A Review of In-Flight Thermal Comfort and Air Quality Status in Civil Aircraft Cabin Environments
Abstract
1. Introduction
2. Materials and Methods
2.1. Literature Selection
2.2. Evaluation Methods of Thermal Comfort and Ventilation Rate
2.3. Inhalation Risk Calculation of Selected VOCs
3. Results
3.1. Temperature Data Distribution
3.2. RH Data Distribution
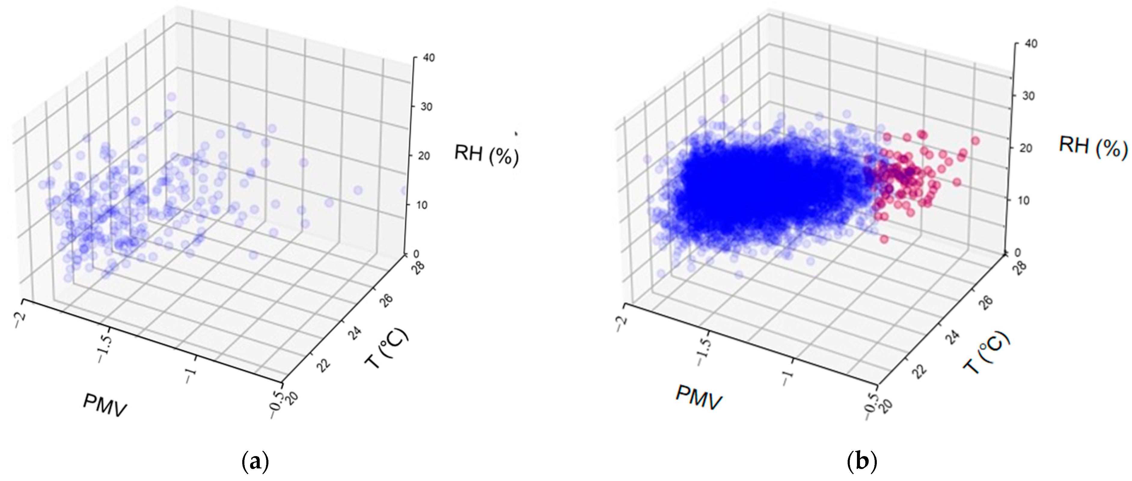
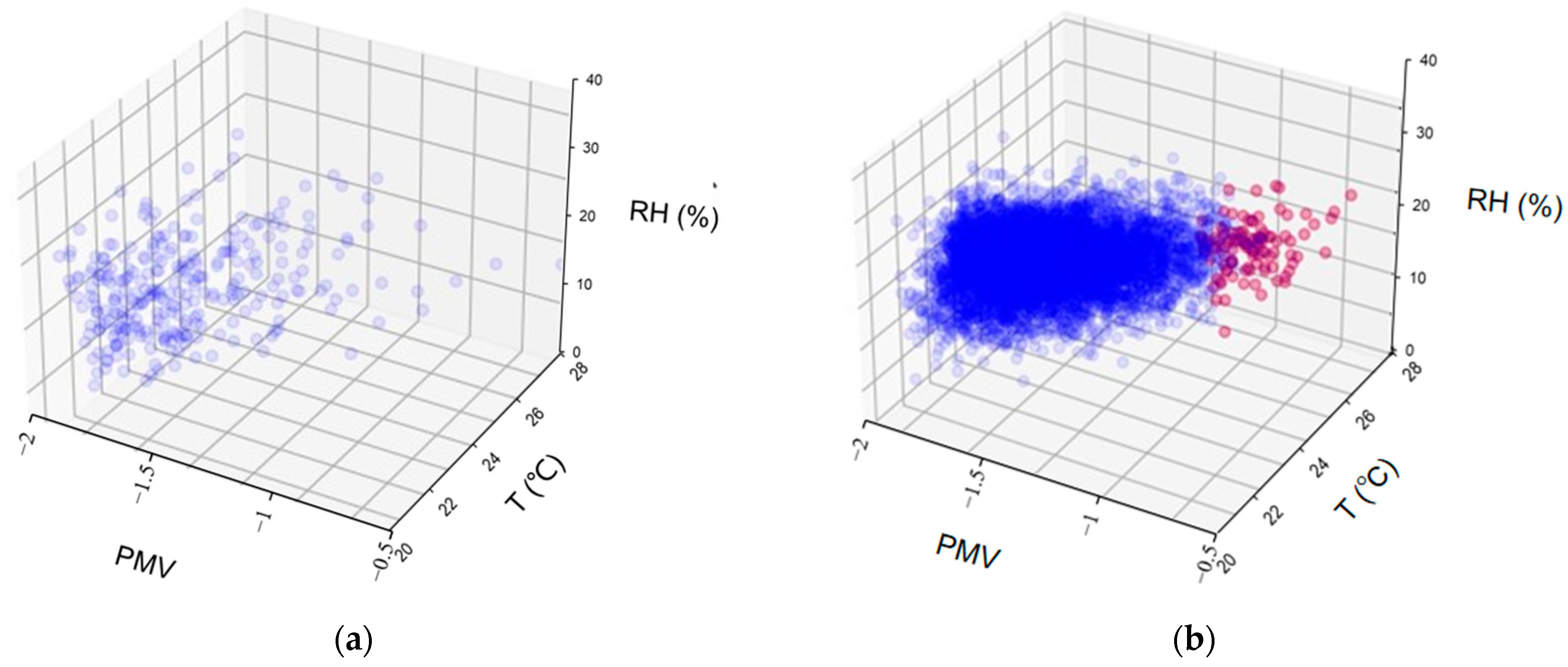
3.3. Monte Carlo Simulation Results of PMV
3.4. CO2 Concentration Distribution
3.5. Health Risk Estimates of In-Cabin VOCs
4. Discussion
4.1. Cabin Thermal Comfort
4.2. Cabin Air Quality
4.3. Future Research Suggestions
5. Conclusions
Author Contributions
Funding
Data Availability Statement
Conflicts of Interest
References
- ANSI/ASHRAE Standard 161-2013; Air Quality within Commercial Aircraft. ASHRAE Standards Press: Atlanta, GA, USA, 2013; pp. 2–7.
- ANSI/ASHRAE Standard 55-2013; Thermal Environmental Conditions for Human Occupancy. ASHRAE Standards Press: Atlanta, GA, USA, 2013; pp. 2–8.
- Mangili, A.; Gendreau, M.A. Transmission of infectious diseases during commercial air travel. Lancet 2005, 365, 989–996. [Google Scholar] [CrossRef] [PubMed]
- Grün, G.; Trimmel, M.; Holm, A. Low humidity in the aircraft cabin environment and its impact on well-being-Results from a laboratory study. Build. Environ. 2012, 47, 23–31. [Google Scholar] [CrossRef]
- Fanger, P.O. Thermal Comfort; Danish Technical Press: Copenhagen, Denmark, 1970. [Google Scholar]
- Muhm, J.M.; Rock, P.B.; McMullin, D.L.; Jones, S.P.; Lu, I.; Eilers, K.D.; Space, D.R.; McMullen, A. Effect of aircraft-cabin altitude on passenger discomfort. N. Engl. J. Med. 2007, 357, 18–27. [Google Scholar] [CrossRef] [PubMed]
- Brundrett, G. Comfort and health in commercial aircraft: A literature review. J. R. Soc. Promot. Health 2001, 121, 29–37. [Google Scholar] [CrossRef] [PubMed]
- Pang, L.; Zhang, J.; Wanyan, X.; Fan, J.; Li, S. Field study of neutrality cabin temperature for Chinese passenger in economy class of civil aircraft. J. Therm. Biol. 2018, 78, 312–319. [Google Scholar]
- Gupta, J.K.; Lin, C.H.; Chen, Q. Risk assessment of airborne infectious diseases in aircraft cabins. Indoor Air 2012, 22, 388–395. [Google Scholar] [CrossRef] [PubMed]
- Liu, W.; Mazumdar, S.; Zhang, Z.; Poussou, S.B.; Liu, J.; Lin, C.-H.; Chen, Q. State-of-the-art methods for studying air distributions in commercial airliner cabins. Build. Environ. 2012, 47, 5–12. [Google Scholar] [CrossRef] [PubMed]
- Li, L.; Sekhar, S.C.; Melikov, A.K. Thermal comfort and IAQ assessment of under-floor air distribution system integrated with personalized ventilation in hot and humid climate. Build. Environ. 2010, 45, 1906–1913. [Google Scholar] [CrossRef]
- Cui, W.; Ouyang, Q.; Zhu, Y. Field study of thermal environment spatial distribution and passenger local thermal comfort in aircraft cabin. Build. Environ. 2014, 80, 213–220. [Google Scholar] [CrossRef]
- Rankin, W.L.; Space, D.R.; Nagda, N.L. Passenger comfort and the effect of air quality. In Air Quality and Comfort in Airliner Cabins; ASTM STP 1393; Nagda, N.L., Ed.; American Society for Testing and Materials: West Conshohocken, PA, USA, 2000. [Google Scholar]
- Pang, L.; Qin, Y.; Liu, D.; Liu, M. Thermal comfort assessment in civil aircraft cabins. Chin. J. Aeronaut. 2014, 27, 210e6. [Google Scholar] [CrossRef]
- Strøm-Tejsen, P.; Wyon, D.P.; Lagercrantz, L.; Fang, L. Passenger evaluation of the optimum balance between fresh air supply and humidity from 7-h exposures in a simulated aircraft cabin. Indoor Air 2007, 17, 92–108. [Google Scholar] [CrossRef] [PubMed]
- Nagda, N.L.; Hodgson, M. Low relative humidity and aircraft cabin air quality. Indoor Air 2001, 11, 200–214. [Google Scholar] [CrossRef] [PubMed]
- Lindgren, T.; Norbäck, D. Cabin air quality: Indoor pollutants and climate during intercontinental flights with and without tobacco smoking. Indoor Air 2002, 12, 263–272. [Google Scholar] [CrossRef] [PubMed]
- Schibuola, L.; Tambani, C. Indoor environmental quality classification of school environments by monitoring PM and CO2 concentration levels. Atmos. Pollut. Res. 2020, 11, 332–342. [Google Scholar] [CrossRef]
- Lorenzi-Filho, G.; Azevedo, E.R.; Parker, J.D.; Bradley, T.D. Relationship of carbon dioxide tension in arterial blood topunary wedge pressure in heart failure. Eur. Respir. J. 2002, 9, 37–40. [Google Scholar] [CrossRef]
- FAA. Federal Aviation Regulations (FAR) Part 25 Airworthiness Standards: Transport Category Airplanes; FAA: Washington, DC, USA, 2019. [Google Scholar]
- JAA. Joint Airworthiness Requirements (Change 15) Part 25 Large Aeroplanes; Civil Aviation Authority: Cheltenham, UK, 2007. [Google Scholar]
- EPA-NAAQS. U.S. National Ambient Air Quality Standards; Environmental Protection Agency: Washington, DC, USA, 2011. [Google Scholar]
- Tudiwer, D.; Korjenic, A. The effect of an indoor living wall system on humidity, mould spores and CO2-concentration. Energy Build. 2017, 146, 73–86. [Google Scholar] [CrossRef]
- Rosenberger, W. Effect of charcoal equipped HEPA filters on cabin air quality in aircraft. A case study including smell event related in-flight measurements. Build. Environ. 2018, 143, 358–365. [Google Scholar] [CrossRef]
- ASHRAE Standards Committee. ASHRAE Handbook HVAC Applications; ASHRAE Standards Committee: Atlanta, GA, USA, 2019. [Google Scholar]
- Cao, X.; Zevitas, C.D.; Spengler, J.D.; Coull, B.; McNeely, E.; Jones, B.; Loo, S.M.; MacNaughton, P.; Allen, J.G. The on-board carbon dioxide concentrations and ventilation performance in passenger cabins of US domestic flights. Indoor Built Environ. 2019, 28, 761–771. [Google Scholar] [CrossRef]
- Tao, H.; Meng, L.; Liping, P.; Jun, W. Studies on new air purification and air quality control system of airliner cabin. Procedia Eng. 2011, 17, 343–353. [Google Scholar] [CrossRef]
- USEPA. Integrated Risk Information System (IRIS); USEPA: Washington, DC, USA, 2014; pp. 3–10. [Google Scholar]
- Guan, J.; Gao, K.; Wang, C.; Yang, X.; Lin, C.-H.; Lu, C.; Gao, P. Measurements of volatile organic compounds in aircraft cabins, part I: Methodology and detected VOC species in 107 commercial flights. Build. Environ. 2014, 72, 154–161. [Google Scholar] [CrossRef]
- Guan, J.; Wang, C.; Gao, K.; Yang, X.; Lin, C.-H.; Lu, C. Measurements of volatile organic compounds in aircraft cabins, part II: Target list, concentration levels and possible influencing factors. Build. Environ. 2014, 75, 170–175. [Google Scholar] [CrossRef]
- Yin, Y.; He, J.; Zhao, L.; Pei, J.; Yang, X.; Sun, Y.; Cui, X.; Lin, C.-H.; Wei, D.; Chen, Q. Identification of key volatile organic compounds in aircraft cabins and associated inhalation health risks. Environ. Int. 2022, 158, 106999. [Google Scholar] [CrossRef] [PubMed]
- Hoddinott, K.B.; Lee, A.P. The use of environmental risk assessment methodologies for an indoor air quality investigation. Chemosphere 2000, 41, 77–84. [Google Scholar] [CrossRef] [PubMed]
- Wang, Z.; Wu, T.; Duan, X.; Wang, S.; Zhang, W.; Wu, X.; Yu, Y. Research on respiratory rate exposure parameters of Chinese residents in environmental health risk assessment. Environ. Sci. Res. 2009, 22, 61–65. (In Chinese) [Google Scholar]
- Wang, Z.; Duan, X.; Liu, P.; Nie, J.; Huang, N.; Zhang, J. Exploration of Exposure parameters for Chinese residents in environmental health risk assessment. Environ. Sci. Res. 2009, 22, 1164–1170. (In Chinese) [Google Scholar]
- Cui, W.; Ouyang, Q.; Zhu, Y.; Hu, S. Thermal environment and passengers’ comfort in aircraft cabin. In Proceedings of the 8th International Symposium on Heating, Ventilation and Air Conditioning: Volume 1: Indoor and Outdoor Environment; Springer: Berlin/Heidelberg, Germany, 2014; pp. 321–328. [Google Scholar]
- Lee, S.C.; Poon, C.S.; Li, X.D.; Luk, F. Indoor air quality investigation on commercial aircraft. Indoor Air 1999, 9, 180–187. [Google Scholar] [CrossRef] [PubMed]
- Haghighat, F.; Allard, F.; Megri, A.C.; Blondeau, P.; Shimotakahara, R. Measurement of thermal comfort and indoor air quality aboard 43 flights on commercial airlines. Indoor Built Environ. 1999, 8, 58–66. [Google Scholar] [CrossRef]
- Gladyszewska-Fiedoruk, K. Indoor air quality in the cabin of an airliner. J. Air Transp. Manag. 2012, 20, 28–30. [Google Scholar] [CrossRef]
- Yu, N.; Zhang, Y.; Zhang, M.; Li, H. Thermal Condition and Air Quality Investigation in Commercial Airliner Cabins. Sustainability 2021, 13, 7047. [Google Scholar] [CrossRef]
- Wieslander, G.; Lindgren, T.; Norbäck, D.; Venge, P. Changes in the ocular and nasal signs and symptoms of aircrews in relation to the ban on smoking on intercontinental flights. Scand. J. Work. Environ. Health 2000, 26, 514–522. [Google Scholar] [CrossRef]
- MacGregor, I.C.; Spicer, C.W.; Buehler, S.S. Concentrations of selected chemical species in the airliner cabin environment. J. ASTM Int. 2008, 5, JAI101639. [Google Scholar] [CrossRef]
- Cui, W.; Ouyang, Q.; Zhu, Y.; Hu, S. Spatial distribution of thermal environment parameters and its impact on passengers’ comfort in 14 Boeing 737 aircraft cabins. In Proceedings of the 8th International Symposium on Heating, Ventilation and Air Conditioning: Volume 1: Indoor and Outdoor Environment; Springer: Berlin/Heidelberg, Germany, 2014; pp. 113–120. [Google Scholar]
- Nagda, N.L.; Koontz, M.D.; Konheim, A.G.; Hammond, S.K. Measurement of cabin air quality aboard commercial airliner. Atmos. Environ. 1992, 26, 2203–2210. [Google Scholar] [CrossRef]
- Spengler, J.D.; Vallarino, J.; McNeely, E.; Estephan, H.; Sumner, A.L. In-Flight/Onboard Monitoring: ACER’s Component for ASHRAE 1262, Part 2. Airliner Cabin Environment Research (ACER) Program National Air Transportation Center of Excellence for Research in the Intermodal Transport Environment (RITE); Report No. RITE-ACER-CoE-2012-6; ASHRAE: Atlanta, GA, USA, 2012. [Google Scholar]
- Dumyahn, T.S.; Spengler, J.D.; Burge, H.A.; Muilenburg, M. Comparison of the environments of transportation vehicles: Results of two surveys. In Air Quality and Comfort in Airliner Cabins: ASTM STP 1393; Nagda, N.L., Ed.; American Society for Testing and Materials: West Conshohocken, PA, USA, 2000; pp. 3–23. [Google Scholar]
- Waters, M.A.; Bloom, T.F.; Grajewski, B.; Deddens, J. Measurements of indoor air quality on commercial transport aircraft. Proc. Indoor Air 2002, 2002, 782–787. [Google Scholar]
- Lindgren, T.; Norbäck, D.; Andersson, K.; Dammström, B.G. Cabin environment and perception of cabin air quality among commercial aircrew. Aviat. Space Environ. Med. 2000, 71, 774–782. [Google Scholar] [PubMed]
- Ross, D.; Crump, D.; Hunter, C.; Perera, E.; Sheridan, A. Client Report: Extending Cabin Air Measurements to Include Older Aircraft Types Utilised in High Volume Short Haul Operation. 2003. Available online: https://trid.trb.org/View/696720 (accessed on 6 April 2024).
- Malmfors, T.; Thorburn, D.; Westlin, A. Air quality in passenger cabins of DC-9 and MD-80 aircraft. Environ. Technol. 1989, 10, 613–628. [Google Scholar] [CrossRef]
- O’Donnell, A.; Donnini, G.; Nguyen, H.V. Air quality, ventilation, temperature, and humidity in aircraft. ASHRAE J. 1991, 33, 42–46. [Google Scholar]
- Pierce, M.W.; Janczewski, J.N.; Roethlisberger, B.; Janczewski, M. Air quality on commercial aircraft. ASHRAE J. 1999, 41, 26. [Google Scholar]
- Giaconia, C.; Orioli, A.; Gangi, A.D. Air quality and relative humidity in commercial aircrafts: An experimental investigation on short-haul domestic flights. Build. Environ. 2013, 67, 69–81. [Google Scholar] [CrossRef]
- Liu, M.; Liu, J.; Ren, J.; Liu, L.; Chen, R.; Li, Y. Bacterial community in commercial airliner cabins in China. Int. J. Environ. Health Res. 2020, 30, 284–295. [Google Scholar] [CrossRef]
- National Research Council (US) Committee on Air Quality in Passenger Cabins of Commercial Aircraft. The Airliner Cabin Environment and the Health of Passengers and Crew; National Academies Press (US): Washington, DC, USA, 2002. [Google Scholar]
- Guan, J.; Jia, Y.; Wei, Z.; Tian, X. Temporal variations of ultrafine particle concentrations in aircraft cabin: A field study. Build. Environ. 2019, 153, 118–127. [Google Scholar] [CrossRef]
- Schuchardt, S.; Bitsch, A.; Koch, W.; Rosenberger, W. CAQ—Preliminary Cabin Air Quality Measurement Campaign; EASA_REP_RESEA_2014_4; 2017. Available online: https://www.easa.europa.eu/en/document-library/research-reports/easarepresea20144 (accessed on 6 April 2024).
- He, J.; Yin, Y.; Yang, X.; Pei, J.; Sun, Y.; Cui, X.; Chen, Q. Carbon dioxide in passenger cabins: Spatial temporal characteristics and 30-year trends. Indoor Air 2021, 31, 2200–2212. [Google Scholar] [CrossRef] [PubMed]
- Guan, J.; Li, Z.; Yang, X. Net in-cabin emission rates of VOCs and contributions from outside and inside the aircraft cabin. Atmos. Environ. 2015, 111, 1–9. [Google Scholar] [CrossRef]
- Li, Z.; Guan, J.; Yang, X.; Lin, C.-H. Source apportionment of airborne particles in commercial aircraft cabin environment: Contributions from outside and inside of cabin. Atmos. Environ. 2014, 89, 119–128. [Google Scholar] [CrossRef]
- Spengler, J.D.; Ludwig, S.; Weker, R.A. Ozone exposures during trans-continental and trans-Pacific flights. Indoor Air 2004, 14 (Suppl. 7), 67–73. [Google Scholar] [CrossRef] [PubMed]
- Bhangar, S.; Cowlin, S.C.; Singer, B.C.; Sextro, R.G.; Nazaroff, W.W. Ozone levels in passenger cabins of commercial aircraft on North American and transoceanic routes. Environ. Sci. Technol. 2008, 42, 3938–3943. [Google Scholar] [CrossRef] [PubMed]
- Weisel, C.; Weschler, C.J.; Mohan, K.; Vallarino, J.; Spengler, J.D. Ozone and ozone byproducts in the cabins of commercial aircraft. Environ. Sci. Technol. 2013, 47, 4711–4717. [Google Scholar] [CrossRef] [PubMed]
- Bekö, G.; Allen, J.G.; Weschler, C.J.; Vallarino, J.; Spengler, J.D. Impact of cabin ozone concentrations on passenger reported symptoms in commercial aircraft. PLoS ONE 2015, 10, e0128454. [Google Scholar] [CrossRef]
- Lindgren, T.; Norbäck, D.; Wieslander, G. Perception of cabin air quality in airline crew related to air humidification, on intercontinental flights. Indoor Air 2007, 17, 204–210. [Google Scholar] [CrossRef] [PubMed]
- Cao, Q.; Xu, Q.; Liu, W.; Lin, C.H.; Wei, D.; Baughcum, S.; Norris, S.; Chen, Q. In-flight monitoring of particle deposition in the environmental control systems of commercial air- liners in China. Atmos. Environ. 2017, 154, 118–128. [Google Scholar] [CrossRef]
- Michaelis, S.; Loraine, T.; Howard, C.V. Ultrafine particle levels measured on board short-haul commercial passenger jet aircraft. Environ. Health 2021, 20, 89. [Google Scholar] [CrossRef]
- Lordo, R.A.; Buehler, S.S.; James, R.R. Relating air quality and other factors to comfort and health related symptoms reported by passengers and crew on commercial transport aircraft (ASHRAE RP-1262). Sci. Technol. Built Environ. 2023, 29, 268–279. [Google Scholar] [CrossRef]
- Rivera-Rios, J.C.; Joo, T.; Takeuchi, M.; Orlando, T.M.; Bevington, T.; Mathis, J.W.; Pert, C.D.; Tyson, B.A.; Anderson-Lennert, T.M.; Smith, J.A.; et al. In-flight particulate matter concentrations in commercial flights are likely lower than other indoor environments. Indoor Air 2021, 31, 1484–1494. [Google Scholar] [CrossRef] [PubMed]
- Dechow, M.; Sohn, H.; Steinhanses, J. Concentrations of selected contaminants in cabin air of airbus aircrafts. Chemosphere 1997, 35, 21–31. [Google Scholar] [CrossRef] [PubMed]
- Fox, R.B. Air quality and comfort measurement aboard a commuter aircraft and solutions to improve perceived occupant comfort levels. In Air Quality and Comfort in Airliner Cabins: ASTM STP 1393; Nagda, N.L., Ed.; American Society for Testing and Materials: West Conshohocken, PA, USA, 2000; pp. 161–186. [Google Scholar]
- Nagda, N.L.; Rector, H.E.; Li, Z.; Hunt, E.H. Determine Aircraft Supply Air Contaminants in the Engine Bleed Air Supply System on Commercial Aircraft; ENERGEN Report No. AS20151, ASHRAE Research Project 959-RP; American Society of Heating, Refrigerating, and Air-Conditioning Engineers: Atlanta, GA, USA, 2001. [Google Scholar]
- Spicer, C.W.; Murphy, M.J.; Holdren, M.W.; Myers, J.D.; MacGregor, I.C.; Holloman, C.; James, R.R.; Tucker, K.; Zaborski, R. Relate Air Quality and Other Factors to Comfort and Health Symptoms Reported by Passengers and Crew on Commercial Transport Aircraft (Part I); ASHRAE Project 1262-TRP; ASHRAE: Atlanta, GA, USA, 2004. [Google Scholar]
- Muir, H.; Walton, C.; Mckeown, R. Cabin Air Sampling Study Functionality Test; Cranfield University School of Engineering: Bedford, UK, 2008. [Google Scholar]
- Solbu, K.; Daae, H.L.; Olsen, R.; Thorud, S.; Ellingsen, D.G.; Lindgren, T.; Bakke, B.; Lundanes, E.; Molander, P. Organophosphates in aircraft cabin and cockpit air-method development and measurements of contaminants. J. Environ. Monit. 2011, 13, 1393–1403. [Google Scholar] [CrossRef] [PubMed]
- Crump, D.; Harrison, P.; Walton, C. Aircraft Cabin Air Sampling Study; Part 1 of the Final Report; Institute of Environment and Health Report: Cranfield, UK, 2011. [Google Scholar]
- Crump, D.; Harrison, P.; Walton, C. Aircraft Cabin Air Sampling Study; Part 2 of the Final Report; Institute of Environment and Health Report: Cranfield, UK, 2011. [Google Scholar]
- Wang, C.; Yang, X.; Guan, J.; Gao, K.; Li, Z. Volatile organic compounds in aircraft cabin: Measurements and correlations between compounds. Build. Environ. 2014, 78, 89–94. [Google Scholar] [CrossRef]
- Rosenberger, W.; Beckmann, B.; Wrbitzky, R. Airborne aldehydes in cabin-air of commercial aircraft: Measurement by HPLC with UV absorbance detection of 2,4-dinitrophenylhydrazones. J. Chromatogr. B 2016, 1019, 117–127. [Google Scholar] [CrossRef]
- Schuchardt, S.; Koch, W.; Rosenberger, W. Cabin air quality—Quantitative comparison of volatile air contaminants at different flight phases during 177 commercial flights. Build. Environ. 2019, 148, 498–507. [Google Scholar] [CrossRef]
- EASA. CS-25 Certification Specifications and Acceptable Means of Compliance for Large Aeroplanes, Amendment 23; EASA: Cologne, Germany, 2019. [Google Scholar]
- prEN 4618; 2013 Aerospace Series-Aircraft Internal Air Quality Standards: Criteria and Determination Methods. ASD-STAN: Brussels, Belgium, 2013.
- CCAC. Chinese Civil Aviation Regulations Part 25 Airworthiness Standards for Transport Aircraft, Order of CAAC no. 19 of 2016; CCAC: Pittsburgh, PA, USA, 2016. [Google Scholar]
- IAC. Aviation Regulations (AP) Part 25 Airworthiness Standards for Transport Category Airplanes; IAC: New York, NY, USA, 2005. (In Russia) [Google Scholar]
- GBT18883-2022; Indoor Air Quality Standard. China State Administration for Market Regulation: Beijing, China, 2022.
- Li, P.; Zhang, T.; Zhang, Y. Measuring the flushing-generated flow and aerosols in lavatory of commercial aircraft. Build. Environ. 2022, 214, 108948. [Google Scholar] [CrossRef]
- Reichherzer, A.; Wargocki, P.; Mayer, F.; Norrefeldt, V.; Herbig, B. Increased self-reported sensitivity to environmental stimuli and its effects on perception of air quality and well-being. Int. J. Hyg. Environ. Health 2022, 246, 114045. [Google Scholar] [CrossRef]
- Choi, J.H.; Aziz, A.; Loftness, V. Investigation on the impacts of different genders and ages on satisfaction with thermal environments in office buildings. Build. Environ. 2010, 45, 1529–1535. [Google Scholar] [CrossRef]
- Wang, J.; Xiang, Z.-R.; Zhi, J.-Y.; Chen, J.-P.; He, S.-J.; Du, Y. Assessment method for civil aircraft cabin comfort: Contributing factors, dissatisfaction indicators, and degrees of influence. Int. J. Ind. Ergon. 2021, 81, 103045. [Google Scholar] [CrossRef]
- Liu, J.; Yu, S.; Chu, J. Comfort Evaluation of an Aircraft Cabin System Employing a Hybrid Model. Sustainability 2020, 12, 8503. [Google Scholar] [CrossRef]
- Wang, F.; You, R.; Zhang, T.; Chen, Q. Recent progress on studies of airborne infectious disease transmission, air quality, and thermal comfort in the airliner cabin air environment. Indoor Air 2022, 32, e13032. [Google Scholar] [CrossRef] [PubMed]
- Chen, R.; Fang, L.; Liu, J.; Herbig, B.; Norrefeldt, V.; Mayer, F.; Fox, R.; Wargocki, P. Cabin air quality on non-smoking commercial flights: A review of published data on airborne pollutants. Indoor Air 2021, 31, 926–957. [Google Scholar] [CrossRef]
- Yin, Y.; He, J.; Pei, J.; Yang, X.; Sun, Y.; Cui, X.; Lin, C.; Wei, D.; Chen, Q. Influencing factors of carbonyl compounds and other VOCs in commercial airliner cabins: On-board investigation of 56 flights. Indoor Air 2021, 31, 2084–2098. [Google Scholar] [CrossRef]










| Parameter | Passengers | Crew members | ||
|---|---|---|---|---|
| Male | Female | Male | Female | |
| BR, m3/h | 0.793 | 0.59 | 0.793 | 0.59 |
| EF, h/a | 100 | 100 | 1300 | 1300 |
| ED, a | 70 | 70 | 70 | 70 |
| BW, kg | 62.7 | 54.4 | 62.7 | 54.4 |
| AL, a | 70 | 70 | 70 | 70 |
| Typical VOCs | IARC | IUR (m3/μg) | RfC (μg/m3) |
|---|---|---|---|
| Formaldehyde | 1 | 1.30 × 10−5 | 9 |
| Benzene | 1 | 2.20 × 10−6 | 30 |
| Tetrachloroethylene | 2A | 6.10 × 10−6 | 40 |
| Naphthalene | 2B | 3.40 × 10−5 | 3 |
| Environmental Factor | Number of Articles | References | Flights | Mean (SD) | Max | Min | |
|---|---|---|---|---|---|---|---|
| Number | Type | ||||||
| T | 19 | [12,17,35,36,37,38,39,40,41,42,43,44,45,46,47,48,49,50,51] | 252 | 13 | 23.7 °C (1.15 °C) | 25.2 °C | 20.6 °C |
| RH | 20 | [12,17,35,36,38,39,40,41,42,43,44,45,46,47,48,49,50,51,52,53] | 273 | 15 | 18.4% (7.2%) | 43.6% | 11.6% |
| CO2 | 24 | [17,24,26,36,37,38,39,40,43,44,45,46,47,48,49,50,51,52,54,55,56,57,58,59] | 416 | 17 | 1254.7 (308.6) ppm | 5173.9 ppm | 713.7 ppm |
| CO | 8 | [24,39,45,48,49,50,51,56] | 224 | >10 | 1.1 (0.47) ppm | 1.6 ppm | 0.01 ppm |
| O3 | 10 | [24,41,45,50,51,56,60,61,62,63] | 534 | >10 | 50.2 (6.55) ppb | 205 ppb | <3 ppb |
| PM | 12 | [17,39,46,50,55,59,60,64,65,66,67,68] | 398 | >10 | 0.04–4.83 μg/m3 | ||
| TVOC | 24 | [17,24,29,30,31,36,40,45,46,48,51,56,62,69,70,71,72,73,74,75,76,77,78,79] | 1045 | >15 | 0.12–1.8 mg/m3 | ||
| Environmental Factor | FAR-25 [20] | ASHRAE 161-2013 [1] | JAR-25 [21] | CS-25 [80] | BS-EN4618 [81] | CCAR-25 [82] | AP-25 [83] | GB/T18883-2022 [84] |
|---|---|---|---|---|---|---|---|---|
| T | 18.3–23.9 °C ≤26.7 °C | 22–28 °C summer 16–24 °C winter | ||||||
| RH | 40–80% Summer 30–60% winter | |||||||
| CO2 | 5000 ppm | 30,000 ppm | 5000 ppm | 20,000 ppm 15 min 5000 ppm peak 2000 ppm | 5000 ppm | 5000 ppm | ≤1000 ppm 24 h in average | |
| O3 | 100 ppb TWA 3 h 250 ppb any time | 100 ppb TWA 3 h 250 ppb any time | 100 ppb TWA 3 h 250 ppb any time | 100 ppb TWA 3 h 250 ppb any time | 100 ppb TWA 3 h 250 ppb any time 60 ppb TWA 8 h | 100 ppb TWA 3 h 250 ppb any time | 100 ppb TWA 3 h 250 ppb any time | ≤0.16 mg/m3 1 h in average |
| PM2.5 | 100 μg/m3 TWA 1 h (healthy) 40 μg/m3 (constant healthy) | ≤0.05 mg/m3 24 h in average | ||||||
| PM10 | 150 μg/m3 TWA 24 h | ≤0.1 mg/m3 24 h in average | ||||||
| CO | 50 ppm | 9 ppm TWA 10 min 50 ppm 1-min peak | 50 ppm | 50 ppm | 50 ppm peak 25 ppm TWA 1 h 10 ppm TWA 8 h | 50 ppm | 50 ppm | ≤10 mg/m3 1 h in average |
| TVOC | ≤0.6 mg/m3 8 h in average | |||||||
| Formaldehyde | 2.47 mg/m3 15 min (safety) 0.9 mg/m3 TWA 8 h (safety) | 0.5 mg/m3 | ≤0.08 mg/m3 1 h in average | |||||
| Benzene | 3.2 mg/m3 TWA 8 h (safety) 12.8 mg/m3 15 min (healthy) | 5 mg/m3 | ≤0.03 mg/m3 1 h in average | |||||
| Toluene | 760 mg/m3 15 min (safety) 190 mg/m3 TWA 8 h (healthy) | ≤0.2 mg/m3 1 h in average |
| Aircraft Type | Number of Flights | Ave (°C) | Min (°C) | Max (°C) |
|---|---|---|---|---|
| A319/320 | 25 | 22.4 | 21.1 | 23.9 |
| A321 | 5 | 25.5 | - | - |
| A330 | 4 | 23.6 | 20.0 | 24.7 |
| A340 | 7 | 22.2 | 19.9 | 25.7 |
| A380 | 5 | 23.0 | - | - |
| B737 | 83 | 25.0 | 24.9 | 26.4 |
| B747 | 24 | 23.7 | 20.8 | 25.8 |
| B757 | 1 | 24.6 | - | - |
| B767 | 58 | 22.7 | 18.4 | 26.3 |
| B777 | 15 | 23.0 | - | - |
| BAe146 | 8 | 23.5 | 19.0 | 25.6 |
| DC 9 | 15 | 22.0 | 21.0 | 23.6 |
| MD 80 | 2 | 24.7 | - | - |
| Aircraft Type | Number of Flights | Ave (%) | Min (%) | Max (%) |
|---|---|---|---|---|
| A319 | 16 | 21.8 | 13.9 | 44.6 |
| A320 | 24 | 31.4 | 7.0 | 66.7 |
| A321 | 6 | 22.2 | 18.3 | - |
| A330 | 5 | 30.3 | 21.2 | 42.5 |
| A340 | 7 | 19.3 | 6.9 | 53.1 |
| A380 | 5 | 10.5 | - | - |
| B737 | 84 | 16.4 | 15.6 | 30.6 |
| B747 | 24 | 16.8 | 10.7 | 45.2 |
| B757 | 1 | 10.6 | - | - |
| B767 | 58 | 7.1 | 1.5 | 26.0 |
| B777 | 16 | 12.1 | - | - |
| B787 | 2 | 29.4 | - | - |
| BAe146 | 8 | 21.0 | 8.3 | 40.2 |
| DC 9 | 15 | - | 12.3 | - |
| MD 80 | 2 | 10.1 | - | - |
| M (met) | ICL (clo) | PMV | T (°C) | RH (%) | v (m/s) |
|---|---|---|---|---|---|
| 0.8 | 0.5 | × | n/a | n/a | n/a |
| 0.8 | 1 | √ | 25–28 | 0–40 | 0–1 |
| 1 | 0.5 | √ | 25–27.3 | 0–34 | 0–0.5 |
| 1 | 1 | √ | 22–28 | 0–40 | 0–1 |
| 1.2 | 0.5 | √ | 23–28 | 0–44 | 0–1 |
| 1.2 | 1 | √ | 20.3–26.7 | 0–46 | 0–1 |
| Aircraft Type | Number of Flights | Ave (ppm) | Min (ppm) | Max (ppm) |
|---|---|---|---|---|
| A319 | 16 | 1197 | 967 | 1744 |
| A320 | 27 | 1286 | 1035 | 2286 |
| A321 | 17 | 1883 | 969 | 5177 |
| A330 | 1 | 967 | 760 | 1491 |
| A340 | 5 | 759 | 540 | 1636 |
| A380 | 5 | 1253 | - | - |
| B737 | 77 | 1325 | 791 | 2273 |
| B747 | 23 | 1142 | 635 | 2340 |
| B757 | 67 | 1421 | 703 | 2992 |
| B767 | 63 | 1030 | 1573 | 3245 |
| B777 | 15 | 1499 | - | - |
| B787 | 8 | 1242 | 968 | 2019 |
| BAe146 | 8 | 1073 | 457 | 2019 |
| CR 7&9 | 6 | 1508 | 731 | 2548 |
| CRJ | 6 | 1036 | 790 | 1487 |
| DC 9 | 16 | 915 | 688 | 1480 |
| MD80&88&90 | 56 | 1308 | 522 | 2946 |
Disclaimer/Publisher’s Note: The statements, opinions and data contained in all publications are solely those of the individual author(s) and contributor(s) and not of MDPI and/or the editor(s). MDPI and/or the editor(s) disclaim responsibility for any injury to people or property resulting from any ideas, methods, instructions or products referred to in the content. |
© 2024 by the authors. Licensee MDPI, Basel, Switzerland. This article is an open access article distributed under the terms and conditions of the Creative Commons Attribution (CC BY) license (https://creativecommons.org/licenses/by/4.0/).
Share and Cite
Wang, S.; Cao, X.; Miao, D.; Pang, L.; Li, J. A Review of In-Flight Thermal Comfort and Air Quality Status in Civil Aircraft Cabin Environments. Buildings 2024, 14, 2001. https://doi.org/10.3390/buildings14072001
Wang S, Cao X, Miao D, Pang L, Li J. A Review of In-Flight Thermal Comfort and Air Quality Status in Civil Aircraft Cabin Environments. Buildings. 2024; 14(7):2001. https://doi.org/10.3390/buildings14072001
Chicago/Turabian StyleWang, Shanran, Xiaodong Cao, Dan Miao, Liping Pang, and Jiayu Li. 2024. "A Review of In-Flight Thermal Comfort and Air Quality Status in Civil Aircraft Cabin Environments" Buildings 14, no. 7: 2001. https://doi.org/10.3390/buildings14072001
APA StyleWang, S., Cao, X., Miao, D., Pang, L., & Li, J. (2024). A Review of In-Flight Thermal Comfort and Air Quality Status in Civil Aircraft Cabin Environments. Buildings, 14(7), 2001. https://doi.org/10.3390/buildings14072001

