Next Article in Journal
Experimental Study on the Universal Design of Signage Size and Brightness Contrast for Low Vision Individuals
Next Article in Special Issue
Performance Evaluation of Soybean Oil/SBR Reclaimed Asphalt and Mixtures
Previous Article in Journal
Interlayer Bond Strength of 3D Printed Concrete Members with Ultra High Performance Concrete (UHPC) Mix
Previous Article in Special Issue
Assessment of Intelligent Unmanned Maintenance Construction for Asphalt Pavement Based on Fuzzy Comprehensive Evaluation and Analytical Hierarchy Process
 
 
Font Type:
Arial Georgia Verdana
Font Size:
Aa Aa Aa
Line Spacing:
Column Width:
Background:
Article

Laboratory Performance and Micro-Characteristics of Asphalt Mastic Using Phosphorus Slag Powder as a Filler

1
Faculty of Civil Engineering, Changsha University of Science and Technology, Changsha 410114, China
2
School of Traffic and Transportation Engineering, Changsha University of Science and Technology, Changsha 410114, China
*
Author to whom correspondence should be addressed.
Buildings 2024, 14(7), 2061; https://doi.org/10.3390/buildings14072061
Submission received: 3 June 2024 / Revised: 18 June 2024 / Accepted: 25 June 2024 / Published: 5 July 2024

Abstract

To evaluate the possibility of using phosphorus slag powder instead of mineral powder as a filler in asphalt mastic, this study investigates the micro-characteristics of phosphorus slag powder and its viscoelastic mechanical properties in asphalt mastic. A systematic approach combining macro and micro test methods was used to analyze the physical and surface characteristics, void structure, and surface energy of phosphorus slag powder. The viscoelastic mechanical properties of phosphorus slag powder were evaluated using appropriate indexes. Meanwhile, the correlations between and limitations of various evaluation indexes and the high-temperature rheological properties were identified. The results demonstrate that phosphorus slag powder exhibits low density, small overall particle size, difficulty in forming agglomerates, developed pores, large specific surface area, and high surface energy, which is suitable for replacing mineral powder as a filler in asphalt mastic. The main factors affecting the viscoelastic properties of asphalt mastic are the particle size and dosage of phosphorus slag powder. Generally speaking, phosphorus slag powder asphalt mastic with particle sizes ≤ 18 μm exhibits the best performance. In practical engineering applications, the appropriate dosage (7%, 10%, 13%) can be selected based on different regions and specific design and construction requirements. Additionally, zero-shear viscosity (ZSV), non-recoverable creep compliance (Jnr), and creep recovery percentage (R) exhibit a strong correlation with the high-temperature rheological properties of asphalt mastic. At the same time, the rutting factor (G*/sin δ) presents certain limitations.

1. Introduction

In recent years, nations worldwide have been dedicated to the pursuit of green, low-carbon, and sustainable development. The rational recycling and comprehensive utilization of industrial solid waste have emerged as practical and attractive trends. Phosphorus slag, a type of industrial waste from the phosphorus chemical industry, has become a significant environmental issue in China due to its large-scale stock and incremental stacking. Research data indicate that for every ton of yellow phosphorus produced, 8–12 tons of phosphorus slag are generated [1,2]. With an annual global demand of 1.5 million tons of yellow phosphorus, this results in 12–18 million tons of phosphorus slag, of which China alone produces up to 8 million tons annually, accounting for 44–67% of the global share, including a new stacking volume exceeding 1 million tons. However, the utilization rate of phosphorus slag remains below 50% [1,2]. Under the prolonged influence of natural environmental factors such as rain and strong winds, coupled with geological disasters like sudden rainstorms and earthquakes, pollutants within the phosphorus slag, including eutrophic elements like phosphorus and nitrogen, and heavy metals such as copper, lead, mercury, chromium, and arsenic, leach out [2]. Upon their infiltration into soil and water bodies, these elements exhibit resistance to degradation. Their accumulation adversely impacts the physical and chemical characteristics, biological attributes, and microbial community structure of the affected areas, ultimately leading to the disruption of ecological function and structure. Consequently, water, soil, and crops suffer serious pollution repercussions. Adjustments and rebalancing of the internal temperature field within phosphorus slag storage and incremental yards will further influence the viscosity and permeability of pore water. As a result, alterations in soil microstructure and composition will impact the diffusion and movement of contaminants. Subsequently, these substances will permeate the food chain through stepwise biological enrichment, impacting water quality, the ecological environment, and human health [1,2]. In accordance with ‘The Targets of the 14th Five-year Plan for the Protection of Soil, Groundwater, and Rural Ecological Environment’, the comprehensive and efficient utilization of phosphorus slag has emerged as an imperative issue necessitating attention. Consequently, numerous scholars have undertaken pertinent research in the realms of construction engineering, agricultural fertilizers, and environmental remediation materials.
In the realm of engineering applications for phosphorus slag, P.W Gao et al. have examined the microstructure and pore structure of cement concrete, where a portion of Portland cement is replaced with ultrafine phosphorus slag powder [3]. Y.Z. Peng et al. have explored the properties and microstructure of RPCs in reactive powder concrete containing high levels of phosphorus slag powder [4]. Jin Yang et al. have investigated the impacts of large-capacity ultrafine phosphorus slag powder (UPS) and superabsorbent polymers on the shrinkage behaviors, compressive strength, hydration products, and pore structure of cement mortars [5]. Ali Allahverdi has studied the influence of curing conditions on the physical and mechanical properties of chemically active phosphorus slag cement [6]. Existing research has demonstrated the viability and potential of utilizing phosphorus slag in the engineering sector, particularly in cement production. However, its feasibility as a filler substitute for mineral powder in modified asphalt preparation requires further investigation. Currently, modified asphalt represents a significant developmental direction in road engineering, with numerous scholars experimenting with materials such as solid waste and polymers to modify asphalt, yielding various findings. S.T. Lv has evaluated the properties of composite modified asphalt using bone glue and waste rubber powder [7]; X.H. Peng has modified rock asphalt and biological asphalt to assess the strength attributes of rock asphalt-modified biological asphalt mixtures [8]. Chao Zhang has analyzed the strength characteristics of rubberized asphalt mixtures under diverse stress loading paths [9]. J.N Liu et al. have produced an asphalt mixture by partially substituting limestone with iron oxide (F.O.) to study its self-healing capabilities under microwave heating [10]. G.Y. Tao et al. have discussed the potential of steel slag as a mineral filler in asphalt and mixtures [11]; Z.C. Li et al. have utilized fly ash and coal-liquefied slag instead of limestone ore powder to elucidate its effects on the rheological properties of asphalt mortar [12]. Fan Li has explored the physicochemical interactions between fly ash and limestone with asphalt mortar from a microscopic viewpoint [13]. Z.Y. Wei et al. have delved into the rheological behavior and mechanism of action of iron tailings asphalt mortar [14]. Y.J. Meng et al. have researched the rheological properties and microscopic mechanisms of asphalt mortar [15]. F. Russo et al. have assessed the rheological properties of asphalt mortar incorporating bottom ash as a filler in a waste-to-energy power plant [16]; Jiao Lin et al. have investigated the attributes of GFRP powder asphalt mortar derived from waste epoxy resin [17].
However, the current research on the modification of asphalt using phosphorus slag is limited, leaving a significant gap in its application to asphalt mastic. Studies by Y.P. Sheng et al. have explored the impact of phosphorus slag powder and polyester fibers on the performance characteristics of asphalt binders and mixtures [18]. G.P. Qian et al. have modified the surface of phosphorus slag powder and analyzed its effects and mechanisms on asphalt and asphalt mixture properties [19]. H.N. Yu evaluated how different contents and particle sizes of phosphorus slag affect asphalt performance [20]. S.C. Yi examined the properties of commonly used modifiers combined with phosphorus slag powder-modified asphalt after TM-P surface treatment [21]. Kun Wang conducted experiments on the surface modification of phosphorus slag powder and its influence on asphalt properties [22]; G.H. Nie performed performance tests on asphalt mixtures modified with phosphorus slag powder [23]. Given the existing research, it is evident that phosphorus slag can enhance asphalt performance to a certain degree. Its use in road engineering is not only feasible but also presents an excellent opportunity to reduce resource loss, address solid waste issues, and achieve both environmental and economic benefits. However, the current research on phosphorus slag predominantly centers on the modification of phosphorus slag asphalt binder and mixture using traditional asphalt and asphalt mixture forming methods. This involves modifying the phosphorus powder particles from a macroscopic perspective or incorporating additional materials such as common modifiers and polyester fibers, etc., to analyze their properties and modification effects. Nevertheless, there is currently no research on breaking the traditional asphalt binder molding method and using phosphorus slag powder as a filler instead of mineral powder for blending into matrix asphalt to create asphalt mastic. Additionally, there is no research focusing on the physical properties and mechanisms of phosphorous slag powder, as well as the performance and effects of modified asphalt mastic using phosphorous slag powder from a microscopic perspective by utilizing asphalt mastic theory.
In summary, researching phosphorus slag powder asphalt mastic is of practical significance for promoting engineering practice. To deeply explore the use of phosphorus slag powder in asphalt pavement, it is essential to investigate the physical properties and mechanisms of phosphorus slag powder, its influence on the properties of asphalt mastic, and the appropriate dosage. Based on these studies, Appropriate evaluation indexes should be selected to accurately characterize its high-temperature rheological properties, assess the rutting resistance of asphalt mixtures, and guide practical engineering applications. This study conducted both microscopic and macroscopic experiments on phosphorus slag powder from Yunnan Province. At the microscopic scale, the morphological characteristics and surface energy of phosphorus slag powder, including physical porosity, particle size, and surface energy, were analyzed using a laser particle size analyzer, nitrogen adsorption-specific surface area pore analyzer, scanning electron microscope (SEM), and contact angle analyzer. At the macro scale, the viscoelastic mechanical properties of phosphorus slag powder asphalt mastic were examined using conventional performance tests, temperature sweep tests, frequency sweep tests, multi-stress creep recovery (MSCR) tests, and bending beam rheometer (BBR) tests.

2. Materials and Methodologies

2.1. Raw Materials

In this experiment, the 70 grade matrix asphalt produced by Shell Xinyue Asphalt Co., Ltd. (Foshan, China) was selected, and its key technical indicators are listed in Table 1. The filler consists of ordinary limestone slag powder and phosphorus slag powder sourced from the Yunnan region. The phosphorus slag powder is divided into three distinct particle sizes (38–75 μm, 18–38 μm, ≤18 μm) using a cement fineness negative pressure sieve analyzer. The original photos of these three different particle sizes of phosphorus slag powder and mineral powder are displayed in Figure 1. In contrast, the technical indicators and particle size distribution of the four fillers are presented in Table 2 and Table 3.

2.2. Preparation of Asphalt Mastic

For this study, three types of phosphorus slag powder with varying dosages and particle sizes were selected to form the asphalt mastic of phosphorus slag powder. Following the “Test Regulations for Asphalt and Asphalt Mixtures in Highway Engineering” (JTG E20-2011) [24], the mineral powder asphalt mastic was prepared using conventional methods. Both the phosphorus slag powder and mineral powder were dried to constant weight and kept warm at a temperature of 140 °C to ensure that the filler remained dry. Subsequently, the 70 grade of matrix asphalt was heated to 135 °C and kept warm for two hours at a constant temperature to achieve an utterly fluid state.
In accordance with the test plan, the mass ratio of filler to asphalt was determined. Initially, 70 grades of matrix asphalt were added and stirred continuously with glass rods at high-speed shear. Subsequently, small amounts of phosphorus slag powder with different dosages and particle sizes were gradually mixed into the matrix asphalt multiple times, stirring evenly at different rates and durations until there were no bubbles on the surface. This process resulted in the preparation of the phosphorus slag powder asphalt mastic. During the mixing process, an electric furnace was placed directly beneath the vessel, maintaining the temperature between 145 °C and 165 °C to prevent uneven dispersion of the filler caused by the cooling of the asphalt.

2.3. Experimental Methods

The study’s methodology encompasses five distinct phases, elaborated as follows:
Section A: Orthogonal Experiment Design
This phase employs an orthogonal array, denoted as L9(34), where a four-factor, three-level experimental schema was devised, leading to a total of nine experimental groups being executed.
Section B: Characterization of Micro-Void Structure and Surface Energy of Fillers
Comprehensive microstructural analyses, including specific surface area, porosity, micro-surface features, and surface energy assessments of the filling materials, were conducted using sophisticated techniques such as nitrogen adsorption-specific surface area analysis, scanning electron microscopy (SEM), and contact angle measurement.
Section C: Fundamental Properties of Asphalt Mastic
The fundamental indexes of asphalt mastic—penetration, softening point, and ductility—were examined.
Section D: High- and Low-Temperature Rheological Properties of Asphalt Mastic
Three distinct methodologies—frequency sweep, temperature sweep, and multi-stress creep recovery (MSCR) tests—were employed to assess the 60 °C zero-shear viscosity (ZSV), rutting parameter (G*/sin δ), unrecoverable creep compliance (Jnr), and creep recovery percentage (R), thereby evaluating the high-temperature rheological behavior of phosphorus slag powder asphalt mastic. For low-temperature rheology, a bending beam rheometer (BBR) was utilized, with stiffness modulus (S) and creep rate (m) serving as evaluative criteria.
Section E: Fatigue Characteristics of Asphalt Mastic
Dynamic shear rheometer (DSR) was leveraged to investigate the fatigue performance of asphalt mastic, adopting fatigue parameters (G*·sin δ) for appraisal.

2.3.1. Orthogonal Experimental Design

This study employs a multifactorial, multi-level approach characterized by a large and complex test volume. To manage this complexity, the orthogonal design method of L9(34) was utilized for experimenting, and the standard deviation analysis method was employed for the analysis. The specific selection of factors and levels is detailed in Table 4, and the orthogonal design scheme can be seen in Table 5.

2.3.2. Microscopic Void Structure Properties and Surface Energy of the Filler

(1)
Microscopic Surface Properties
Scanning electron microscopy (SEM) was employed to investigate the microscopic surface features of the filler. Specimens were prepared by applying a layer of conductive adhesive to a sample holder, upon which the filler powder was sprinkled. After the adhesive evaporated, the powder was secured, and any unadhered particles were removed using an ear suction ball. A conductive film was subsequently applied for testing.
(2)
Microscopic Pore Structure
Nitrogen adsorption tests were conducted to assess the specific surface area of phosphorus slag powder with three distinct particle sizes. They were compared to mineral powder to elucidate the filler’s pore structure characteristics. At the temperature of liquid nitrogen, the adsorption capacity of nitrogen on the solid surface is determined by the relative pressure (P/P0). Within the range of 0.05 to 0.35, the adsorption conforms to the BET equation, serving as the basis for specific surface area determination. When P/P0 exceeds 0.4, nitrogen begins to condense within micropores, leading to capillary condensation. Theoretical and experimental analyses were used to measure critical parameters such as pore volume and size distribution, and the pore types of phosphorus slag powder and mineral powder were identified based on the adsorption–desorption curves obtained from the tests.
(3)
Surface Energy
The contact angle between the filler and a liquid with known surface free energy parameters was measured using the capillary rise method (wick method), recording the height and time of liquid ascent. The contact angle was determined by integrating the capillary rise theory with the Washburn equation, and the surface free energy of the filler was calculated using the Owens–Wendt method and the Young equation.
The contact angle measurement involved selecting a 10 cm section of a standard pipette (inner diameter of 3 mm) as the column tube. Approximately 1.8 g of powder sample was loaded into the tube, which was then placed at the bottom of a glass container with 2 mL of the test liquid. The impregnation time (s) and distance (cm) were recorded. The contact angle was calculated based on Equation (1). The test was conducted at 25 ± 1 °C, with each data point averaged over three replicates. In this study, a low surface energy liquid (n-hexane) was used to infiltrate the filler powder, and the wetting distance and time were documented. The contact angle between the solid and the liquid was measured using distilled water and ethylene glycol.
The expression of the Washburn equation is:
h 2 / t = ( γ l R cos θ ) / 2 η
In the formula:
  • h—impregnation distance(cm);
  • t—impregnation time(s);
  • γ l —Surface free energy of liquids;
  • R—The effective radius of the capillary;
  • θ —The angle of contact between the liquid and the solid;
  • η —The viscosity of the liquid.
The expression of the Young equation is as follows:
γ s l = γ s + γ l cos θ
During the ceremony:
  • γ s l —Surface energy of solid-liquid interface;
  • γ s —Solid surface free energy, γ s = γ s d + γ s p ;
  • γ l —Liquid surface free energy, γ l = γ l d + γ l p .
According to the Owens–Wendt method, the expression of free energy at the solid–liquid interface is:
γ s l = γ s + γ l 2 γ s d γ l d 2 γ s p γ l p
In the formula:
  • γ s d —Solid dispersion component (London dispersion force);
  • γ l d —Liquid dispersion component (London dispersion Force);
  • γ s p —Solid polarity component γ p (acid-base force);
  • γ l p —Liquid polarity component γ p (acid-base force). The rest is the same as above.
Combined with Young’s equation, the expression of the free energy at the solid–liquid interface is as follows:
γ l ( 1 + c o s θ ) = 2 γ s d γ l d + 2 γ s p γ l p
Transform Equation (4) into y = m x + b the form:
( 1 + c o s θ ) 2 × γ l γ l d = γ s d + γ s p × γ l p γ l d
Based on the surface free energy of the known liquid and its components, as well as the contact angle between the known liquid and the filler, the surface free energy of the filler can be calculated by Equation (5). According to the characteristics of the formula, y or ( 1 + c o s θ ) 2 × γ l γ l d is plotted against x or γ l p γ l d to fit the function, the slope m2 represents the polarity, and b2 represents the dispersive component.

2.3.3. Basic Properties of Asphalt Mastic

According to the “Test Regulations for Highway Engineering Asphalt and Asphalt Mixture” (JTG E20-2011) [24], the penetration degree, softening point, and 10 °C ductility of phosphorus slag powder asphalt mastic were experimentally studied.

2.3.4. High- and Low-Temperature Rheological Properties of Asphalt Mastic

(1)
High-Temperature Rheological Test
To evaluate the high-temperature rheological characteristics of phosphorus slag powder asphalt mastic, temperature sweep, frequency sweep, and multiple stress creep recovery (MSCR) tests were conducted using a dynamic shear rheometer (DSR). The evaluation indexes used were the rutting factor (G*/sin δ), zero shear viscosity (ZSV), non-recoverable creep compliance (Jnr), and creep recovery percentage (R).
Temperature sweep test: Conducted within the range of 40 °C to 82 °C, with increments of 6 °C and a loading frequency of 10 rad/s.
Frequency sweep test: Conducted at 60 °C, covering a frequency range of 0.1 to 100 rad/s.
MSCR test: Performed at 60 °C, with stress levels of 0.1 kPa and 3.2 kPa, a creep time of 1 s, and a recovery strain time of 9 s.
(2)
Low-Temperature Rheological Test
A bending beam rheometer (BBR) was used to evaluate the low-temperature rheological properties of the asphalt mastic. The evaluation indexes were creep stiffness (S) and creep rate (m), with test temperatures set at −6 °C, −12 °C, −18 °C, and −24 °C.

2.3.5. Fatigue Properties of Asphalt Mastic

The fatigue factor (G*·sin δ) was obtained using a dynamic shear rheometer (DSR) within the temperature range of 15 °C to 40 °C to evaluate the fatigue characteristics of the asphalt mastic.

3. Results and Discussion

3.1. Microscopic Void Structure Characteristics and Surface Energy Analysis of Phosphorus Slag Powder

The scanning electron microscope (SEM) image, displayed in Figure 2, reveals the microstructural details of phosphorus slag powder. Under SEM, phosphorus slag powder particles showcase an irregular shape and a rough surface. The particles are relatively uniform in size, with prominent mosaic and self-locking abilities. Noteworthy are the visible pores and micropores, as well as the transparent gap pores between particles, which indicate a well-developed pore structure. When the particle size of phosphorus slag powder decreases, the particles become more petite and more uniform. At the same time, the gap pores between them increase. This is quite different from mineral powder particles, which are smaller and have more pores of varying sizes but are less microporous and not as tightly connected.
Figure 3 and Table 6, respectively, depict the adsorption–desorption curves and pore volume of phosphorus slag powder. The adsorption and desorption curve of phosphorus slag powder fits the Type IV(a) adsorption isotherm, characteristic of a mesoporous structure (2–50 nm). The trend in the middle- and low-pressure areas is relatively gentle, escalating sharply in the high-pressure area. This sharp increase results in a hysteresis loop caused by capillary condensation in the medium- and high-pressure areas, suggesting that phosphorus slag powder contains slit pores with active adsorption capabilities. In stark contrast, the mineral powder displays no significant hysteresis and virtually lacks an internal pore structure.
Notably, the nitrogen adsorption capacity of 18–38 μm and ≤18 μm phosphorus slag powder is significantly higher than that of 38–75 μm phosphorus slag powder and mineral powder. The pore volume is larger, and the pores are more developed, which is more conducive to the adsorption of asphalt on the filler.
The contact angle between the filler and each liquid, as well as the surface free energy of the filler and its components, are presented in Table 7 and Table 8. Generally, the contact angle of phosphorus slag powder is smaller than that of mineral powder, which indicates that phosphorus slag powder has more excellent wettability. Additionally, smaller particle sizes result in a more substantial wetting capacity of phosphorus slag powder, suggesting improved adsorption between phosphorus slag powder and asphalt.
Based on the findings, the surface energy of phosphorus slag powder is higher than that of mineral powder, with the dispersion component constituting the majority of phosphorus slag powder regardless of particle size. However, for mineral powder, the polar and dispersion components are nearly equal. This indicates that phosphorus slag powder is a non-polar material with intermolecular solid forces, while the intermolecular forces of mineral powder are equivalent to its surface dispersion force.

3.2. Analysis of Basic Characteristics of Asphalt Mastic

The test results for the conventional performance indexes of phosphorus slag powder asphalt mastic are presented in Figure 4. The test values are found to be within the specified requirements. Notably, the penetration degree of the mastic decreases as the particle size diminishes or the content of phosphorus slag powder increases, suggesting an enhanced resistance to shear deformation. The ductility value rises with a decrease in particle size. It falls with an increase in content, indicating superior plastic deformation capacity when the particle size is small, or the content is low. The softening point exhibits an upward trend with reduced particle size or increased content of phosphorus slag powder, implying that smaller particles or higher dosages facilitate the adsorption and bonding between asphalt and phosphorus slag powder, thereby benefiting the high-temperature performance of the mastic.

3.3. Analysis of Rheological Properties of Asphalt Mastic

3.3.1. Rheological Properties at High Temperatures

(1)
Analysis of Temperature Scanning Test Results
As illustrated in Figure 5, the particle size and dosage of phosphorus slag powder are key factors influencing the rutting factor (G*/sin δ) of asphalt mastic, with particle size having the most significant impact on high-temperature performance. Theoretical analysis suggests that when the phosphorus slag powder particle size is ≤18 μm, the content is 10%, the stirring rate is 3000 r/min, and the stirring time is 30 min, the asphalt mastic with phosphorus slag powder can exhibit excellent high-temperature rheological properties.
Similarly, Figure 6 demonstrates that temperature significantly affects the high-temperature performance of the mastic, with the rutting factor (G*/sin δ) decreasing in a curvilinear fashion as temperature increases, levelling off as it approaches 60 °C. At a constant temperature and dosage, smaller phosphorus slag powder particle sizes correlate with better high-temperature performance and a reduced likelihood of rutting. Under identical temperature and particle size conditions, an optimal phosphorus slag powder content exists, with a 10% content yielding the best results in this experiment, aligning with the theoretical analysis.
(2)
Analysis of Frequency Sweep Test Results
As indicated in Table 9, the zero-shear viscosity (ZSV) was fitted and derived computationally from the Carreau rheological model. Generally, the ZSV of phosphorus slag powder asphalt mastic obtained through the primary curve fitting is lower than that derived from the formula. However, the results and the trend of change remain broadly consistent. The primary factors influencing the ZSV of asphalt mastic are particle size and dosage.
Notably, the ZSV of phosphorus slag powder asphalt mastic with particle sizes of 18–38 μm and ≤18 μm is predominantly higher than the average value and significantly exceeds the ZSV of mineral powder asphalt mastic. For a given particle size, increasing the dosage has a significant impact on the ZSV of asphalt mastic, achieving a peak in high-temperature performance at a 10% dosage. Furthermore, when using the exact dosage, smaller particle sizes lead to improved high-temperature performance of phosphorus slag powder asphalt mastic.
(3)
Analysis of the Results of the Multi-Stress Creep Recovery Test (MSCR)
As shown in Table 10 and Figure 7 and Figure 8, the Jnr value of phosphorus slag powder asphalt mastic at 60 °C is relatively low, not exceeding 6.5 kPa−1. This indicates that the high-temperature performance of phosphorus slag powder asphalt mastic is satisfactory. Notably, the Jnr value is the lowest at a 10% dosage under the same particle size, suggesting that the high-temperature performance is optimal at this dosage. Additionally, for a given dosage, a smaller particle size of phosphorus slag powder results in a lower Jnr value of asphalt mastic, indicating better high-temperature performance.
The Jnr-diff does not exhibit any significant change characteristics, making it difficult to determine the variation in stress sensitivity of the asphalt mastic. The creep deformation recovery rate (R) increases as the particle size of phosphorus slag powder decreases, indicating better delayed elastic recovery performance. Compared to fillers with larger particle sizes, this demonstrates higher elastic composition and resistance to viscosity and flow deformation at high temperatures.
(4)
Analysis and Discussion of Different High Temperature Evaluation Indexes
By comparing the high-temperature rheological properties of asphalt mastic obtained from three different tests, it is evident that all three indexes lead to similar conclusions. These indexes can be used to assess the high-temperature rheological properties of asphalt mastic to some extent. Among them, zero-shear viscosity (ZSV) is an inherent property of the material that remains unaffected by external factors. The intermittent loading mode of the multiple stress creep recovery (MSCR) test effectively simulates actual pavement conditions and better reflects the natural stress conditions of asphalt materials in use. These two evaluation indicators are highly reliable and have a reasonable correlation with the high-temperature performance of asphalt mastic, accurately reflecting their high-temperature rheological characteristics.
However, the rutting factor (G*/sin δ), obtained under continuous loading, fails to simulate the actual stress conditions of asphalt pavements accurately. It also does not account for delayed elasticity and recovery ability, separating the elastic and viscous components of asphalt materials, thus failing to describe their viscoelastic rheological behavior accurately. Therefore, it is recommended to use ZSV or MSCR test indexes as the evaluation indicators for the high-temperature rheological properties of phosphorus slag powder asphalt mastic.

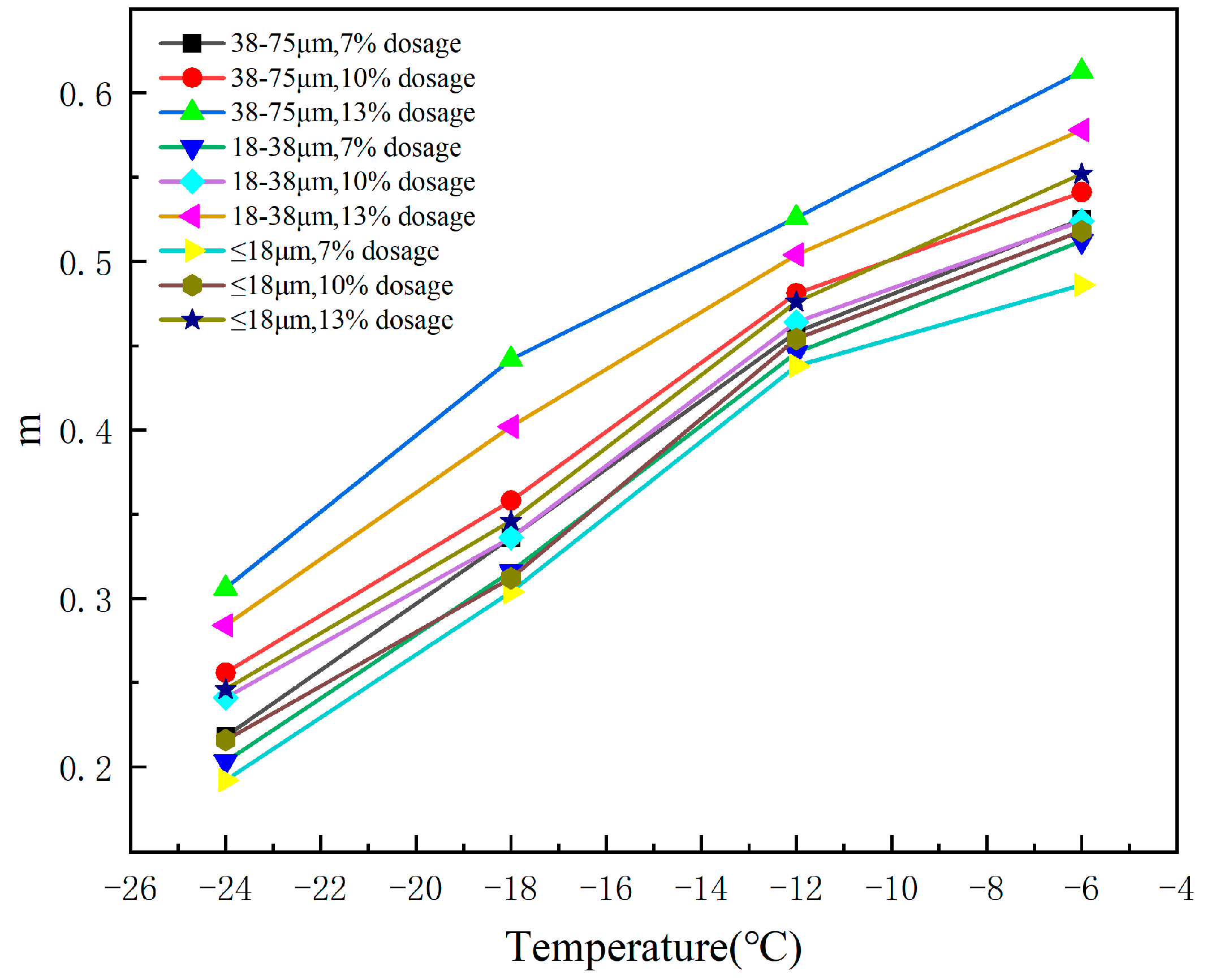
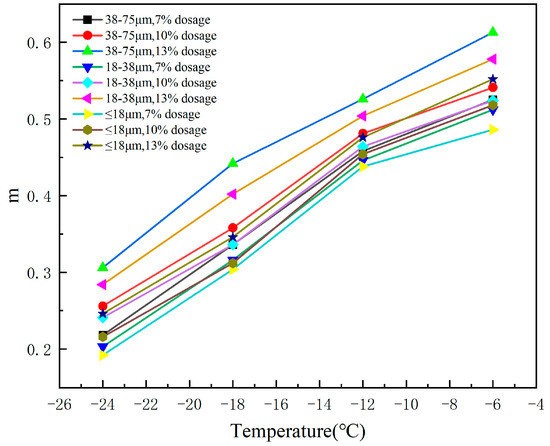
3.3.2. Analysis of Rheological Properties at Low Temperatures

As shown in Figure 9 and Figure 10, the dosage and particle size of phosphorus slag powder are the main factors influencing the properties of asphalt mastic, while the preparation process (stirring rate and stirring time) has a less significant impact. Theoretical analysis indicates that with a phosphorus slag powder particle size of ≤18 μm, a dosage of 13%, a stirring rate of 2500 r/min, and a stirring time of 25 min, asphalt mastic can maintain better low-temperature crack resistance.
Based on the test results, it was observed that under consistent temperature and particle size conditions, an increase in phosphorus slag powder dosage results in a decrease in the stiffness modulus (S value) of asphalt mastic, as well as an increase in the creep rate (m value). This suggests that a higher deformation capacity of asphalt mastic contributes to improved crack resistance at low temperatures, although it has a relatively minor impact on stress relaxation capacity.

3.4. Analysis of Fatigue Characteristics

As depicted in Figure 11, regardless of the filler type, the fatigue factor (G* sin δ) of asphalt mastic consistently declines with increasing temperature. Notably, asphalt mastic containing mineral powder exhibits a higher fatigue factor than those with phosphorus slag powder across all temperatures, reaching up to 7000 kPa. This indicates superior fatigue resistance in asphalt mastic with phosphorus slag powder compared to those with mineral powder.
Furthermore, the fatigue resistance of asphalt mastic is significantly influenced by the particle size and dosage of phosphorus slag powder. A smaller particle size enhances fatigue resistance under equivalent dosage conditions, and asphalt mastic with ≤18 μm phosphorus slag powder demonstrates heightened temperature sensitivity, which is beneficial for fatigue resistance. Under constant particle size, the fatigue limit temperature exhibits a ‘V-shaped trend, with the lowest fatigue limit temperature observed in asphalt mastic containing 10% phosphorus slag powder.

4. Conclusions

In this paper, the feasibility of using phosphorus slag powder as a filler in asphalt mastic, replacing mineral powder, was studied from a microscopic perspective. The high- and low-temperature rheological properties, as well as fatigue characteristics of phosphorus slag powder asphalt mastic, were evaluated. Furthermore, different evaluation indexes for the high-temperature rheological properties of asphalt mastic were compared and analyzed. Based on the study results, the following conclusions were drawn:
(1)
Phosphorus slag powder exhibits low density, small overall particle size, difficulty in forming agglomerates, developed pores, large specific surface area, and high surface energy. These properties facilitate bonding between phosphorus slag powder and asphalt, making it suitable as a filler in asphalt mastic and mixtures. However, an appropriate dosage and small particle size of phosphorus slag powder should be selected.
(2)
The main factors affecting the viscoelastic properties of asphalt mastic are the particle size and dosage of phosphorus slag powder. The stirring rate and stirring time have little influence on its properties. Among these factors, particle size has the most significant effect on high-temperature performance and fatigue resistance, while dosage has the most apparent effect on low-temperature performance.
(3)
Generally speaking, phosphorus slag powder asphalt mastic with particle sizes ≤18 μm exhibits the best performance. Phosphorus slag powder asphalt mastic shows good fatigue resistance at a dosage of 7%, good high-temperature rheological properties at a dosage of 10%, and good low-temperature rheological properties at a dosage of 13%. In practical engineering applications, the appropriate dosage can be selected based on different regions and specific design and construction requirements.
(4)
High-temperature evaluation indexes: Comparing and analyzing different high-temperature evaluation indexes for asphalt mastic, the test indexes obtained by ZSV and MSCR show a good correlation with the high-temperature performance of asphalt mastic, whereas G*/sin δ has certain limitations and is not able to accurately reflect the high-temperature performance of asphalt mastic. In this paper, it is recommended that ZSV or Jnr and R be used to represent the high-temperature rheological properties of asphalt mastic.
(5)
This study has important theoretical significance and research value, as it reveals the characteristic change mechanisms of phosphorus slag powder asphalt mastic and optimizes evaluation indexes. However, this paper focuses only on the study of different high-temperature evaluation indexes of asphalt mastic and the physical surface properties of the filler. The chemical properties of the filler and the evaluation indexes for low-temperature and fatigue resistance characteristics of asphalt mastic merit further exploration.

Author Contributions

Conceptualization, R.Y.; methodology, X.T.; formal analysis, X.L.; investigation, X.L.; data curation, X.L.; writing—original draft preparation, X.L.; writing—review and editing, X.L. All authors have read and agreed to the published version of the manuscript.

Funding

This research received no external funding.

Data Availability Statement

The data analyzed in this study are subject to the following licenses/restrictions: the restrictions can be received from the first author. Requests to access these datasets should be directed to lixiao@stu.csust.edu.cn.

Conflicts of Interest

The authors declare no conflict of interest.

References

  1. Liu, X.; Liu, X.; Zhang, Z. Recycling and comprehensive utilization of yellow phosphorus slag in building materials: A review. Constr. Build. Mater. 2023, 396, 132384. [Google Scholar] [CrossRef]
  2. Chen, X.; Zhou, X.; Deng, S.S.; Peng, Z.L.; Fan, Z.Y.; Gao, Z.F.; Lu, L. Review and prospect of research on the release and diffusion of solid waste pollutants from phosphate rock. J. Yangtze River Res. Inst. 2024, 1–9. [Google Scholar]
  3. Gao, P.; Lu, X.; Yang, C.; Li, X.; Shi, N.; Jin, S. Microstructure and pore structure of concrete mixed with superfine phosphorous slag and superplasticizer. Constr. Build. Mater. 2008, 22, 837–840. [Google Scholar] [CrossRef]
  4. Peng, Y.; Zhang, J.; Liu, J.; Ke, J.; Wang, F. Properties and microstructure of reactive powder concrete having a high content of phosphorous slag powder and silica fume. Constr. Build. Mater. 2015, 101, 482–487. [Google Scholar] [CrossRef]
  5. Yang, J.; Huang, J.; He, X.; Su, Y.; Oh, S.K. Shrinkage properties and microstructure of high volume ultrafine phosphorous slag blended cement mortars with superabsorbent polymer. J. Build. Eng. 2020, 29, 101121. [Google Scholar] [CrossRef]
  6. Allahverdi, A.; Pilehvar, S.; Mahinroosta, M. Influence of curing conditions on the mechanical and physical properties of chemically-activated phosphorous slag cement. Powder Technol. 2016, 288, 132–139. [Google Scholar] [CrossRef]
  7. Lv, S.; Tan, L.; Peng, X.; Hu, L.; Cabrera, M.B. Experimental investigation on the performance of bone glue and crumb rubber compound modified asphalt. Constr. Build. Mater. 2021, 305, 124734. [Google Scholar] [CrossRef]
  8. Peng, X.; Yuan, J.; Wu, Z.; Lv, S.; Zhu, X.; Liu, J. Investigation on strength characteristics of bio-asphalt mixtures based on the time-temperature equivalence principle. Constr. Build. Mater. 2021, 309, 125132. [Google Scholar] [CrossRef]
  9. Zhang, C.; Yu, H.; Zhu, X.; Yao, D.; Peng, X.; Fan, X. Unified Characterization of Rubber Asphalt Mixture Strength under Different Stress Loading Paths. J. Mater. Civ. Eng. 2024, 36, 04023498. [Google Scholar] [CrossRef]
  10. Liu, J.; Wang, Z.; Jia, H.; Jing, H.; Chen, H.; Zhou, L.; Yuan, L.; Hoff, I. Characteristics and properties of asphalt mortar containing FO filler. Constr. Build. Mater. 2023, 392, 132039. [Google Scholar] [CrossRef]
  11. Tao, G.; Xiao, Y.; Yang, L.; Cui, P.; Kong, D.; Xue, Y. Characteristics of steel slag filler and its influence on rheological properties of asphalt mortar. Constr. Build. Mater. 2019, 201, 439–446. [Google Scholar] [CrossRef]
  12. Li, Z.; Zhang, X.; Liu, F.; Su, J.; Zhao, Q.; Liu, L. Effect of replacement of limestone mineral powder with fly ash and direct coal liquefaction residue on the rheological properties of asphalt mastic. Constr. Build. Mater. 2024, 412, 134803. [Google Scholar] [CrossRef]
  13. Li, F.; Yang, Y. Experimental investigation on the influence of interfacial effects of limestone and fly ash filler particles in asphalt binder on mastic aging behaviors. Constr. Build. Mater. 2021, 290, 123184. [Google Scholar] [CrossRef]
  14. Wei, Z.; Jia, Y.; Wang, S.; Zhou, Z.; Zhang, Z.; Wang, X.; Huang, X.; Gao, Y. Influence of iron tailing filler on rheological behavior of asphalt mastic. Constr. Build. Mater. 2022, 352, 129047. [Google Scholar] [CrossRef]
  15. Meng, Y.; Lai, J.; Ling, L.; Zhang, C.; Chen, J.; Zhu, J. Preparation of an eco-friendly de-icing filler and its effects on the performance of different asphalt mastic. Constr. Build. Mater. 2023, 364, 129967. [Google Scholar] [CrossRef]
  16. Russo, F.; Veropalumbo, R.; Oreto, C.; Cassese, D.; Papa, B.; Malvezzi, S. Reusing bottom ash as a filler from a Waste-to-Energy plant for making asphalt mastic. Case Stud. Constr. Mater. 2022, 17, e01406. [Google Scholar] [CrossRef]
  17. Lin, J.; Guo, Z.; Hong, B.; Xu, J.; Fan, Z.; Lu, G.; Wang, D.; Oeser, M. Using recycled waste glass fiber reinforced polymer (GFRP) as filler to improve the performance of asphalt mastic. J. Clean. Prod. 2022, 336, 130357. [Google Scholar] [CrossRef]
  18. Sheng, Y.; Zhang, B.; Yan, Y.; Chen, H.; Xiong, R.; Geng, J. Effects of phosphorus slag powder and polyester fiber on performance characteristics of asphalt binders and resultant mixtures. Constr. Build. Mater. 2017, 141, 289–295. [Google Scholar] [CrossRef]
  19. Qian, G.; Wang, K.; Bai, X.; Xiao, T.; Jin, D.; Huang, Q. Effects of surface modified Phosphorus slag powder on performance of asphalt and asphalt mixture. Constr. Build. Mater. 2018, 158, 1081–1089. [Google Scholar] [CrossRef]
  20. Yu, H.; Zhu, X.; Qian, G.; Gong, X.; Nie, X. Evaluation of phosphorus slag (PS) content and particle size on the performance modification effect of asphalt. Constr. Build. Mater. 2020, 256, 119334. [Google Scholar] [CrossRef]
  21. Yi, S.C. Experimental Study on the Performance of Commonly Used Modifier/Phosphorus Slag Powder Composite Modified Asphalt. Master’s Thesis, Changsha University of Science and Technology, Changsha, China, 2018. [Google Scholar]
  22. Wang, K. Experimental Study on Surface Modification of Phosphorus Slag Powder and Its Modified Asphalt Properties. Master’s Thesis, Changsha University of Science and Technology, Changsha, China, 2016. [Google Scholar]
  23. Nie, X.H. Experimental Study on the Properties of Phosphorus Slag Powder Modified Asphalt and Mixture. Master’s Thesis, Changsha University of Science and Technology, Changsha, China, 2014. [Google Scholar]
  24. JTG E20-2011; Test Regulations for Asphalt and Asphalt Mixtures for Highway Engineering. Research Institute of Highway, Ministry of Transport: Beijing, China, 2011; 373P, A374.
Figure 1. The original photos of phosphorus slag powder and mineral powder.
Figure 1. The original photos of phosphorus slag powder and mineral powder.
Buildings 14 02061 g001
Figure 2. Scanning electron microscope (SEM) of the filler; (a) 38–75 μm phosphorus slag powder; (b) 18–38 μm phosphorus slag powder; (c) ≤18 μm phosphorus slag powder; (d) mineral powder.
Figure 2. Scanning electron microscope (SEM) of the filler; (a) 38–75 μm phosphorus slag powder; (b) 18–38 μm phosphorus slag powder; (c) ≤18 μm phosphorus slag powder; (d) mineral powder.
Buildings 14 02061 g002
Figure 3. Nitrogen adsorption–desorption curves of phosphorus slag powder and mineral powder; (a) 38–75 μm phosphorus slag powder adsorption–desorption curve; (b) 18–38 μm phosphorus slag powder adsorption–desorption curve; (c) ≤18 μm phosphorus slag powder adsorption–desorption curve; (d) mineral powder adsorption–desorption curve.
Figure 3. Nitrogen adsorption–desorption curves of phosphorus slag powder and mineral powder; (a) 38–75 μm phosphorus slag powder adsorption–desorption curve; (b) 18–38 μm phosphorus slag powder adsorption–desorption curve; (c) ≤18 μm phosphorus slag powder adsorption–desorption curve; (d) mineral powder adsorption–desorption curve.
Buildings 14 02061 g003
Figure 4. Three indexes of phosphorus rock powder asphalt mastic.
Figure 4. Three indexes of phosphorus rock powder asphalt mastic.
Buildings 14 02061 g004
Figure 5. G/sin δ standard deviation analysis diagram.
Figure 5. G/sin δ standard deviation analysis diagram.
Buildings 14 02061 g005
Figure 6. Diagram of G/sin δ as a function of temperature.
Figure 6. Diagram of G/sin δ as a function of temperature.
Buildings 14 02061 g006
Figure 7. Jnr comparison diagram.
Figure 7. Jnr comparison diagram.
Buildings 14 02061 g007
Figure 8. R comparison diagram.
Figure 8. R comparison diagram.
Buildings 14 02061 g008
Figure 9. S with temperature change relationship diagram.
Figure 9. S with temperature change relationship diagram.
Buildings 14 02061 g009
Figure 10. m with temperature change relationship diagram.
Figure 10. m with temperature change relationship diagram.
Buildings 14 02061 g010
Figure 11. G*·sin δ with temperature change diagram.
Figure 11. G*·sin δ with temperature change diagram.
Buildings 14 02061 g011
Table 1. Performance indexes of matrix asphalt.
Table 1. Performance indexes of matrix asphalt.
ItemsUnitTest ResultsTechnical Requirements
Penetration (25 °C, 100 g, 5 s)0.1 mm69.860–80
Penetration index (PI)--−1.36−1.5–+1.0
Ductility (5 cm/min, 15 °C)cm>150≥100
Softening point °C47.2≥46
Table 2. Technical indicators of four types of fillers.
Table 2. Technical indicators of four types of fillers.
ItemsUnitPhosphorus Slag Powder (μm)Mineral Powder
38–7518–38≤18
Apparent densityg/cm32.692.652.632.66
Specific surface areaBET methodm2/g5.686.347.220.72
Langmuir method6.457.098.190.83
Hydrophilic coefficient--0.910.68
Table 3. Particle size distribution of the filler (unit: μm).
Table 3. Particle size distribution of the filler (unit: μm).
Type of Filler χ 10 χ 50 χ 90 χ a v
Phosphorus slag powder38–7539.78949.81464.12750.559
18–3820.16826.04731.12726.032
≤186.3788.03910.1918.132
Mineral powder0.4210.7891.4780.890
Annotation: χ 10 ,   χ 50 ,   χ 90 represent the accumulated analysis of the particles of 10%, 50%, and 90%. χ a v is the average particle size of the particle group.
Table 4. Factor level.
Table 4. Factor level.
FactorsGranularity ADosage BStirring Rate CStirring Time D
138–75 μm7%1000 r/min20 min
218–38 μm10%2000 r/min25 min
3≤18 μm13%3000 r/min30 min
Table 5. Orthogonal design scheme.
Table 5. Orthogonal design scheme.
FactorsGranularity ADosage BStirring Rate CStirring Time D
Experiment number1#1111
2#1222
3#1333
4#2123
5#2231
6#2312
7#3132
8#3213
9#3321
Table 6. Packing adsorption–desorption pore volume (unit: cm3/g).
Table 6. Packing adsorption–desorption pore volume (unit: cm3/g).
Type of FillerPhosphorus Slag Powder (μm)Mineral Powder
38–75 18–38 ≤18
BJH adsorption0.0250.0330.0310.003
BJH desorption0.0250.0330.0320.003
Table 7. Contact angle between the packing material and each liquid (unit: °).
Table 7. Contact angle between the packing material and each liquid (unit: °).
Type of FillerAverage Value
Steaming WaterEthylene Glycol
Phosphorus slag powder38–75 μm25.90
18–38 μm29.60
≤18 μm33.30
Mineral powder71.748.1
Table 8. Surface free energy and its components of packing material (unit: m J/m2).
Table 8. Surface free energy and its components of packing material (unit: m J/m2).
Type of FillerSurface Free Energy
γ γ d γ p
Phosphorus slag powder38–75 μm71.85.6666.14
18–38 μm67.946.9461
≤18 μm63.968.5955.37
Mineral powder33.6819.1114.57
Table 9. Zero-shear viscosity (ZSV) of asphalt mastic (unit: Pa·s).
Table 9. Zero-shear viscosity (ZSV) of asphalt mastic (unit: Pa·s).
Trial NumberFormula DerivationCarreau Rheological Model Fitting Curves
K m ZSVZSVR2
1#71.260.1713,05899080.99071
2#32.40.0214,57714,4610.97284
3#74.960.00313,85413,5290.99569
4#49.530.0214,78714,7270.98679
5#48.90.01418,90118,7750.9823
6#50.040.00717,63617,6700.97922
7#48.180.00719,84219,7600.99244
8#36.40.0429,76125,9800.97734
9#37.70.00821,50821,0970.98369
10#44.070.003779578060.99612
Table 10. MSCR index test results.
Table 10. MSCR index test results.
Trial NumberUnit1#2#3#4#5#6#7#8#9#10#
Jnr0.1kPa−14.944.334.353.543.013.203.142.932.993.24
Jnr3.2kPa−15.534.666.094.013.254.033.383.553..903.97
Jnr-diff--12.047.7539.9413.358.0525.937.8120.9930.4322.50
R0.1%49.3657.8151.360.2569.5866.2669.1275.8971.0762.01
R3.2%37.5349.6540.4251.0458.9954.7560.0568.9165.4347.55
Disclaimer/Publisher’s Note: The statements, opinions and data contained in all publications are solely those of the individual author(s) and contributor(s) and not of MDPI and/or the editor(s). MDPI and/or the editor(s) disclaim responsibility for any injury to people or property resulting from any ideas, methods, instructions or products referred to in the content.

Share and Cite

MDPI and ACS Style

Li, X.; Tian, X.; Ying, R. Laboratory Performance and Micro-Characteristics of Asphalt Mastic Using Phosphorus Slag Powder as a Filler. Buildings 2024, 14, 2061. https://doi.org/10.3390/buildings14072061

AMA Style

Li X, Tian X, Ying R. Laboratory Performance and Micro-Characteristics of Asphalt Mastic Using Phosphorus Slag Powder as a Filler. Buildings. 2024; 14(7):2061. https://doi.org/10.3390/buildings14072061

Chicago/Turabian Style

Li, Xiao, Xiaoge Tian, and Ronghua Ying. 2024. "Laboratory Performance and Micro-Characteristics of Asphalt Mastic Using Phosphorus Slag Powder as a Filler" Buildings 14, no. 7: 2061. https://doi.org/10.3390/buildings14072061

APA Style

Li, X., Tian, X., & Ying, R. (2024). Laboratory Performance and Micro-Characteristics of Asphalt Mastic Using Phosphorus Slag Powder as a Filler. Buildings, 14(7), 2061. https://doi.org/10.3390/buildings14072061

Note that from the first issue of 2016, this journal uses article numbers instead of page numbers. See further details here.

Article Metrics

Back to TopTop