, E.; Song, B.; Zhang, D. Numerical analysis of coupled liquid water, vapor, stress and heat transport in unsaturated freezing soil. Cold Reg. Sci. Technol. 2018, 155, 20–28. [Google Scholar] [CrossRef]
- Li, Z.; Liu, X.; Sun, Y.; Jiang, X. Numerical simulation of frost heaving damage of earth-rock dam berms in cold regions with thermo-hydro-mechanical coupling. Cold Reg. Sci. Technol. 2024, 223, 104207. [Google Scholar] [CrossRef]
- Lu, D.; Meng, F.; Zhou, X.; Zhuo, Y.; Gao, Z.; Du, X. A dynamic elastoplastic model of concrete based on a modeling method with environmental factors as constitutive variables. J. Eng. Mech. 2023, 149, 04023102. [Google Scholar] [CrossRef]
- Lu, D.; Liang, J.; Du, X.; Ma, C.; Gao, Z. Fractional elastoplastic constitutive model for soils based on a novel 3D fractional plastic flow rule. Comput. Geotech. 2019, 105, 277–290. [Google Scholar] [CrossRef]
- Zhang, H.; Zhang, J.; Zhang, Z.; Zhang, M.; Cao, W. Variation behavior of pore-water pressure in warm frozen soil under load and its relation to deformation. Acta Geotech. 2020, 15, 603–614. [Google Scholar] [CrossRef]
- Deng, Q.; Liu, X.; Zeng, C.; He, X.; Chen, F.; Zhang, S. A freezing-thawing damage characterization method for highway subgrade in seasonally frozen regions based on thermal-hydraulic-mechanical coupling model. Sensors 2021, 21, 6251. [Google Scholar] [CrossRef]
- Botkin, N.D.; Brokate, M.; El Behi-Gornostaeva, E.G. One-phase flow in porous media with hysteresis. Phys. B Condens. Matter 2016, 486, 183–186. [Google Scholar] [CrossRef]
- Biryukov, A.B.; Ivanova, A.A. Diagnosis of temperature conditions in metals when heated in continuous furnaces. Metallurgist 2018, 62, 331–336. [Google Scholar] [CrossRef]
- Tian, K.; Yang, A.; Nie, K.; Zhang, H.; Xu, J.; Wang, X. Experimental study of steady seepage in unsaturated loess soil. Acta Geotech. 2020, 15, 2681–2689. [Google Scholar] [CrossRef]
- Xu, X.; Wang, J.; Zhang, L. Permafrost Physics; Science Press: Beijing, China, 2001; pp. 75–98. (In Chinese) [Google Scholar]
- Ma, Z.; Lin, C.; Zhao, H.; Yin, K.; Feng, D.; Zhang, F.; Guan, C. Numerical Simulations of Failure Mechanism for Silty Clay Slopes in Seasonally Frozen Ground. Sustainability 2024, 16, 1623. [Google Scholar] [CrossRef]
- Vanmarcke, E. Random fields: Analysis and Synthesis; MIT Press: Cambridge, MA, USA, 1983. [Google Scholar]



















| Parameters | Values | Unit | Definition |
|---|---|---|---|
| 2.59 | 1 | Model parameter | |
| 0.26 | 1 | Model parameter | |
| 0.5 | 1 | Ontogenetic coefficient | |
| 10-7 | m/s | Permeability coefficient | |
| 0.42 | 1 | Saturated water content | |
| 0.02 | 1 | Residual water content | |
| 900 | kg/m3 | Ice density | |
| 1000 | kg/m3 | Water density | |
| 2060 | kg/m3 | Soil density | |
| 334.5 | kJ/kg | Latent heat of phase change in ice and water | |
| 1.3 | W/(m∙K) | Thermal conductivity of the soil | |
| 900 | J/(kg∙K) | Specific heat of the soil |
| Materials | Density (kg/m3) | Thermal Conductivity (W/(m∙K)) | Specific Heat (J/(kg∙K)) | B |
|---|---|---|---|---|
| Gravelly soil | 2000 | 1.13 | 1210 | 0.61 |
| Powdery clay | 1550 | 1.125 | 1241 | 0.56 |
| Ice | 900 | 2.22 | 2090 | — |
| Water | 1000 | 0.58 | 4180 | — |
| Materials | a0 | m | l | θs | θr | ks |
|---|---|---|---|---|---|---|
| Gravelly soil | 0.66 | 0.14 | 0.5 | 0.42 | 0.05 | 5 × 10−6 |
| Powdery clay | 2.65 | 0.26 | 0.5 | 0.5 | 0.02 | 1 × 10−8 |
| Materials | Elastic Modulus E (MPa) | Poisson’s Ratio υ |
|---|---|---|
| Gravelly soil | 61 | 0.28 |
| Powdery clay | 28 | 0.3 |
| Ice | - | 0.33 |
| Temperature (°C) | −2 | −5.4 | −8 |
| Elastic modulus (MPa) | 4910.0 | 6342.0 | 6820.0 |
| Soil Types | A | B | C |
|---|---|---|---|
| Gravelly soil | 0.0684 | 0.0028 | 0.04 |
| Powdery clay | 0.08 | 0.0003 | 0.003 |
| Soil Types | ωc (%) | K1 |
|---|---|---|
| Gravelly soil | 14 | 0.6 |
| Powdery clay | 18 | 0.7 |
Disclaimer/Publisher’s Note: The statements, opinions and data contained in all publications are solely those of the individual author(s) and contributor(s) and not of MDPI and/or the editor(s). MDPI and/or the editor(s) disclaim responsibility for any injury to people or property resulting from any ideas, methods, instructions or products referred to in the content. |
© 2024 by the authors. Licensee MDPI, Basel, Switzerland. This article is an open access article distributed under the terms and conditions of the Creative Commons Attribution (CC BY) license (https://creativecommons.org/licenses/by/4.0/).
Share and Cite
Lu, B.; Zhao, W.; Li, S.; Dong, M.; Xia, Z.; Shi, Y. Study on Seasonal Permafrost Roadbed Deformation Based on Water–Heat Coupling Characteristics. Buildings 2024, 14, 2710. https://doi.org/10.3390/buildings14092710
Lu B, Zhao W, Li S, Dong M, Xia Z, Shi Y. Study on Seasonal Permafrost Roadbed Deformation Based on Water–Heat Coupling Characteristics. Buildings. 2024; 14(9):2710. https://doi.org/10.3390/buildings14092710
Chicago/Turabian StyleLu, Bo, Wen Zhao, Shengang Li, Manman Dong, Zhikang Xia, and Yunfang Shi. 2024. "Study on Seasonal Permafrost Roadbed Deformation Based on Water–Heat Coupling Characteristics" Buildings 14, no. 9: 2710. https://doi.org/10.3390/buildings14092710
APA StyleLu, B., Zhao, W., Li, S., Dong, M., Xia, Z., & Shi, Y. (2024). Study on Seasonal Permafrost Roadbed Deformation Based on Water–Heat Coupling Characteristics. Buildings, 14(9), 2710. https://doi.org/10.3390/buildings14092710

