Abstract
In this article, a nonlinear static analysis model of a bridge pile foundation is established using numerical simulation, and the correctness of the model is verified via experiments. Then, the damage characteristics and mechanical behaviors of bridge pile foundations in cold regions under lateral loads are investigated based on the validated analysis model. The results showed that the impact of soil freeze–thaw cycles on the lateral performance of the pile–soil system is more pronounced in seasonally frozen regions compared with permafrost regions. Specifically, as the number of soil freeze–thaw cycles increases, there is a tendency for the lateral load capacity of the pile–soil system to decrease initially and then stabilize. It is worth noting that soil freeze–thaw cycles significantly influence both the stiffness and deformation capacity of the pile–soil system, with these parameters exhibiting a decreasing trend followed by stabilization as the number of freeze–thaw cycles increases. However, it has little effect on the shear force and bending moment of the pile foundation.
1. Introduction
Pile foundations are extensively utilized in various projects, including ports, terminals, offshore oil platforms, and large-span bridges [1,2,3], owing to their exceptional vertical load-bearing performance. However, pile foundations are not only subjected to vertical loads but also experience lateral loads, such as wind, earthquake, wave forces, and vehicle braking forces [4,5,6,7,8,9]. Consequently, the mechanical properties of pile foundations under lateral loads have garnered increasing attention in recent years [10,11].
Lee et al. [12] found that the soil’s mechanical characteristics around the pile have a great influence on the lateral load response of the pile foundation; the freeze–thaw cycle of shallow surface soils repeatedly changes the mechanical properties and damage mechanisms of pile foundations. In this regard, Yang et al. [13] studied the influence of a short-duration load on deep foundations in regions with seasonally frozen soil. The outcome indicates that the depth of frozen soil has a great influence on the ultimate bearing capacity of a pile–soil system. Suleiman et al. [14] studied the influence of seasonal freezing on the seismic response of a bridge column–foundation integrated system through large-scale outdoor tests. It was found that seasonal freezing can significantly affect the behavior of column–foundation systems under lateral loads. However, the difficulty of simulating frozen soil environments in laboratory tests makes the tests costly and the testing period long. As a result, there are relatively few experimental studies focusing on the laterally loaded properties of pile foundations in cold regions.
With the swift advancement of contemporary computer technology, finite element numerical analysis methods have overcome the shortcomings of the largely time-consuming and complicated operations of laboratory tests and have gradually become a widely used method in the field of engineering. Kim et al. [2] studied the mechanical properties of steel piles and bored piles under lateral loads using numerical simulation and proposed and discussed a nonlinear three-dimensional finite element considering the continuity of the pile and the soil. Fei et al. [5] established a finite element model and verified the correctness of the model through field tests to study the influence of the seasonal freezing of soil around the pile on the lateral load response of the pile foundation. The results show that the strain rate in the seasonally frozen soil layer is greatly affected by the seasonal freezing of the soil. The strain rate in the seasonally frozen soil layer generally decreases with increasing depth, which is manifested in the fact that the strain rate in the seasonally frozen soil layer can change by 3~4 orders of magnitude. This will have a significant impact on the lateral load response of a pile foundation under freezing conditions, which should be repeatedly considered in practical engineering. Lu et al. [15] proposed a model to predict the frost heave effect of a single pile in frozen soil and validated its accuracy through comparison with existing research findings. Subsequently, the model was employed for parametric analysis to investigate the impact of soil freezing depth on axial force, vertical displacement, and tangential force in pile foundations. The results demonstrate that increasing soil freezing depth leads to elevated axial force, tangential force, and vertical displacement associated with frost heave. Zhang et al. [16] conducted a quasi-static test to investigate the seismic failure characteristics of bridge pile foundations in frozen soil areas and developed a nonlinear analysis model for pile–soil interactions that incorporates the effects of frozen soil, which was validated through experimental testing. Furthermore, the study explores the nonlinear seismic response of bridge pile foundations under different cap embedment conditions. The findings indicate that, compared to elevated cap configurations, embedment caps benefit the performance of pile foundations during an earthquake but have adverse effects on bridge piers.
It is known that research relating to the pile–soil interactions of bridges under lateral loads mainly focuses on changes in the mechanical properties and the damage mechanisms of pile foundations; however, there is limited research on the impact of soil freeze–thaw cycles surrounding piles on the lateral load behavior of bridge pile foundations. In fact, the active layer soil in seasonally frozen and permafrost regions are subjected to freeze–thaw cycles, altering the mechanical properties of the soil [17,18,19,20,21,22], and then changing the response of the bridge pile foundation under a lateral load. Aiming at the existing problems in the research, this study uses the bridge pile foundation with an elevated cap of the Qinghai–Tibet Railway as a prototype to study the influence of the freeze–thaw cycle effects on the bridge pile foundation–soil interaction under lateral load using FE (finite element) methods. The lateral ultimate bearing capacity, internal forces and distortions experienced by the pile foundation under different freeze–thaw cycles of the soil surrounding the pile are analyzed. These results can be used as a reference for the purpose of constructing bridges with pile foundations in regions characterized by frozen soil.
2. FEM of PILE-Frozen Soil System Considering Freezing and Thawing
2.1. FEM of the Size
In order to compare with the quasi-static test results in references Zhang et al. [23] (seasonally frozen soil condition) and Zhang et al. [24] (permafrost condition), the parameters of the model established in this article are consistent with the above literature. As shown in Figure 1, during the modeling process, the pile foundation has a diameter of 0.19 m and a length of 1.6 m, while the soil measures 5 m in width and 2 m in height to reduce the boundary effect; the other conditions are consistent with the quasi-static test.
Figure 1.
The overall diagram of the model.
2.2. Constitutive Model for Concrete
The concrete damage plasticity (CDP) model is utilized in FEM to describe the material nonlinearity of concrete, accounting for the damage effect in tension and compression. This model is highly suitable for simulating material properties under lateral loading as it effectively converges the results obtained for both unidirectional and cyclic loading. Figure 2 demonstrates the response of concrete when subjected to uniaxial compression.
Figure 2.
Stress–strain curve of concrete.
The uniaxial compression stress–strain curve of concrete can be defined using Equations (1)–(5). The plastic parameters of concrete in FEM are shown in Table 1.
where is the value of the falling section of the uniaxial compressive stress–strain curve for concrete. and are representative values of the uniaxial compressive strength of concrete and the peak compressive strain of concrete, respectively. is the damage evolution parameters of concrete under uniaxial compression.
Table 1.
The plastic parameters of concrete.
2.3. Constitutive Model for Soil
Unfrozen soil is a three-phase system composed of soil particles, water, and air. The number and properties of each phase in the three phases directly affect the engineering properties of soil. Frozen soil is a four-phase system composed of soil particles, ice, unfrozen water, and air. The engineering properties of frozen soil are not only affected by the engineering properties before freezing but also by the ice content and the relative proportion of unfrozen water during and after freezing. Ground soil will show complex mechanical properties, including nonlinear, rheological, anisotropic, and shear characteristics, after loading. The soil characteristics utilized in the FEM were acquired through laboratory experiments and are documented in Table 2 [25]. Figure 3 shows the stress–strain curves for frozen soil used in the model at thawed and frozen states.
Table 2.
Soil properties.
Figure 3.
Stress–strain curve for frozen soil at thawed and frozen states.
This study utilizes the Mohr–Coulomb model. The Mohr–Coulomb model is more and more widely used in geotechnical engineering because of its fewer parameters and easy-to-obtain results. The ideal elastic–plastic model of Mohr–Coulomb yield criterion and associated flow rule can be defined as shown in Equations (6)–(13).
- (a)
- The yield criterion of the Mohr–Coulomb model
The strength criterion relation of the Mohr–Coulomb model:
The following relationship can be obtained from the Mohr circle:
Put and into the above Equation (6). Then, we can obtain the following:
Among them, represents the highest level of shear stress, is the average value of the principal stress, is the friction angle, and is the force of cohesion.
- (b)
- The flow rule of the Mohr–Coulomb model
- (c)
- The yield surface equation of the Mohr–Coulomb model
Among them, is the flow potential function, and is the Mohr–Coulomb deviatoric stress coefficient. is the equivalent compressive stress. is the polar angle, and is the third deviatoric stress invariant. is the friction angle, and is force of cohesion. is the Mises equivalent stress.
2.4. Bilinear Model for the Steel
The material nonlinearity of steel is modeled using the elastic–plastic bilinear model, and the constitutive model parameters of steel are shown in Table 3. The stress and strain curve of steel has two segments and can be defined as shown in Equation (14). Figure 4 demonstrates the mechanical response of steel when subjected to tensile deformation.
where is the yield strain of steel and is the slope of the hardening section.
Table 3.
Steel’s constitutive model parameters.
Figure 4.
Stress–strain curve of steel.
2.5. Pile–Soil Interface Contact Properties
The surface-to-surface contact behavior in the FEM is applied to model the separation of the pile–soil interface and the uplift of the pile foundation under a lateral load. In the pile–soil interaction, ‘Penalty contact’ is adopted in the tangential direction, and according to the different mechanical properties of the soil layer, it can be calculated using Equation (15).
where and are the friction coefficient and friction angle, respectively.
The behavior of the pile–soil interface is defined as a ‘Hard contact’ and can be interpreted as follows: the pressure can be transmitted infinitely when the gap size of the contact surface between the pile and the soil is equal to zero. Conversely, the constraint fails when the gap is larger than zero. The behavior of the pile–soil interface can be expressed using Equation (16). In the pile–soil interface, the pile foundation is defined as the leader surface due to its larger stiffness, and the soil is regarded as the follower surface. Figure 5 shows the setting of the pile–soil interaction in the modeling process.
where and are the stress of the interface and the contact gap size, respectively.
Figure 5.
The setting of pile–soil interaction.
2.6. Model Unit Division and Boundary Conditions
In terms of model unit division, both concrete and soil use 3D solid elements (C3D8R), and steel bars use truss elements (T3D2). For the boundary conditions, the bottom of the soil limits the translational and rotational displacements in three directions, while the side of the soil limits the displacements parallel to the coordinate axes. Figure 6 shows the setting of the model boundary conditions in the modeling process.
Figure 6.
The setting of the model boundary conditions.
3. Verification of the FEM
3.1. Comparison of Lateral Bearing Characteristic
The comparison between the skeleton curves obtained from the numerical simulations and the tests are shown in Figure 7. The skeleton curves used in the test are derived from Zhang et al. [23] and Zhang et al. [24].
Figure 7.
Comparison of experimental and simulated skeleton curves. (a) Seasonally frozen soil conditions. (b) Permafrost conditions.
Comparison of the ultimate load for the quasi-static test and the finite element simulation is shown in Table 4. It can be found that the ratio of the quasi-static test values to calculated values is 1.02 with a relative error is 2.33% in seasonally frozen soil condition and 0.97 with a relative error of 3.17% in permafrost conditions. It can be seen from Figure 7a seasonally frozen soil condition that there is an obvious deviation between the skeleton curve obtained by finite element calculation and the quasi-static test in the direction of positive loading. This is due to certain errors in the production and installation of the quasi-static test model, which makes the force–displacement relation curve asymmetric during loading in seasonally frozen soil conditions. This results in a deviation between the finite element calculations and the quasi-static test results. It is evident when observing Figure 7b that under permafrost condition, the skeleton curve obtained by the experiment is in good agrees with that calculated.
Table 4.
Comparison between finite element calculation values and quasi-static test values.
3.2. Comparison of Damage Characteristics
A comparison between the maximum stress nephogram of the pile foundation concrete obtained from the simulations and the crack development of the pile foundation in the quasi-static test is depicted in the diagram provided in Figure 8. The failure phenomenon of the pile foundation in a quasi-static test is derived from e Zhang et al. [23] and Zhang et al. [24]. The maximum stress nephogram of the steel reinforcement for different conditions is shown in Figure 9.
Figure 8.
The maximum stress cloud diagram of pile foundation concrete in seasonally frozen soil and permafrost conditions. (a) Seasonally frozen soil condition and (b) permafrost condition.
Figure 9.
The maximum stress cloud diagram of pile foundation steel reinforcement in seasonally frozen soil and permafrost conditions. (a) Seasonally frozen soil condition and (b) permafrost condition.
Figure 8 shows that under seasonally frozen soil conditions, the maximum stress range of the pile foundation concrete is calculated to be 5–18 cm from the lowermost part of the pile cap. Through the quasi-static test of pile foundation failure phenomenon, it can be observed that the location of pile foundation cracking is 6 cm and 15 cm from the lowermost part of the pile cap, which is consistent with the calculated maximum stress range of concrete. In permafrost, the calculated maximum stress range of pile foundation concrete is 8~34 cm from the lowermost part of the pile cap, and it can be found that the concrete stress is relatively large in the range of 63 cm from the lowermost part of the pile cap. Through the quasi-static test of pile foundation failure phenomenon, it can be observed that the position of the pile foundation fracture is 9.5 cm and 13 cm from the lowermost part of the pile cap, which is consistent with the calculated maximum stress range of concrete. The position of the pile foundation crack is 40 cm and 61 cm from the bottom of the pile cap, which is consistent with the calculated concrete stress range.
Figure 9 shows that in seasonally frozen soil, the maximum stress of the steel bar of the pile foundation appears in the range of 0–20 cm from the lowermost part of the pile cap. For the case of permafrost, the maximum stress of the steel bar of the pile foundation appears in the range of 0–50 cm. Thus, it can be established that the maximum interval of the steel bar stress of the pile foundation is essentially the same as the failure interval of the pile foundation, whether under seasonally frozen soil or permafrost conditions.
3.3. Convergence Examination
In the process of conducting finite element analysis, the mesh size will change the number of elements, which will influence the outcomes of the finite element simulation. In the case of permafrost, the finite element analysis was carried out by changing the mesh size (25 cm, 20 cm, 15 cm, and 10 cm). The skeleton curves of the model under different mesh sizes were extracted and are shown in Figure 10, and the eigenvalues of the model under different mesh sizes were compared, as shown in Table 5.
Figure 10.
The impact of varying mesh sizes on the skeletal curve of bridge pile foundations.
Table 5.
The eigenvalues of the model using different mesh sizes.
It is evident when observing Figure 10 and referring to Table 5 that as the mesh size decreases, the finite element analysis results gradually tend to be stable, which verifies that the numerical results of the model have good convergence. It shows that the finite element model can accurately reflect the change in the force–displacement curve under a frozen state under different mesh sizes, which proves the accuracy of the model. Compared with the model with a global soil grid size of 20 cm, the relative error between the model and the test results is small, and the calculation time is relatively short. Therefore, the finite element model can be used to analyze the influence of subsequent freeze–thaw cycle effects on the lateral load of a pile foundation bridge pier in frozen soil regions.
4. Analysis of the Performance of Laterally Loaded Bridge Pile Foundations
To deeply and systematically study the influence of soil freeze–thaw cycles on the lateral load (it should be noted that the lateral force and lateral displacement mentioned in this paper do not refer to axial force and axial displacement.) and the response of the bridge pile foundation, a finite element model of a pile foundation pier in a seasonally frozen soil region and permafrost region was established based on finite element software, and the influence of soil freeze–thaw cycles on the lateral load responses of the bridge pile foundation in a seasonally frozen soil region and a permafrost region was systematically analyzed. To achieve fast and accurate modeling, the above-validated finite element scale model is still used. We know changing the number of freeze–thaw cycles of soil around piles (0, 3, 5, 7, 10, 15, and 21 times) can make the mechanical properties of soil change, and then affect the lateral load of bridge pile foundation. The mechanical properties of the soil are taken from Wang et al. [26], as shown in Table 6. The effect of the freeze–thaw cycle on the lateral load response of the pile foundation by the soil around the pile has been studied in two aspects, namely seasonally frozen soil conditions and permafrost conditions; secondly, under different working conditions, the freeze–thaw effect of the soil only involves the seasonally active layer of soil.
Table 6.
Soil mechanical parameters.
4.1. Skeleton Curve
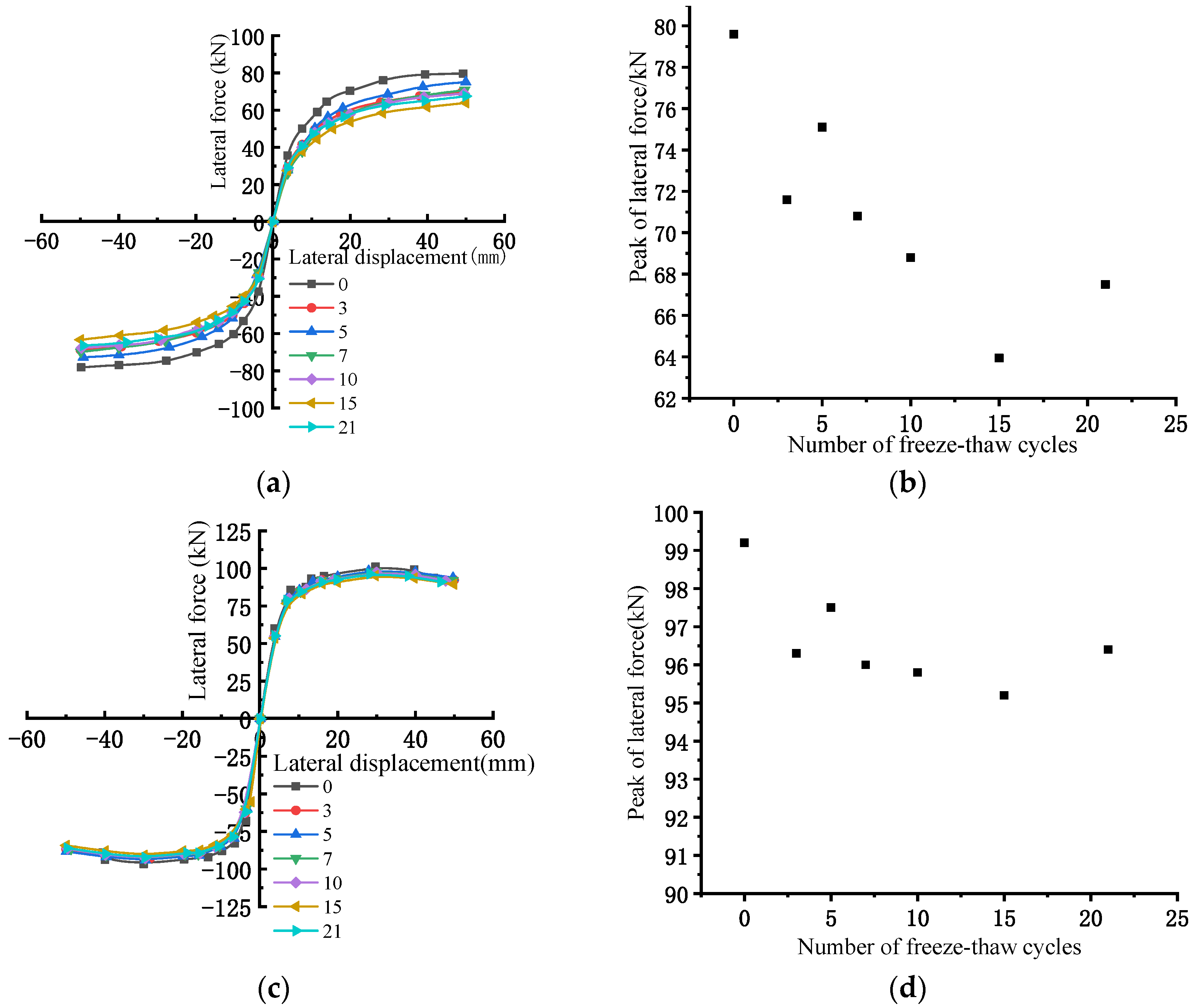
The skeleton curve serves as a crucial foundation for evaluating structural bearing characteristics when subjected to lateral forces. Here, the variations in the skeletal curves of a pile–soil system under different working conditions are extracted from seasonally frozen soil conditions and permafrost conditions, as depicted in the illustration provided in Figure 11.
Figure 11.
Comparison of the influence of soil freeze–thaw cycles on the skeleton curve and peak curve of pile foundation bridge pier under seasonally frozen soil and permafrost conditions. (a) Seasonally frozen soil condition skeleton curve. (b) The peak of seasonally frozen soil condition skeleton curve, (c) Permafrost condition skeleton curve. (d) The peak of permafrost condition skeleton curve.
Through analysis, we can know that the freeze–thaw cycle of the soil has a certain effect on the maximum lateral bearing capacity of the pile–soil system. The effects on seasonally frozen soil and permafrost conditions are different. It is clear that the freeze–thaw cycle of the soil exerts a more significant influence on the maximum lateral bearing capacity of a bridge pile foundation with an elevated cap under seasonally frozen soil conditions than under permafrost conditions. The reason is that whether it is seasonally frozen soil or permafrost, the surface soil will benefit from the freeze–thaw cycle. However, compared with seasonally frozen soil, the soil under the seasonally active layer of permafrost is still frozen, which effectively limits the effect of soil freeze–thaw on the lateral bearing capacity of the pile foundation. Secondly, the ultimate lateral load-bearing capacity of the pile–soil system presents a decreasing trend with increasing freeze–thaw cycles in the soil, and when the freeze–thaw cycles reach a certain number (15 times), its influence on the maximum lateral bearing capacity of the pile–soil system can be ignored. The specific values are expressed as follows: the maximum and minimum lateral-bearing capacity for seasonally frozen soil conditions and permafrost conditions are 0 time and 15 freeze–thaw cycles, respectively. The maximum lateral-bearing capacity for seasonally frozen soil conditions was 79.63 kN and the minimum was 63.94 kN, a decrease of 19.7%. However, the maximum and minimum lateral-bearing capacity for permafrost conditions is 99.2 kN and 95.2 kN, a decrease of 4%. The reason is that after the freezing of the soil, the ice crystals are relatively evenly distributed between the soil particles, which increases the number of voids in the soil, and the ice crystals play a role in cementing and supporting the soil skeleton. However, when the soil melts, the cementation of the ice crystals disappears, which increases the number of voids between the soil particles and reduces the contact points; thus, the strength is reduced. When the soil freezes and thaws a certain number of times, the voids between the soil particles remain stable, and the strength remains stable accordingly.
4.2. Stiffness Characteristics
Stiffness degradation is the phenomenon that the displacement of the peak point decreases with the increase in the number of cycles when the structure is maintained with the same peak load under cyclic and repeated loads. It is usually expressed in terms of equivalent stiffness. The stiffness degradation curve and stiffness peak curve of the pile–soil system under different working conditions are extracted from seasonally frozen soil conditions and permafrost conditions, as depicted in the illustration provided in Figure 12.
Figure 12.
Comparison of influence of soil freeze–thaw cycles on stiffness degradation curve and peak curve of the bridge pile foundation with elevated cap in seasonally frozen soil and permafrost conditions. (a) Stiffness degradation curve of seasonally frozen condition. (b) Peak value of stiffness degradation curve soil of seasonally frozen soil condition. (c) Stiffness degradation curves of permafrost condition. (d) Peak value of stiffness degradation curve of permafrost condition.
Overall, seasonally frozen soil and permafrost conditions in relation to the pile–soil system are similar in terms of the stiffness degradation rule under the effects of freeze–thaw cycles, and before reaching yield displacement, the stiffness showed a trend of rapidly reducing with increasing load displacement. When the displacement continued to increase to yield displacement, the stiffness of the pile–soil system attenuation slowed, and when the displacement reached 40 mm, the level of stiffness remained largely unaltered. For both permafrost and seasonally frozen soil conditions, the initial freeze–thaw has a large impact on the stiffness of the pile–soil system. When the number of freeze–thaw cycles in the soil increased from 0 to 3, the stiffness of the seasonally frozen soil condition reduced from 9.44 kN/mm to 7.87 kN/mm, a decrease of 16.6%. For permafrost conditions, the stiffness of the pile–soil system reduced from 16.3 kN/mm to 14.8 kN/mm, a decrease of 9.2%. Furthermore, in the case of seasonally frozen soil conditions, the overall stiffness of the pile–soil system decreased with the increase in the number of freeze–thaw cycles; however, this phenomenon was less pronounced in the case of permafrost conditions. We know that as the number of freeze–thaw cycles increases, voids in the soil develop, and the embedding and interlocking modes between soil particles are destroyed, weakening its ability to resist deformation.
4.3. Distribution of Pile Bending Moment
For the influence of the freeze–thaw effect, the curve of the bending moment of the bridge pile foundation with pile depth are shown in Figure 13.
Figure 13.
Influence of number of soil freeze–thaw cycles on bending moment of bridge pile foundation with elevated cap in seasonally frozen soil and permafrost conditions. (a) Bending moment curve of pile under seasonally frozen soil condition and (b) bending moment curve of pile under permafrost condition.
It has been discovered that the bending moment of the pile foundation was minimally impacted by the freeze–thaw cycle, regardless of whether under seasonally frozen soil or permafrost. In the case of seasonally frozen soil conditions, the maximum bending moments for the different freeze–thaw cycles all occur at the pile top and are almost identical for the pile foundation. In addition, there is a negative bending moment about 80 cm away from the pile bottom, and the maximum negative bending moment exhibits a declining pattern as the number of freeze–thaw cycles increases. Under permafrost conditions, the position of the maximum bending moment of the pile is the same as that under the condition of seasonally frozen soil. Under the same conditions in the case of permafrost, a negative bending moment in the pile foundation appears, but the position of the negative bending moment is 50–100 cm away from the bottom of the pile, which is different from the condition observed for seasonally frozen soil. Secondly, the maximum negative bending moment is opposite to that of seasonally frozen soil. With the freezing and thawing of soil, the negative bending moment of the pile foundation tends to increase.
4.4. Shear Force of the Pile
The shear force curves extracted for a bridge pile foundation with an elevated cap under different working conditions along with the number of freeze–thaw cycles are shown in Figure 14.
Figure 14.
Influence of number of soil freeze–thaw cycles on shear force of bridge pile foundation with elevated cap under seasonally frozen soil and permafrost conditions. (a) Shear force distribution curves of pile in seasonally frozen soil condition and (b) shear force distribution curves of pile in permafrost condition.
In general, the impact of the soil freeze–thaw cycle on the shear force of the pile is small under different working conditions. Regardless of seasonally frozen soil conditions or permafrost conditions, the trend of shear force distribution along the pile foundation is consistent under different soil freeze–thaw cycles. Under seasonally frozen soil conditions, the maximum shear force of the pile shows a decreasing trend with an increasing number of freeze–thaw cycles, but under permafrost conditions, the maximum shear force of the pile shows almost no change with an increasing number of freeze–thaw cycles. In addition, the negative shear forces occur at distances of 20–80 cm from the pile head under both seasonally frozen soil and permafrost conditions. For seasonally frozen soils, there is a tendency for the maximum value of the negative shear force to decrease as the number of soil freeze–thaw cycles increases, but for permafrost conditions, there is no obvious rule for the negative shear force distribution.
4.5. The Deformation Ability
The ductility coefficients of the pile–soil system for seasonally frozen soil and permafrost conditions were extracted for different working conditions and are shown in Figure 15.
Figure 15.
Influence of number of soil freeze–thaw cycles on deformation capacity of bridge pile foundation with elevated cap in seasonally frozen soil and permafrost conditions. (a) Seasonally frozen soil condition of ductility coefficient curve and (b) permafrost condition of ductility coefficient curve.
For seasonally frozen soil conditions, the deformation capacity of the pile–soil system shows a decreasing trend as the number of freeze–thaw cycles increases up to seven cycles, and it stabilizes after seven soil freeze–thaw cycles. The ductility coefficient was 2.78 for 0 time freeze–thaw cycles and 2.38 for seven, a decrease of 14.4%. For permafrost conditions, before the soil undergoes 10 freeze–thaw cycles, the deformation capacity of the pile–soil system shows a decreasing trend and becomes stable after 10 freeze–thaw cycles. The ductility coefficient under the permafrost conditions was 4.98 for 0 freeze–thaw cycles and 4.44 for 10, a decrease of 10.4%. The main reason for this change is that the permafrost layer has a strong lateral constraint effect on the pile foundation, and the freeze–thaw cycle effect only changes the characteristics of the active layer of soil and does not affect the permafrost layer; as a result, the freeze–thaw effect has little influence on the deformation ability of the pile–soil system under permafrost conditions.
5. Discussion
The research results of this article reveal the influence of the soil freeze–thaw effect on the damage characteristics and mechanical behavior of a bridge pile foundation, including lateral bearing capacity, stiffness characteristics, and the deformation capacity of pile–soil system. The following points are worth noting: Firstly, the freeze–thaw effect of soil has the most significant influence on the lateral load response of a pile foundation in the initial stage. Secondly, compared with the case of permafrost, the freeze–thaw effect of soil has a greater influence in the case of seasonally frozen soil. Finally, the freeze–thaw effect of the soil does not always affect the lateral load response of the bridge pile foundation, but shows the greatest influence at the initial stage, then gradually weakens, and finally maintains a stable trend. The deeper reason for the above conclusion is the influence of freeze–thaw cycle on the mechanical properties and microstructure of the soil, as demonstrated in existing research.
The existing research results on the effect of freeze–thaw cycles mainly focus on the influence of a specific material, including single soil, improved soil, improved concrete, etc., but rarely involve the damage characteristics and mechanical behavior of a complete structure. It is well known that the elastic modulus and strength of soil will show different properties due to changes to the soil structure. In the process of freezing and thawing, the arrangement of soil particles is reorganized, the connection mode is changed, and the structural, physical, and mechanical properties of soil are changed. At present, the research results on the influence of freeze–thaw cycles on the elastic modulus of soil are relatively uniform. With an increasing number of freeze–thaw cycles, the elastic modulus decreases first and then tends to be stable, which echoes our research results. However, the research results on the influence law of shear strength are quite different. Different scholars use different types of soil under different conditions and test methods. The shear strength increases, decreases (the initial freeze–thaw effect is the greatest) and tends to be stable and basically unchanged with an increasing number of freeze–thaw cycles. The influence on the microstructure of the soil is that the particle morphology becomes complicated, the arrangement becomes disordered, the particles continue to crack and fill the pores, agglomerate and expand the pores, and the pore morphology tends to be simple. In general, the microscopic particle structure of the soil has undergone a stable–unstable–stable process, which also proves the validity of our research results.
Secondly, due to the long cycle of the experiment and limited control over the influencing factors, it is impossible to fully fit the actual environment. If a large number of numerical simulations are carried out, it is not only time-consuming but also the conclusions are limited. Therefore, appropriate machine learning [27,28,29], deep learning, and artificial neural network algorithms [30] can be used to fit and predict multi-scale and multi-variable data. Taking this article as an example, the number of freeze–thaw cycles was selected as the initial variable, and the corresponding soil parameters were obtained according to different freeze–thaw cycles, such as the elastic modulus, cohesion, and the internal friction angle of the soil. Then, a finite element numerical simulation was carried out to obtain the lateral-bearing capacity, lateral displacement, pile foundation stiffness, and maximum internal force of a pile foundation under different variables. Through the above process, the machine learning prediction database of lateral load response of a pile foundation under soil freeze–thaw cycle was established. Selecting 70% as the training set and 30% as the test set and comparing the prediction accuracy of the multiple linear regression algorithm, Lasso regression algorithm, Bayesian linear regression, and gradient boosting regression, the optimal machine learning prediction algorithm was obtained. The machine learning prediction model of the lateral load response of a pile foundation under freeze–thaw cycles was established to predict the maximum lateral-bearing capacity, lateral deformation, maximum internal force, and deformation of a pile foundation.
In summary, the research results of this paper reveal the influence of the soil freeze–thaw effect on the lateral load response of a bridge pile foundation in seasonally frozen soil and permafrost regions, which can provide some reference for the involvement of pile foundation bridges in frozen regions. However, there are also some shortcomings to this study. The freeze–thaw effect of soil is studied in a single way, and the coupling of various environmental factors under the freeze–thaw effect needs to be considered in a follow-up study. These efforts will help to improve the safety and reliability of bridge foundations in permafrost regions and provide more scientific and comprehensive guidance for engineering practice.
6. Conclusions
In this article, using the numerical simulation method, the impact of varying freeze–thaw cycles on the lateral load response of a bridge pile foundation with an elevated cap was investigated under seasonally frozen soil conditions and permafrost conditions. Through comparative analysis, the following conclusions can be obtained:
1. The established finite element (FE) model in this study exhibits excellent agreement with the quasi-static test results. It can better simulate the influence of soil freezing and thawing on the lateral load response of a bridge pile foundation.
2. Soil freeze–thaw cycles have a greater impact on seasonally frozen soil regions compared with permafrost regions. The maximum lateral bearing capacity of the pile–soil system tends to decrease as the number of freeze–thaw cycles increases; however, once the number of freeze–thaw cycles reach a certain threshold, their effect on the maximum lateral bearing capacity becomes negligible.
3. The stiffness of a pile–soil system is significantly influenced by the initial soil freeze–thaw cycles under various working conditions. When the number of freeze–thaw cycles increased from 0 to three times, the stiffness of the seasonally frozen soil decreased from 9.44 kN/mm to 7.87 kN/mm, representing a reduction of 16.6%. Under permafrost conditions, the stiffness changed from 16.3 kN/mm to 14.8 kN/mm, indicating a decrease of 9.2%.
4. The impact of soil undergoing multiple cycles of freezing and thawing on bending moment and shear force of a pile is negligible under both seasonally frozen soil conditions and permafrost conditions. Irrespective of the soil’s freeze–thaw cycles, there is minimal variation observed in the distribution trend of bending moments and shear forces along the pile.
5. The impact of soil undergoing multiple cycles of freezing and thawing on the deformation capacity of pile–soil system remains consistent under both seasonally frozen and permafrost conditions. As the number of soil freeze–thaw cycles increases, the deformation capacity of the pile–soil system initially decreases and then stabilizes. However, there is a difference in the number of soil freeze–thaw cycles required to stabilize the pile–soil system between these two conditions: seven times for seasonally frozen soil and ten times for permafrost conditions.
Author Contributions
Conceptualization, W.W., X.Z., S.Y. and J.G.; methodology, W.W., X.Z., S.Y. and J.G.; software, W.W., X.Z. and S.Y.; validation, W.W., X.Z. and S.Y.; investigation, W.W., X.Z., S.Y., and J.G.; data curation, W.W. and X.Z.; writing—original draft preparation, W.W. and X.Z.; visualization, W.W., X.Z. and S.Y.; supervision, X.Z.; project administration, X.Z.; funding acquisition, X.Z. All authors have read and agreed to the published version of the manuscript.
Funding
This research is supported by the National Natural Science Foundation of China (No. 52068045 Xiyin Zhang), the Science and technology project of Gansu Provincial Transportation Department (222206 Xiyin Zhang), and the Key Research and Development Project of Lanzhou Jiaotong University (LZJTU-ZDYF2305 Xiyin Zhang). The authors gratefully express their gratitude for the financial support.
Informed Consent Statement
Informed consent was obtained from all subjects involved in this study.
Data Availability Statement
Data related to this research are not available for public access.
Conflicts of Interest
The authors declare no conflicts of interest.
References
- McLean, J.; Saeidi, A.; Chavali, R.V.P.; Seifaddini, M.; Clement, A.; Barbarisque, T.; Bilodeau, J.P. Adfreeze Strength of Wooden Piles in Warm Permafrost Soil. J. Cold Reg. Eng. 2023, 37, 04023002. [Google Scholar] [CrossRef]
- Kim, Y.; Jeong, S. Analysis of soil resistance on laterally loaded piles based on 3D soil–pile interaction. Comput. Geotech. 2011, 38, 248–257. [Google Scholar] [CrossRef]
- Memarpour, M.M.; Kimiaei, M.; Shayanfar, M.; Khanzadi, M. Cyclic lateral response of pile foundations in offshore platforms. Comput. Geotech. 2012, 42, 180–192. [Google Scholar] [CrossRef]
- Debnath, K.; Chaudhuri, S. Effect of suspended sediment concentration on local scour around cylinder for clay–sand mixed sediment beds. Eng. Geol. 2011, 117, 236–245. [Google Scholar] [CrossRef]
- Fei, W.P.; Yang, Z.H.J.; Sun, T.C. Ground freezing impact on laterally loaded pile foundations considering strain rate effect. Cold Reg. Sci. Technol. 2019, 157, 53–63. [Google Scholar] [CrossRef]
- Chen, R.P.; Sun, Y.X.; Zhu, B.; Guo, W.D. Lateral cyclic pile–soil interaction studies on a rigid model monopole. Proc. Inst. Civ. Eng. -Geotech. Eng. 2015, 168, 120–130. [Google Scholar] [CrossRef]
- Rollins, K.M.; Peterson, K.T.; Weaver, T.J. Lateral load behavior of full-scale pile group in clay. J. Geotech. Geoenviron. Eng. 1998, 124, 468–478. [Google Scholar] [CrossRef]
- Rollins, K.M.; Lane, J.D.; Gerber, T.M. Measured and computed lateral response of a pile group in sand. J. Geotech. Geoenviron. Eng. 2005, 131, 103–114. [Google Scholar] [CrossRef]
- Fatahi, B.; Basack, S.; Ryan, P.; Zhou, W.H. Performance of laterally loaded piles considering soil and interface parameters. Geomech. Eng. 2014, 7, 495–524. [Google Scholar] [CrossRef]
- Neukirchner, R.J. Analysis of laterally loaded piles in permafrost. J. Geotech. Eng. 1987, 113, 15–29. [Google Scholar] [CrossRef]
- Zhang, F.; Dai, G.L.; Gong, W.M. Analysis solution of the lateral load response of offshore monopile foundations under asymmetric scour. Ocean Eng. 2021, 239, 109826. [Google Scholar] [CrossRef]
- Lee, J.; Kyung, D.; Hong, J.; Kim, D. Experimental Investigation Of Laterally Loaded Piles in Sand Under Multilayered Conditions. Soils Found. 2011, 51, 915–927. [Google Scholar] [CrossRef]
- Yang, Z.H.; Li, Q.; Horazdovsky, J.; Hulsey, J.L.; Marx, E.E. Performance and design of laterally loaded piles in frozen ground. J. Geotech. Geoenviron. Eng. 2017, 143, 06016031. [Google Scholar] [CrossRef]
- Suleiman, M.T.; Sritharan, S.; White, D.J. Cyclic lateral load response of bridge column-foundation-soil systems in freezing conditions. J. Struct. Eng. 2006, 132, 1745–1754. [Google Scholar] [CrossRef]
- Lu, J.F.; Yin, J.; Shuai, J. A model for predicting the frost-heave effect of a pile embedded in the frozen soil. Cold Reg. Sci. Technol. 2018, 146, 214–222. [Google Scholar] [CrossRef]
- Zhang, X.Y.; Yu, S.S.; Wang, W.P.; Guan, J.D.; Xu, Z.J.; Chen, X.C. Nonlinear seismic response of the bridge pile foundation with elevated and embedded caps in frozen soils. Soil Dyn. Earthq. Eng. 2022, 161, 107403. [Google Scholar] [CrossRef]
- Qi, J.L.; Vermeer, P.A.; Cheng, G.D. A review of the influence of freeze-thaw cycles on soil geotechnical properties. Permafr. Periglac. Process. 2006, 17, 245–252. [Google Scholar] [CrossRef]
- Konrad, J.M. Physical processes during freeze-thaw cycles in clayey silts. Cold. Reg. Sci. Technol. 1989, 16, 291–303. [Google Scholar] [CrossRef]
- Liu, J.K.; Wang, T.L.; Tian, Y.H. Experimental study of the dynamic properties of cement- and lime-modified clay soils subjected to freeze-thaw cycles. Cold. Reg. Sci. Technol. 2010, 61, 29–33. [Google Scholar] [CrossRef]
- Konrad, J.M. Effect of freeze–thaw cycles on the freezing characteristics of a clayey silt at various overconsolidation ratios. Can. Geotech. J. 1989, 26, 217–226. [Google Scholar] [CrossRef]
- Qiu, P.Y.; Tang, L.Y.; Zheng, J.G.; Wang, W.B.; Li, Y.Q.; Li, G.Y.; Jin, L.; Yu, Y.T.; Duan, X. Experimental investigations on the shear strength and creep properties of soil-rock mixture under freeze-thaw cycles. Cold Reg. Sci. Technol. 2023, 2023, 104037. [Google Scholar] [CrossRef]
- Dong, C.J.; Gu, Y.Z.; Jia, Y.L.; Wei, P.J.; Jin, J.W.; Deng, Y.F.; Yang, P.Z.; Chen, S.Y. Effects of freeze-thaw cycles on the size distribution and stability of soil aggregate in the permafrost regions of the Qinghai-Tibetan Plateau. Environ. Res. Commun. 2023, 5, 095008. [Google Scholar] [CrossRef]
- Zhang, X.Y.; Yang, Z.H.J.; Chen, X.C.; Guan, J.D.; Pei, W.S.; Luo, T. Experimental study of frozen soil effect on seismic behavior of bridge pile foundations in cold regions. Structures 2021, 32, 1752–1762. [Google Scholar] [CrossRef]
- Zhang, X.Y.; Guan, J.D.; Chen, X.C.; Pei, W.S.; Yu, S.S.; Wang, Y.; Wang, W.P. Effect of permafrost on seismic performance of railway bridge pile foundation with elevated cap. Int. J. Struct. Stab. Dyn. 2022, 22, 2241002. [Google Scholar] [CrossRef]
- Wang, W.P.; Zhang, X.Y.; Wang, Y.; Yu, S.S.; Xu, Z.J.; Sun, B.J. Variation characteristics and influencing factors of loess shear strength in seasonal frozen soil region. J. Harbin Inst. Technol. 2022, 54, 143–150. [Google Scholar] [CrossRef]
- Wang, D.Y.; Ma, W.; Niu, Y.H.; Chang, X.X.; Wen, Z. Effects of cyclic freezing and thawing on mechanical properties of Qinghai–Tibet clay. Cold Reg. Sci. Technol. 2007, 48, 34–43. [Google Scholar] [CrossRef]
- Liu, B.; Lu, W. Surrogate models in machine learning for computational stochastic multi-scale modelling in composite materials design. Int. J. Hydromechatron. 2022, 5, 336–365. [Google Scholar] [CrossRef]
- Wang, H.; Sun, W.; Sun, W.; Ren, Y.; Zhou, Y.; Qian, Q.; Kumar, A. A novel tool condition monitoring based on Gramian angular field and comparative learning. Int. J. Hydromechatron. 2023, 6, 93–107. [Google Scholar] [CrossRef]
- Luo, C. KELL: A kernel-embedded local learning for data-intensive modeling. Artif. Intell. Appl. 2024, 2, 38–44. [Google Scholar] [CrossRef]
- Wang, D.; Gao, L.; Qu, Y.; Sun, X.; Liao, W. Frequency-to-spectrum mapping GAN for semisupervised hyperspectral anomaly detection. CAAI Trans. Intell. Technol. 2023, 8, 1258–1273. [Google Scholar] [CrossRef]
Disclaimer/Publisher’s Note: The statements, opinions and data contained in all publications are solely those of the individual author(s) and contributor(s) and not of MDPI and/or the editor(s). MDPI and/or the editor(s) disclaim responsibility for any injury to people or property resulting from any ideas, methods, instructions or products referred to in the content. |
© 2024 by the authors. Licensee MDPI, Basel, Switzerland. This article is an open access article distributed under the terms and conditions of the Creative Commons Attribution (CC BY) license (https://creativecommons.org/licenses/by/4.0/).














