Abstract
In recent years, the advancement of photovoltaic power generation technology has led to a surge in the construction of photovoltaic power stations in desert gravel areas. However, traditional equal cross-section photovoltaic bracket pile foundations require improvements to adapt to the unique challenges of these environments. This paper introduces a new type of photovoltaic bracket pile foundation named the “serpentine pile foundation” based on the principle of biomimicry. Utilizing experimental data, numerical simulation technology was employed to comprehensively investigate the pullout resistance, compressive resistance, and horizontal bearing performance of the serpentine pile foundation. Comparative analysis with traditional square and circular pile foundations revealed the serpentine pile foundation’s significant advantages in all performance indexes. The serpentine pile exhibits a significantly higher ultimate uplift bearing capacity of 70.25 kN, which is 8.56 times that of the square pile and 10.94 times that of the circular pile. This study not only offers valuable technical support for the construction of photovoltaic power plants in desert gravel areas but also holds great significance in advancing the sustainable development of the global photovoltaic industry.
1. Introduction
Given the heightened global awareness of environmental protection and the escalating energy crisis, clean energy has garnered widespread attention as a crucial alternative to traditional fossil fuels [1,2,3]. Notably, clean energy minimizes or eliminates the production of harmful substances, with solar energy emerging as a significant component due to its high renewability and broad availability [4,5,6]. The rapid technological advancements in solar power generation, particularly in photovoltaic technology [7,8,9], have been remarkable in recent years. However, the safe and cost-effective operation of photovoltaic power plants hinges significantly on the strategic design of their foundational infrastructure, specifically the photovoltaic (PV) racking pile foundation [10,11,12,13].
As the primary load-bearing element of the photovoltaic system, the PV racking pile foundation supports the system’s weight and external loads while also impacting the overall construction cost due to its substantial quantity [14,15]. Particularly in desert and gravel geologic regions [16,17] abundant in solar energy resources, characterized by coarse-grained sandy soil with high water permeability [18,19] and loose consistency [20,21], traditional PV bracket pile foundations (square pile [22] and round pile [23]) face challenges despite their high compressive strength and cost-effectiveness. Optimization efforts for photovoltaic support foundations tailored to specific land qualities have been conducted both domestically and internationally. Guangming Li (2021) [24] addressed the design and application challenges of photovoltaic support foundations in the red clay geological conditions of the southwestern karst region by optimizing a micro cast-in-place pile. Similarly, Zuoyong Li (2024) [25] investigated the critical behavioral characteristics of pile foundations in expansive soils through a series of model tests, examining settlement, axial force, and side frictional resistance. However, current optimization efforts for photovoltaic support foundations in desert sand and gravel geological conditions remain insufficient. Standard equal cross-section PV bracket pile foundations, such as square and circular piles, often struggle to meet the pullout bearing capacity requirements in desert gravel areas. Firstly, these foundations exhibit poor soil adaptability given the substantial differences in soil properties in desert gravel regions [26], resulting in insufficient bearing capacity and stability under such conditions. Secondly, the strong winds prevalent in desert areas can generate significant uplift forces [27,28,29,30], endangering the stability of conventional cross-section pile foundations. As a result, enhancing the uplift bearing capacity of photovoltaic bracket pile foundations in desert gravel areas stands as a pressing issue demanding resolution.
To address these challenges, this study introduces an innovative pile foundation for PV arrays, inspired by bionics principles, termed the precast concrete serpentine pile foundation for PV arrays (referred to as “serpentine pile”). Bionic piles emulate the structure and functionality of living organisms in nature, offering novel insights for pile foundation design. Snakes, for instance, leverage the anisotropic friction between their transversely aligned abdominal scales and the soil to exhibit flexible movement, providing them with robust resistance to pullout forces [31]. Drawing from this concept, the serpentine piles are engineered with distinct friction characteristics during pile installation and extraction. Specifically, the friction coefficient between the serpentine piles and the soil greatly exceeds that between the piles themselves during extraction, enhancing the pullout resistance capacity of the piles.
To comprehensively evaluate the performance of the serpentine pile foundation for photovoltaic structures, this research initially conducts indoor geotechnical experiments to measure the physical properties of desert gravel soil and large direct shear tests to determine its shear strength parameters. These findings lay a crucial foundation for subsequent numerical simulations. Subsequently, numerical simulation techniques are employed to investigate the pullout, compressive, and lateral bearing capacities of serpentine piles. Through modeling the interaction between the piles and soil under varying load conditions, the study scrutinizes and contrasts the bearing capabilities of the serpentine pile with those of conventional square and circular piles. The goal of this research is to present innovative strategies for addressing challenges in PV bracket pile foundations in desert gravel regions through the development of this novel PV bracket pile foundation. This work not only holds significant implications for enhancing the safety and cost-effectiveness of PV power plants but also contributes positively to the advancement of the PV industry in desert gravel geological settings.
2. Materials and Methods
2.1. Test Material
Gravel samples obtained from a photovoltaic industrial park in Qinghai Province’s desert region were subjected to testing to determine their physical property indexes, aiming to furnish authentic and dependable data for subsequent numerical simulations. Essential physical metrics are presented in Table 1.
Table 1.
Basic physical indicators of soil samples.
The pile material under consideration is C40 concrete, and the corresponding material parameters are detailed in Table 2.
Table 2.
C40 concrete material parameters.
2.2. Direct Shear Test of Sand and Gravel
The gravel specimens analyzed in this study are classified as coarse-grained sandy soil based on their particle size. Given the characteristics of this soil type, the direct shear experiment utilizing such soil necessitates specific dimensions [32,33]: the shear box side length should range from 8 to 12 times the maximum particle size, while the total height of the upper and lower shear box should be within 4 to 8 times the maximum particle size [34]. Therefore, a large-scale direct shear experiment, referred to as the “large direct shear experiment”, employing an appropriate instrument is essential for testing desert gravel. Two kinds of shear interfaces were designed for the large direct shear experiment: the sand–sand interface and the sand–concrete interface. The sand–sand interface involved each layer of soil samples with a thickness of 10 cm, whereas the sand–concrete interface consisted of bottom and top layers of soil samples with thicknesses of 15 cm and 10 cm, respectively [35]. These samples were prepared at their natural density to obtain the shear strength parameters for the two types of interfaces, aiming to yield dependable data for subsequent numerical simulations. Soil strength, density, and moisture content can significantly influence the pullout, compressive, and horizontal bearing performance of pile foundations. To mitigate this uncertainty, we carefully selected soil samples from a homogeneous region and conducted multiple tests to ensure reproducibility. Additionally, we conducted multiple tests with different soil samples and loading conditions to ensure reproducibility and identify any potential outliers. We used high-precision instrumentation to minimize measurement errors and implemented rigorous data acquisition and processing protocols. The large direct shear instrument and the arrangement of the concrete slab in the lower shear box are depicted in Figure 1a and Figure 1b, respectively.
Figure 1.
(a) Large-scale straight shear instrument. (b) The arrangement of the concrete slab in the lower shear box.
2.3. Numerical Simulation of the Pile Foundation
The ABAQUS software is widely utilized both domestically and internationally for numerical simulations due to its robust computational capabilities, catering to both linear and nonlinear problem analyses [36,37]. It has found extensive applications in engineering. In this study, the serpentine pile foundation of the PV bracket is a variable section concrete pile with intricate contact settings and material properties. Consequently, ABAQUS is employed for the numerical simulations.
2.3.1. Bracket Size
The PV (photovoltaic) bracket’s serpentine pile foundation consists of a combination of three concrete rectangular bodies and two concrete prismatic bodies, with the serpentine body representing the variable cross-section part. The three views are presented in Figure 2.
Figure 2.
Three views (unit: mm).
Based on the actual engineering data from the sampling site of the photovoltaic power station, this paper selects the precast C40 concrete square pile measuring 200 mm × 200 mm × 2000 mm as the reference. The geometrical parameters of the circular pile and the serpentine pile are determined based on the principle of “equal volume of concrete”, ensuring that the volume of concrete used in the piles is essentially the same. This enables a direct comparison of the load-bearing capacity of each pile. Subsequently, the engineering economy of each pile can be assessed by directly comparing their bearing capacities. The material for the square and round piles is C40 concrete, with the material parameters detailed in Table 2 and the geometric parameters in Table 3.
Table 3.
Geometric parameters of each pile.
2.3.2. Modeling Assumptions
In this paper, the numerical modeling is based on the following fundamental assumptions [38]: ➀ The soil body is considered continuous and homogeneous. ➁ The PV bracket pile foundation remains undamaged during the driving-in process. ➂ The driving of the PV bracket pile foundation does not alter the physical and mechanical properties of the soil surrounding the pile.
2.3.3. Determination of the Constitutive Model
This paper employs the Mohr–Coulomb model to represent the elastic-plastic behavior of soil. The “concrete damage plasticity” model within the ABAQUS software is adopted to simulate the elastic-plastic properties of C40 concrete [39,40]. This model allows the C40 concrete to transition into a plastic yield state once the stress surpasses the elastic limit while still maintaining a certain level of load-bearing capacity. In the numerical simulation, the C40 concrete is defined with an expansion angle of 30°, an eccentricity of 0.1, and a viscosity coefficient of 1 × 10−4 [41,42,43].
2.3.4. Grid Division
The model grid division is shown in Figure 3.
Figure 3.
Grid division of each model. (a) Square pile. (b) Round pile. (c) Serpentine pile. (d) Soil around square pile. (e) Soil around circular pile. (f) Soil around serpentine pile.
2.3.5. Analysis Steps
The analysis in this paper consists of two main steps: geostress analysis and static analysis. The geostress analysis step serves to simulate the geostress of the model, while the static analysis step applies loads. Initially, the geostress analysis step is conducted to achieve geostress equilibrium in the model. Subsequently, the specific type of the static analysis step is determined based on the load application requirements. By ensuring stress balance, the final settlement of the soil is attributed to external loads.
2.3.6. Contact Condition Setting
The interaction between the pile and the soil is defined as “surface-to-surface contact”. The pile’s stiffer surface is considered the primary surface, whereas the soil surface is denoted as the slave surface. “Finite slip” is the designated slip formula. The friction coefficient between the pile and the soil is determined through large straight shear testing. The contact behavior allows the two surfaces to separate upon contact defined by normal behavior, with “hard contact” chosen simultaneously.
2.3.7. Boundary Condition Setting
The boundary condition type is “displacement/rotation angle”. The bottom of the soil body is constrained from displacements in the x, y, and z directions. The sides of the soil body in the x-direction are restrained from displacements in the x-direction, while those in the y-direction are restrained from displacements in the y-direction.
2.3.8. Load Application
Loading entails applying pressure to the surfaces being loaded. For uplift loads, each load size is 2 kN with a corresponding pressure of 0.05 MPa. Pressure loads are set at 10 kN with a corresponding pressure of 0.25 MPa. Horizontal loads are applied in the x-positive direction at 2 kN each. The loading details for different pile types are specified, such as square pile, serpentine pile, and circular pile, with corresponding pressures and load sizes detailed accordingly. The loading configurations are depicted in Figure 4. Regarding stress distribution under different load conditions, the following apply:
Figure 4.
Schematic diagram of the load application and stress path of each pile.
- When the pile experiences tension or compression, due to load symmetry, the stress paths exhibit similar behavior. For compression or tension analysis of the pile’s bearing characteristics, stress paths 1, 2, and 3 are extracted to characterize the stress distribution along the pile body.
- Under horizontal load, the pile body segregates into tension and compression sides due to stress variation. In this scenario, stress paths 1, 2, and 3 detail the tension side stress distribution, while paths 4, 5, and 6 characterize the compression side stress distribution, as depicted by the yellow line in Figure 4.
3. Results and Discussion
3.1. Direct Shear Test of Sand and Gravel
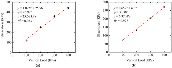
The shear strength versus positive stress curves for the sand–sand interface are depicted in Figure 5a, while those for the sand–concrete interface are presented in Figure 5b. The R2 values for each curve exceed 0.98, indicating a strong fit. The cohesion and internal friction angle values are illustrated in Figure 5.
Figure 5.
Shear strength-positive stress fit curve. (a) Sand–sand interface. (b) Sand–concrete interface.
3.2. Comparative Analysis of Numerical Simulation Results for Various Piles
3.2.1. Uplift Bearing Capacity
In Figure 6, the load–displacement curves and ultimate uplift bearing capacities of different pile types are compared under uplift loads. Square piles exhibit a slightly higher ultimate uplift bearing capacity than round piles, but both fall below 30 kN, failing to meet the necessary standard. Conversely, the serpentine pile showcases an ultimate uplift bearing capacity of 70.25 kN, surpassing that of the square pile by 8.56 times and the round pile by 10.94 times.
Figure 6.
Load–displacement curve and ultimate tensile capacity of each pile. (a) Load–displacement curve. (b) Ultimate uplift capacity.
Figure 7a displays the vertical displacement changes at the pile top as the uplift load increases from 0 kN to 6 kN for the three pile types. The soil displacement around the piles at a 6 kN uplift load is also depicted. Notably, under equal uplift loads, the vertical displacements at the tops of square and round piles are comparable and exceed that of the serpentine pile. Specific values at 6 kN reveal a vertical displacement of 0.151 mm for the square pile, 0.150 mm for the round pile, and only 0.075 mm for the serpentine pile. The vertical displacements at the tops of square and round piles are roughly double that of the serpentine pile due to the anchoring effect of its corrugated body impeding upward displacement.
Figure 7.
Diagram of displacement under uplift load. (a) Pile top displacement diagram. (b) Pile perimeter displacement diagram.
In Figure 7b, it is observed that under a 6 kN uplift load, the soil surrounding all piles experiences upward displacement, decreasing with distance from the pile surface. The corrugated pile induces the largest soil displacement at the same distance from the pile surface, followed by the square pile, and then the round pile. The corrugated body’s anchoring in the soil causes it to displace the surrounding soil upwards when subjected to uplift loads, resulting in greater soil displacement compared to the square and round piles, which exert weaker drag forces on the surrounding soil.
The stress distribution analysis under a 6 kN uplift load focuses on extracting stress along paths 1, 2, and 3 as illustrated in Figure 8. In square and round piles, the stress path primarily exhibits tensile stress with a curved profile along the pile shaft. At the pile top, the maximum tensile stress registers at 0.15 MPa, while the minimum occurs at the pile bottom, measuring 0 MPa. Contrastingly, the stress path of serpentine piles manifests both tensile and compressive stresses. The stress pattern is distinctive: the upper rectangular body mainly experiences tensile stress. Within the 0–500 mm range from the pile top, the magnitude of tensile stress aligns closely with that observed in square and round piles. Noteworthy is the sudden surge in tensile stress about 500 mm from the top, peaking at 0.24 MPa. Subsequent to this peak, the tensile stress diminishes, transitioning to compressive stress upon interfacing with the upper serpentine body. The upper edge of the upper serpentine body endures a peak compressive stress at 0.44 MPa, tapering towards stabilization within the middle rectangular body. The pattern continues with a gradual decrease in compressive stress at the bottom of the middle rectangular body until encountering the lower serpentine body. Elevated compressive stress peaks at the upper edge of the lower serpentine body at 0.15 MPa before diminishing towards the lower rectangular body. Notably, the lower rectangular body experiences a continuous downward increase in compressive stress along the pile shaft, culminating in approximately 0.23 MPa at the pile bottom. The presence of compressive stress in serpentine piles stems from the soil’s downward reaction force on the upper serpentine body when subjected to uplift loads. This compression effect cascades through the upper and lower snake skin bodies, introducing compressive stress within the pile body.
Figure 8.
Stress distribution on the stress path of each pile under 6 kN load.
The longitudinal sectional view in Figure 9 elucidates the stress distribution under tensile limit conditions for each pile type. Notably, when the piles approach the limit state under uplift loads: the tensile and compressive stresses within square and round piles fall below the design thresholds for concrete tensile or compressive strength. This shortfall is attributed to insufficient friction between the pile and the surrounding soil, causing the pile to uplift. In contrast, the serpentine pile demonstrates tensile failure as the tensile stress at the bottom of the upper rectangular body reaches the concrete’s design tensile strength limit.
Figure 9.
Profile section of stress distribution (unit: MPa). (a) Square pile. (b) Round pile. (c) Serpentine pile.
In conclusion, under tensile loading, serpentine piles exhibit superior ultimate tensile bearing capacity compared to square and round piles due to their enhanced embedment in the soil. Notably, when subject to uniform uplift loads, the minimal displacement at the top of the serpentine pile positions it as the most proficient in terms of tensile bearing performance among the three pile types.
3.2.2. Compressive Bearing Performance Analysis
The load–displacement curves and ultimate compressive bearing capacities of square piles, round piles, and serpentine piles under compressive loads are detailed in Figure 10. Square piles exhibit an ultimate compressive bearing capacity of 686.25 kN, round piles of 727.18 kN, and serpentine piles of 168.86 kN. Notably, square piles lead with the highest compressive bearing capacity, followed by round piles, while serpentine piles trail behind with the lowest value. All three pile types surpass the 36 kN threshold, meeting the stipulated requirements for compressive bearing capacity.
Figure 10.
Load–displacement curve and ultimate compressive bearing capacity diagram of each pile. (a) Load–displacement curve. (b) Ultimate uplift capacity.
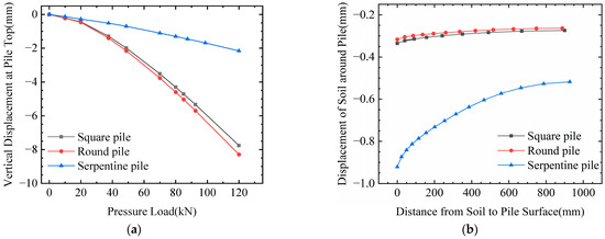
In Figure 11, the vertical displacement of the pile tops for all three pile types is showcased as the pressure load escalates from 0 kN to 120 kN, accompanied by the corresponding soil displacement at a pressure load of 120 kN.
Figure 11.
Diagram of displacement under pressure load. (a) Displacement diagram of pile top under 120 kN. (b) Soil displacement of pile under 120 kN.
In Figure 11a, as the pressure load on the pile top increases from 0 kN to 120 kN, the square pile top’s displacement slightly undercuts that of the round pile under similar pressure loads, yet surpasses the displacement of the serpentine pile. At 120 kN, the serpentine pile top records a displacement of −2.1 mm, the square pile top at −7.9 mm, and the round pile top at −8.1 mm. Notably, the displacement at the tops of square and round piles is approximately four times that of the serpentine pile top under the same load.
Figure 11b illustrates the downward soil displacement around each pile at 120 kN, decreasing with distance from the pile surface. In proximity to the pile, the soil surrounding the serpentine pile experiences the greatest downward displacement of −0.93 mm, surpassing the square pile at −0.34 mm and the round pile at −0.33 mm. This divergence is attributed to the serpentine pile’s greater soil disturbance causing increased soil displacement around the pile.
Stress data extracted for Path 1, Path 2, and Path 3 under a 120 kN pressure load are illustrated in Figure 12, with the figure indicating the location of the serpentine pile corresponding to each path.
Figure 12.
Stress distribution diagram on the stress path of each pile under 120 kN.
For square and round piles, the stress paths primarily exhibit compressive stresses, sharing similar distribution patterns characterized by gradual descent followed by a sharp increase. In square piles, compressive stress hovers around 3 MPa within 0–1800 mm from the pile top before spiking sharply to about 4.8 MPa towards the bottom. Round piles follow a comparable trend, maintaining approximately 3 MPa up to 1800 mm from the top and surging to around 3.8 MPa downwards. Beyond 1800 mm from the pile top, stress concentration triggers a sudden rise in compressive stress at the bottom edges of square and round piles.
Conversely, the stress path of the serpentine pile showcases both compressive and tensile stresses, with compression prevailing. The upper rectangular body primarily experiences compressive stress, with a sudden surge to a peak of 4.11 MPa approximately 500 mm below the top before declining. Tension emerges at the transition points with the snake skin bodies, culminating in the first tensile stress peak at the upper edge of the upper serpentine body at 1.19 MPa. Tensile stress gradually transitions to compression as depth increases, stabilizing in the middle rectangular body before another sudden compressive stress peak towards the bottom. The lower sections exhibit increasing compressive stress, reaching about 2.05 MPa at the pile base. The tensile stress within the serpentine pile emerges as the serpentine body impedes downward pile movement under pressure loads, causing the surrounding soil to exert upward reactions on the serpentine body. This results in tensile stress at the edges of the serpentine body due to stress shifts at cross-section transitions.
As shown in Figure 13, when each pile reaches the limit state the compressive stress at the bottom of the square and round piles reaches the design value of concrete compressive strength, and the pile body is damaged under pressure. Notably, while the maximum compressive stress in the serpentine pile shaft remains below the concrete design threshold, the tensile stress at the upper and lower serpentine body edges reaches the concrete tensile strength limit, causing tensile failure in the pile shaft. Conclusively, under pressure loads, serpentine piles exhibit superior compressive bearing performance compared to square and round piles due to the optimized utilization of concrete’s compressive bearing capacity. Despite having a lower ultimate compressive bearing capacity, serpentine piles meet the requirements (>36 kN) and experience minimal top displacement under identical pressure loads, highlighting their superior performance in compressive bearing conditions among the three pile types.
Figure 13.
Stress distribution diagram of each pile under pressure (unit: MPa). (a) Square pile. (b) Round pile. (c) Serpentine pile.
3.2.3. Horizontal Bearing Capacity Assessment
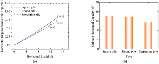
Figure 14 showcases the load–displacement curve and ultimate horizontal bearing capacity of three types of piles under horizontal loads. The ultimate horizontal bearing capacity is 14.22 kN for square piles, 13.92 kN for round piles, and 11.42 kN for serpentine piles. Notably, square piles exhibit the highest ultimate horizontal bearing capacity, followed by round piles, with serpentine piles having the lowest. All three pile types surpass the 7 kN threshold, meeting the prescribed horizontal bearing capacity requirements.
Figure 14.
Load–displacement curve and ultimate horizontal bearing capacity of each pile under horizontal load. (a) Load–displacement curve. (b) Ultimate horizontal capacity.
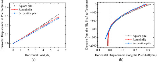
Figure 15 illustrates the horizontal displacement variations at the tops of the three piles as the horizontal load gradually increases from 0 kN to 6 kN, along with the horizontal displacement along each pile shaft at 6 kN.
Figure 15.
Displacement of pile body under horizontal load. (a) Horizontal displacement of pile top under 0~6 kN. (b) Horizontal displacement of pile body under 6 kN.
In Figure 15a, as the horizontal load on the piles escalates from 0 to 6 kN, under identical loads, the square pile’s top showcases the largest horizontal displacement, followed by the round pile, with the serpentine pile exhibiting the smallest displacement. At a 6 kN load, the horizontal displacement at the top of the square pile measures 0.31 mm, the round pile at 0.29 mm, and the serpentine pile at 0.28 mm.
In Figure 15b, at a 6 kN horizontal load, all piles exhibit both positive and negative displacements due to their substantial stiffness, causing them to rotate in the vertical plane under the horizontal load. This rotation leads to negative displacement below the rotation point. Within the range of 0–1125 mm from the pile top, the square pile records the largest horizontal displacement, followed by the round pile, and finally the serpentine pile. In the span from 1125 mm from the top to the pile base, the serpentine pile displays the largest horizontal displacement, trailed by the square pile, and then the round pile.
Upon extracting stress data from Path 1, Path 2, and Path 3 under a 6 kN horizontal load, the stress distribution on the tensile side of the pile is depicted in Figure 16. Key findings under the horizontal load include the following:
Figure 16.
Stress distribution diagram of the tensile side of each pile under 6 kN.
- (1)
- Square and round piles predominantly exhibit tensile stress on their respective tensile sides, with emergent compressive stress at the pile base. The stress distribution forms a curved pattern along the pile length, escalating before tapering off. Notably, for square piles, the highest tensile stress is observed around 600 mm from the pile top, measuring 1.18 MPa; likewise, in round piles, the peak tensile stress is at approximately 620 mm from the top, measuring 1.27 MPa.
- (2)
- The tensile side of the serpentine pile features a blend of tensile and compressive stresses, with tensile stress prevailing. Progressing along the upper cuboid, tensile stress follows an ascending curve within 0–500 mm from the top, aligning closely with the square pile’s stress path. Noteworthy is the abrupt increase to a peak of 1.54 MPa at 500 mm from the top, followed by a gradual transition into compressive stress. The upper edge of the upper snake skin exhibits a peak lateral compressive stress of 0.49 MPa before transforming into gradually increasing tensile stress. Successive peaks and transitions occur at specific junctures within the pile structure, culminating in a gradual shift from tensile to compressive stress towards the lower cuboid. The longitudinal assessment concludes with a gradual transformation of tensile stress into compressive stress, culminating in a stress value of 0.28 MPa at the pile bottom.
Upon examining stress data on Path 4, Path 5, and Path 6 under a 6 kN horizontal load and analyzing the stress distribution on the compression side of the pile, as depicted in Figure 17, several key findings emerge:
Figure 17.
Stress distribution of pile compression side under 6 kN.
- (1)
- The compression side of both square and circular piles experiences compressive stress, characterized by a curve along the pile’s length that rises before tapering off. Notably, square piles showcase a maximum compressive stress of 1.24 MPa around 600 mm from the pile top, akin to circular piles where a similar peak of 1.34 MPa occurs at the same distance. Symmetry can be observed in the stress distribution between the tension and compression sides of circular and square piles.
- (2)
- In contrast, the compression side of the serpentine pile predominantly features compressive stress. Within the upper cuboid, compressive stress climbs gradually in the 0–500 mm range from the pile top, mirroring the stress pattern of the square pile path in this segment. Noteworthy observations include a peak value of 1.45 MPa around 500 mm from the top, followed by a decline as the stress transitions at junctions within the pile structure. Notable peaks are recorded at specific transitions, such as at the upper edge of the upper snakeskin and the middle cuboid, showcasing a peak lateral compressive stress of approximately 1.14 MPa. The overall trend includes fluctuations between compressive and slight increases in stress levels before stabilizing at the lower sections of the pile. Ultimately, the compressive stress reaches 0.38 MPa at the pile bottom. These findings underscore the varying stress distribution patterns and structural responses across different types of piles under horizontal loading conditions.
Figure 18 illustrates the longitudinal section diagram portraying the stress distribution in the pile shaft when the three types of piles approach the horizontal load limit state. Upon reaching the limit state under horizontal loading conditions, specific observations emerge for each pile type:
Figure 18.
Profile section of pile stress distribution of each pile in horizontal charge limit (unit: MPa). (a) Square pile. (b) Round pile. (c) Serpentine pile.
Square and round piles exhibit tensile failure upon reaching their design tensile strength at approximately one-third of the pile length from the top, resulting in the failure of the pile body. In contrast, the serpentine pile experiences tensile failure at the bottom of the upper cuboid, complying with the concrete design tensile strength requirements.
To summarize, when subjected to equivalent horizontal loads, serpentine piles are notably predisposed to reaching the concrete design tensile strength threshold. As a consequence, they are more susceptible to tensile failure compared to square and round piles, resulting in the lowest horizontal bearing capacity among the three pile types while still meeting engineering demands. Furthermore, the minimal horizontal displacement at the pile top further highlights the superior horizontal bearing performance characteristic of serpentine piles.
4. Discussion
The serpentine pile foundation, a groundbreaking innovation in photovoltaic support pile design, introduces a paradigm shift in addressing the unique challenges posed by desert gravel areas. By harnessing the principles of bionics, this foundation mimics the frictional mechanisms observed in snakes, leveraging the anisotropic friction between its corrugated body and the soil to significantly bolster pullout resistance. This design approach not only underscores the potential of biomimicry in engineering but also underscores the need for innovative solutions tailored to specific environmental conditions.
Beyond its primary application in desert gravel areas, the serpentine pile foundation’s innovative design principles and enhanced performance characteristics make it a versatile solution for a wide range of geotechnical challenges. In soft soil conditions, its corrugated body design offers improved soil anchoring, enhancing overall bearing capacity and stability. Coastal zones, prone to soil liquefaction and erosion, can benefit from its enhanced pullout resistance and ability to withstand lateral and uplift loads. In seismic-prone regions, the foundation’s intricate design provides additional resistance against ground movements, improving the safety and stability of supported structures. Furthermore, its superior anchoring capabilities make it an attractive option for slope stabilization projects, where resistance to lateral pressures and soil movement is crucial.
A comparative analysis with traditional pile foundations used in PV installations reveals the serpentine pile foundation’s superiority in terms of pullout resistance, bearing capacity, and adaptability to diverse environmental conditions. While traditional foundations may suffice in certain scenarios, the serpentine pile foundation’s innovative design and exceptional performance characteristics position it as the preferred choice for challenging environments, such as desert gravel areas and other geotechnically complex regions. While the serpentine pile foundation demonstrates promising performance in terms of pullout, compressive, and horizontal bearing capacities, it also presents several limitations and drawbacks that must be carefully considered in its application. The serpentine pile foundation, with its variable cross-section, poses greater manufacturing complexity compared to traditional square or circular piles. While the serpentine pile has been shown to perform well in desert gravel soils, its performance may vary significantly in different soil types or conditions. The anisotropic friction characteristics that give the serpentine pile its superior pullout resistance may be less effective in soils with lower cohesion or higher plasticity. Therefore, careful site-specific geotechnical investigations are necessary to evaluate its suitability for different soil profiles. The serpentine pile foundation is a relatively new concept, and there is limited long-term performance data available. The durability and longevity of this foundation type in extreme environments such as desert gravel areas need further investigation and validation. It is noteworthy that while the serpentine pile foundation demonstrates significant advantages in the context of desert gravel areas, its direct applicability to all types of PV plants may vary depending on the specific site conditions and design requirements. Further research and evaluations tailored to different soil types, climatic conditions, and PV system configurations are encouraged to fully explore the potential of this innovative foundation design.
The results of this research have several crucial implications for sustainable development. Firstly, the optimized serpentine pile foundation enhances the safety and stability of PV power stations in desert gravel regions, ensuring reliable energy generation over extended periods. This contributes to the reliable integration of renewable energy sources into the global energy mix, aligning with global sustainability goals. Secondly, the superior performance of the serpentine pile foundation leads to reduced maintenance requirements and potentially lower costs for PV power plants in desert environments. This cost-effectiveness can incentivize the further deployment of PV systems in such areas, fostering economic growth while mitigating the environmental impact of traditional energy sources. Moreover, the advancements in PV bracket pile foundations presented in this paper contribute positively to the overall advancement of the PV industry in challenging geological settings. As the global demand for renewable energy continues to grow, these optimizations will enable the expansion of PV power generation into previously inaccessible or underutilized regions.
In conclusion, the serpentine pile foundation represents a significant advancement in pile foundation technology, offering a versatile and effective solution for a wide range of geotechnical challenges. Its innovative design, exceptional performance characteristics, and potential applications beyond desert gravel areas underscore its importance in advancing sustainable infrastructure worldwide. Further research and development are necessary to fully explore the foundation’s capabilities and optimize its design for various environmental conditions. Ultimately, the serpentine pile foundation has the potential to revolutionize the way we approach pile foundation design and construction, leading to more resilient and sustainable infrastructure for future.
5. Conclusions
This study has comprehensively investigated the bearing characteristics of three types of photovoltaic support piles, serpentine piles, square piles, and circular piles, in desert gravel areas. Through numerical simulation methods, the load transfer principles and bearing capacities of these pile foundations under tension, compression, and horizontal loading conditions were analyzed. The key findings are summarized as follows:
- (1)
- The serpentine pile stands out as a formidable contender in the realm of pile foundations, particularly in terms of its exceptional ultimate uplift bearing capacity. Its unique geometry, which fosters greater embedment and friction with the soil, contributes significantly to its outstanding performance, achieving uplift capacities that far exceed those of square and circular piles. While its compressive and horizontal bearing capacities may not be as impressive, they nonetheless meet the necessary engineering standards, with the serpentine pile displaying remarkable resistance to displacement under pressure.
- (2)
- It is important to acknowledge, however, that this study is not without its limitations. The assumption of uniform soil properties, for instance, may not accurately reflect the variability encountered in real-world desert gravel areas. Additionally, the focus on short-term analysis leaves questions regarding the durability and reliability of the pile foundations over time.
- (3)
- To address these limitations and gain a more comprehensive understanding of the serpentine pile’s performance, future research should endeavor to conduct field experiments in desert gravel areas, implement long-term monitoring programs, and conduct a detailed economic analysis comparing the costs and benefits of the serpentine pile to traditional pile types. Such efforts will not only validate the findings of this study but also pave the way for the widespread adoption of this innovative pile foundation in a variety of engineering applications.
Author Contributions
Conceptualization, Q.W.; methodology, X.S., Z.L., Q.W., X.M. and J.L. (Jiankun Liu); software, Z.R.; validation, J.L. (Jiankun Liu); formal analysis, X.M.; investigation, J.L. (Jinxiao Li) and J.L. (Jiankun Liu); writing—original draft preparation, X.S., Q.W., X.X. and Z.R.; writing—review and editing, Z.R. and X.M.; visualization, X.S., J.L. (Jinxiao Li) and J.L. (Jiankun Liu); funding acquisition, J.L. (Jinxiao Li). All authors have read and agreed to the published version of the manuscript.
Funding
This research was funded by [Jiankun Liu] grant number [KY-C-2023-GF03] And The APC was funded by [the C-class technology project of Yellow River Company].
Data Availability Statement
The datasets generated during and/or analyzed during the current study are available from the corresponding author on reasonable request.
Conflicts of Interest
Author Xiaojun Su, Zhanhai Li, Qi Wang and Jinxiao Li were employed by the company Qinghai Yellow River Upstream Hydropower Development Co., Ltd. The remaining authors declare that the research was conducted in the absence of any commercial or financial relationships that could be construed as a potential conflict of interest.
References
- Azarpour, A.; Suhaimi, S.; Zahedi, G.; Bahadori, A. A review on the drawbacks of renewable energy as a promising energy source of the future. Arab. J. Sci. Eng. 2013, 38, 317–328. [Google Scholar] [CrossRef]
- Ellabban, O.; Abu-Rub, H.; Blaabjerg, F. Renewable energy resources: Current status, future prospects and their enabling tech-nology. Renew. Sustain. Energy Rev. 2014, 39, 748–764. [Google Scholar] [CrossRef]
- Gajdzik, B.; Wolniak, R.; Nagaj, R.; Žuromskaitė-Nagaj, B.; Grebski, W.W. The influence of the global energy crisis on energy efficiency: A comprehensive analysis. Energies 2024, 17, 947. [Google Scholar] [CrossRef]
- Kabir, E.; Kumar, P.; Kumar, S.; Adelodun, A.A.; Kim, K.-H. Solar energy: Potential and future prospects. Renew. Sustain. Energy Rev. 2018, 82, 894–900. [Google Scholar] [CrossRef]
- Kannan, N.; Vakeesan, D. Solar energy for future world: A review. Renew. Sustain. Energy Rev. 2016, 62, 1092–1105. [Google Scholar] [CrossRef]
- Ren, Z.; Liu, J.; Jiang, H.; Wang, E. Experimental study and simulation for unfrozen water and compressive strength of frozen soil based on artificial freezing technology. Cold Reg. Sci. Technol. 2023, 205, 103711. [Google Scholar] [CrossRef]
- El Chaar, L.; El Zein, N. Review of photovoltaic technologies. Renew. Sustain. Energy Rev. 2011, 15, 2165–2175. [Google Scholar] [CrossRef]
- Gul, M.; Kotak, Y.; Muneer, T. Review on recent trend of solar photovoltaic technology. Energy Explor. Exploit. 2016, 34, 485–526. [Google Scholar] [CrossRef]
- Izam, N.S.M.N.; Itam, Z.; Sing, W.L.; Syamsir, A. Sustainable development perspectives of solar energy technologies with focus on solar Photovoltaic—A review. Energies 2022, 15, 2790. [Google Scholar] [CrossRef]
- Kibriya, T.; Tahir, L. Adfreeze forces on lightly loaded pile foundations of solar PV farms in gold regions. Am. J. Civ. Eng. Archit. 2015, 3, 109–117. [Google Scholar]
- Hollman, M.R.; Pearce, J.M. Geographic potential of shotcrete photovoltaic racking: Direct and low-concentration cases. Sol. Energy 2021, 216, 386–395. [Google Scholar] [CrossRef]
- Mendes, B.; Ntambakwa, E.; Yu, H.; Rogers, M. Common Geotechnical Design Challenges for Solar Power Plant Development in the USA and Canada. In Proceedings of the Geo-Congress 2020: Geotechnical Earthquake Engineering and Special Topics (GSP 318), Minneapolis, MN, USA, 25–28 February 2020; American Society of Civil Engineers: Reston, VA, USA, 2020; pp. 898–906. [Google Scholar]
- Mikami, H.; Furukawa, S.; Okuji, T.; Takamori, K.; Taniguchi, T. Wind Resistance of a Solar Panel Mounting Structure with Partially Defective Pile Foundations. In Proceedings of the International Conference on Sustainable Civil Engineering and Architecture, Da Nang City, Vietnam, 19–21 July 2023; Springer: Berlin/Heidelberg, Germany, 2023; pp. 1597–1602. [Google Scholar]
- Wu, J.; Pu, L.; Zhai, C. A Review of Static and Dynamic p-y Curve Models for Pile Foundations. Buildings 2024, 14, 1507. [Google Scholar] [CrossRef]
- Wang, J.; Lund, P.D. Review of Recent Offshore Photovoltaics Development. Energies 2022, 15, 7462. [Google Scholar] [CrossRef]
- Zhang, Z.; Bird, A.; Zhang, C.; Dong, Z. Not all gravel deserts in northern China are sources of regionally deposited dust. Atmos. Environ. 2022, 273, 118984. [Google Scholar] [CrossRef]
- Zhang, Z.; Dong, Z.; Qian, G.; Dong, Z. Gravel-desert surface properties and their influences on the wind-erosion threshold friction velocity in North-West China. Bound. Layer Meteorol. 2021, 179, 117–131. [Google Scholar] [CrossRef]
- Zhang, Y.; Liu, Y.; Luo, H.; Chen, P.; Li, D.; Liu, E.; Yang, B. A method of calculating the bearing capacity of sand pile composite foundations in a mucky soil layer considering consolidation. Sci. Rep. 2021, 11, 16962. [Google Scholar] [CrossRef]
- Wang, X.; Geng, X.; Liu, B.; Cai, D.; Li, D.; Xiao, F.; Zhu, B.; Hua, T.; Lu, R.; Liu, F. Desert ecosystems in China: Past, present, and future. Earth-Sci. Rev. 2022, 234, 104206. [Google Scholar] [CrossRef]
- Jebur, A.A.; Atherton, W.; Alkhadar, R.M.; Loffill, E. Piles in Sandy Soil: A Numerical Study and Experimental Validation. Procedia Eng. 2017, 196, 60–67. [Google Scholar] [CrossRef]
- Khormali, F.; Monger, C. Hot desert soils-Global distribution and unique characteristics. Geoderma Reg. 2020, 23, e00330. [Google Scholar] [CrossRef]
- Zhou, J.-J.; Yu, J.-L.; Gong, X.-N.; Yann, T.-L. Field tests on behavior of pre-bored grouted planted pile and bored pile embedded in deep soft clay. Soils Found. 2020, 60, 551–561. [Google Scholar] [CrossRef]
- Nazir, A.; Nasr, A. Pullout capacity of batter pile in sand. J. Adv. Res. 2013, 4, 147–154. [Google Scholar] [CrossRef]
- Li, G.; Li, A.; Liu, Z.; Xu, D.; Song, N.; Ji, C. Optimal Design and Experimental Research of Photovoltaic Bracket Foundation in Karst Area; SPIE: Bellingham, WA, USA, 2021. [Google Scholar]
- Li, Z.; Chen, T.; Chai, Q.; Shen, D.; Wu, C. Performance Study of Casing Piles in Expansive Soil Foundations: Model Testing and Analysis. Sustainability 2024, 16, 132. [Google Scholar] [CrossRef]
- Francis, M.; Fey, M.; Prinsloo, H.; Ellis, F.; Mills, A.; Medinski, T. Soils of Namaqualand: Compensations for aridity. J. Arid. Environ. 2007, 70, 588–603. [Google Scholar] [CrossRef]
- Goudie, A.S. The History and Nature of Wind Erosion in Deserts. Annu. Rev. Earth Planet. Sci. 2008, 36, 97–119. [Google Scholar] [CrossRef]
- Yuan, B.; Chen, M.; Chen, W.; Luo, Q.; Li, H. Effect of Pile-Soil Relative Stiffness on Deformation Characteristics of the Laterally Loaded Pile. Adv. Mater. Sci. Eng. 2022, 2022, 4913887. [Google Scholar] [CrossRef]
- Tang, G.-D.; Meng, Z.-J.; Gao, Y.; Dang, X.-H. Wind-sand movement characteristics and erosion mechanism of a solar photovoltaic array in the middle of the Hobq Desert, Northwestern China. J. Mt. Sci. 2021, 18, 1340–1351. [Google Scholar] [CrossRef]
- Xiao, J.; Ye, D.; Xie, X.; Yao, Z.; Qu, J.; Liu, B. Numerical simulation of the airflow at the world’s largest concentrated solar power plant in a desert region. Sol. Energy 2022, 232, 421–432. [Google Scholar] [CrossRef]
- O’hara, K.B.; Martinez, A. Monotonic and Cyclic Frictional Resistance Directionality in Snakeskin-Inspired Surfaces and Piles. J. Geotech. Geoenviron. Eng. 2020, 146, 04020116. [Google Scholar] [CrossRef]
- Liu, J.; Lv, P.; Cui, Y.; Liu, J. Experimental study on direct shear behavior of frozen soil–concrete interface. Cold Reg. Sci. Technol. 2014, 104, 1–6. [Google Scholar] [CrossRef]
- Yan, Y.; Chang, D.; Liu, J.; Xu, A.; Zhang, M.; Xie, Y. Design and validation of a new temperature-controlled large-scale direct shear apparatus. Cold Reg. Sci. Technol. 2023, 216, 103992. [Google Scholar] [CrossRef]
- Kim, J.; Kim, G.; Lee, J. Dynamic p-y analysis method based on cone penetration test results for monopiles in sand. Soil Dyn. Earthq. Eng. 2022, 163, 107503. [Google Scholar] [CrossRef]
- Chang, D.; Yan, Y.; Liu, J.; Xu, A.; Feng, L.; Zhang, M. Micro-macroscopic mechanical behavior of frozen sand based on a large-scale direct shear test. Comput. Geotech. 2023, 159, 105484. [Google Scholar] [CrossRef]
- Yuan, W.-H.; Wang, H.-C.; Zhang, W.; Dai, B.-B.; Liu, K.; Wang, Y. Particle finite element method implementation for large deformation analysis using Abaqus. Acta Geotech. 2021, 16, 2449–2462. [Google Scholar] [CrossRef]
- Johnson, K.; Karunasena, W.; Sivakugan, N.; Guazzo, A. Modeling Pile-Soil Interaction Using Contact Surfaces. In Computational Mechanics–New Frontiers for the New Millennium; Valliappan, S., Khalili, N., Eds.; Elsevier: Oxford, UK, 2001; pp. 375–380. [Google Scholar]
- Yang, T.; Zheng, W.; Xie, Y.; Zhang, H.; Yue, X. Evaluating screw-shaft pile composite foundations in round Gravelly soil: A study using model tests and numerical simulations. Heliyon 2023, 9, e20887. [Google Scholar] [CrossRef] [PubMed]
- Wu, J.-Y.; Huang, Y. Comprehensive implementations of phase-field damage models in Abaqus. Theor. Appl. Fract. Mech. 2020, 106, 102440. [Google Scholar] [CrossRef]
- Józefiak, K.; Zbiciak, A.; Maślakowski, M.; Piotrowski, T. Numerical Modelling and Bearing Capacity Analysis of Pile Foundation. Procedia Eng. 2015, 111, 356–363. [Google Scholar] [CrossRef]
- Wang, Z.; Xu, W.; Xu, Q.; Wang, Y.; Zhu, Y. Research on Temperature Field of Cement-Mixing Pile-Reinforced Soft Soil Foundation. Buildings 2024, 14, 845. [Google Scholar] [CrossRef]
- Zhang, W.; Seylabi, E.E.; Taciroglu, E. An ABAQUS toolbox for soil-structure interaction analysis. Comput. Geotech. 2019, 114, 103143. [Google Scholar] [CrossRef]
- Spozito, R.S.; Rodrigues, E.F.C.; dos Santos, H.F.; de Oliveira, I.A.; Christoforo, A.L.; Filho, F.M.d.A.; Delalibera, R.G. Numerical Modeling of Four-Pile Caps Using the Concrete Damaged Plasticity Model. Buildings 2024, 14, 2066. [Google Scholar] [CrossRef]
Disclaimer/Publisher’s Note: The statements, opinions and data contained in all publications are solely those of the individual author(s) and contributor(s) and not of MDPI and/or the editor(s). MDPI and/or the editor(s) disclaim responsibility for any injury to people or property resulting from any ideas, methods, instructions or products referred to in the content. |
© 2024 by the authors. Licensee MDPI, Basel, Switzerland. This article is an open access article distributed under the terms and conditions of the Creative Commons Attribution (CC BY) license (https://creativecommons.org/licenses/by/4.0/).
