Abstract
Cable-stiffened steel columns (CSSC) have a high load-carrying capacity and strong stability compared to ordinary steel columns. In practical engineering, the connection between the crossarm and main column of a CSSC is usually welded. However, the welding-residual stress adversely affects the steel column. In this study, pre-cast CSSCs, with a pinned connection between the crossarm and main column, are presented. The new type of pre-cast CSSCs avoid the welding-residual and are easy to disassemble. A model test and numerical analysis of its global stability behavior under eccentric compression is conducted. Based on the analysis, the buckling modes of these columns are defined and a method for determining the governing imperfection in a nonlinear buckling analysis is proposed. The effects of slenderness ratio, cross-arm length, cable diameter, and other parameters on the load-carrying capacities of the columns are investigated using the proposed method. The results of this study can be used as a reference for the engineering designs and specifications of pre-cast CSSCs.
1. Introduction
Cable-stiffened steel columns (CSSCs) are basic components of prestressed steel structures. By introducing crossarms and prestressed cables into the slender columns, this reduces the effective length of the columns and enhances their load-carrying capacity []. Scholars have confirmed that the CSSCs have a high load-carrying capacity and can significantly reduce material usage compared to ordinary columns [,]. For planar prestressed structural systems, the application of cables and crossarms can provide 10–20% economic savings []. CSSCs have been widely used in buildings worldwide [,].
Research on the behavior of CSSCs started back to the 1960s. Scholars focused on the theoretical formula to analyze the buckling load of these structures [,]. To deepen the research on the stability of CSSCs, the finite element method and machine learning method were applied to the analysis; the results showed that these methods can accurately evaluate the nonlinear buckling behavior and ultimate load of CSSCs [,]. Due to various factors affecting the stability of columns, researchers have conducted extensive studies on these influencing factors. Some scholars [,] focused on the relationship between stability and initial prestress of cables. And Saito [] proposed a formula for the optimal initial pretension calculation based on the previous study. Apart from initial pretension of cables, a number of researchers found that initial imperfections adversely affect the stability of columns. Scholars [,,] studied the sensitivity of different types of CSSCs to initial imperfections. Wang and Li et al. [,] proposed a method by which to determine the optimal length of CSSCs based on minimizing their structural strain energy. Martins et al. [] indicated that high-strength steel can improve the mechanical performance of CSSCs. Additionally, scholars [,] analyzed the influence of different parameters on the stability of CSSCs using numerical analysis and model experiments, such as column section geometry, cable diameter, initial prestress of the cable, and steel strength. Wadee et al. [] simplified the formula for calculating the maximum load-carrying capacities of single-bay CSSCs, reflecting the numerical relationship between the structural geometric parameters, material behavior, initial imperfections, initial prestress, and buckling loads.
The types of CSSCs are diverse, and each type exhibits significant differences in mechanical performance. Li et al. [] conducted a study on the global stability behavior of CSSCs containing three crossarms, analyzed the relationship between buckling mode and governing imperfection. Steirteghem et al. [] proposed a new type of CSSCs with a split-up crossarm, finding that a reasonable arrangement of the split-up crossarm can reduce material consumption by 20% compared with that of traditional CSSCs. Other scholars [,] also proposed various new types of CSSCs and conducted in-depth studies on their stability performance.
Notably, much of the existing research focuses on CSSCs with rigid connections between the crossarm and the main column. Compared to the rigid connected CSSCs, the pre-cast ones with a pinned connection between the cross-arm and main column is easily constructed. And it has also been proven that the pre-cast CSSC could be practically used []. The stability behavior of pre-cast CSSCs is still worthy of being investigated, especially under eccentrical compression load. Therefore, this study aimed to examine the stability behavior of this pre-cast column under eccentrical load. A model experiment on the global stability of eight pre-cast CSSCs was conducted. Additionally, several numerical analyses were conducted to reveal the global stability of these columns. The behavior of pre-cast CSSCs was demonstrated, and the effects of different parameters on the capacity and buckling modes were presented. The results of this current work could be of assistance in designing this pre-cast steel column.
2. Experiments of the Pre-Cast CSSCs under Eccentric Compression
As mentioned previously, experiments of eight pre-cast CSSCs are conducted in this study. The purpose is to investigate the influence of factors such as the initial prestress of cables, load eccentricity, and crossarm length and verify the accuracy of the numerical analysis results by comparing these with the experimental results.
2.1. Experimental Specimens
The basic experimental model is shown in Figure 1, where the eight cables are numbered for convenience. In this test, the cable diameter and column height are set as 9.3 mm and 2200 mm, respectively. The main column and crossarm are made of round-steel tubes. The nominal-section diameter and thickness of the main column are 42 mm and 5.5 mm, respectively, and those of the crossarms are 20 mm and 4 mm, respectively. The crossarm and main column are connected by a pin shaft such that the former can rotate in the plane formed by the crossarm and main column.
Figure 1.
Pre-cast CSSC model.
The initial pretension force that corresponds to the maximum critical buckling load was used to be the benchmark for the experimental study. According to previous research [], can be calculated from Equation (1):
where is the maximum critical buckling load of the CSSCs that can be calculated from Equation (2):
where is the buckling load when the initial pretension is zero during linear buckling analysis, and the coefficients and are calculated from Equations (3) and (4):
where is the angle between the cable and main column, and , and are the axial stiffnesses of the cable, crossarm, and main column, respectively.
Two levels of initial pretension forces are designed in the experimental models, and their values are and . In addition, two eccentricities and three cross-arm lengths are considered. The values of the three above-mentioned parameters are listed in Table 1. The columns listed in Table 1 are labeled in the following format for convenience: “crossarm length-eccentricity-initial pretension force”. For example, “250-20-0.5T” indicates that the cross-arm length is 250 mm, eccentricity is 20 mm, and initial pretension force is .
Table 1.
Member labels and parameters.
2.2. Material Properties Experiments
In this study, Q355 steel was used for the main columns while Q235 steel was used for the crossarms according to the “Standard for design of steel structures” []. To clarify the material properties of the columns and crossarms, the material properties experiment was conducted prior to the compression experiment. In addition, the material properties of the cable systems were also determined by the experiment.
2.2.1. Material Properties of Column and Crossarms
According to the “Metallic materials—Tensile testing—Part 1: Method of test at room temperature” [], specimens of the main column and crossarm were prepared for the examination of the material properties. As shown in Figure 2, the crossarm specimen was a short circular steel tube and the main column specimen was a plate. During the material properties experiment, three repeated tensile tests were conducted on the main column and crossarm specimens. The tensile stress was obtained by the tensile testing machine while the strain was obtained by an extensometer. According to the stress versus strain curves, the average elastic modulus of the main column is 208,367 MPa, the average yield strength is 415 MPa, and the average ultimate strength is 545 MPa. In contrast, the average elastic modulus of the crossarm is 180,747 MPa, the average yield strength is 287 MPa, and the average ultimate strength is 407 MPa [].
Figure 2.
Material properties experiment of crossarms and columns [].
2.2.2. Material Property of Cable
The cable system for the CSSCs comprises a tension sensor, a positive and negative sleeve, and a cable. The material property of the cable system was examined via the scheme shown in Figure 3. The initial length of the cable system is about 1.10 m, and it can be stretched by the nut and the pretension force can be recorded by the tension sensor. As for the extension of the cable system, it can be recorded by the displacement gauge parallel to the cable system.
Figure 3.
Scheme for the cable system property experiment.
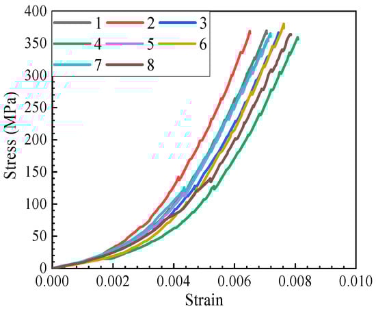
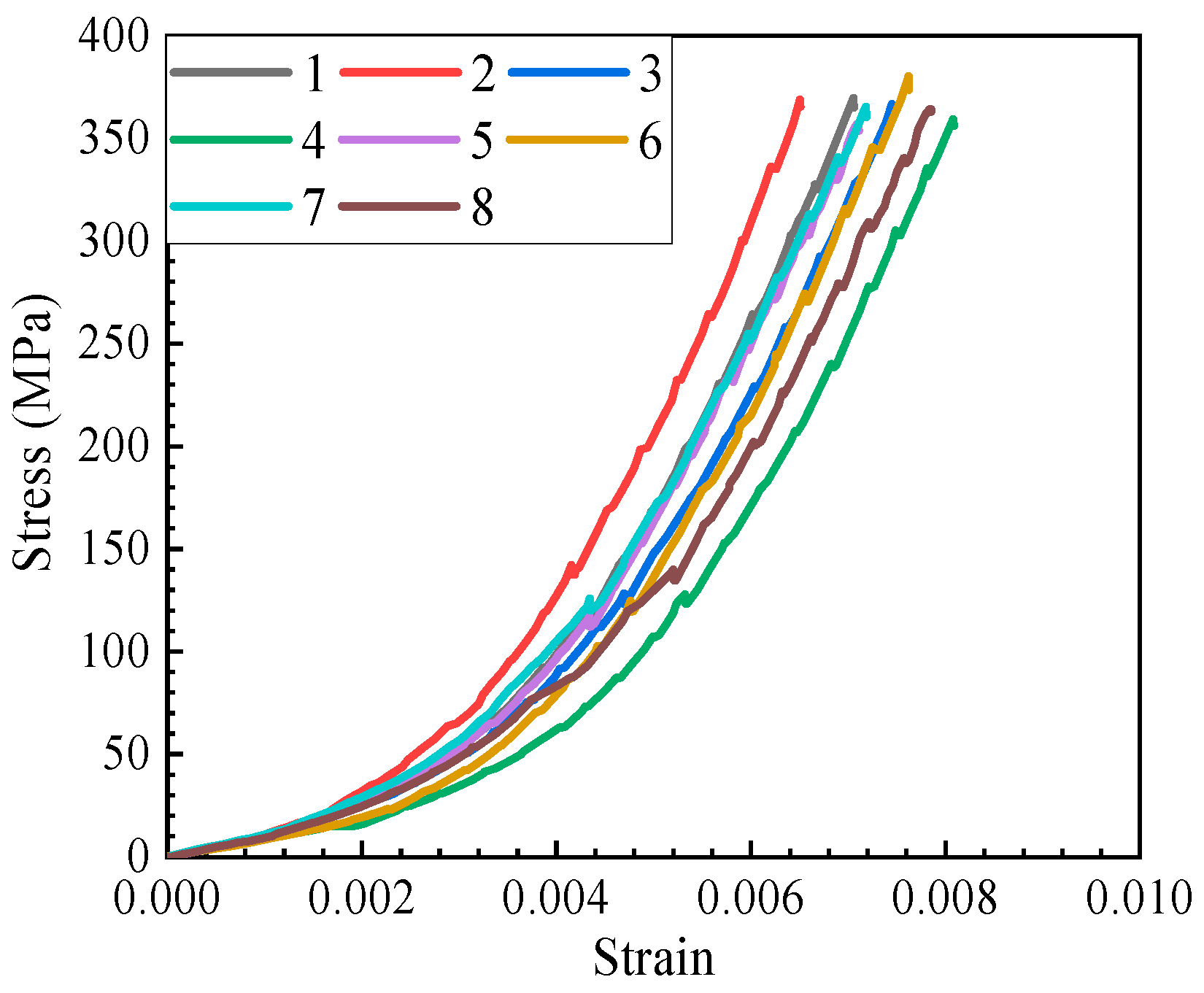
The material properties of eight cable systems for CSSCs are examined using the scheme shown in Figure 3. The stress versus strain curves are presented in Figure 4, in which the numbers 1–8 correspond to the cable systems as numbered in Figure 1. In the figure, the strain of the cable system is indirectly calculated from the displacement measured by displacement sensors, while the stress is measured through a tension sensor. The cable system is composed of cables, sensors, sleeves, and shackles. Under the influence of tensile force, additional deformation occurs in sensors, sleeves and shackles, leading to an increase in strain. Consequently, it results in a measured elastic modulus that is significantly lower than elastic modulus of the cable itself. Additionally, this deformation contributes to the nonlinearity observed in the stress versus strain curves. To determine the elastic modulus of the cable systems, segments of the curves where the stress exceeds 150 MPa where selected. Linear regression was then applied to these segments, and the slope of the resulting fitted line was taken as the elastic modulus. From this analysis, the average elastic modulus of the cable systems was found to be approximately 94 GPa.
Figure 4.
Stress versus strain curves of the cable systems.
2.3. Actual Dimensions and Out-of-Straight of CSSCs
The actual dimensions and out-of-straight of tested columns were measured using the method referred to in article []. As illustrated in Figure 5, the main column was divided into six equal segments along the length and marked five equidistant points. The ideal distance is the distance from the ideal central axis to the laser line minus the column radius, while the difference between the ideal and actual distances represents the initial geometric imperfection at each equidistant point. With this method, Table 2 presents the measured lengths and sectional dimensions of CSSCs. As can be seen, the actual dimensions of the crossarms and main columns are quite close to their nominal magnitudes.
Figure 5.
Measurement method for initial geometric imperfection [].
Table 2.
Dimensions of the steel columns.
The stability of the compression steel column is affected by its initial geometric imperfections; therefore, the initial out-of-straight of the pre-cast CSSCs are measured as well. In this study, the initial out-of-straight of the main column positions at distances of 0, 367, 734, 1100, 1468, 1835, and 2200 mm from the column ends were measured. Figure 6 presents the initial out-of-straights of all the eight columns; the vertical axis is the length of the main column; and the horizontal axis represents the initial out-of-straight. The majority of the imperfections are observed to fall within the range [−1.5 mm, 1.5 mm], and the absolute maximum imperfection is a low value of less than 2 mm.
Figure 6.
Initial out-of-straight of pre-cast CSSCs: (a) 250 mm; (b) 200 mm and 150 mm.
2.4. Initial Prestress
In this study, a positive and negative sleeve is used to apply prestresses to the cables. However, it is difficult to apply the prestress to the desired value accurately. Therefore, the actual prestress of the cable is measured and adjusted to prevent the measured value from deviating too far from the design value. Figure 7 shows the actual initial pretension force values of all the cables that are slightly different from the expected values, and the maximum error is less than 0.22 kN. The horizontal axis of Figure 7 represents the cable numbers that have been illustrated in Figure 1.
Figure 7.
Measured initial pretension forces of the cables: (a) 250 mm; (b) 200 mm and 150 mm.
2.5. Test Loading Scheme
The steel-column-loading test is performed using a 1000 kN hydraulic testing machine, and the displacement loading method is applied. As shown in Figure 8, the column end hinged constraints are simulated using a one-way knife-edge hinge support on the test machine.
Figure 8.
Steel column loading scheme: (a) layout of the measuring points; (b) test setup.
The layouts of the displacement gauges and strain gauges are shown in Figure 8. Displacement gauges 1#, 2#, and 3# are used to measure the lateral deflection at the upper, mid-span, and lower quarter of the main column, respectively, and displacement gauges 4# and 5# are used to measure the axial compression of the main column. Strain gauges 1*–8* are used to measure the strain at the upper, mid-span, and lower quarters of the main column. The strain gauges 3* and 4* are placed in the plane that is formed by 1#, 2#, and 3# displacement gauges. In contrast, 5* and 6* strain gauges are placed in the plane that is perpendicular to the one formed by 1#, 2#, and 3# displacement gauges.
3. Analysis of the Test Results
Eight pre-cast CSSCs are tested using the above test scheme. The influence of different parameters on their global stabilities is investigated by comparing their buckling modes and load-carrying capacities obtained from the test. Simultaneously, three displacement gauges are placed along the axial direction of the main column to record the variation in lateral deflection, and the buckling modes of the columns are described according to the recorded lateral deflection.
3.1. Comparison of the Behavior of Columns with Various Types
To compare the stability of columns with different types, three columns were selected, as shown in Figure 9. The pinned connected CSSC is the column numbered 250-20-T in this study, while the other two columns are referenced from []. All three columns have the same length of 2200 mm and are subjected to a compression load with an eccentricity of 20 mm. The two CSSCs both feature crossarm lengths of 250 mm and cable diameters of 9.3 mm. As illustrated in Figure 9a, the ultimate load of CSSCs was significantly higher than that of ordinary column. Comparatively, the two CSSCs exhibit similar ultimate load. Additionally, the buckling modes of the three columns are shown in Figure 9b. The deflection of ordinary column is higher than that of CSSCs, while deflections of two CSSCs are similar. However, the buckling modes of two CSSCs differed: the pinned connected CSSC displays a symmetric buckling mode, whereas the welded connected CSSC exhibited an asymmetric buckling mode. Therefore, it can be concluded that the stability of the CSSCs is significantly higher than that of the ordinary column. The type of connection has a minor influence on the load-carrying capacity but can alter the buckling mode of the CSSCs.
Figure 9.
Comparison between various types of columns []: (a) load versus displacement curve; (b) buckling mode.
3.2. Comparison of the Behaviors of the Pre-Cast CSSCs for Different Initial Prestresses
Figure 10 shows the curves of the loads and deflections of the upper quarter, mid-span, and lower quarter of the columns with crossarm lengths of 250 mm each for four different conditions. Additionally, the designed values of the initial pretension force are and , and the eccentricities are 0 and 20 mm. As shown in Figure 10, eccentric loading reduces the load-carrying capacity of the columns and the mid-span deflections of the columns increase with the increase in load eccentricity at the ultimate load-carrying capacity because of the large second-order effect of the steel columns under eccentric loading.

Figure 10.
Load–deflection curves of the pre-cast CSSCs: (a) 250-0-T; (b) 250-20-T; (c) 250-0-0.5T; (d) 250-20-0.5T.
Figure 11 shows the buckling modes of the steel columns at the ultimate load-carrying capacity. The horizontal axis in the figure represents the lateral deflection, and the vertical axis represents the column length. The lateral deflection in the figure is measured by three displacement gauges placed along the columns during the test. The buckling modes of the columns vary with the initial prestress and load eccentricity. For example, for 250-0-T, the buckling mode is asymmetric, whereas for 250-20-0.5T, the buckling mode is symmetric.
Figure 11.
Buckling modes of the pre-cast CSSCs.
Figure 12 shows the relationship between load and strain measured in the upper-quarter, mid-span, and lower-quarter sections of the columns. 1*–8* in Figure 12 represent strain gauge 1*–8* (as shown in Figure 8a), respectively. The measured strain during axial compression of the columns is negative before buckling, indicating the presence of compressive strain. The eccentric compression of the steel column may be attributed to tensile strain before buckling because the deformation of the steel column before buckling is mainly axial compression, and the lateral deformation is relatively small. The eccentric compression of the steel column causes a large degree of lateral deformation before buckling.
Figure 12.
Load–strain curves for different points on the columns: (a) 250-0-T; (b) 250-20-T; (c) 250-0-0.5T; (d) 250-20-0.5T.
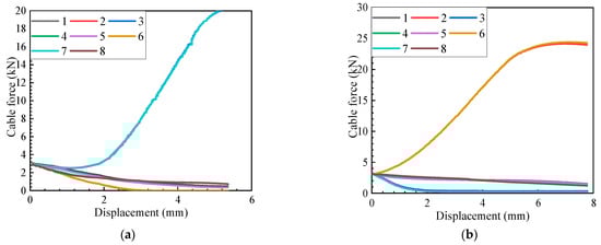
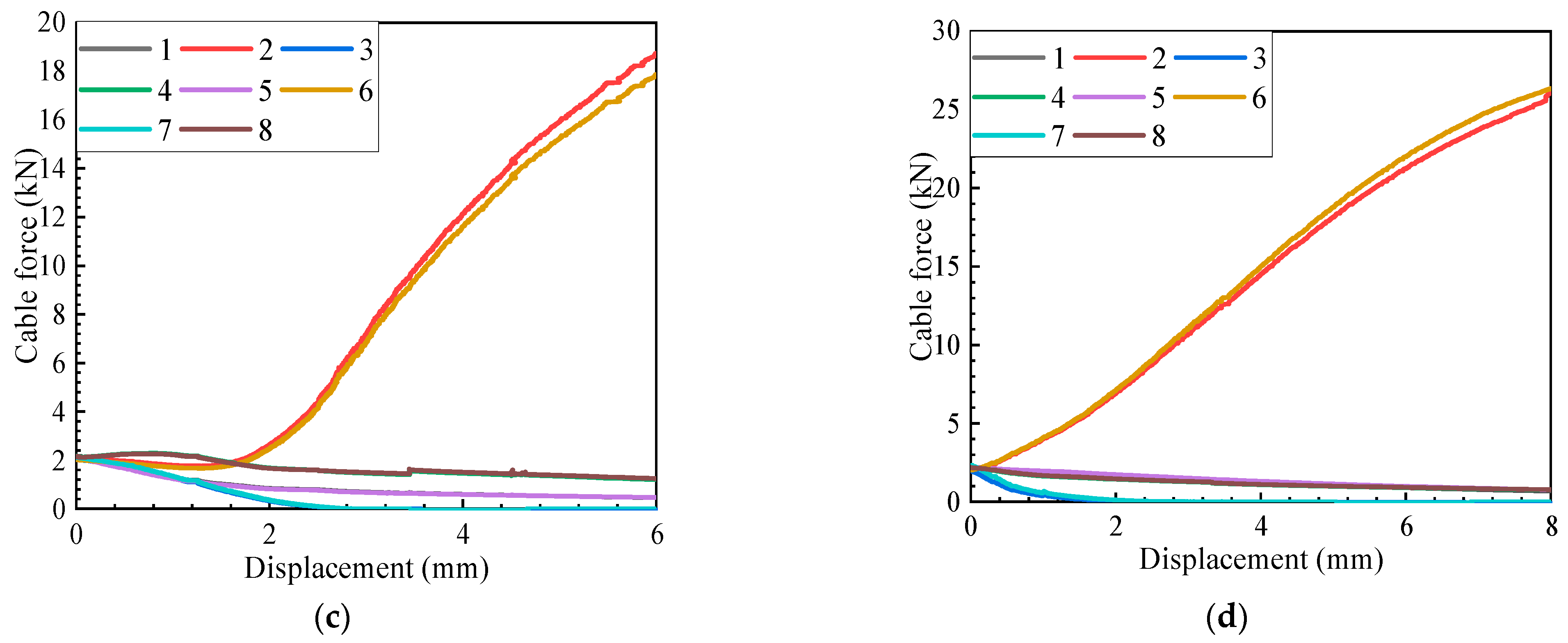
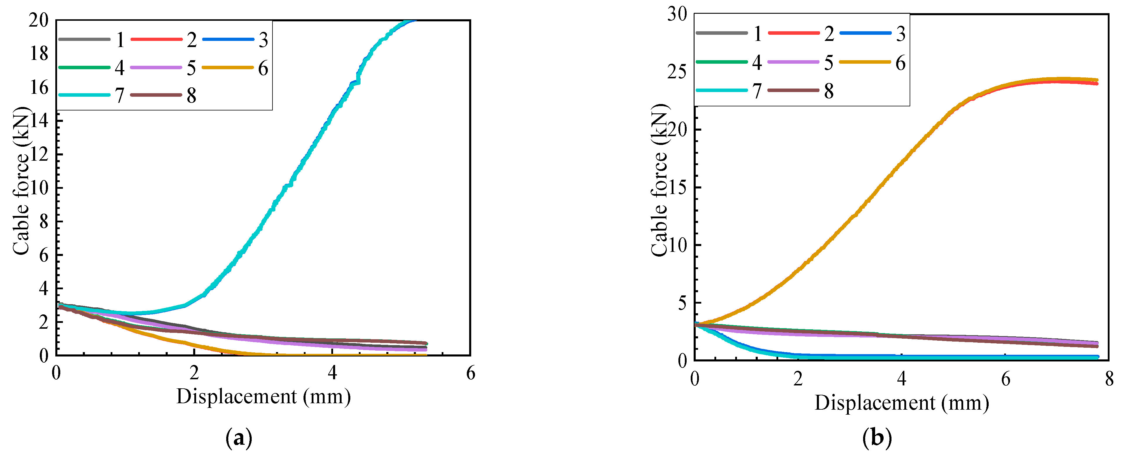
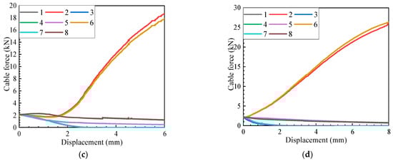
Figure 13 shows the relationship between cable force and axial displacement of the main column. The numbers 1–8 in Figure 13 represent the eight cables numbered in Figure 1. The cable forces of the eight cables of the axial compression steel column (Figure 13a,c) initially decrease. Subsequently, the cable forces of the two cables on the convex side increase rapidly, whereas those of the two cables on the concave side decrease rapidly until relaxation. The cable force of the eccentric compression steel column (Figure 13b,d) located on the convex side is always increasing; however, the growth is slow in the early stage and accelerates in the later stage.

Figure 13.
Cable force–displacement curves of the main column: (a) 250-0-T; (b) 250-20-T; (c) 250-0-0.5T; (d) 250-20-0.5T.
3.3. Comparison of the Behaviors of the Pre-Cast CSSCs with Different Crossarm Lengths
Figure 14 shows the curves of the loads and deflections of the upper, mid-span, and lower quarters of the steel columns with cross-arms of 150 and 200 mm in length at 0 and 20 mm eccentricities. The load eccentricities reduce the load-carrying capacities of the pre-cast CSSCs; the load-carrying capacities further decrease with the decrease in the cross-arm lengths.
Figure 14.
Load–deflection curves of the pre-cast CSSCs: (a) 200-0-T; (b) 200-20-T; (c) 150-0-T; (d) 150-20-T.
Figure 15 shows a schematic diagram of the buckling modes of the columns with different cross-arm lengths. Similar to Figure 11, the vertical axis in Figure 15 represents the column length, and the horizontal axis represents the lateral deflection of the column at three cross-section positions measured by the four displacement gauges shown in Figure 8. Comparing the schematic diagrams of the buckling modes in Figure 11 and Figure 15, the column modes are observed to change from a symmetric mode (150-0-T and 200-0-T) to an asymmetric mode (250-0-T) with the increase in the cross-arm lengths.
Figure 15.
Buckling modes of the columns.
Figure 16 shows the relationship between loads and strains measured in the upper-quarter, mid-span, and lower quarter of the steel columns with different cross-arm lengths. Before buckling, the axially compressed steel column experiences compressive strain but the eccentrically compressed steel column experiences tensile strain. The shorter the cross-arm length, the faster the tensile strain increases. This is because the shorter the cross-arm length, the lower the global stiffness of the steel column and the greater the lateral deformation before buckling.

Figure 16.
Load–strain curves for different points on the steel columns: (a) 200-0-T; (b) 200-20-T; (c) 150-0-T; (d) 150-20-T.
Figure 17 shows the relationship between the cable forces and axial displacement of the main column. The curves for different cross-arm lengths are observed to be similar; however, the curves for the axial compression and eccentric compression are different. The main difference is that the cable forces of the two cables located on the convex side of the column under axial compression decrease first and subsequently increase, whereas those of the two cables located on the convex side of the columns under eccentric compression increase throughout because the lateral deflection of the column under eccentric compression is significant in the initial stage of loading such that the cable forces of the two cables on the convex side increase. The deformation of the column under axial compression is mainly the compression deformation of the main column at the early stage of compression; therefore, the cable forces initially decrease. However, with the increase in the deflection of the column, the cable forces of the two cables located on the convex side increase.

Figure 17.
Force–displacement curves of the cables: (a) 200-0-T; (b) 200-20-T; (c) 150-0-T; (d) 150-20-T.
The experimental results indicate that compared to ordinary columns, CSSCs exhibit significantly enhanced load-carrying capacity and stability. Although the load-carrying capacity of the pinned connected CSSCs decreases compared to welded connected CSSCs, the reduction is relatively small. This suggests that the connection method between the crossarm and the main column has a minor impact on the load-carrying capacity of the CSSCs. During the buckling process of the columns, the cable system plays a role in resisting the bending of the columns. However, as the load eccentricity gradually increases, the stability of the CSSCs decreases to some extent, leading to increased column deflection and changes in the buckling mode.
4. Numerical Analysis of the Model Test
Based on the model test, eight pre-cast CSSCs are numerically analyzed using the finite element software ABAQUS (2021 version). In the numerical analysis, the yield strengths of the main column and cross-arm are 432 and 287 MPa, respectively, and the elastic moduli are 208,367 and 180,747 MPa, respectively. An ideal elastic constitutive model was used for the cable, and the mean of the measured elastic moduli was obtained. The element type is tension-only truss element T2D2; when the initial prestress is introduced, the prestresses in the 8 cables in each component are equal and the applied prestress in numerical analysis is the average value of the measured initial prestress. The main column and cross-arms are analyzed via an ideal elastic–plastic model and simulated via beam element B21 in ABAQUS. The section sizes of the main column and cross-arms are the same as those of the measured values. In the numerical analysis, the length of the main column is considered to be the distance between the upper and lower-knife edges in the test. The initial geometric imperfection was applied according to the measured imperfections. Figure 18 shows the finite element model of the pre-cast CSSC. Their rotation constraints in the z-direction are released in the model to simulate the pinned connection between the cross-arm and the main column. Simultaneously, to simulate the knife-edge hinge support adopted in the test, the lower-end constraint of the column is set to rotate only around the z-axis, whereas the upper-end constraint is set to rotate around the z-axis and move along the y-axis.
Figure 18.
Finite element model: (a) model diagram; (b) finite element mesh.
Table 3 shows the test and numerical simulation values of the ultimate load-carrying capacity of eight pre-cast CSSCs. The test values are close to the simulation values, with a maximum error of 11%. More precisely, the numerical analysis is sufficiently accurate for studying the global stability of the pre-cast cable-stiffened columns. Thus, numerical analysis was used to further analyze the global stability behavior.
Table 3.
Test results and numerical analysis results of the steel columns.
5. Interactive Buckling of the Pre-Casted CSSCs under Eccentric Load
In this section, the buckling behaviors of the columns are numerically analyzed. Additionally, a nonlinear buckling analysis method is proposed, which considers the influence of buckling on the load-carrying capacity of the columns. Several parametric analyses were conducted to investigate the influence of various factors, such as eccentricity, cross-arm length, and cable diameter, on the stability of the columns.
5.1. Analysis Model
The pre-cast CSSCs are similar to the test model, and their compositions are shown in Figure 19. The cross-arm is set in the form of a single-layer four-cross-arm located in the mid-span of the main column. The cross-arm and main column contain pinned connections, and the column end is a hinged constraint. P and e represent the external concentrated load and eccentricity, respectively; whereas L and a represent the main-column length and cross-arm length, respectively. The main column and cross-arm are circular steel tubes with outer diameters of 40 mm and 20 mm, respectively, and a wall thickness of 5 mm. According to reference [], the main column and cross-arms are made of Q355 steel with an elastic modulus of 201 GPa and yield strength of 355 MPa. The elastic modulus of the cable material was 160 GPa. Maintaining consistency with the column-end constraints in the test, both ends of the main column in the numerical analysis are only allowed to buckle along the x–y plane, and the eccentric load is applied to the top of the main column in the +x direction (as shown in Figure 19).
Figure 19.
Pre-cast CSSC model under eccentric load.
Notably, the length of the main column significantly affects the behavior of the column; therefore, this effect must be considered. In this study, the normalized slenderness ratio () from Equation (5) is used to characterize the column length.
where the yield load , and the critical yield load according to Euler’s formula. A and are the cross-section area of the main column and yield stress of the material, respectively. E and I are the elastic modulus and section moment of inertia of the main column, respectively, and L is the length of the main column.
Similarly, the normalized load eccentricity ratio defined in Equation (6) is used to represent the eccentricity in the analysis.
where and represent the load eccentricity and flexural section modulus of the main column, respectively.
In this study, the and are 3.0–5.0 and 0–2.0, respectively, and the corresponding column lengths and load eccentricities are shown in Table 4.
Table 4.
, values and corresponding column lengths and load eccentricities [].
Furthermore, the influence of cross-arm length and cable diameter is important when studying the global stability of pre-cast CSSCs. Therefore, different cross-arm lengths and cable diameters must be chosen for the numerical analysis. In this study, the ratio of the cross-arm length and main-column length (a/L) is increased from 0.05 to 0.15 in steps of 0.025. The cross-arm lengths corresponding to different main-column lengths are listed in Table 5.
Table 5.
a/L and the corresponding cross-arm lengths [].
Five cable diameters (1.6 mm, 3.2 mm, 4.8 mm, 6.4 mm, and 8.0 mm) are chosen. The other parameters must be kept constant when investigating the influence of certain factors on the stability of pre-cast CSSCs. The columns with a main-column length of 3750 mm, cross-arm length of 375 mm, and cable diameter of 4.8 mm constitute the benchmark model. The influence of a parameter on the global stability behaviors of the columns can be determined by varying the parameter and comparing the results obtained with those from the benchmark model. Similar to Section 4, the numerical analysis in this section is conducted using ABAQUS. The main column and cross-arm are simulated using a beam element, whereas the cable is simulated using a tension-only truss element. The main-column and cross-arm materials are considered elastic–perfectly plastic materials, whereas the cable is regarded as a perfectly elastic material.
5.2. Linear Buckling Analysis
Linear Buckling Mode
Figure 20 shows the two main buckling modes of the columns. Modes 1 and 2 are observed to be an antisymmetric and a symmetric buckling mode, respectively. The antisymmetric buckling mode (mode 1) indicates that the buckling shape of the main column during linear buckling is similar to a full sinusoidal wave, and the midpoint of the main column is symmetric. The symmetric buckling mode (mode 2) is a linear buckling mode, in which the buckling shape of the main column resembles that of a sinusoidal half-wave.
Figure 20.
Typical buckling modes of the pre-casted CSSCs under eccentric loads: (a) Mode 1; (b) Mode 2.
Table 6 lists the buckling modes of all the numerical analysis models. For convenience, first-order and second-order linear modes are used in this section to represent the buckling modes mentioned above. When the buckling direction of the upper half of the full sinusoidal wave in Mode 1 and sinusoidal half-wave in Mode 2 is in the +x direction (as shown in Figure 20), the buckling forms are denoted as “1” and “2”, respectively. In contrast, “−1” and “−2” are Modes 1 and 2 in the −x direction. Cross-arm length and cable diameter are the main factors that decide the structure linear buckling mode. When a/L or cable diameter is small, the first- and second-order linear buckling modes of the structure are Modes 2 and 1, respectively. As the cross-arm length or cable diameter increases, the first two linear buckling modes change to Modes 1 and 2.
Table 6.
Summary of the typical buckling modes.
5.3. Linear Buckling Load
Figure 21 shows the changes in the first two orders of the linear buckling load with the length of the cross-arms for and in eccentrically compressed pre-cast CSSCs with different cable diameters. The two curves intersect when the cable diameters are 1.6 mm (as shown in Figure 21a) and 3.2 mm (as shown in Figure 21b). More precisely, the interactive buckling phenomenon of different-order buckling modes that affect one another may occur at this point. In addition, the buckling load corresponding to Mode 2 is significantly affected by the length of the cross-arm when the cable diameter is small, whereas the buckling load corresponding to Mode 1 is almost unaffected by the length of the cross-arm.
Figure 21.
Changes in linear buckling loads () with changes in the cross-arm length for different cable diameters: (a) ; (b) ; (c) ; (d) ; (e) .
5.4. Analytical Methods That Consider the Effect of Interactive Buckling
The results of the linear buckling analysis in Section 5.3 reveal that the columns may exhibit interactive buckling. In this section, a new initial geometric imperfection shape is constructed such that the influence of interactive buckling on the stability of the components can be considered through nonlinear buckling analysis.
5.4.1. Direction of the Initial-Geometric Imperfections
In contrast to axial compression components, the eccentrically compressed columns exhibit mechanical asymmetry due to an eccentric load. Therefore, in nonlinear analysis, the direction of the initial geometric imperfections should be considered; i.e., the most unfavorable direction of the initial geometric imperfections should be determined. In this section, the imperfection distribution is assumed to be the same as the lowest-order linear buckling mode. The initial geometric imperfection δ can be applied in two directions (as shown in Figure 22): (1) the upper half-wave of Modes 1 and 2 are applied in the +x direction; (2) the upper half-wave of Modes 1 and 2 are applied in the −x direction.
Figure 22.
Initial deformations of the main column for different imperfection directions: (a) +x-direction; (b) −x-direction.
In this study, 125 models are analyzed where the imperfections are applied in different directions. The results showed that the ultimate load-carrying capacity of the components under axial compression remains constant regardless of the direction of application of the initial geometric imperfection because the structure is geometrically and mechanically symmetric. For the component under eccentric compression in Mode 2, the ultimate load-carrying capacity is the smallest when the initial geometric imperfections are applied in the −x-direction; i.e., the −x-direction is the control direction where the initial geometric imperfection is applied in Mode 2. In Mode 1, the ultimate load-carrying capacities corresponding to the +x and −x directions are equal because the shape corresponding to Mode 1 is symmetric about the centre of the column. Additionally, the eccentric direction of the load only affects the position where the maximum lateral deflection of the main column occurs but has no influence on the ultimate load-carrying capacity of the structure.
5.4.2. Shapes of the Initial-Geometric Imperfections
In this section, the shapes of the initial geometric imperfections after determining the direction of the most unfavorable initial geometric imperfection was investigated. According to the literature (stability of prestressed stayed steel columns with a three-branch cross-arm system []), this study constructs an initial geometric imperfection. Based on the first two linear buckling modes of the column,
where L is the length of the main column and represents the size of the initial geometric imperfection. In this section, the value of is L/300. The first and second terms in parentheses on the right represent the contributions of Modes 2 and 1, respectively. Therefore, the combined coefficients and represent the weights of the symmetric and antisymmetric components, respectively, in the new imperfection distribution.
To determine the relationship between the combined coefficients, and , the axial deformation of the main column, , is assumed to be caused by the distribution of the new imperfections, , same as that caused by the distribution of the imperfections in Mode 2. Therefore, Equation (8) can be derived as follows:
where different values of and represent different initial geometric imperfection shapes. However, there are several possible values for these combined coefficients. Therefore, in the nonlinear buckling analysis, five initial geometric imperfection distribution combinations were selected for each model, as listed in Table 7.
Table 7.
Selected weights of the symmetric and antisymmetric buckling modes.
5.4.3. Interactive Buckling Analysis
The direction and shape of the initial geometric imperfection were determined in previous sections. In this section, the five combinations presented in Table 7 are used for nonlinear buckling analysis to explore the most unfavorable initial geometric imperfection shape of the columns for different parameters, such as eccentricity, cross-arm length, and cable diameter. Numbers 1–5 in the following figure represent combinations 1–5 (as shown in Table 7), respectively.
(1) The most unfavorable initial geometric imperfection shape of the column for different eccentricity ratios:
Herein, the parameters are set as follows: a/L = 0.1 and . Figure 23 shows the load–compression curves for different eccentricity ratios, and the corresponding lowest-order linear buckling mode is Mode 1 (as shown in Table 6). During axial compression (Figure 23a), the most unfavorable initial geometric imperfections of the columns are determined by the combined imperfections formed during Modes 1 and 2. These are chosen because the corresponding load-carrying capacities are the lowest. When the column is eccentrically compressed (as shown in Figure 23b–e), the imperfections of the column are determined solely by Mode 1.
Figure 23.
Influence of imperfection shape for different eccentricity ratios: (a) ; (b) ; (c) ; (d) ; (e) .
(2) The most unfavorable initial geometrical imperfection shapes of the columns for different cross-arm lengths:
Herein, the parameters are set as follows: and . Figure 24 shows the load–compression curves of the columns with different cross-arm lengths, and the corresponding lowest-order linear buckling mode of each is Mode 1 (as shown in Table 6). When a/L = 0.05, the initial geometric imperfection should be applied according to Mode 2. When the cross-arm length is large (a/L > 0.05), the initial geometric imperfection should be applied to the shape of the combination of Modes 1 and 2.
Figure 24.
Influence of the imperfection shape for different cross-arm lengths: (a) a/L = 0.05; (b) a/L = 0.075; (c) a/L = 0.1; (d) a/L = 0.125; (e) a/L = 0.15.
(3) The most unfavorable initial geometrical imperfection shapes of the columns for different cable diameters: Herein, the parameters are set as follows: and a/L = 0.1. Figure 25 shows the load–compression curves of the columns with different cable diameters, and the corresponding lowest-order linear buckling mode for each is Mode 1 (as shown in Table 6). When and , for the most unfavorable imperfection; i.e., the initial geometric imperfection should be imposed according to pure Mode 2 (Figure 25a,b). However, when the cable diameter is increased, the initial geometric imperfection should be applied according to the new shape combining Modes 1 and 2 by considering the influence of interactive buckling (Figure 25c–e).
Figure 25.
Influence of the imperfection shape for different cable diameters: (a) ; (b) ; (c) ; (d) ; (e) .
The determination principle of the most unfavorable shape of the initial geometric imperfection of the columns under eccentric compression can be summarized as follows: when the lowest-order linear buckling mode of the structure is Mode 2, the most unfavorable shape of the initial geometric imperfection is also Mode 2; when the lowest-order linear buckling mode of the structure is Mode 1, the most unfavorable shape of the initial geometric imperfection is the new imperfection distribution shape formed by the combination of Modes 1 and 2. The combined coefficients of Modes 1 and 2 are approximately 0.433 and 0.5, respectively. In the subsequent numerical analysis, initial geometric imperfections are applied according to this principle.
6. Parametric Analysis
Based on the above method, the parameters of the columns are analyzed, and the effects of the slenderness ratio, eccentricity ratio, size of initial geometric imperfections, level of initial prestress, length of cross-arms, and cable diameter on the stability of the columns are investigated.
6.1. Influences of the Slenderness Ratio and Eccentricity Ratio
To explore the influences of different slenderness ratios and eccentricity ratios on the load-carrying capacity of the columns, the parameters are set as follows: a/L = 0.1 and ; the slenderness ratio of the main column was changed from 3.0 to 5.0; the eccentricity ratio was varied from 0 to 2.0. Figure 26 shows the load–compression curves corresponding to different slenderness ratios for five different eccentricity ratios. The increases in the slenderness ratio and eccentricity ratio significantly decrease the ultimate load-carrying capacity of the structure. For a constant eccentricity ratio, the post-buckling-behavior curves of the columns increase with the increase in the slenderness ratio, and the load–compression curve declines gently after reaching the ultimate load-carrying capacity.

Figure 26.
Load–compression curves of the structures for different slenderness ratios: (a) ; (b) ; (c) ; (d) ; (e) .
6.2. Influence of the Initial Imperfection Size
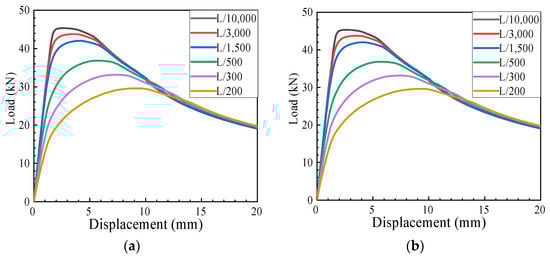
To explore the influence of the initial geometric imperfection size on the load-carrying capacity of the steel column, the parameters are set as follows: , a/L = 0.1, and = 4.8 mm. The size of the initial geometric imperfection was changed from L/10,000 to L/200 (where L is the length of the main column). Figure 27 shows the load–compression curves of the columns for different initial imperfections and eccentricity ratios. With the increase in the initial imperfection value, the ultimate load-carrying capacity of the structure decreases significantly.

Figure 27.
Load–compression curves of the pre-casted CSSCs for different eccentricity ratios: (a) ; (b) ; (c) ; (d) ; (e) .
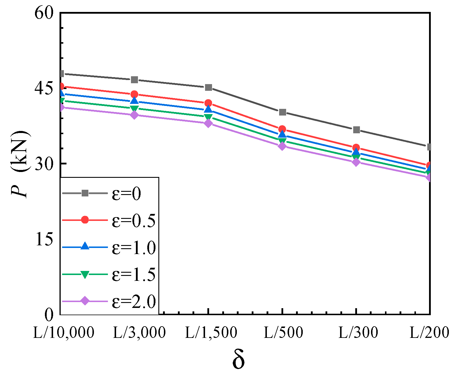
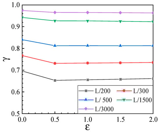
Figure 28 shows the changes in the ultimate load-carrying capacity of the columns for the different initial geometric imperfections. The load-carrying capacity curves present the same trend for different initial geometric imperfections irrespective of whether the column is under axial compression () or eccentric compression. Furthermore, when the initial geometric imperfection is less than L/1500, the load-carrying capacity decreases slowly with the increase in the initial geometric imperfection. However, when the initial geometric imperfection is greater than L/1500, the load-carrying capacity decreases rapidly.
Figure 28.
Ultimate load-carrying capacities of the columns for different initial imperfection sizes.
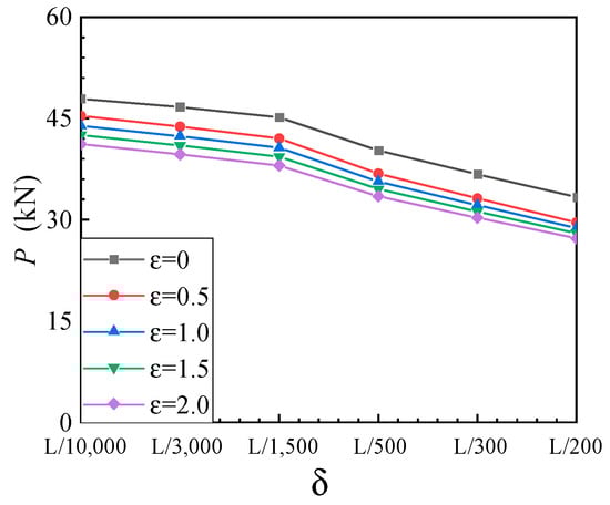
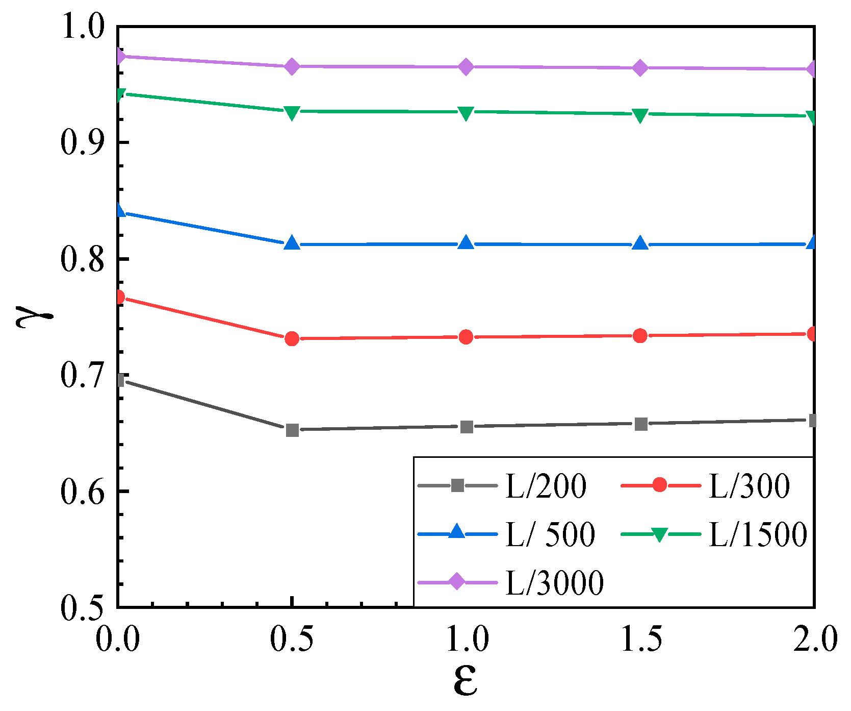
To investigate the influence of the initial-geometric imperfections on the load-carrying capacity of the columns, the initial imperfection strength reduction coefficient is introduced to describe the influence quantitatively, and the definition of is as follows:
where is the load-carrying capacity of the columns without imperfections (the load-carrying capacity corresponding to δ = L/10,000) and represents the maximum load-carrying capacity corresponding to different initial imperfections.
Figure 29 shows the strength reduction coefficients of the columns for different eccentricity ratios and initial imperfection values. The load-carrying capacity of this component is sensitive to the size of the initial imperfection, and its strength can be reduced to approximately 65% of the load-carrying capacity of the columns without imperfections. In addition, when the column changes from an axial compression state to an eccentric compression state, the strength reduction coefficient undergoes a sudden change; i.e., the initial geometric imperfection has a pronounced effect on the load-carrying capacity of the columns under eccentric compression because the second-order effect has a greater influence during eccentric compression than that during axial compression.
Figure 29.
Strength reduction coefficients of the pre-casted CSSCs.
6.3. Analysis of the Initial Prestress Levels
To explore the influence of different initial prestress levels on the stability of the columns, the parameters are set as follows: , a/L = 0.1, and . There are six values of the initial prestress: 0, , , , , and . Figure 30a–e show the load–compression curves of the columns under different stress states at different levels of initial prestress. The ultimate load-carrying capacity of the columns analyzed in this section increases with the increase in the initial prestress. Therefore, the initial prestress calculated using Equation (1) does not correspond to the maximum ultimate load-carrying capacities of the components.
Figure 30.
Load–compression curves of the columns for different initial prestress levels: (a) ; (b) ; (c) ; (d) ; (e) .
6.4. Influence of the Cross-Arm Length
To explore the influence of the cross-arm length on the stability of the columns, the parameters are set as follows: and . Figure 31 shows the load–compression curves of the columns for different eccentricity ratios and cross-arm lengths. Under axial compression, increasing the cross-arm length does not affect the load-carrying capacity of the columns (Figure 31a) because the linear buckling mode of the axially compressed steel column with these parameters is antisymmetric (as shown in Table 6), and there is no lateral displacement in the mid-span of the column. Therefore, increasing the cross-arm length cannot improve its load-carrying capacity. Under eccentric compression, increasing the cross-arm length is beneficial for improving the load-carrying capacity of the structure (Figure 31b–e) because there is a lateral displacement in the mid-span of the column under eccentric compression; thus, increasing the length of the cross-arm can improve its load-carrying capacity.
Figure 31.
Load–displacement curves of the columns for different cross-arm lengths: (a) ; (b) ; (c) ; (d) ; (e) .
6.5. Influence of Cable Diameter
To explore the influence of different cable diameters on the stability of the columns, the parameters are set as follows: and a/L = 0.1. Figure 32 shows the load–compression curves of the columns for different cable diameters and load–eccentricity ratios. In the case of axial compression (as shown in Figure 32a), when the cable diameter increases from 1.6 mm to 3.2 mm, the corresponding load-carrying capacity increases significantly; however, the load-carrying capacity does not change with the increase in cable diameter thereafter. In the case of eccentric compression (Figure 32b–e), when the cable diameter increases from 1.6 mm to 3.2 mm, the corresponding load-carrying capacity is significantly improved. Thereafter, if the cable diameter continues to increase, the load-carrying capacity improves to a small extent because the buckling mode corresponding to a cable diameter of 1.6 mm is Mode 2, whereas the buckling mode corresponding to a cable diameter greater than 1.6 mm is Mode 1. Therefore, the load-carrying capacity of the columns under axial compression and eccentric compression is significantly improved when the cable diameter increases beyond 1.6 mm. However, when the cable diameter continues to increase beyond 3.2 mm, there is no lateral deflection at the mid-span corresponding to the buckling mode of the column; thus, its load-carrying capacity does not increase. The eccentric compression steel column has a lateral deflection in the mid-span owing to the eccentric load; therefore, increasing the cable diameter can improve its load-carrying capacity to a small extent.

Figure 32.
Load–compression curves of columns for different cable diameters: (a) ; (b) ; (c) ; (d) ; (e) .
In summary, regarding the pinned connected CSSCs in this study, due to the sensitivity of the stability to slenderness and eccentricity, it is advisable to reduce the slenderness ratio as much as possible and minimize the eccentricity during design. As for the initial defects in columns, since these defects are inevitable, keeping them within L/1500 can significantly limit their impact on the load-carrying capacity. In comparison, the effect of crossarm and cable on the stability is limited. When the length of the crossarm and diameter of the cable are small, increasing them notably enhances the stability of the column. However, further increases diminish this effect. Once the buckling mode transitions to antisymmetric buckling mode, further increases in both components no longer have a pronounced effect. Therefore, it is recommended to keep the length of the crossarm and diameter of cables within an appropriate range to ensure that the column exhibits an antisymmetric buckling mode.
7. Conclusions
In this study, pre-cast cable-stiffened steel columns were studied to determine their global stability behavior under eccentric compression. First, model tests of these structures are conducted, and the feasibility and accuracy of the finite element analysis method are verified using the test results. On this basis, the interactive buckling behavior between two modes is studied, and the parameters of the columns are analyzed. The following conclusions are drawn from the study:
(1) According to the experimental results, by comparing the pinned connected CSSCs proposed in this study with ordinary columns and welded connected CSSCs, it was found that the load-carrying capacity of CSSCs significantly increased. Compared to welded connected CSSCs, the pinned connection only slightly reduces the load-carrying capacity. Additionally, an increase in load eccentricity or a decrease in crossarm length will both lead to a reduction in load-carrying capacity.
(2) The results of the linear buckling analysis indicate that crossarm length and cable diameter are the main factors affecting the linear buckling mode and load. A small crossarm length or cable diameter leads to a symmetric first-order linear buckling mode and an increased linear buckling load. However, when both the crossarm length and cable diameter are large, the first-order linear buckling mode becomes antisymmetric, and the linear buckling load remains nearly constant as the cable diameter increases.
(3) The nonlinear buckling analysis shows that for symmetric buckling modes, the direction of initial geometric imperfections must be considered, with the most unfavorable direction being opposite to the load eccentricity. For antisymmetric buckling modes, the direction of initial imperfections does not affect the load-carrying capacity.
(4) The parametric analysis reveals that the ultimate load-carrying capacities of pre-cast CSSCs decrease significantly with increasing slenderness ratio and load eccentricity ratio. Initial imperfections reduce the ultimate load-carrying capacities, but their sensitivity decreases with higher eccentricity ratios. The load-carrying capacities increase significantly with small crossarm lengths or cable diameters but only slightly when these parameters are large.
As prestressed structures, CSSCs may experience a reduction in structural performance during long-term use. Loss of prestress in the cable system may occur, and damage to the connections between crossarms, cables, and the main column is possible. Therefore, in the context of long-term use, a thorough investigation of the long-term performance is warranted. These studies can further enhance the research foundation required for design applications.
Author Contributions
Conceptualization, Y.Z.; Data curation, S.S., T.Z. and G.X.; Funding acquisition, P.L.; Methodology, Y.Z., J.H., S.S. and P.L.; Validation, T.Z. and G.X.; Visualization, J.H.; Writing—original draft, J.H.; Writing—review and editing, S.S., T.Z., P.L. and G.X. All authors have read and agreed to the published version of the manuscript.
Funding
This work was supported by the Chongqing Construction Science and Technology Plan (No. 2023-3-19) and Gansu Science and Technology Plan (No. 24JRRA184). Its financial support is gratefully acknowledged.
Data Availability Statement
The data presented in this study are available on request from the corresponding author. The data are not publicly available due to the privacy or ethical restrictions.
Conflicts of Interest
The authors declare no conflict of interest.
References
- Lu, C.; Yi, S.; Liu, X. Modern Prestressed Steel Structures; China Communications Press: Beijing, China, 2007; pp. 77–79. [Google Scholar]
- Ribeiro, D.M.; Vellasco, P.C.G.d.S.; de Lima, L.R.O.; de Araújo, R.R.; da Silva, A.T. Numerical evaluation of duplex stainless steel stayed columns. ce/papers 2019, 3, 252–261. [Google Scholar] [CrossRef]
- Krishnan, S. Cable-stayed columns and their applications in building structures. J. Build. Eng. 2020, 27, 100984. [Google Scholar] [CrossRef]
- CECS212-2006; Technical Specification for Prestressed Steel Structures. China Planning Press: Beijing, China, 2006.
- Keil, A. Mont-cenis Academy in Herne, Germany. Struct. Eng. Int. 2000, 10, 172–174. [Google Scholar] [CrossRef]
- Powell, K. Richard Rogers: Complete Works (vol. 3); Phaidon: London, UK, 2000. [Google Scholar]
- Chu, K.H.; Berge, S.S. Analysis and design of struts with tension ties. J. Struc. Div.-ASCE 1963, 89, 127–164. [Google Scholar] [CrossRef]
- Hathout, I.A.S. Stability Analysis of Space Stayed Columns by the Finite Element Method; University of Windsor: Windsor, ON, Canada, 1977. [Google Scholar]
- Temple, M.C. Buckling of stayed columns. J. Struc. Div.-ASCE 1997, 103, 839–851. [Google Scholar] [CrossRef]
- Shen, J.; Groh, R.M.; Wadee, M.A.; Schenk, M.; Pirrera, A. Probing the stability landscape of prestressed stayed columns susceptible to mode interaction. Eng. Struct. 2022, 251, 113465. [Google Scholar] [CrossRef]
- Smith, E.A. Behavior of columns with pretensioned stays. J. Struct. Eng. 1985, 111, 961–972. [Google Scholar] [CrossRef]
- Hafez, H.H.; Temple, M.C.; Ellis, J.S. Pretensioning of single-cross-arm stayed columns. J. Struc. Div.-ASCE 1979, 105, 359–375. [Google Scholar] [CrossRef]
- Saito, D.; Wadee, M.A. Numerical studies of interactive buckling in prestressed steel stayed columns. Eng. Struct. 2009, 31, 432–443. [Google Scholar] [CrossRef]
- Wu, K.; Xing, Z. Stability of imperfect prestressed stayed beam-columns under combined axial load and bending. Eng. Struct. 2021, 245, 112891. [Google Scholar] [CrossRef]
- Wu, K.; Wadee, M.A.; Gardner, L. Prestressed stayed beam-columns: Sensitivity to prestressing levels, pre-cambering and imperfections. Eng. Struct. 2021, 226, 111344. [Google Scholar] [CrossRef]
- Wang, H.; Li, P.; Wu, M. Crossarm length optimization and post-buckling analysis of prestressed stayed steel columns. Thin. Wall. Struct. 2019, 144, 106371. [Google Scholar] [CrossRef]
- Li, P.; Wang, H. A novel strategy for the crossarm length optimization of PSSCs based on multi-dimensional global optimization algorithms. Eng. Struct. 2021, 238, 112238. [Google Scholar] [CrossRef]
- Martins, J.P.; Shahbazian, A.; da Silva, L.S.; Rebelo, C.; Simões, R. Structural Behaviour of Prestressed Stayed Columns with Single and Double Cross-Arms Using Normal and High Strength Steel. Arch. Civil. Mech. Eng. 2016, 16, 618–633. [Google Scholar] [CrossRef]
- Chan, S.L.; Shu, G.P.; Lü, Z.T. Stability Analysis and Parametric Study of Pre-Stressed Stayed Columns. Eng. Struct. 2002, 24, 115–124. [Google Scholar] [CrossRef]
- Serra, M.; Shahbazian, A.; da Silva, L.S.; Marques, L.; Rebelo, C.; Vellasco, P.C.G.d.S. A full scale experimental study of prestressed stayed columns. Eng. Struct. 2015, 100, 490–510. [Google Scholar] [CrossRef]
- Wadee, M.A.; Gardner, L.; Osofero, A.I. Design of prestressed stayed columns. J. Constr. Steel Res. 2013, 80, 287–298. [Google Scholar] [CrossRef]
- Li, P.; Wadee, M.A.; Yu, J.; Christie, N.G.; Wu, M. Stability of prestressed stayed steel columns with a three branch cross-arm system. J. Constr. Steel Res. 2016, 122, 274–291. [Google Scholar] [CrossRef]
- Van Steirteghem, J.; De Wilde, W.P.; Samyn, P.; Verbeeck, B.P.; Wattel, F. Optimum design of stayed columns with split-up cross arm. Adv. Eng. Softw. 2005, 9, 614–625. [Google Scholar] [CrossRef]
- Li, P.; Li, Z.; Jia, B.; Wang, H. Stability analysis of prestressed stayed steel columns with split-up cross-arm systems. Steel Compos. Struct. 2020, 34, 769–782. [Google Scholar]
- Lapira, L.; Wadee, M.A.; Gardner, L. Stability of Multiple-cross-arm Prestressed Stayed Columns with Additional Stay Systems. Structure 2017, 12, 227–241. [Google Scholar] [CrossRef]
- Lv, G.; Li, P.; Zhang, C.; Sun, X.; Chen, E. Experimental investigation into the buckling behaviour of cable-stiffened steel columns. J. Constr. Steel Res. 2021, 183, 106753. [Google Scholar] [CrossRef]
- GB50017-2017; Standard of Design of Steel Structures. Standards Press of China: Beijing, China, 2017.
- GB/T 228.1-2010; Metallic Materials—Tensile Testing—Part 1: Method of Test at Room Temperature. Standards Press of China: Beijing, China, 2010.
- Zhang, Z.; Li, P.; Liu, C.; Wang, X.; Zhang, T.; Xiong, G. Stability of prestressed stayed steel columns under eccentric compression. Int. J. Struct. Stab. Dyn. 2024. [Google Scholar] [CrossRef]
- GB/T 1591-2018; High Strength Low Alloy Structural Steels. Standards Press of China: Beijing, China, 2018.
Disclaimer/Publisher’s Note: The statements, opinions and data contained in all publications are solely those of the individual author(s) and contributor(s) and not of MDPI and/or the editor(s). MDPI and/or the editor(s) disclaim responsibility for any injury to people or property resulting from any ideas, methods, instructions or products referred to in the content. |
© 2024 by the authors. Licensee MDPI, Basel, Switzerland. This article is an open access article distributed under the terms and conditions of the Creative Commons Attribution (CC BY) license (https://creativecommons.org/licenses/by/4.0/).