The Effects of Dolomite Powder Content and Type on the Yield Stress Relationship between Self-Compacting Mortar and Paste
Abstract
1. Introduction
2. Theoretical Research
2.1. Paste Yield Stress
2.2. Mortar Yield Stress
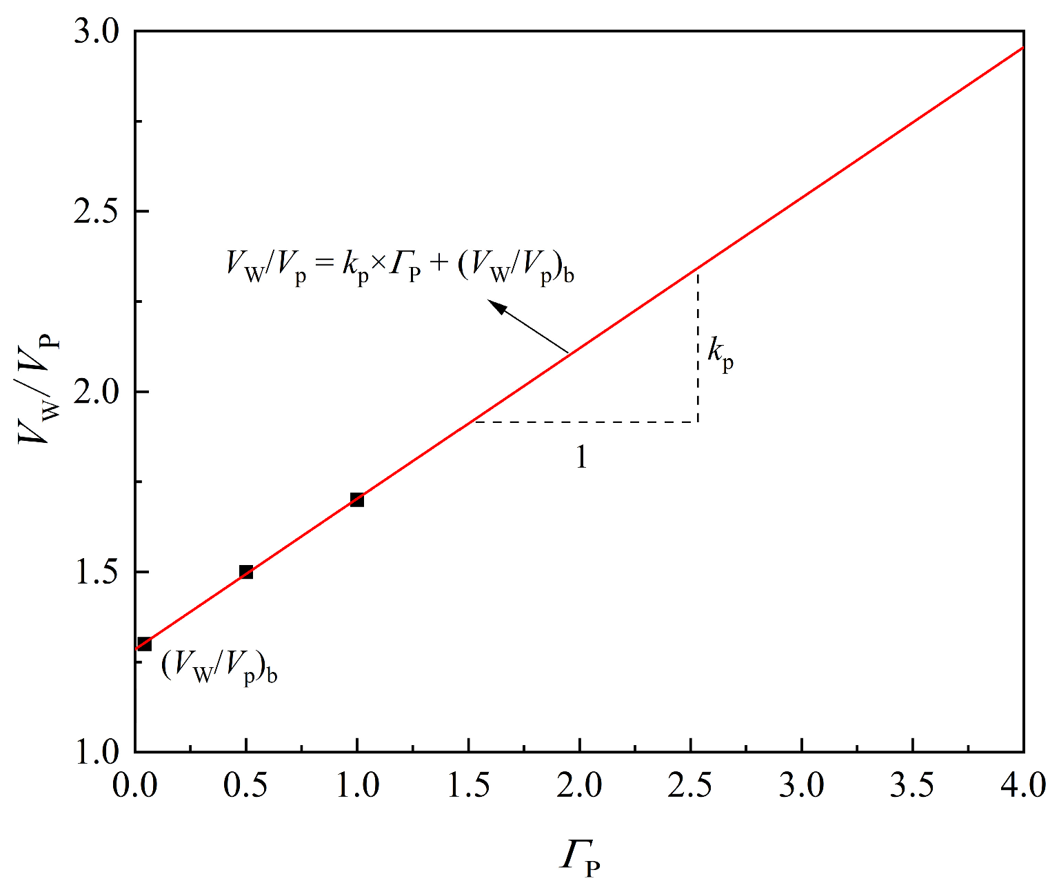
2.3. Relationship Models of Yield Stress between Mortar and Paste
3. Experimental Research
3.1. Materials
3.2. Mixture Proportions
3.3. Test Methods
3.3.1. Test Method for Paste Yield Stress
- Adjust the smooth glass plate to be parallel to the horizontal plane. Then, use a damp cloth to uniformly wipe down the glass plate, mini-slump cone, blades of the paste mixer, and paste mixing pot to ensure that their surfaces are evenly moistened without excess water residue.
- According to the ratio, DP content, and SP% value, weigh the cement, DP, water, and plasticizer required for the test; pour the weighed cement and DP into the paste mixing pot; load and start the mixer; and add the water and plasticizer after 30 s of mixing. Complete the mixing according to the preset mixing program of the paste mixer.
- Pour the mixed paste quickly into the mini-slump cone, and scrape and smooth the upper surface with a spatula. Then, lift the mini-slump cone vertically upwards at a uniform speed within 2 s to let the paste flow freely.
- Use the smartphone platform with measurement software to measure the final slump flow value () and the time required for the paste diameter to reach 200 mm (). Use a ruler to measure diameters and in two perpendicular directions of the paste.
3.3.2. Test Method for Mortar Yield Stress
- Adjust the smooth glass plate to be parallel to the horizontal plane. Then, use a damp cloth to uniformly wipe down the glass plate, mini-slump cone, blades of the mortar mixer, and mortar mixing pot to ensure that their surfaces are evenly moistened without excess water residue.
- Weigh the sand needed for the test according to the sand percentage. Then, according to the ratio, DP content, and SP% value, weigh the cement, DP, water, and plasticizer required for the test.
- Pour the weighed cement, DP, and sand into the mortar mixing pot in sequence; load and start the mixer; and add the water and plasticizer after 30 s of mixing. Complete the mixing according to the preset mixing program of the mortar mixer.
- Pour the mixed mortar quickly into the mini-slump cone, and scrape and smooth the upper surface with a spatula. Then, lift the mini-slump cone vertically upwards at a uniform speed within 2 s to let the mortar flow freely.
- Use the smartphone platform with measurement software to measure the and . Use a ruler to measure diameters and in two perpendicular directions of the mortar.
4. Results and Discussion
4.1. Basic Water Demand of Paste and Mortar
4.2. Packing Density of Paste and Mortar
4.3. Paste and Mortar Yield Stress Test Results
4.4. Optimization of the Mortar–Paste Yield Stress Relationship Exponent
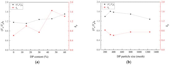
4.5. Effect of DP Particle Size on Yield Stress Relationship between Self-Compacting Mortar and Paste
4.6. Effect of DP Content on Yield Stress Relationship between Self-Compacting Mortar and Paste
5. Conclusions
- The approximate range of : The value in the predictive model for the yield stress relationship between SCM and SCP incorporating DP was roughly between 2.4 and 3.6.
- A positive linear correlation between and the packing density of the paste (): When the DP content was held constant and the particle size varied, exhibited a strong positive linear relationship with . A linear fit was applied to derive the relationship between and , and the introduction of this expression significantly optimized the model, improving the model’s predictive accuracy by 95.2%.
- The mechanism of the impact of DP on the yield stress relationship between SCM and SCP: The influence of DP on the relationship between SCM and SCP yield stress was mainly attributed to changes in the inter-particle filling effect. The inter-particle filling effect between the DP particles and cement particles was enhanced, leading to an increase in and . This subsequently reduced the amount of water and plasticizers embedded in the particles, decreased the stability of the mortar, and increased the ratio of the yield stress of SCM to SCP; i.e., it increased the value of . Changes in the particle size of the DP had a significant impact on this inter-particle filling effect, while changes in the content mainly altered the relative amounts of the two components, resulting in no strong linear relationship between and with varying contents.
- The impact of DP content on : Although changes in the content of DP did not significantly alter the inter-particle filling effect, they indirectly affected by changing the relative content of the powder. With variations in the DP content, significantly negatively correlated with the specific surface area of the mixture, while significantly positively correlated with . As the DP content increased, the specific surface area of the mixture increased by 68.4%, while and decreased by 13.6% and 5.6%, respectively.
- Differences in the properties of mortar and paste: Compared with the paste, the mortar incorporating DP showed an average increase in basic water demand of 30%, a 1.9-fold increase in the water sensitivity coefficient, and a 34.9% increase in .
Author Contributions
Funding
Data Availability Statement
Conflicts of Interest
References
- Okamura, H.; Ouchi, M. Self-compacting concrete. J. Adv. Concr. Technol. 2003, 1, 5–15. [Google Scholar] [CrossRef]
- An, X.; Wu, Q.; Jin, F.; Huang, M.; Zhou, H.; Chen, C.; Liu, C. Rock-filled concrete, the new norm of SCC in hydraulic engineering in China. Cem. Concr. Compos. 2014, 54, 89–99. [Google Scholar] [CrossRef]
- Li, P.; Zhang, T.; An, X.; Zhang, J. An enhanced mix design method of self-compacting concrete with fly ash content based on paste rheological threshold theory and material packing characteristics. Constr. Build. Mater. 2020, 234, 117380. [Google Scholar] [CrossRef]
- Shi, C.; Wu, Z.; Lv, K.; Wu, L. A review on mixture design methods for self-compacting concrete. Constr. Build. Mater. 2015, 84, 387–398. [Google Scholar] [CrossRef]
- Okamura, H.; Ouchi, M. Self-compacting high performance concrete. Prog. Struct. Eng. Mater. 1998, 1, 378–383. [Google Scholar] [CrossRef]
- Su, N.; Hsu, K.-C.; Chai, H.-W. A simple mix design method for self-compacting concrete. Cem. Concr. Res. 2001, 31, 1799–1807. [Google Scholar] [CrossRef]
- Sebaibi, N.; Benzerzour, M.; Sebaibi, Y.; Abriak, N.-E. Composition of self compacting concrete (SCC) using the compressible packing model, the Chinese method and the European standard. Constr. Build. Mater. 2013, 43, 382–388. [Google Scholar] [CrossRef]
- Nepomuceno, M.C.; Pereira-de-Oliveira, L.; Lopes, S. Methodology for the mix design of self-compacting concrete using different mineral additions in binary blends of powders. Constr. Build. Mater. 2014, 64, 82–94. [Google Scholar] [CrossRef]
- Gołaszewski, J.; Kostrzanowska-Siedlarz, A.; Cygan, G.; Drewniok, M. Mortar as a model to predict self-compacting concrete rheological properties as a function of time and temperature. Constr. Build. Mater. 2016, 124, 1100–1108. [Google Scholar] [CrossRef]
- Nie, D.; An, X. Optimization of SCC mix at paste level by using numerical method based on a paste rheological threshold theory. Constr. Build. Mater. 2016, 102, 428–434. [Google Scholar] [CrossRef]
- Wu, Q.; An, X. Development of a mix design method for SCC based on the rheological characteristics of paste. Constr. Build. Mater. 2014, 53, 642–651. [Google Scholar] [CrossRef]
- Hu, C.; de Larrard, F. The rheology of fresh high-performance concrete. Cem. Concr. Res. 1996, 26, 283–294. [Google Scholar] [CrossRef]
- Banfill, P.F.G. The rheology of fresh cement and concrete-a review. In Proceedings of the 11th International Congress on the Chemistry of Cement (ICCC) Cement’s Contribution to Development in the 21st Century, Durban, South Africa, 11–16 May 2003; Available online: https://www.researchgate.net/publication/255652324_The_rheology_of_fresh_cement_and_concrete-a_review (accessed on 10 June 2024).
- Roussel, N.; Stéfani, C.; Leroy, R. From mini-cone test to Abrams cone test: Measurement of cement-based materials yield stress using slump tests. Cem. Concr. Res. 2005, 35, 817–822. [Google Scholar] [CrossRef]
- Toutou, Z.; Roussel, N. Multi scale experimental study of concrete rheology: From water scale to gravel scale. Mater. Struct. 2006, 39, 189–199. [Google Scholar] [CrossRef]
- Chidiac, S.; Mahmoodzadeh, F. Plastic viscosity of fresh concrete–A critical review of predictions methods. Cem. Concr. Compos. 2009, 31, 535–544. [Google Scholar] [CrossRef]
- Saak, A.W.; Jennings, H.M.; Shah, S.P. New methodology for designing self-compacting concrete. Mater. J. 2001, 98, 429–439. [Google Scholar]
- Bui, V.K.; Akkaya, Y.; Shah, S.P. Rheological model for self-consolidating concrete. Mater. J. 2002, 99, 549–559. [Google Scholar]
- Wallevik, O.H.; Wallevik, J.E. Rheology as a tool in concrete science: The use of rheographs and workability boxes. Cem. Concr. Res. 2011, 41, 1279–1288. [Google Scholar] [CrossRef]
- Machner, A.; Zajac, M.; Haha, M.B.; Kjellsen, K.O.; Geiker, M.R.; De Weerdt, K. Limitations of the hydrotalcite formation in Portland composite cement pastes containing dolomite and metakaolin. Cem. Concr. Res. 2018, 105, 1–17. [Google Scholar] [CrossRef]
- Hu, H.; Yao, W.; Wei, Y. Recycling waste dolomite powder in cement paste: Early hydration process, microscale characteristics, and life-cycle assessment. Sci. Total Environ. 2023, 902, 166008. [Google Scholar] [CrossRef] [PubMed]
- Guo, H.; Wang, Z.; Zhao, X.; Liu, J.; Ji, X.; Shi, W. Effects of dolomite powder on properties of environment-friendly cement asphalt emulsion composites. J. Clean. Prod. 2022, 369, 133321. [Google Scholar] [CrossRef]
- Barbhuiya, S. Effects of fly ash and dolomite powder on the properties of self-compacting concrete. Constr. Build. Mater. 2011, 25, 3301–3305. [Google Scholar] [CrossRef]
- Xu, J.; Lu, D.; Zhang, S.; Xu, Z.; Hooton, R. Reaction mechanism of dolomite powder in Portland-dolomite cement. Constr. Build. Mater. 2021, 270, 121375. [Google Scholar] [CrossRef]
- Zhang, X.; Luo, Y.; Yao, W. Effects of Dolomite Powder on the Properties of C30 and C50 Concretes. Full-Nanotub. Carbon Nanostruct. 2022, 30, 896–905. [Google Scholar] [CrossRef]
- Nguyen, H.-A.; Chang, T.-P.; Shih, J.-Y.; Djayaprabha, H.S. Enhancement of low-cement self-compacting concrete with dolomite powder. Constr. Build. Mater. 2018, 161, 539–546. [Google Scholar] [CrossRef]
- Chandel, R.; Singh, N. Dolomite-Based Concrete: A comprehensive review on mechanical properties. Mater. Today Proc. 2024; in press. [Google Scholar] [CrossRef]
- Tangadagi, R.B.; Ravichandran, P.J. Performance Evaluation of Cement Mortar Prepared with Waste Foundry Sand as an Alternative for Fine Aggregate: A Sustainable Approach. Iran. J. Sci. Technol. Trans. Civ. Eng. 2024, 1–15. [Google Scholar] [CrossRef]
- Li, T.; Nogueira, R.; Pereira, M.F.C.; de Brito, J.; Liu, J. Effect of the incorporation ratio of recycled concrete aggregate on the properties of self-compacting mortar. Cem. Concr. Compos. 2024, 147, 105429. [Google Scholar] [CrossRef]
- Zhang, X.; Luo, Y.; Yao, W. Influences of the dosage of dolomite powder on the fracture properties and volume stability of cement-based materials. Full-Nanotub. Carbon Nanostruct. 2021, 29, 868–875. [Google Scholar] [CrossRef]
- Zhang, X.; Luo, Y.; Yao, W. An Innovative Material with Strong Frost Resistance—Concrete Containing Dolomite Powder. Materials 2022, 15, 1721. [Google Scholar] [CrossRef] [PubMed]
- Hu, H.; Yao, W.; Wei, Y.; She, A. Evolution of early hydration in mortar by using waste dolomite powder as a micro-aggregate. Constr. Build. Mater. 2024, 438, 137158. [Google Scholar] [CrossRef]
- Xu, J.; Lu, D.; Xu, Z. Reaction Behaviour of Dolomite Powder in Portland Cement Pastes Cured at Different Conditions. Available online: https://icaarconcrete.org/wp-content/uploads/2024/05/16ICAAR-XuJ-1.pdf (accessed on 10 June 2024).
- Jelčić Rukavina, M.; Gabrijel, I.; Bjegović, D. Modifications of dolomite-based self-compacting concrete properties using mineral additives. Teh. Vjesn.-Tech. Gaz. 2015, 22, 233–240. [Google Scholar] [CrossRef]
- Abdalqader, A.; Sonebi, M. Dolomitic filler in self-compacting concrete: A review. RILEM Tech. Lett. 2020, 5, 75–83. [Google Scholar] [CrossRef]
- Agrawal, Y.; Gupta, T.; Siddique, S.; Sharma, R.K. Potential of dolomite industrial waste as construction material: A review. Innov. Infrastruct. Solut. 2021, 6, 205. [Google Scholar] [CrossRef]
- GB/T 8077-2023; State Administration for Market Regulation. Methods for Testing Uniformity of Concrete Mixtures. Stands Press of China: Beijing, China, 2023. (In Chinese)
- GB/T 2419-2005; State Administration for Market Regulation. Test Method for Fluidity of Cement Mortar. Stands Press of China: Beijing, China, 2005. (In Chinese)













| Chemical Compositions | Cement (%) | DP (%) |
|---|---|---|
| SiO2 | 22.190 | 0.3600 |
| Al2O3 | 9.7700 | 0.2050 |
| Fe2O3 | 3.0300 | 0.1190 |
| CaO | 54.600 | 55.930 |
| MgO | 1.3200 | 0.3670 |
| K2O | 0.8210 | 0.0224 |
| Na2O | 0.2420 | 0.0620 |
| MnO | 0.0653 | 0.0101 |
| TiO2 | 0.4100 | 0.0100 |
| P2O5 | 0.0983 | 0.0075 |
| SO3 | 3.7100 | 0.0508 |
| Loss on ignition | 3.4400 | 42.830 |
| Mixture No. | DP Type (Mesh) | DP Content |
|---|---|---|
| DP1250-0% | / | 0% |
| DP1250-15% | 1250 | 15% |
| DP1250-30% | 1250 | 30% |
| DP1250-45% | 1250 | 45% |
| DP1250-60% | 1250 | 60% |
| DP200-30% | 200 | 30% |
| DP325-30% | 325 | 30% |
| DP400-30% | 400 | 30% |
| DP800-30% | 800 | 30% |
| DP Content | DP Particle Size (Mesh) | SP% | (mm) | (Pa) | (mm) | (Pa) | |
|---|---|---|---|---|---|---|---|
| 0% | / | 0.90 | 0.80 | 316.5 | 0.44 | 253.0 | 12.10 |
| 1.00 | 0.70 | 313.5 | 0.45 | 274.0 | 7.93 | ||
| 1.00 | 0.76 | 310.5 | 0.48 | 288.0 | 6.18 | ||
| 1.00 | 0.80 | 327.5 | 0.36 | 291.0 | 5.87 | ||
| 1.00 | 0.90 | 291.0 | 0.67 | 302.0 | 4.91 | ||
| 15% | 1250 | 0.80 | 0.70 | 317.5 | 0.45 | 278.5 | 7.49 |
| 0.80 | 0.75 | 296.5 | 0.63 | 128.0 | 365.16 | ||
| 0.85 | 0.70 | 335.0 | 0.33 | 163.5 | 106.54 | ||
| 0.85 | 0.73 | 337.5 | 0.32 | 240.0 | 15.63 | ||
| 0.85 | 0.75 | 325.0 | 0.39 | 307.5 | 4.53 | ||
| 30% | 1250 | 0.80 | 0.60 | 327.5 | 0.38 | 273.0 | 8.23 |
| 0.80 | 0.70 | 330.0 | 0.36 | 310.0 | 4.36 | ||
| 0.85 | 0.65 | 317.5 | 0.43 | 315.0 | 3.99 | ||
| 0.85 | 0.70 | 333.0 | 0.34 | 310.0 | 4.33 | ||
| 0.85 | 0.75 | 310.0 | 0.49 | 332.5 | 3.05 | ||
| 45% | 1250 | 0.80 | 0.60 | 291.0 | 0.68 | 230.0 | 19.29 |
| 0.80 | 0.65 | 307.0 | 0.52 | 276.0 | 7.75 | ||
| 0.80 | 0.70 | 317.0 | 0.44 | 297.0 | 5.37 | ||
| 0.85 | 0.65 | 352.0 | 0.25 | 307.0 | 3.20 | ||
| 0.85 | 0.70 | 315.0 | 0.45 | 329.0 | 4.52 | ||
| 60% | 1250 | 0.80 | 0.57 | 298.0 | 0.60 | 269.5 | 8.69 |
| 0.80 | 0.60 | 292.0 | 0.67 | 256.0 | 11.23 | ||
| 0.80 | 0.65 | 294.0 | 0.64 | 296.5 | 5.39 | ||
| 0.85 | 0.57 | 307.0 | 0.51 | 281.5 | 6.93 | ||
| 0.85 | 0.60 | 290.0 | 0.68 | 256.0 | 11.15 | ||
| 30% | 200 | 0.80 | 0.80 | 288.0 | 0.73 | 102.0 | 1158.52 |
| 0.80 | 0.85 | 295.0 | 0.64 | 243.0 | 14.88 | ||
| 0.85 | 0.80 | 304.0 | 0.54 | 245.0 | 14.03 | ||
| 0.85 | 0.85 | 312.0 | 0.48 | 280.0 | 7.20 | ||
| 0.90 | 0.85 | 313.0 | 0.46 | 262.0 | 9.96 | ||
| 30% | 325 | 0.85 | 0.90 | 287.5 | 0.72 | 127.0 | 374.83 |
| 0.90 | 0.85 | 312.0 | 0.47 | 198.5 | 39.89 | ||
| 0.90 | 0.90 | 304.0 | 0.54 | 285.5 | 6.48 | ||
| 0.90 | 0.95 | 301.0 | 0.56 | 265.0 | 9.41 | ||
| 0.95 | 0.95 | 316.5 | 0.43 | 296.0 | 5.37 | ||
| 30% | 400 | 0.80 | 0.85 | 331.0 | 0.36 | 207.0 | 32.84 |
| 0.80 | 0.90 | 316.0 | 0.45 | 287.0 | 6.41 | ||
| 0.85 | 0.80 | 341.0 | 0.30 | 274.0 | 8.02 | ||
| 0.85 | 0.85 | 337.5 | 0.32 | 288.0 | 6.25 | ||
| 0.85 | 0.90 | 329.5 | 0.36 | 314.0 | 4.06 | ||
| 30% | 800 | 0.80 | 0.80 | 348.5 | 0.27 | 264.0 | 9.73 |
| 0.80 | 0.83 | 331.5 | 0.35 | 328.0 | 3.31 | ||
| 0.80 | 0.85 | 325.0 | 0.39 | 327.0 | 3.36 | ||
| 0.85 | 0.80 | 312.5 | 0.47 | 279.0 | 7.39 | ||
| 0.85 | 0.85 | 336.0 | 0.32 | 349.0 | 2.41 |
| DP Content | DP Particle Size (Mesh) | |
|---|---|---|
| 0% | / | 2.98694 |
| 15% | 1250 | 3.53392 |
| 30% | 1250 | 2.63877 |
| 45% | 1250 | 3.14660 |
| 60% | 1250 | 2.69197 |
| 30% | 200 | 3.23701 |
| 30% | 325 | 2.62148 |
| 30% | 400 | 2.81825 |
| 30% | 800 | 2.46489 |
Disclaimer/Publisher’s Note: The statements, opinions and data contained in all publications are solely those of the individual author(s) and contributor(s) and not of MDPI and/or the editor(s). MDPI and/or the editor(s) disclaim responsibility for any injury to people or property resulting from any ideas, methods, instructions or products referred to in the content. |
© 2024 by the authors. Licensee MDPI, Basel, Switzerland. This article is an open access article distributed under the terms and conditions of the Creative Commons Attribution (CC BY) license (https://creativecommons.org/licenses/by/4.0/).
Share and Cite
Zhang, J.; Chen, H.; Jia, Y.; Zhuoma, P.; Lv, M. The Effects of Dolomite Powder Content and Type on the Yield Stress Relationship between Self-Compacting Mortar and Paste. Buildings 2024, 14, 2557. https://doi.org/10.3390/buildings14082557
Zhang J, Chen H, Jia Y, Zhuoma P, Lv M. The Effects of Dolomite Powder Content and Type on the Yield Stress Relationship between Self-Compacting Mortar and Paste. Buildings. 2024; 14(8):2557. https://doi.org/10.3390/buildings14082557
Chicago/Turabian StyleZhang, Jingbin, Hongyu Chen, Yan Jia, Pingcuo Zhuoma, and Miao Lv. 2024. "The Effects of Dolomite Powder Content and Type on the Yield Stress Relationship between Self-Compacting Mortar and Paste" Buildings 14, no. 8: 2557. https://doi.org/10.3390/buildings14082557
APA StyleZhang, J., Chen, H., Jia, Y., Zhuoma, P., & Lv, M. (2024). The Effects of Dolomite Powder Content and Type on the Yield Stress Relationship between Self-Compacting Mortar and Paste. Buildings, 14(8), 2557. https://doi.org/10.3390/buildings14082557

