Projection-Pursuit Regression-Based Optimization of Frost Resistance and Mechanical Performance in Alkali-Activated Slag Cement Pavements
Abstract
1. Introduction
2. Materials and Methods
2.1. Raw Materials for Experimentation
2.2. Experimental Method
2.2.1. Preparation and Maintenance of Specimens
2.2.2. Mechanical Properties’ Testing
2.2.3. Frost-Resistance Testing
2.3. Experimental Plan
2.4. Discussion of Experimental Results
2.4.1. Mechanical Properties
2.4.2. Frost Resistance
3. PPR Modeling and Simulation Calculation
3.1. Introduction to the PPR Modeling Method
3.2. Modeling Process
3.3. PPR Model Calculation Accuracy and Error Analysis
3.4. Simulation Calculation
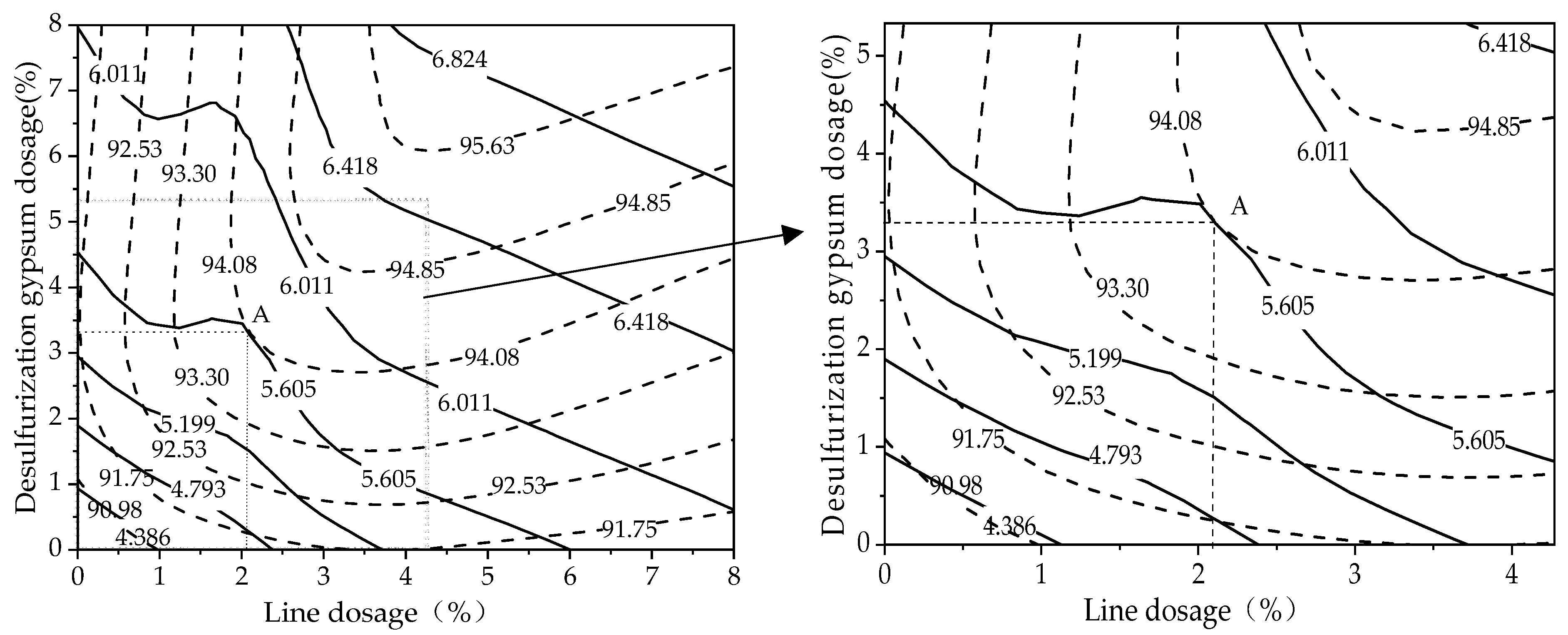
4. AASCSS Comprehensive Performance Optimization Methodology
5. Discussion
6. Conclusions
- (1)
- Both desulfurization gypsum and lime were found to enhance the mechanical properties and freeze–thaw resistance of AASCSS; the effects were more pronounced when desulfurization gypsum and lime were used in combination. With an increase in the proportion of desulfurization gypsum, improvements in the mechanical properties and freeze–thaw resistance of the AASCSS were observed.
- (2)
- The models for the 7-day and 28-day unconfined compressive strength and BDR of AASCSS, established using projection-pursuit regression (PPR) technology, were characterized by low error, high computational accuracy, and excellent stability. This enabled highly accurate predictions of the 7-day and 28-day unconfined compressive strength and the BDR of the AASCSS. Furthermore, the computational results of the PPR model objectively reflected the influence patterns of activator types and dosages on the mechanical and freeze–thaw resistance properties of the AASCSS.
- (3)
- Practical evidence demonstrates that the PPR model and optimization methods are ideal engineering tools for predicting the performance of AASCSS and for optimizing its mix proportions. In engineering applications, it is recommended to optimize the mix proportions of the AASCSS based on durability indicators, such as shrinkage performance and erosion resistance, in conjunction with the geographical conditions of the specific road engineering site. When multiple evaluation indicators are involved, the PPR model can also be combined with TOPSIS or fuzzy comprehensive evaluation to conduct multi-objective optimization of AASCSS mix proportions.
Author Contributions
Funding
Data Availability Statement
Conflicts of Interest
References
- Feng, Y.-H.; Zhang, Z.; Gao, J.; Feng, G.-P.; Qiu, L.; Feng, D.-L.; Zhang, X.-X.; Zhu, X. Research Status of Centrifugal Granulation, Physical Heat Recovery and Resource Utilization of Blast Furnace Slags. J. Anal. Appl. Pyrolysis 2021, 157, 105220. [Google Scholar] [CrossRef]
- Naresh, B.; Saravanan, M. Experimental Study of Replacement of Cement with Ground Granulated Blast Furnace Slag. Mater. Today Proc. 2022, 62, 3493–3496. [Google Scholar] [CrossRef]
- Chen, T.-T.; Wang, C.-C.; Hsiung, B.C.B.; Wang, H.-Y. Seven-Day Test Result Assessment of the Developed Strength in Composite Cement Mortar with Slag. Constr. Build. Mater. 2017, 152, 587–597. [Google Scholar] [CrossRef]
- Ahmad, J.; Majdi, A.; Babeker Elhag, A.; Deifalla, A.F.; Soomro, M.; Isleem, H.F.; Qaidi, S. A Step towards Sustainable Concrete with Substitution of Plastic Waste in Concrete: Overview on Mechanical, Durability and Microstructure Analysis. Crystals 2022, 12, 944. [Google Scholar] [CrossRef]
- Tao, Z.; Zhang, Y.; Chen, X.; Gu, X. Effects of Freeze-Thaw Cycles on the Mechanical Properties of Cement-Fiber Composite Treated Silty Clay. Constr. Build. Mater. 2022, 316, 125867. [Google Scholar] [CrossRef]
- Wen, H.; Suo, C.; Hao, Y.; Fan, P.; Dong, X. Effect of Freezing-Thawing Cycle on the Mechanical Properties and Micromechanism of Red Mud-Calcium-Based Composite Cemented Soil. Adv. Civ. Eng. 2020, 2020, 8825576. [Google Scholar] [CrossRef]
- Tekle, B.H.; Holschemacher, K.; Löber, P.; Heiden, B. Mechanical Behavior and Frost-Resistance of Alkali-Activated Cement Concrete with Blended Binder at Ambient Curing Condition. Buildings 2021, 11, 52. [Google Scholar] [CrossRef]
- Feng, L.; Yi, S.; Zhao, S.; Zhong, Q.; Ren, F.; Liu, C.; Zhang, Y.; Wang, W.; Xie, N.; Li, Z.; et al. Recycling of Aluminosilicate-Based Solid Wastes through Alkali-Activation: Preparation, Characterization, and Challenges. Buildings 2024, 14, 226. [Google Scholar] [CrossRef]
- Trejo, D.; Prasittisopin, L. Chemical Transformation of Rice Husk Ash Morphology. ACI Mater. J. 2015, 112, 385–392. [Google Scholar] [CrossRef]
- Prasittisopin, L.; Trejo, D. Performance Characteristics of Blended Cementitious Systems Incorporating Chemically Transformed Rice Husk Ash. Adv. Civ. Eng. Mater. 2017, 6, 17–35. [Google Scholar] [CrossRef]
- Wang, X.; Yan, Y.; Tong, X.; Gong, Y. Investigation of Mineral Admixtures on Mechanical Properties of Alkali-Activated Recycled Concrete Powders Cement. Buildings 2022, 12, 1234. [Google Scholar] [CrossRef]
- Li, M.; Huang, G.; Cui, Y.; Wang, B.; Zhang, S.; Wang, Q.; Feng, J. Improvement of Mechanical Properties and Condensation Behavior for Alkali-Activated Materials by Sodium Silicate. Crystals 2022, 12, 1018. [Google Scholar] [CrossRef]
- Kamath, M.; Prashant, S.; Ralegaonkar, R. Microstructure Properties of Popular Alkali-Activated Pastes Cured in Ambient Temperature. Buildings 2023, 13, 858. [Google Scholar] [CrossRef]
- Lee, S.; Shin, S. Prediction on Compressive and Split Tensile Strengths of GGBFS/FA Based GPC. Materials 2019, 12, 4198. [Google Scholar] [CrossRef] [PubMed]
- Nehdi, M.L. Optimization of Ternary Cementitious Mortar Blends Using Factorial Experimental Plans. Mater. Struct. 2002, 35, 495–503. [Google Scholar] [CrossRef]
- El-Hassan, H.; Hussein, A.; Medljy, J.; El-Maaddawy, T. Performance of Steel Fiber-Reinforced Alkali-Activated Slag-Fly Ash Blended Concrete Incorporating Recycled Concrete Aggregates and Dune Sand. Buildings 2021, 11, 327. [Google Scholar] [CrossRef]
- Algaifi, H.A.; Mustafa Mohamed, A.; Alsuhaibani, E.; Shahidan, S.; Alrshoudi, F.; Huseien, G.F.; Bakar, S.A. Optimisation of GBFS, Fly Ash, and Nano-Silica Contents in Alkali-Activated Mortars. Polymers 2021, 13, 2750. [Google Scholar] [CrossRef]
- Kakasor Ismael Jaf, D.; Ismael Abdulrahman, P.; Salih Mohammed, A.; Kurda, R.; Qaidi, S.M.A.; Asteris, P.G. Machine Learning Techniques and Multi-Scale Models to Evaluate the Impact of Silicon Dioxide (SiO2) and Calcium Oxide (CaO) in Fly Ash on the Compressive Strength of Green Concrete. Constr. Build. Mater. 2023, 400, 132604. [Google Scholar] [CrossRef]
- Tan, X.; Zhan, H.; Qin, X. Estimation of Projection Pursuit Regression via Alternating Linearization. Comput. Stat. Data Anal. 2023, 187, 107793. [Google Scholar] [CrossRef]
- Tao, H.; Wu, Z.; Yang, Y.; Li, Q.; Mahemujiang, A.; Jiang, Y.; Wei, J. Establishment of a Projection-Pursuit-Regression-Based Prediction Model for the Filtration Performance of a Micro-Pressure Filtration and Cleaning Tank for Micro-Irrigation. J. Clean. Prod. 2023, 388, 135992. [Google Scholar] [CrossRef]
- Gong, J.; Jiang, C.; Tang, X.; Zheng, Z.; Yang, L. Optimization of Mixture Proportions in Ternary Low-Heat Portland Cement-Based Cementitious Systems with Mortar Blends Based on Projection Pursuit Regression. Constr. Build. Mater. 2020, 238, 117666. [Google Scholar] [CrossRef]
- Gong, J.; Zhan, X.; Gong, M.; Wang, L.; Xie, G. Mechanical Strength Characteristics of Saline Soil Stabilized by All-Solid Waste Cementitious Material Based on Projection Pursuit Regression Modeling. J. Mater. Cycles Waste Manag. 2023, 25, 3490–3507. [Google Scholar] [CrossRef]
- Ju, C.; Liu, Y.; Yu, Z.; Yang, Y. Cement-Lime-Fly Ash Bound Macadam Pavement Base Material with Enhanced Early-Age Strength and Suppressed Drying Shrinkage via Incorporation of Slag and Gypsum. Adv. Civ. Eng. 2019, 2019, 8198021. [Google Scholar] [CrossRef]
- Wang, T.; Wu, K.; Wu, M. Development of Green Binder Systems Based on Flue Gas Desulfurization Gypsum and Fly Ash Incorporating Slag or Steel Slag Powders. Constr. Build. Mater. 2020, 265, 120275. [Google Scholar] [CrossRef]
- Xia, X.; Zhang, L.; Yuan, X.; Ma, C.; Song, Z.; Zhao, X. Integrated Assessment of the Environmental and Economic Effects of Resource Utilization Process for Lime/Gypsum Flue Gas Desulfurization Collaborative Desulfurized Gypsum. Environ. Eng. Sci. 2021, 38, 886–898. [Google Scholar] [CrossRef]
- JTG E51—2009; Material Test Methods of Materials Stabilized with Inorganic Highway Engineering. Ministry of Transportation Highway Research Institute: Beijing, China, 2009.
- Shi, P.; Falliano, D.; Yang, Z.; Marano, G.C.; Briseghella, B. Investigation on the Anti-Carbonation Properties of Alkali-Activated Slag Concrete: Effect of Activator Types and Dosages. J. Build. Eng. 2024, 91, 109552. [Google Scholar] [CrossRef]
- Shіshkina, A.; Piskun, I. Formation of the Strength of Fine-Grained Concrete Based on Modified Slag Portland Cement. East. Eur. J. Enterp. Technol. 2023, 5, 74–81. [Google Scholar] [CrossRef]
- Wei, L.; Yao, Z.; Li, H.; Guo, H.; Li, Y. Mechanical Properties of Aeolian Sand Concrete Made from Alkali-Treated Aeolian Sand and Zeolite Powder. Materials 2024, 17, 1537. [Google Scholar] [CrossRef]
- Oti, J.; Adeleke, B.O.; Mudiyanselage, P.R.; Kinuthia, J. A Comprehensive Performance Evaluation of GGBS-Based Geopolymer Concrete Activated by a Rice Husk Ash-Synthesised Sodium Silicate Solution and Sodium Hydroxide. Recycling 2024, 9, 23. [Google Scholar] [CrossRef]
- Amer, I.; Kohail, M.; El-Feky, M.S.; Rashad, A.; Khalaf, M.A. A Review on Alkali-Activated Slag Concrete. Ain Shams Eng. J. 2021, 12, 1475–1499. [Google Scholar] [CrossRef]
- Zhu, J.; Cui, H.; Cui, L.; Yang, S.; Zhang, C.; Liu, W.; Zheng, D. Mutual Activation Mechanism of Cement–GGBS–Steel Slag Ternary System Excited by Sodium Sulfate. Buildings 2024, 14, 631. [Google Scholar] [CrossRef]
- He, J.; Li, M.; Bai, W.; Sang, G.; Song, X. Effect of Slaked Lime on the Properties of Sodium Sulfate-Activated Alkali-Activated Slag Cement. Processes 2024, 12, 184. [Google Scholar] [CrossRef]
- Hossain, K.M.A.; Sood, D. Shrinkage, Permeation and Freeze–Thaw Characteristics of Ambient Cured High Calcium-Based Alkali-Activated Engineered Composites. Materials 2023, 16, 7101. [Google Scholar] [CrossRef] [PubMed]
- Zhong, J.; Cao, L.; Li, M.; Wang, S.; Liu, F.; Lv, X.; Peng, X. Mechanical Properties and Durability of Alkali-Activated Steel Slag–Blastfurnace Slag Cement. J. Iron Steel Res. Int. 2023, 30, 1342–1355. [Google Scholar] [CrossRef]
- Ye, G.; Qu, J.; Tao, J.; Dai, W.; Mao, Y.; Jin, Q. Autonomous Surface Crack Identification of Concrete Structures Based on the YOLOv7 Algorithm. J. Build. Eng. 2023, 73, 106688. [Google Scholar] [CrossRef]
- Ye, G.; Li, S.; Zhou, M.; Mao, Y.; Qu, J.; Shi, T.; Jin, Q. Pavement Crack Instance Segmentation Using YOLOv7-WMF with Connected Feature Fusion. Autom. Constr. 2024, 160, 105331. [Google Scholar] [CrossRef]
- JTG/T F20—2015; Technical Rules for Construction of Highway Pavement Base. Ministry of Transportation Highway Research Institute: Beijing, China, 2015.
- Zhong, W.L.; Sun, Y.H.; Zhao, X.; Fan, L.F. Study on Synthesis and Water Stability of Geopolymer Pavement Base Material Using Waste Sludge. J. Clean. Prod. 2024, 445, 141331. [Google Scholar] [CrossRef]
- Diliberto, C.; Chaouche, L.; Trauchessec, R.; El Bedoui, S.; Lecomte, A.; Reeb, P.; Arlt, K.-J. Modulation of Alpha Coefficient (α) and Reactivity in Granulated Blast Furnace Slag Binders Used in Road Construction. J. Sustain. Metall. 2018, 4, 326–332. [Google Scholar] [CrossRef]
- Zheng, X.; You, S.; Huang, H.; Lu, H.; Easa, S.; Yu, Y.; Jiang, Z.; Chen, Z.; Qiu, R. Performance Evaluation and Multi-Objective Optimization for Alkali-Activated Slag Concrete with Recycled Aggregate. Constr. Build. Mater. 2024, 411, 134318. [Google Scholar] [CrossRef]
- Cao, Y.; Zhao, P.; Chen, H.; Liu, Y.; Luo, H.; Qin, Y. Application of Hybrid Intelligent Algorithm for Multi-Objective Optimization of High Performance Concrete in Complex Alpine Environment Highway. Constr. Build. Mater. 2023, 406, 133376. [Google Scholar] [CrossRef]
- Wang, X.; Cui, F.; Cui, L.; Jiang, D. Research on a Multi-Objective Optimization Design for the Durability of High-Performance Fiber-Reinforced Concrete Based on a Hybrid Algorithm. Coatings 2023, 13, 2054. [Google Scholar] [CrossRef]
- Zheng, W.; Shui, Z.; Xu, Z.; Gao, X.; Zhang, S. Multi-Objective Optimization of Concrete Mix Design Based on Machine Learning. J. Build. Eng. 2023, 76, 107396. [Google Scholar] [CrossRef]
- Chen, H.; Deng, T.; Du, T.; Chen, B.; Skibniewski, M.J.; Zhang, L. An RF and LSSVM–NSGA-II Method for the Multi-Objective Optimization of High-Performance Concrete Durability. Cem. Concr. Compos. 2022, 129, 104446. [Google Scholar] [CrossRef]
- Zhou, J.; Xiahou, T.; Liu, Y. Multi-Objective Optimization-Based TOPSIS Method for Sustainable Product Design under Epistemic Uncertainty. Appl. Soft Comput. 2021, 98, 106850. [Google Scholar] [CrossRef]
- Wang, B.; Mo, C.; He, C.; Yan, Q. Fuzzy Synthetic Evaluation of the Long-Term Health of Tunnel Structures. Appl. Sci. 2017, 7, 203. [Google Scholar] [CrossRef]
- Nedeljković, M.; Li, Z.; Ye, G. Setting, Strength, and Autogenous Shrinkage of Alkali-Activated Fly Ash and Slag Pastes: Effect of Slag Content. Materials 2018, 11, 2121. [Google Scholar] [CrossRef] [PubMed]
- Nedunuri, A.S.S.S.; Muhammad, S. Fundamental Understanding of the Setting Behaviour of the Alkali Activated Binders Based on Ground Granulated Blast Furnace Slag and Fly Ash. Constr. Build. Mater. 2021, 291, 123243. [Google Scholar] [CrossRef]
- Li, S.; Chen, D.; Jia, Z.; Li, Y.; Li, P.; Yu, B. Effects of Mud Content on the Setting Time and Mechanical Properties of Alkali-Activated Slag Mortar. Materials 2023, 16, 3355. [Google Scholar] [CrossRef]








| Composition | CaO | SiO2 | Fe2O3 | Al2O3 | MgO | SO3 | Loss |
|---|---|---|---|---|---|---|---|
| Cement | 61.71 | 21.35 | 4.92 | 4.46 | 1.15 | 2.51 | 0.1 |
| Slag | 39.7 | 37.0 | 0.95 | 9.4 | 7.75 | 0.22 | 1.12 |
| Aggregate | Apparent Density (kg/m3) | Loose Bulk Density (kg/m3) | Packed Bulk Density (kg/m3) | Crush Value (%) | Clay Content (%) | Porosity Rate (%) |
|---|---|---|---|---|---|---|
| Natural sand | 2683 | 1583 | 1563 | 5.96 | 2.81 | 41 |
| Sample | Cement (%) | Slag (%) | Lime (%) | Desulfurization Gypsum (%) | Sample | Cement (%) | Slag (%) | Lime (%) | Desulfurization Gypsum (%) |
|---|---|---|---|---|---|---|---|---|---|
| P | 100 | 0 | 0 | 0 | B5 | 50 | 50 | 2.67 | 1.33 |
| P.S | 50 | 50 | 0 | 0 | C1 | 50 | 50 | 6 | 0 |
| A1 | 50 | 50 | 2 | 0 | C2 | 50 | 50 | 0 | 6 |
| A2 | 50 | 50 | 0 | 2 | C3 | 50 | 50 | 2 | 4 |
| A3 | 50 | 50 | 0.67 | 1.33 | C4 | 50 | 50 | 3 | 3 |
| A4 | 50 | 50 | 1 | 1 | C5 | 50 | 50 | 4 | 2 |
| A5 | 50 | 50 | 1.33 | 0.67 | D1 | 50 | 50 | 8 | 0 |
| B1 | 50 | 50 | 4 | 0 | D2 | 50 | 50 | 0 | 8 |
| B2 | 50 | 50 | 0 | 4 | D3 | 50 | 50 | 2.67 | 5.33 |
| B3 | 50 | 50 | 1.33 | 2.67 | D4 | 50 | 50 | 4 | 4 |
| B4 | 50 | 50 | 2 | 2 | D5 | 50 | 50 | 5.33 | 2.67 |
| Influencing Factors | Unconfined Compressive Strength | BDR | |
|---|---|---|---|
| 7d | 28d | ||
| Lime dosage | 0.883 | 0.987 | 0.901 |
| Desulfurization gypsum dosage | 1 | 1 | 1 |
Disclaimer/Publisher’s Note: The statements, opinions and data contained in all publications are solely those of the individual author(s) and contributor(s) and not of MDPI and/or the editor(s). MDPI and/or the editor(s) disclaim responsibility for any injury to people or property resulting from any ideas, methods, instructions or products referred to in the content. |
© 2024 by the authors. Licensee MDPI, Basel, Switzerland. This article is an open access article distributed under the terms and conditions of the Creative Commons Attribution (CC BY) license (https://creativecommons.org/licenses/by/4.0/).
Share and Cite
Liu, Q.; Hu, D.; Jin, Q.; Zhu, L.; Xu, K.; Zhou, Z.; Su, W. Projection-Pursuit Regression-Based Optimization of Frost Resistance and Mechanical Performance in Alkali-Activated Slag Cement Pavements. Buildings 2024, 14, 2034. https://doi.org/10.3390/buildings14072034
Liu Q, Hu D, Jin Q, Zhu L, Xu K, Zhou Z, Su W. Projection-Pursuit Regression-Based Optimization of Frost Resistance and Mechanical Performance in Alkali-Activated Slag Cement Pavements. Buildings. 2024; 14(7):2034. https://doi.org/10.3390/buildings14072034
Chicago/Turabian StyleLiu, Qi, Di Hu, Qiang Jin, Lin Zhu, Kai Xu, Zhenhao Zhou, and Wanzhong Su. 2024. "Projection-Pursuit Regression-Based Optimization of Frost Resistance and Mechanical Performance in Alkali-Activated Slag Cement Pavements" Buildings 14, no. 7: 2034. https://doi.org/10.3390/buildings14072034
APA StyleLiu, Q., Hu, D., Jin, Q., Zhu, L., Xu, K., Zhou, Z., & Su, W. (2024). Projection-Pursuit Regression-Based Optimization of Frost Resistance and Mechanical Performance in Alkali-Activated Slag Cement Pavements. Buildings, 14(7), 2034. https://doi.org/10.3390/buildings14072034

