Adding Green to Architectures: Empirical Research Based on Indoor Vertical Greening of the Emotional Promotion on Adolescents
Abstract
1. Introduction
1.1. Quantitative Research on the Internal Space of Building Interfaces
1.2. The Health Promotion Effect of Vertical Greening in the Building Interior
1.3. Quantification of Architectural Space and Health Promotion
- By quantifying the internal space of the building, we explore whether there are differences in spatial perception experiences across spatial forms.
- Based on the above, the space with the highest connection value, integration degree, and pedestrian flow was selected to explore the emotional impact of vertical greening inside the building on teenagers.
- What are the significant predictive factors for indoor vertical greening in buildings that affect adolescent emotions under different combinations of factors? Based on this, indoor greening guidance strategies are proposed.
2. Materials and Methods
2.1. Quantitative Research on the Experience of Interior Space in Buildings
2.2. Experimental Study of the Impact of Vertical Greening on Adolescent Emotions Based on Quantifying the Internal Space of Buildings
2.2.1. Participants and Procedures
2.2.2. Virtual Image Production
2.3. Measurement
2.3.1. Physiological Measurements
2.3.2. Psychological Measurement
2.4. Statistical Analysis
3. Results
3.1. Physiological Results
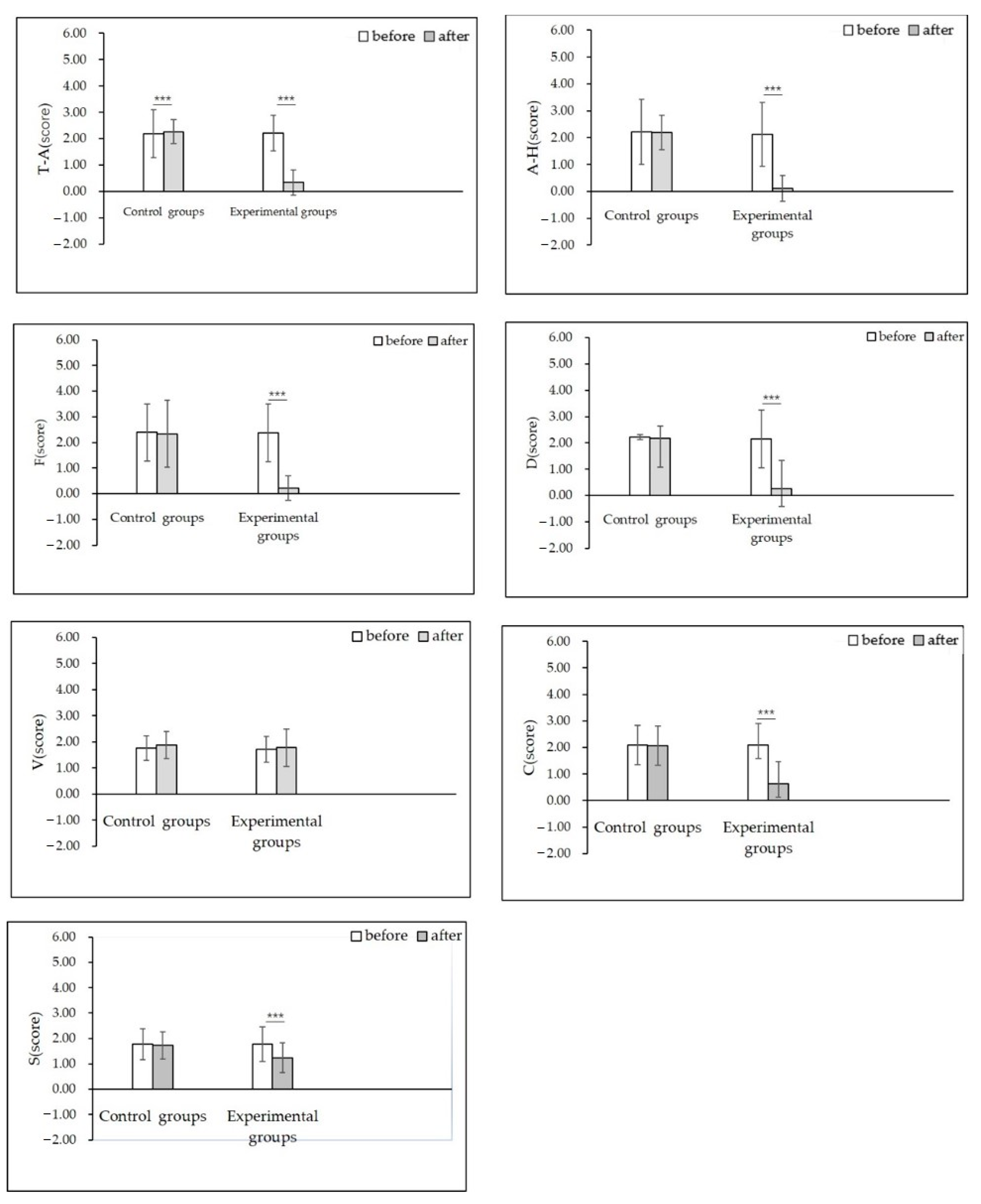
3.2. Psychological Results
3.3. Predictive Factors of Different Spatial Elements in Emotional Promotion
4. Discussion
4.1. Quantification of Internal Space at Building Interfaces
4.2. The Physiological Effects of Vertical Greening Elements in Buildings on Adolescents
4.3. The Psychological Impact of Vertical Greening Elements in Buildings on Teenagers
4.4. Guiding Strategies for Building Wall Greening Based on Research Results
5. Conclusions
6. Limitations
Author Contributions
Funding
Data Availability Statement
Conflicts of Interest
References
- Zhang, W.; Huang, Y.; Wang, C. Preliminary Exploration of Topological Optimization Method for Building Space Efficiency Based on Spatial Syntax. In Proceedings of the 2017 National Conference on Digital Technology Teaching in Architecture and DADA2017 International Academic Symposium on Digital Architecture, Taibei, Taiwan, 6–8 August 2017. [Google Scholar]
- Li, H.; Zhang, X.; Bi, S.; Cao, Y.; Zhang, G. Psychological benefits of green exercise in wild or urban greenspaces: A meta-analysis of controlled trials. Urban For. Urban Green. 2022, 68, 127458. [Google Scholar] [CrossRef]
- Bungau, C.C.; Bendea, C.; Bungau, T.; Radu, A.-F.; Prada, M.F.; Hanga-Farcas, I.F.; Vesa, C.M. The Relationship between the Parameters That Characterize a Built Living Space and the Health Status of Its Inhabitants. Sustainability 2024, 16, 1771. [Google Scholar] [CrossRef]
- Chen, Y. Research on Adaptive Architectural Design Method Based on Urban Public Space Interface. Ph.D. Thesis, South China University of Technology, Guangzhou, China, 2018. [Google Scholar]
- Li, J. The Intermediate Domain between Interior and Exterior as a Form of Building Interface Operation. Ph.D. Thesis, Chongqing University, Chongqing, China, 2015. [Google Scholar]
- Qu, Y. Research on the Development of Modular Architectural Space Design. Master’s Thesis, Suzhou University, Suzhou, China, 2009. [Google Scholar]
- Liu, Y. The Intermediary Meaning of Architectural Space Interface. Master’s Thesis, Kunming University of Science and Technology, Kunming, China, 2003. [Google Scholar]
- Meng, F. Research on the Design of Right Angle Interface in Architectural Space. Master’s Thesis, Qingdao Technological University, Qingdao, China, 2022. [Google Scholar]
- Lee, J.H.; Ostwald, M.J.; Zhou, L. Socio-Spatial Experience in Space Syntax Research: A PRISMA-Compliant Review. Buildings 2023, 13, 644. [Google Scholar] [CrossRef]
- Ju, H.L.; Ostwald, M.J. Grammatical and Syntactical Approaches in Architecture: Emerging Research and Opportunities; IGI Global: Hershey, PA, USA, 2020. [Google Scholar]
- Sun, Q.; Zhou, X.; Hou, D. A Simplified City GML-Based 3D Indoor Space Model for Indoor Applications. Appl. Sci. 2020, 10, 7218. [Google Scholar] [CrossRef]
- Hu, X.C.; Han, X.; Liu, Z.Y.; Zheng, L.Q. Research on Public Space Reconstruction Design of Teaching Building of University Design College Based on Depthmap Software. In Proceedings of the 2020 International Conference on Innovation Design and Digital Technology (ICIDDT), Zhenjing, China, 5–6 December 2020. [Google Scholar]
- Chen, Y. The application of Depthmap software in the analysis of garden spatial structure. Exp. Technol. Manag. 2009, 26, 3. [Google Scholar]
- Wolch, J.R.; Byrne, J.; Newell, J.P. Urban green space, public health, and environmental justice: The challenge of making cities ‘just green enough’. Landsc. Urban Plan. 2014, 125, 234–244. [Google Scholar] [CrossRef]
- Chang, P.J. Effects of the built and social features of urban greenways on the outdoor activity of older adults. Landsc. Urban Plan. 2020, 204, 103929. [Google Scholar] [CrossRef]
- Suenaga, H.; Murakami, K.; Murata, N.; Nishikawa, S.; Tsutsumi, M.; Nogaki, H. The Effects of an Artificial Garden on Heart Rate Variability among Healthy Young Japanese Adults. Int. J. Environ. Res. Public Health 2020, 17, 9465. [Google Scholar] [CrossRef]
- Knifka, W.; Karutz, R.; Zozmann, H. Barriers and Solutions to Green Facade Implementation—A Review of Literature and a Case Study of Leipzig, Germany. Buildings 2023, 13, 1621. [Google Scholar] [CrossRef]
- Rasheed, E.O.; Byrd, H. Can self-evaluation measure the effect of IEQ on productivity? A review of literature. Facilities 2017, 35, 601–621. [Google Scholar] [CrossRef]
- Khan, M.A.; Amin, N.; Khan, A.; Imtiaz, M.; Khan, F.; Ahmad, I.; Ali, A.; Islam, B. Plant Therapy: A Nonpharmacological and Noninvasive Treatment Approach Medically Beneficial to the Wellbeing of Hospital Patients. Gesunde Pflanz. 2016, 68, 191–200. [Google Scholar] [CrossRef]
- Park, S.H.; Mattson, R.H.; Kim, E. Pain tolerance effects of ornamental plants in a simulated hospital patient room. Acta Hortic. 2004, 639, 241–247. [Google Scholar] [CrossRef]
- Park, S.H.; Mattson, R.H. Effects of flowering and foliage plants in hospital rooms on patients recovering from abdominal surgery. Horttechnology 2008, 18, 563–568. [Google Scholar] [CrossRef]
- Han, K.T.; Ruan, L.W.; Liao, L.S. Effects of Indoor Plants on Human Functions: A Systematic Review with Meta-Analyses. Int. J. Environ. Res. Public Health 2022, 19, 7454. [Google Scholar] [CrossRef] [PubMed]
- Newton, J. PUB C644 Building Greener: Guidance on the Use of Green Roofs, Green Walls and Complementary Features on Buildings; CIRIA: London, UK, 2007. [Google Scholar]
- Perini, K.; Ottelé, M.; Haas, E.M.; Raiteri, R. Greening the building envelope, facade greening and living wall systems. Open J. Ecol. 2011, 1, 1–8. [Google Scholar] [CrossRef]
- Fleck, R.; Gill, R.L.; Pettit, T.; Irga, P.J.; Williams, N.L.R.; Seymour, J.R.; Torpy, F.R. Characterisation of fungal and bacterial dynamics in an active green wall used for indoor air pollutant removal. Build. Environ. 2020, 179, 106987. [Google Scholar] [CrossRef]
- Kazemi, F.; Rabbani, M.; Jozay, M. Investigating the plant and air-quality performances of an internal green wall system under hydroponic conditions. J. Environ. Manag. 2020, 275, 111230. [Google Scholar] [CrossRef] [PubMed]
- Azkorra, Z.; Pérez, G.; Coma, J.; Cabeza, L.F.; Burés, S.; Álvaro, J.E.; Erkoreka, A.; Urrestarazu, M. Evaluation of green walls as a passive acoustic insulation system for buildings. Appl. Acoust. 2015, 89, 46–56. [Google Scholar] [CrossRef]
- Wu, L.; Dong, Q.; Luo, S.; Jiang, W.; Hao, M.; Chen, Q. Effects of Spatial Elements of Urban Landscape Forests on the Restoration Potential and Preference of Adolescents. Land 2021, 10, 1349. [Google Scholar] [CrossRef]
- Kim, K.; Lee, K. Indoor Light Environment Factors That Affect the Psychological Satisfaction of Occupants in Office Facilities. Buildings 2024, 14, 1248. [Google Scholar] [CrossRef]
- Brainard, J.; Gobel, M.; Scott, B.; Koeppen, M.; Eckle, T. Health implications of disrupted circadian rhythms and the potential for daylight as therapy. Anesthesiology 2015, 122, 1170–1175. [Google Scholar] [CrossRef] [PubMed]
- Zentner, S.; Barradas Chacon, A.; Wriessnegger, S.C. The Impact of Light Conditions on Neural Affect Classification: A Deep Learning Approach. Mach. Learn. Knowl. Extr. 2024, 6, 199–214. [Google Scholar] [CrossRef]
- Quesada-García, S.; Valero-Flores, P.; Lozano-Gómez, M. Towards a Healthy Architecture: A New Paradigm in the Design and Construction of Buildings. Buildings 2023, 13, 2001. [Google Scholar] [CrossRef]
- Yeom, S.; Kim, H.; Hong, T. Psychological and physiological effects of a green wall on occupants: A cross-over study in virtual reality. Build. Environ. 2021, 204, 108134. [Google Scholar] [CrossRef]
- Elsadek, M.; Liu, B.; Lian, Z. Green façades: Their contribution to stress recovery and well-being in high-density cities. Urban For. Urban Green. 2019, 46, 126446. [Google Scholar] [CrossRef]
- Andriyani, F.D.; Biddle, S.J.; Priambadha, A.A.; Thomas, G.; De Cocker, K. Physical activity and sedentary behaviour of female adolescents in Indonesia: A multi-method study on duration, pattern and context. J. Exerc. Sci. Fit. 2022, 20, 128–139. [Google Scholar] [CrossRef] [PubMed]
- Wang, Y.; Xu, M. Electroencephalogram Application for the Analysis of Stress Relief in the Seasonal Landscape. Int. J. Environ. Res. Public Health 2021, 18, 8522. [Google Scholar] [CrossRef] [PubMed]
- Daniel, T.C.; Boster, R.S. Measuring Landscape Esthetics; Rocky Mountain Forest and Range Experiment Station: Fort Collins, CO, USA, 1976. [Google Scholar]
- Jiang, B.; Li, D.; Larsen, L.; Sullivan, W.C. A dose–response curve describing the relationship between tree cover density and landscape preference—ScienceDirect. Landsc. Urban Plan. 2015, 139, 16–25. [Google Scholar] [CrossRef]
- Dijkstra, K.; Pieterse, M.; Pruyn, A. Designing Healing Environments: The Effects of Physical Environmental Stimuli in Healthcare Settings on the Health and Well-Being of Patients. 2008. Available online: https://api.semanticscholar.org/CorpusID:73818312 (accessed on 17 June 2024).
- Wang, R.; Zhao, J.; Meitner, M.J.; Hu, Y.; Xu, X. Characteristics of urban green spaces in relation to aesthetic preference and stress recovery. Urban For. Urban Green. 2019, 41, 6–13. [Google Scholar] [CrossRef]
- Song, C.; Ikei, H.; Miyazaki, Y. Effects of forest-derived visual, auditory, and combined stimuli. Urban For. Urban Green. 2021, 64, 127253. [Google Scholar] [CrossRef]
- Wang, Y.; Jiang, M.; Huang, Y.; Sheng, Z.; Huang, X.; Lin, W.; Chen, Q.; Li, X.; Luo, Z.; Lv, B. Physiological and Psychological Effects of Watching Videos of Different Durations Showing Urban Bamboo Forests with Varied Structures. Int. J. Environ. Res. Public Health 2020, 17, 3434. [Google Scholar] [CrossRef] [PubMed]
- Song, C.; Ikei, H.; Kagawa, T.; Miyazaki, Y. Physiological and Psychological Effects of Viewing Forests on Young Women. Forests 2019, 10, 635. [Google Scholar] [CrossRef]
- Chen, H.T.; Yu, C.P.; Lee, H.Y. The Effects of Forest Bathing on Stress Recovery: Evidence from Middle-Aged Females of Taiwan. Forests 2018, 9, 403. [Google Scholar] [CrossRef]
- Mcnair, D.M. Profile of Mood States Manual. Educ. Ind. Test. Serv. 1992 2003, 11, 240–244. [Google Scholar]
- Liu, W. A Comparative Study on the Organizational Characteristics of Indoor Space in Traditional Chinese and Japanese Residential Buildings Based on Spatial Syntax Theory. Master’s Thesis, Hefei University of Technology, Hefei, China, 2015. [Google Scholar]
- Preece, C.; Sadeghi, H.; Mohandes, S.R. Enhancing the Functionality on the Interior Space within the Buildings through Using Building Information Modeling (BIM). J. Basic Appl. Sci. Res. 2014, 4, 6–15. [Google Scholar]
- Peng, Q. A Study on the Spatial Form of Rural Residential Groups in Hunan Province Based on Spatial Syntax. Master’s Thesis, Hunan University, Changsha, China, 2015. [Google Scholar]
- Hu, L. A Study on the Design of Commercial Complex Roof Public Space from the Perspective of Symbiosis: Taking Chengdu as an Example; Southwest Jiaotong University: Chengdu, China, 2015. [Google Scholar]
- Huo, J.; Lu, Z. Research on the Accessibility of University Library Buildings Based on Spatial Syntactic Analysis Library and Information Work. Libr. Inf. Serv. 2017, 61, 8. [Google Scholar]
- Nehme, B.J.; Rodríguez, E.; Yoon, S. Spatial User Experience: A Multidisciplinary Approach to Assessing Physical Settings. J. Inter. Des. 2020, 45, 7–25. [Google Scholar]
- Wei, H.; Hauer, R.J.; Guo, S. Daytime dynamic of spontaneous expressions of pedestrians in an urban forest park. Urban For. Urban Green. 2021, 65, 127326. [Google Scholar] [CrossRef]
- Wang, S.W. Research on Design Strategies and Methods of Architectural Composite Interface Space in Urban Background. 2024. Available online: https://xueshu.baidu.com/usercenter/paper/show?paperid=185n0ch0mm5u08q0r66s06n0y3497063&site=xueshu_se (accessed on 17 June 2024).
- Wang, B. On the Corresponding Relationship between Behavioral Psychology and Architectural Space Design. Anhui Archit. 2001, 8, 1. [Google Scholar]
- Cervinka, R.; Spletzer, M.S.; Haluza, D. Furnishing a Recreational Forest—Findings from the Hallerwald Case Study. Forests 2023, 14, 836. [Google Scholar] [CrossRef]
- Lin, W.; Zeng, C.; Bao, Z.; Jin, H. The therapeutic look up: Stress reduction and attention restoration vary according to the sky-leaf-trunk (SLT) ratio in canopy landscapes. Landsc. Urban Plan. 2023, 234, 104730. [Google Scholar] [CrossRef]
- Jin, Z.; Wang, J.; Liu, X. Attention and Emotion Recovery Effects of Urban Parks during COVID-19—Psychological Symptoms as Moderators. Forests 2022, 13, 2001. [Google Scholar] [CrossRef]
- Sia, A.; Tan, P.Y.; Wong, J.C.M.; Araib, S.; Ang, W.F.; Er, K.B.H. The impact of gardening on mental resilience in times of stress: A case study during the COVID-19 pandemic in Singapore. Urban For. Urban Green. 2022, 68, 127448. [Google Scholar] [CrossRef]
- Liu, Q.; Zhu, Z.; Zhuo, Z.; Huang, S.; Zhang, C.; Shen, X.; Bosch, C.C.K.v.D.; Huang, Q.; Lan, S. Relationships between residents’ ratings of place attachment and the restorative potential of natural and urban park settings. Urban For. Urban Green. 2021, 62, 127188. [Google Scholar] [CrossRef]
- Browning, M.H.; Rigolon, A.; McAnirlin, O. Where greenspace matters most: A systematic review of urbanicity, greenspace, and physical health. Landsc. Urban Plan. 2022, 217, 104233. [Google Scholar] [CrossRef]
- Wang, X.; Lin, J.; Sun, X.; Zhang, Y.; Wong, H.; Ouyang, L.; Liu, L.; Wu, L. Disparities in the Health Benefits of Urban Green/Blue Space: A Case Study from Shandong Province, China. Land 2023, 12, 900. [Google Scholar] [CrossRef]
- Deng, L.; Luo, H.; Ma, J.; Huang, Z.; Sun, L.-X.; Jiang, M.-Y.; Zhu, C.-Y.; Li, X. Effects of integration between visual stimuli and auditory stimuli on restorative potential and aesthetic preference in urban green spaces. Urban For. Urban Green. 2020, 53, 126702. [Google Scholar] [CrossRef]
- Franěk, M.; Petruálek, J.; Efara, D. Eye movements in viewing urban images and natural images in diverse vegetation periods. Urban For. Urban Green. 2019, 46, 126477. [Google Scholar] [CrossRef]
- Hegetschweiler, K.T.; Wartmann, F.M.; Dubernet, I.; Fischer, C.; Hunziker, M. Urban forest usage and perception of ecosystem services–A comparison between teenagers and adults. Urban For. Urban Green. 2022, 74, 127624. [Google Scholar] [CrossRef]











| The SIAI-S Changes in the Control Groups | ||||||
| SIAI-S | Pretest | Post-Test | p | Rate of Change | ||
| Mean | S.D. | Mean | S.D. | |||
| SIAI-S scores | 1.54 | 0.85 | 1.39 | 1.3 | 0.65 | 0.15 |
| The SIAI-S Changes in the Experimental Groups | ||||||
| SIAI-S | Pretest | Post-Test | p | Rate of Change | ||
| Mean | S.D. | Mean | S.D. | |||
| SIAI-S scores | 1.53 | 0.85 | 1.14 | 1.28 | 0.72 | 0.39 |
| Dependent | Independent | Unstandardized Beta | Standardized Beta | t | Sig | Collinearity Statistics | |
|---|---|---|---|---|---|---|---|
| Tolera-NCE | VIF | ||||||
| DBP (R2 = 0.319; adjusted R2 = 0.273) | (Constant) | 2.05 | 11.34 | 0.00 | |||
| Vine | 0.59 | 0.25 | 2.46 | 0.00 ** | 1.00 | 1.00 | |
| T-A score (R2 = 0.319; adjusted R2 = 0.273) | (Constant) | 2.51 | 33.26 | 0.00 | |||
| Vine | 0.46 | 0.35 | 2.00 | 0.02 * | 1.00 | 1.00 | |
| SIAI-S score (R2 = 0.319; adjusted R2 = 0.273) | (Constant) | 3.14 | 21.33 | 0.00 | |||
| Vine | 0.35 | 0.48 | 2.14 | 0.00 ** | 1.00 | 1.00 | |
Disclaimer/Publisher’s Note: The statements, opinions and data contained in all publications are solely those of the individual author(s) and contributor(s) and not of MDPI and/or the editor(s). MDPI and/or the editor(s) disclaim responsibility for any injury to people or property resulting from any ideas, methods, instructions or products referred to in the content. |
© 2024 by the authors. Licensee MDPI, Basel, Switzerland. This article is an open access article distributed under the terms and conditions of the Creative Commons Attribution (CC BY) license (https://creativecommons.org/licenses/by/4.0/).
Share and Cite
Wang, C.; Hu, Q.; Zhou, Z.; Li, D.; Wu, L. Adding Green to Architectures: Empirical Research Based on Indoor Vertical Greening of the Emotional Promotion on Adolescents. Buildings 2024, 14, 2251. https://doi.org/10.3390/buildings14072251
Wang C, Hu Q, Zhou Z, Li D, Wu L. Adding Green to Architectures: Empirical Research Based on Indoor Vertical Greening of the Emotional Promotion on Adolescents. Buildings. 2024; 14(7):2251. https://doi.org/10.3390/buildings14072251
Chicago/Turabian StyleWang, Chengcheng, Qizhi Hu, Zijun Zhou, Di Li, and Linjia Wu. 2024. "Adding Green to Architectures: Empirical Research Based on Indoor Vertical Greening of the Emotional Promotion on Adolescents" Buildings 14, no. 7: 2251. https://doi.org/10.3390/buildings14072251
APA StyleWang, C., Hu, Q., Zhou, Z., Li, D., & Wu, L. (2024). Adding Green to Architectures: Empirical Research Based on Indoor Vertical Greening of the Emotional Promotion on Adolescents. Buildings, 14(7), 2251. https://doi.org/10.3390/buildings14072251

