Thermal Effects on Prestress Loss in Pretensioned Concrete Girders
Abstract
1. Introduction
2. Theoretical Analysis
2.1. Straight Tendons
2.2. Bent Tendons
2.3. Pedestal with Bottom Countertop
3. Experimental Investigation
3.1. Design of Experiment
3.2. Temperature Variation
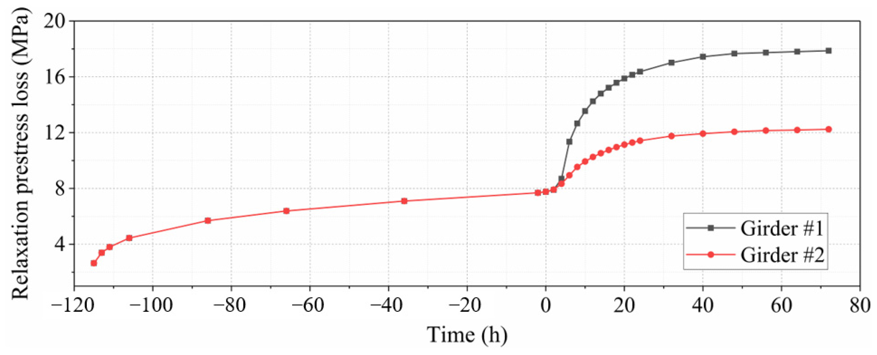
3.3. Relaxation Loss of Prestress
3.4. PVTC
4. Parameter Analysis
4.1. Temperature at Tensioning
4.2. Temperature at Bonding Development
5. Conclusions
- (1)
- The calculation method for PVTC changes for different stages of the fabrication process of a girder, because PVTC is closely associated with the interaction (i.e., bonding condition) between the strand and concrete, and the interaction changes with time;
- (2)
- The bent strand may slip relative to the deviator before the development of bonding between the strand and concrete, leading to force redistribution. The calculation method of stress adjustment is proposed to consider the effect on PVTC;
- (3)
- The PVTC at the first stage is caused by the change in ambient temperature. At the second stage, there is a remarkable temperature increase due to the steam curing and hydration heat of cement, corresponding to the significant PVTC and leading to the prestress losses. There is a growth in prestress at the third stage, due to the different thermal expansion coefficients of the strands and concrete, and the decreasing temperature of the girder. The total PVTC is up to 80.3 MPa for Girder #1 with steam curing and is up to 52.6 MPa for Girder #2 with natural curing;
- (4)
- Effective measures for reducing the PVTC of strands includes increasing the temperature at the operation of tensioning the strands, reducing the temperature at bonding development, and performing over-tensioning. The performance of each measure is evaluated in this study through parametric studies using the proposed formulae. The formulas established in this paper are more accurate for total loss prediction than the standards, and the average value of the ratio of experimental to calculated values is 0.98.
Author Contributions
Funding
Data Availability Statement
Conflicts of Interest
References
- Darmawan, M.S.; Stewart, M.G. Spatial time-dependent reliability analysis of corroding pretensioned prestressed concrete bridge girders. Struct. Saf. 2007, 29, 16–31. [Google Scholar] [CrossRef]
- Ou, Y.C.; Prasetya, D.; Zhang, G.W.; Saputra, M.D. Effect of concrete mixture on shear behavior of prestressed concrete girders. Eng. Struct. 2023, 282, 115804. [Google Scholar] [CrossRef]
- Al-Kaimakchi, A.; Rambo-Roddenberry, M. Measured transfer length of 15.2-mm (0.6-in.) duplex high-strength stainless steel strands in pretensioned girders. Eng. Struct. 2021, 237, 112178. [Google Scholar] [CrossRef]
- Yan, M.; Yang, Y.; Li, X.; Bao, Y.; Sun, B. Pretensioned prestress friction losses considering contact imperfection at deviators in prestressed concrete girders. Struct. Infrastruct. Eng. 2020, 17, 1639–1650. [Google Scholar] [CrossRef]
- ACI (American Concrete Institute). Building Code Requirements for Structural Concrete; American Concrete Institute: Indianapolis, IN, USA, 2014. [Google Scholar]
- AASHTO. AASHTO LRFD Bridge Design Specifications, 8th ed.; AASHTO: Washington, DC, USA, 2017. [Google Scholar]
- Caro, L.A.; Martí-Vargas, J.R.; Serna, P. Prestress losses evaluation in prestressed concrete prismatic specimens. Eng. Struct. 2013, 48, 704–715. [Google Scholar] [CrossRef]
- Nassiraei, H.; Yara, A. Static Strength of Tubular K-Joints Reinforced with Outer Plates under Axial Loads at Ambient and Fire Conditions. Metals 2023, 13, 1857. [Google Scholar] [CrossRef]
- Roller, J.J.; Russell, H.G.; Bruce, R.N.; Hassett, B. Effect of curing temperatures on high strength concrete bridge girders. PCI J. 2003, 48, 74–79. [Google Scholar] [CrossRef]
- Breccolotti, M.; Materazzi, A.M. Prestress losses and camber growth in wing-shaped structural members. PCI J. 2015, 60, 98–117. [Google Scholar] [CrossRef]
- Tadros, M.K. Prestress Losses in Pretensioned High-Strength Concrete Bridge Girders; NCHRP Transportation Board: Washington, DC, USA, 2003. [Google Scholar]
- Rizkalla, S.; Zia, P.; Storm, T. Predicting Camber, Deflection, and Prestress Losses in Prestressed Concrete Members; Report No. FHWA/NC/2010-05; North Carolina Department of Transportation Research and Analysis Group: Raleigh, NC, USA, 2011.
- EN 1992-1-1; ECE. Eurocode 2: Design of Concrete Structures. CEN: Brussels, Belgium, 2004.
- FIB. Fib Model Code for Concrete Structures; Ernst and Sohn: Berlin, Germany, 2010. [Google Scholar]
- JTG 3362-2018; China Communications Construction Company Highway Consultants Company Limited. 2018. Specifications for Design of Highway Reinforced Concrete and Prestressed Concrete Bridges and Culverts. China Communications Press: Beijing, China, 2018.
- Ahlborn, T.M.; French, C.E.; Shield, C.K. High Strength Concrete Prestressed Bridge Girders: Long Term and Flexural Behavior; Report No. MN/RC-2000-32; University of Minnesota Digital Conservancy: Minneapolis, MN, USA, 2000. [Google Scholar]
- Barr, P.J.; Stanton, J.F.; Eberhard, M.O. Effects of temperature variations on precast, prestressed concrete bridge girders. J. Bridge Eng. 2005, 10, 186–194. [Google Scholar] [CrossRef]
- Newhouse, C.; Wood, T. The effect of temperature on the effective prestressing force at release for PCBT girders. In Proceedings of the Structures Congress 2008: Crossing Borders (ASCE) 2008, Vancouver, BC, Canada, 24–26 April 2008; pp. 1–10. [Google Scholar]
- Zahabizadeh, B.; Edalat-Behbahani, A.; Granja, J. A new test setup for measuring early age coefficient of thermal expansion of concrete. Cem. Concr. Compos. 2019, 98, 14–28. [Google Scholar] [CrossRef]
- Zhang, Y.; Ju, J.W.; Zhu, H.; Guo, Q.; Yan, Z. Micromechanics based multi-level model for predicting the coefficients of thermal expansion of hybrid fiber reinforced concrete. Constr. Build. Mater. 2018, 190, 948–963. [Google Scholar] [CrossRef]
- Zhou, C.; Feng, D.; Wu, X.; Cao, P.; Fan, X. Prediction of concrete coefficient of thermal expansion by effective self-consistent method considering coarse aggregate shape. J. Mater. Civ. Eng. 2018, 30, 04018312. [Google Scholar] [CrossRef]
- Küsel, F.; Kearsley, E.P.; Butler, L.J.; Skorpen, S.A.; Elshafie, M.Z.E.B. Measured temperature effects during the construction of a prestressed precast concrete bridge beam. MATEC Web Conf. 2018, 199, 11013. [Google Scholar] [CrossRef]
- Lee, C.; Shin, S.; Lee, S.; Oh, J. Modeling of bond stress-slip relationships of a strand in concrete during steam curing. Int. J. Concr. Struct. Mater. 2017, 11, 477–487. [Google Scholar] [CrossRef]
- Robitaille, S.; Bartlett, F.M.; Youssef, M.A. Evaluating prestress losses during pre-tensioning. In Proceedings of the Canadian Society for Civil Engineering Annual Conference, St. Johns, NL, Canada, 27–30 May 2009. [Google Scholar]
- Joh, C.; Lee, J.W.; Kwahk, I. Feasibility study of stress measurement in prestressing tendons using villari effect and induced magnetic field. Int. J. Distrib. Sens. Netw. 2013, 9, 249829. [Google Scholar] [CrossRef]
- Budelmann, H.; Holst, A.; Wichmann, H.J. Non-destructive measurement toolkit for corrosion monitoring and fracture detection of bridge tendons. Struct. Infrastruct. Eng. 2014, 10, 492–507. [Google Scholar] [CrossRef]
- Wichmann, H.J.; Holst, A.; Budelmann, H. Magnetoelastic stress measurement and material defect detection in prestressed tendons using coil sensors. In Proceedings of the 7th International Symposium on Non-Destructive Testing in Civil Engineering (NDT-CE), Nantes, France, 30 June–3 July 2009. [Google Scholar]
- Au, F.T.K.; Si, X.T. Accurate time-dependent analysis of concrete bridges considering concrete creep, concrete shrinkage and cable relaxation. Eng. Struct. 2011, 33, 118–126. [Google Scholar] [CrossRef]
- Wang, X.; Chen, Z.; Liu, H.; Yu, Y. Experimental study on stress relaxation properties of structural cables. Constr. Build. Mater. 2018, 175, 777–789. [Google Scholar] [CrossRef]
- Bažant, Z.P.; Yu, Q. Relaxation of prestressing steel at varying strain and temperature: Viscoplastic constitutive relation. J. Eng. Mech. 2013, 139, 814–823. [Google Scholar] [CrossRef]
- Ajimi, W.T.; Chataigner, S.; Gaillet, L. Influence of low elevated temperature on the mechanical behavior of steel rebars and prestressing wires in nuclear containment structures. Constr. Build. Mater. 2017, 134, 462–470. [Google Scholar] [CrossRef]
- Chhun, P.; Sellier, A.; Lacarriere, L.; Chataigner, S.; Gaillet, L. Incremental modeling of relaxation of prestressing wires under variable loading and temperature. Constr. Build. Mater. 2018, 163, 337–342. [Google Scholar] [CrossRef]

















| Girder | Points | Stage 1 | Stage 2 | Stage 3 | |||
|---|---|---|---|---|---|---|---|
| T.r | M.r | T.r | M.r | T.r | M.r | ||
| Girder #1 | 5# | 32.2 | 35.0 | 69.4 | 55.4 | −15.1 | −13.1 |
| 6# | 32.2 | 35.1 | 69.4 | 62.4 | −15.1 | −20.3 | |
| 7# | 32.2 | 25.7 | 69.4 | 74.2 | −15.1 | −19.5 | |
| 8# | 32.2 | 35.2 | 69.4 | 53.7 | −15.1 | −8.9 | |
| 9# | 32.2 | 33.0 | 69.4 | 62.5 | −15.1 | −17.1 | |
| 10# | 32.2 | 36.9 | 69.4 | 57.8 | −15.1 | −16.7 | |
| Girder #2 | 5# | 27.4 | 25.5 | 41.9 | 41.1 | −11.7 | −16.5 |
| 6# | 27.4 | 25.9 | 41.9 | 36.9 | −11.7 | −11.3 | |
| 7# | 27.4 | 25.2 | 41.9 | 38.3 | −11.7 | −10.8 | |
| 8# | 27.4 | 24.3 | 41.9 | 41.9 | −11.7 | −13.8 | |
| 9# | 27.4 | 28.2 | 41.9 | 32.7 | −11.7 | −8.8 | |
| 10# | 27.4 | 20.8 | 41.9 | 44.4 | −11.7 | −13.1 | |
| Girder | Points | M.r | The European Code [13] | The German Code [14] | The Chinese Code [15] | This Paper | ||||
|---|---|---|---|---|---|---|---|---|---|---|
| T.r | M.r/T.r | T.r | M.r/T.r | T.r | M.r/T.r | T.r | M.r/T.r | |||
| Girder #1 | 5# | 77.3 | 42.5 | 1.82 | 91.7 | 0.84 | 87.1 | 0.89 | 79.5 | 0.97 |
| 6# | 77.2 | 42.5 | 1.82 | 91.7 | 0.84 | 87.1 | 0.89 | 79.5 | 0.97 | |
| 7# | 80.3 | 42.5 | 1.89 | 91.7 | 0.88 | 87.1 | 0.92 | 79.5 | 1.01 | |
| 8# | 80.1 | 42.5 | 1.89 | 91.7 | 0.87 | 87.1 | 0.92 | 79.5 | 1.01 | |
| 9# | 78.4 | 42.5 | 1.85 | 91.7 | 0.85 | 87.1 | 0.90 | 79.5 | 0.99 | |
| 10# | 77.9 | 42.5 | 1.83 | 91.7 | 0.85 | 87.1 | 0.89 | 79.5 | 0.98 | |
| Girder #2 | 5# | 50.1 | 28.9 | 1.74 | 62.3 | 0.80 | 59.2 | 0.85 | 53.8 | 0.93 |
| 6# | 51.5 | 28.9 | 1.78 | 62.3 | 0.83 | 59.2 | 0.87 | 53.8 | 0.96 | |
| 7# | 52.6 | 28.9 | 1.82 | 62.3 | 0.84 | 59.2 | 0.89 | 53.8 | 0.98 | |
| 8# | 52.4 | 28.9 | 1.82 | 62.3 | 0.84 | 59.2 | 0.89 | 53.8 | 0.97 | |
| 9# | 52.0 | 28.9 | 1.80 | 62.3 | 0.83 | 59.2 | 0.88 | 53.8 | 0.97 | |
| 10# | 52.0 | 28.9 | 1.80 | 62.3 | 0.83 | 59.2 | 0.88 | 53.8 | 0.97 | |
| AVG | 1.82 | 0.84 | 0.89 | 0.98 | ||||||
| SD | 0.04 | 0.02 | 0.02 | 0.02 | ||||||
| COV | 0.02 | 0.02 | 0.02 | 0.02 | ||||||
Disclaimer/Publisher’s Note: The statements, opinions and data contained in all publications are solely those of the individual author(s) and contributor(s) and not of MDPI and/or the editor(s). MDPI and/or the editor(s) disclaim responsibility for any injury to people or property resulting from any ideas, methods, instructions or products referred to in the content. |
© 2024 by the authors. Licensee MDPI, Basel, Switzerland. This article is an open access article distributed under the terms and conditions of the Creative Commons Attribution (CC BY) license (https://creativecommons.org/licenses/by/4.0/).
Share and Cite
Yu, Q.; Yang, Y.; Ren, Y. Thermal Effects on Prestress Loss in Pretensioned Concrete Girders. Buildings 2024, 14, 2325. https://doi.org/10.3390/buildings14082325
Yu Q, Yang Y, Ren Y. Thermal Effects on Prestress Loss in Pretensioned Concrete Girders. Buildings. 2024; 14(8):2325. https://doi.org/10.3390/buildings14082325
Chicago/Turabian StyleYu, Qu, Yongqing Yang, and Yu Ren. 2024. "Thermal Effects on Prestress Loss in Pretensioned Concrete Girders" Buildings 14, no. 8: 2325. https://doi.org/10.3390/buildings14082325
APA StyleYu, Q., Yang, Y., & Ren, Y. (2024). Thermal Effects on Prestress Loss in Pretensioned Concrete Girders. Buildings, 14(8), 2325. https://doi.org/10.3390/buildings14082325

