Static and Seismic Safety of the Inclined Tower of Portogruaro: A Preliminary Numerical Approach
Abstract
1. Introduction
2. The Tower of Portogruaro
2.1. Geometry
2.2. Inclination Trend
2.3. Masonry Material
2.4. Case Study Scenarios
3. Simplified Numerical Simulations
3.1. Section Capacity According to the Italian Guidelines for Culturally Built Heritage
3.2. Corrected Section Capacity
3.3. Tower Discretization and Preliminary Capacity Estimation
3.4. Simplified Seismic Risk Estimation
4. FE Numerical Simulation
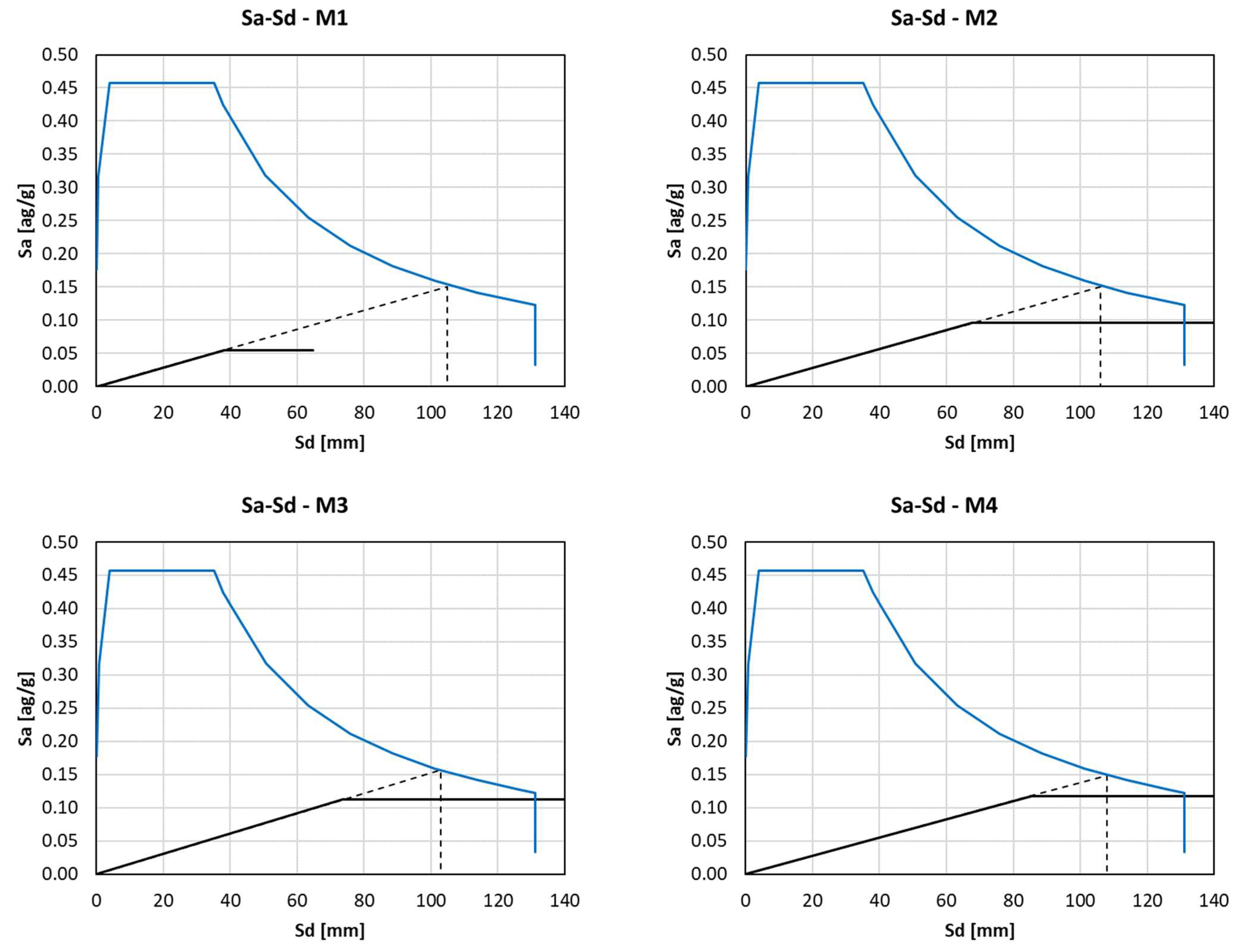
4.1. Capacity Curves
4.2. Damage Pattern Analysis
4.3. Preliminary Seismic Risk Estimation
5. Conclusions
- Masonry towers are very slender, which causes the concentration of very high compressive stresses at the base. Based on the ratio between the average stresses and the masonry’s compressive strength, the section’s capacity to resist lateral forces drops rapidly. According to the current guideline [28], a similar case is not explicitly described to what was described and what was encountered in this study.
- The assumed and achieved level of knowledge adopted for slender masonry towers is a complex problem because it influences the estimation of structural safety much more than a random structure. A lower level of knowledge adopted for simplified analyses underestimates the capacity, while for advanced simulations, it imposes the activation of complex failure patterns.
- A better masonry material in terms of mechanical properties results in the activation of classic failure patterns, i.e., a horizontal plane and an inclined plane with 45° located at the base of the tower.
- Poor masonry materials in combination with inclination are prone to activating complex failure patterns in combination of compression, tension, and shear. Diagonal cracking is prone to happen in compressed faces, passing through the opening. A detachment of the compressed face is probable to occur due to the activation of vertical cracks in tension.
- The seismic performance of Portogruaro Tower is strongly influenced by the material properties assumed. From a preliminary estimation, the seismic vulnerability varies from 10% to 60% based on the assumed analysis approach. This indicates the necessity and importance of implementing advanced studies for similar complex cases.
Funding
Data Availability Statement
Acknowledgments
Conflicts of Interest
References
- Taliercio, A. Closed-Form Expressions for the Macroscopic in-Plane Elastic and Creep Coefficients of Brick Masonry. Int. J. Solids Struct. 2014, 51, 2949–2963. [Google Scholar] [CrossRef]
- Bamonte, P.; Cardani, G.; Condoleo, P.; Taliercio, A. Crack Patterns in Double-Wall Industrial Masonry Chimneys: Possible Causes and Numerical Modelling. J. Cult. Herit. 2021, 47, 133–142. [Google Scholar] [CrossRef]
- Bru, D.; Reynau, R.; Baeza, F.J.; Ivorra, S. Structural Damage Evaluation of Industrial Masonry Chimneys. Mater. Struct./Mater. Constr. 2018, 51, 34. [Google Scholar] [CrossRef]
- D’Altri, A.M.; Milani, G.; de Miranda, S.; Castellazzi, G.; Sarhosis, V. Stability Analysis of Leaning Historic Masonry Structures. Autom. Constr. 2018, 92, 199–213. [Google Scholar] [CrossRef]
- Milani, G.; Shehu, R.; Valente, M. Role of Inclination in the Seismic Vulnerability of Bell Towers: FE Models and Simplified Approaches. Bull. Earthq. Eng. 2017, 15, 1707–1737. [Google Scholar] [CrossRef]
- Angelillo, M.; Bortot, A.; Olivieri, C. The Corner Tower of Anagni Cathedral: Geometry and Equilibrium. Nexus Netw. J. 2023, 25, 341–349. [Google Scholar] [CrossRef]
- García-González, E.; Saura-Gómez, P.; Pérez-Sánchez, V.R. Geometry in 18th Century Bell Towers in Bajo Segura, Spain. Buildings 2022, 12, 256. [Google Scholar] [CrossRef]
- López-Patiño, G.; Adam, J.M.; Gimeno, P.V.; Milani, G. Causes of Damage to Industrial Brick Masonry Chimneys. Eng. Fail. Anal. 2017, 74, 188–201. [Google Scholar] [CrossRef]
- Gönen, S.; Soyöz, S. Reliability-Based Seismic Performance of Masonry Arch Bridges. Struct. Infrastruct. Eng. 2022, 18, 1658–1673. [Google Scholar] [CrossRef]
- Pouraminian, M. Multi-Hazard Reliability Assessment of Historical Brick Minarets. J. Build. Pathol. Rehabil. 2022, 7, 10. [Google Scholar] [CrossRef]
- Poiani, M.; Gazzani, V.; Clementi, F.; Milani, G.; Valente, M.; Lenci, S. Iconic Crumbling of the Clock Tower in Amatrice after 2016 Central Italy Seismic Sequence: Advanced Numerical Insight. Procedia Struct. Integr. 2018, 11, 314–321. [Google Scholar] [CrossRef]
- Işık, E.; Avcil, F.; Harirchian, E.; Arkan, E.; Bilgin, H.; Özmen, H.B. Architectural Characteristics and Seismic Vulnerability Assessment of a Historical Masonry Minaret under Different Seismic Risks and Probabilities of Exceedance. Buildings 2022, 12, 1200. [Google Scholar] [CrossRef]
- Bartoli, G.; Betti, M.; Monchetti, S. Seismic Risk Assessment of Historic Masonry Towers: Comparison of Four Case Studies. J. Perform. Constr. Facil. 2017, 31, 4017039. [Google Scholar] [CrossRef]
- Pineda, P. Collapse and Upgrading Mechanisms Associated to the Structural Materials of a Deteriorated Masonry Tower. Nonlinear Assessment under Different Damage and Loading Levels. Eng. Fail. Anal. 2016, 63, 72–93. [Google Scholar] [CrossRef]
- Ferretti, D.; Bažant, Z.P. Stability of Ancient Masonry Towers: Moisture Diffusion, Carbonation and Size Effect. Cem. Concr. Res. 2006, 36, 1379–1388. [Google Scholar] [CrossRef]
- Salvatori, L.; Marra, A.M.; Bartoli, G.; Spinelli, P. Probabilistic Seismic Performance of Masonry Towers: General Procedure and a Simplified Implementation. Eng. Struct. 2015, 94, 82–95. [Google Scholar] [CrossRef]
- Riva, P.; Perotti, F.; Guidoboni, E.; Boschi, E. Seismic Analysis of the Asinelli Tower and Earthquakes in Bologna. Soil Dyn. Earthq. Eng. 1998, 17, 525–550. [Google Scholar] [CrossRef]
- Ferrante, A.; Clementi, F.; Milani, G. Dynamic Behavior of an Inclined Existing Masonry Tower in Italy. Front. Built. Environ. 2019, 5, 33. [Google Scholar] [CrossRef]
- Usta, P. Assessment of Seismic Behavior of Historic Masonry Minarets in Antalya, Turkey. Case Stud. Constr. Mater. 2021, 15, e00665. [Google Scholar] [CrossRef]
- Sarhosis, V.; Milani, G.; Formisano, A.; Fabbrocino, F. Evaluation of Different Approaches for the Estimation of the Seismic Vulnerability of Masonry Towers. Bull. Earthq. Eng. 2017, 16, 1511–1545. [Google Scholar] [CrossRef]
- Preciado, A.; Bartoli, G.; Ramírez-Gaytán, A. Earthquake Protection of the Torre Grossa Medieval Tower of San Gimignano, Italy by Vertical External Prestressing. Eng. Fail. Anal. 2017, 71, 31–42. [Google Scholar] [CrossRef]
- Preciado, A. Seismic Vulnerability and Failure Modes Simulation of Ancient Masonry Towers by Validated Virtual Finite Element Models. Eng. Fail. Anal. 2015, 57, 72–87. [Google Scholar] [CrossRef]
- Milani, G.; Shehu, R.; Valente, M. A Kinematic Limit Analysis Approach for Seismic Retrofitting of Masonry Towers through Steel Tie-Rods. Eng. Struct. 2018, 160, 212–228. [Google Scholar] [CrossRef]
- NTC. Aggiornamento Delle “Norme Tecniche per Le Costruzioni”—NTC 2018. Gazz. Uff. Della Repubb. Ital. 2018, 372. [Google Scholar]
- NTC. Istruzioni per L’Applicazione Dell’«Aggiornamento Delle “Norme Tecniche per Le Costruzioni”». Gazz. Uff. Della Repubb. Ital. 2019, 35, 337. [Google Scholar]
- EN 1998-6; EC-8-P-6 Eurocode 8: Design of Structures for Earthquake Resistance—Part 6: Towers, Masts and Chimneys. The European Committee for Standardization: Brussels, Belgium, 2014; Volume 3.
- EN 1996-1; EC-6-P-3 Eurocode 6—Design of Masonry Structures—Simplified Calculation Methods for Unreinforced Masonry Structures. The European Committee for Standardization: Brussels, Belgium, 2005.
- DPCM Linee Guida per La Valutazione e La Riduzione Del Rischio Sismico Del Patrimonio Culturale Con Riferimento Alle Norme Tecniche per Le Costruzioni Di Cui al Decreto Del M.I.T Del (2008) 2011. Available online: https://cultura.gov.it/comunicato/linee-guida-per-la-valutazione-e-riduzione-del-rischio-sismico-del-patrimonio-culturale-allineate-alle-nuove-norme-tecniche-per-le-costruzioni-d-m-14-gennaio-2008 (accessed on 20 August 2024).
- Foti, D. A New Experimental Approach to the Pushover Analysis of Masonry Buildings. Comput. Struct. 2015, 147, 165–171. [Google Scholar] [CrossRef]
- Bocciarelli, M.; Barbieri, G. A Numerical Procedure for the Pushover Analysis of Masonry Towers. Soil Dyn. Earthq. Eng. 2017, 93, 162–171. [Google Scholar] [CrossRef]
- Milani, G.; Shehu, R.; Valente, M. Seismic Assessment of Masonry Towers by Means of Nonlinear Static Procedures. Procedia Eng. 2017, 199, 266–271. [Google Scholar] [CrossRef]
- Habieb, A.B.; Valente, M.; Milani, G. Effectiveness of Different Base Isolation Systems for Seismic Protection: Numerical Insights into an Existing Masonry Bell Tower. Soil Dyn. Earthq. Eng. 2019, 125, 105752. [Google Scholar] [CrossRef]
- Valente, M.; Milani, G. Non-Linear Dynamic and Static Analyses on Eight Historical Masonry Towers in the North-East of Italy. Eng. Struct. 2016, 114, 241–270. [Google Scholar] [CrossRef]
- Trešnjo, F.; Humo, M.; Casarin, F.; Ademović, N. Experimental Investigations and Seismic Assessment of a Historical Stone Minaret in Mostar. Buildings 2023, 13, 536. [Google Scholar] [CrossRef]
- Kouris, E.G.; Kouris, L.A.S.; Konstantinidis, A.A.; Karayannis, C.G.; Aifantis, E.C. Assessment and Fragility of Byzantine Unreinforced Masonry Towers. Infrastructures 2021, 6, 40. [Google Scholar] [CrossRef]
- Balić, I.; Smoljanović, H.; Trogrlić, B.; Munjiza, A. Seismic Analysis of the Bell Tower of the Church of St. Francis of Assisi on Kaptol in Zagreb by Combined Finite-Discrete Element Method. Buildings 2021, 11, 373. [Google Scholar] [CrossRef]
- Wang, P.; Milani, G. Specialized 3D Distinct Element Limit Analysis Approach for a Fast Seismic Vulnerability Evaluation of Massive Masonry Structures: Application on Traditional Pagodas. Eng. Struct. 2023, 282, 115792. [Google Scholar] [CrossRef]
- Milani, G.; Shehu, R.; Valente, M. Seismic Vulnerability of Leaning Masonry Towers Located in Emilia-Romagna Region, Italy:FE Analyses of Four Case Studies. In Proceedings of the International Conference of Computational Methods in Sciences and Engineering 2016 (ICCMSE 2016), Athens, Greece, 17–20 March 2016; AIP Conference Proceedings. Volume 1790. [Google Scholar]
- Shehu, R.; Diana, V.; Casolo, S.; Milani, G.; Bergamo, O. Seismic Assessment of a Venetian Bell Tower Taking into Account Soil-Structure Interaction. In Proceedings of the International Masonry Society Conferences, Milan, Italy, 9–11 July 2018. [Google Scholar]
- Shehu, R. Implementation of Pushover Analysis for Seismic Assessment of Masonry Towers: Issues and Practical Recommendations. Buildings 2021, 11, 71. [Google Scholar] [CrossRef]
- Shehu, R. Preliminary Assessment of the Seismic Vulnerability of Three Inclined Bell-Towers in Ferrara, Italy. Int. J. Archit. Herit. 2022, 16, 485–517. [Google Scholar] [CrossRef]
- Lourénço, P.B.; De Borst, R.; Rots, J.G. A Plane Stress Softening Plasticity Model for Orthotropic Materials. Int. J. Numer. Methods Eng. 1997, 40, 4033–4057. [Google Scholar] [CrossRef]
- Roca, P.; Cervera, M.; Gariup, G.; Pela, L. Structural Analysis of Masonry Historical Constructions. Classical and Advanced Approaches. Arch. Comput. Methods Eng. 2010, 17, 299–325. [Google Scholar] [CrossRef]
- Drougkas, A.; Roca, P.; Molins, C. Nonlinear Micro-Mechanical Analysis of Masonry Periodic Unit Cells. Int. J. Solids Struct. 2016, 80, 193–211. [Google Scholar] [CrossRef]
- Gambarotta, L.; Lagomarsino, S. Damage Models for the Seismic Response of Brick Masonry Shear Walls. Part II: The Continuum Model and Its Applications. Earthq. Eng. Struct. Dyn. 1997, 26, 441–462. [Google Scholar] [CrossRef]
- Lubliner, J.; Oliver, J.; Oller, S.; Oñate, E. A Plastic-Damage Model for Concrete. Int. J. Solids Struct. 1989, 25, 299–326. [Google Scholar] [CrossRef]
- Lee, J.; Fenves, G.L. Plastic-Damage Model for Cyclic Loading of Concrete Structures. Eng. Mech. 1998, 124, 892–900. [Google Scholar] [CrossRef]
- Simulia, D.S. Abaqus 6.14 Documentation 2014. Available online: http://62.108.178.35:2080/v6.14/index.html (accessed on 20 August 2024).
















| Scenario M1 | Scenario M2 | Scenario M3 | Scenario M4 |
|---|---|---|---|
| LC1 | LC2 | LC3 | LC3 |
| FC = 1.35 | FC = 1.20 | FC = 1.0 | FC = 1.0 |
| Cc = 1.0 | Cc = 1.0 | Cc = 1.0 | Cc = 1.3 |
| Scenario M1 | Scenario M2 | Scenario M3 | Scenario M4 | |||||
| LS-(Guideline) | LS-(Ne) | LS-(Guideline) | LS-(Ne) | LS-(Guideline) | LS-(Ne) | LS-(Guideline) | LS-(Ne) | |
| [kNm] | [kNm] | [kNm] | [kNm] | [kNm] | [kNm] | [kNm] | [kNm] | |
| w/o Inclination | 37,282 | 11,883 | 45,331 | 34,334 | 50,744 | 47,602 | 53,264 | 51,911 |
| w Inclination | 29,425 | 4026 | 37,474 | 26,477 | 42,887 | 39,745 | 45,407 | 44,054 |
| Sd,SLU, base/g | Sd,SLU, base/g | Sd,SLU, base/g | Sd,SLU, base/g | |||||
| w/o Inclination | 0.090 | 0.029 | 0.109 | 0.083 | 0.122 | 0.114 | 0.128 | 0.125 |
| w Inclination | 0.071 | 0.010 | 0.090 | 0.064 | 0.103 | 0.096 | 0.109 | 0.106 |
| w/o Inclination | 0.103 | 0.033 | 0.125 | 0.094 | 0.140 | 0.131 | 0.147 | 0.143 |
| w Inclination | 0.081 | 0.011 | 0.103 | 0.073 | 0.118 | 0.109 | 0.125 | 0.121 |
| Scenario1 | Scenario2 | Scenario3 | Scenario4 | |||||
| PGA = 0.118 g | LS-(Guideline) | LS-(Ne) | LS-(Guideline) | LS-(Ne) | LS-(Guideline) | LS-(Ne) | LS-(Guideline) | LS-(Ne) |
| w/o Inclination | 87% | 28% | 106% | 80% | 118% | 111% | 124% | 121% |
| w Inclination | 69% | 9% | 87% | 62% | 100% | 93% | 106% | 103% |
Disclaimer/Publisher’s Note: The statements, opinions and data contained in all publications are solely those of the individual author(s) and contributor(s) and not of MDPI and/or the editor(s). MDPI and/or the editor(s) disclaim responsibility for any injury to people or property resulting from any ideas, methods, instructions or products referred to in the content. |
© 2024 by the author. Licensee MDPI, Basel, Switzerland. This article is an open access article distributed under the terms and conditions of the Creative Commons Attribution (CC BY) license (https://creativecommons.org/licenses/by/4.0/).
Share and Cite
Shehu, R. Static and Seismic Safety of the Inclined Tower of Portogruaro: A Preliminary Numerical Approach. Buildings 2024, 14, 2611. https://doi.org/10.3390/buildings14092611
Shehu R. Static and Seismic Safety of the Inclined Tower of Portogruaro: A Preliminary Numerical Approach. Buildings. 2024; 14(9):2611. https://doi.org/10.3390/buildings14092611
Chicago/Turabian StyleShehu, Rafael. 2024. "Static and Seismic Safety of the Inclined Tower of Portogruaro: A Preliminary Numerical Approach" Buildings 14, no. 9: 2611. https://doi.org/10.3390/buildings14092611
APA StyleShehu, R. (2024). Static and Seismic Safety of the Inclined Tower of Portogruaro: A Preliminary Numerical Approach. Buildings, 14(9), 2611. https://doi.org/10.3390/buildings14092611
