Next Article in Journal
Energy Efficiency Assessment of Existing Rural Houses in Nantong Based on Human Thermal Comfort
Previous Article in Journal
Computational and Experimental Substantiation of Strengthening Reinforced Concrete Structures with Composite Materials of Power Plants under Seismic Action
 
 
Font Type:
Arial Georgia Verdana
Font Size:
Aa Aa Aa
Line Spacing:
Column Width:
Background:
Essay

Study on the Shear Behaviors and Capacity of Double-Sided Concrete-Encased Composite Steel Plate Shear Walls by Experiment and Finite Element Analysis

1
School of Civil Engineering, Suzhou University of Science and Technology, Suzhou 215011, China
2
School of Intelligent Manufacturing and Smart Transportation, Suzhou City University, Suzhou 215104, China
*
Author to whom correspondence should be addressed.
Buildings 2024, 14(7), 1972; https://doi.org/10.3390/buildings14071972
Submission received: 9 April 2024 / Revised: 13 June 2024 / Accepted: 21 June 2024 / Published: 29 June 2024
(This article belongs to the Section Building Structures)

Abstract

Concrete-encased composite plate shear walls (C-PSW/CEs) can realize the in-plane shear yielding of infill steel plate with the buckling restrained from the concrete panel. Concrete panels also additionally resist portions of lateral loading in C-PSW/CEs, whereby the shear stiffness and strength of the C-PSW/CE are improved. However, research on the in-plane behaviors of concrete panels and the interactions between structural elements is limited. In this paper, the mechanical characteristics and the interactions and the shear resistances of C-PSW/CEs with double-sided concrete encasements were studied. First, the effects of concrete thickness on the damage process, steel plate buckling, and shear resistances of C-PSW/CEs under lateral loading were tested. Then, finite element analyses of the internal forces of the horizontal and inclined cross-sections and the shear force–drift ratio responses of C-PSW/CEs were undertaken with the extended finite element method (XFEM) to simulate the cracking behaviors of concrete panels. A shear force–drift ratio model based on mechanics was developed by considering the lateral load resistances of concrete panels and their effects on steel plates in C-PSW/CEs.

1. Introduction

Composite plate shear walls comprising steel plates, reinforced concrete (RC) encasement, and shear connectors are denoted as C-PSW/CEs [1]. In C-PSW/CEs, the infill steel plates can yield under shear force because of the buckling restraints from the concrete panels. In response to such expected responses, AISC 341-16 requires the lowest thickness of concrete panels [1]. Concrete panels additionally resist portions of lateral loading in C-PSW/CEs, whereby the shear stiffness and strength of the C-PSW/CE are improved. However, such contributions are neglected in the design code [1]. Previous studies on the behaviors of concrete encasements focused mainly on the constraints of steel plate buckling and damage development, while research on the shear mechanisms of concrete panels and the interactions of in-plane shear behaviors between concrete encasements and steel plates is limited.
Zhao and Astaneh-Asl conducted tests on the hysteretic performances of C-PSW/CEs [2]; the test results indicated that such systems exhibited stable inelastic behaviors because the concrete panels can prevent the overall buckling of infill steel plates. Arabzadeh et al. studied the effects of steel plate thickness, connector numbers, and gap width between the boundary frames and concrete panels on the hysteretic performances of C-PSW/CEs by conducting experiments [3]. Shafaei et al. analyzed the shear forces resulting from steel plates, concrete encasements, and steel frames using the finite element method [4]. Guo et al. experimentally assessed the mechanical properties of C-PSW/CEs with composite frames under cyclic loading [5]. To release the shear transfer and inhibit relative displacements between the steel plates and concrete encasements, Feng et al. proposed a novel connector of uplift-restrained studs in C-PSW/CEs and tested hysteresis performance [6]. The distribution and development of connector tensile forces were experimentally studied by Hou, Guo, and Yan [7]. Farahbakhshtooli and Bhowmick proposed an analytical model for estimating the lateral load resistances of C-PSW/CEs, taking into account the shear contribution from the concrete panels [8]. The shear capacity of the concrete panels was in accordance with that of the reinforced concrete shear walls, while the interactions of the steel plates, boundary frame, and concrete panels were neglected. Some C-PSW/CEs use corrugated infill steel plates [9] and infill steel plates with slots [10,11] or openings [12,13]. Various types of concrete encasements have been investigated [14,15,16]. For connections between shear walls and frames, partially connecting [17,18,19,20], bolted modular prefabricated shear walls [21,22], and other innovative connections (energy dissipation segments) [23] have been proposed. Different seismic performances of C-PSW/CEs have been studied, and some construction measures have been explored. Researchers have investigated the design methods of concrete panels, headed studs, and cross-sections of boundary beams in C-PSW/CEs [24,25,26,27]. Authors have also studied the interactions between the steel plates and concrete panels when the steel plates buckle. The concrete panels restrain the buckling using their bending stiffnesses, and the corresponding interactions involve the bending and tension of studs, as well as the compression of concrete panels. Researchers studied the shear mechanisms and resistances of C-PSW/CEs with single-sided concrete encasements by conducting experiments and finite element analyses [28]. After the tests on C-PSW/CEs with double-sided concrete encasements conducted in this work, the different behaviors of the former were identified, especially for the buckling models of steel plates, the effect of concrete panels on steel-plate yielding, and post-buckling responses.
The shear behaviors and the interactions between concrete panels and steel plates of C-PSW/CEs with double-sided concrete encasements are studied experimentally and numerically in this paper. C-PSW/CEs were embedded in hinged steel frames, and their steel plates were attached by concrete panels on both sides. The concrete encasements contacted the boundary flanges of the steel frame initially. The yielding and buckling of infill steel plates, concrete cracking and crushing developments, and the failures of C-PSW/CEs were studied experimentally. The extended finite element method (XFEM) was used to simulate the cracking behaviors of concrete in the finite element model (FEM). The shear forces and resultant forces of inclined cross-sections in the concrete panels and infill steel plates were analyzed to reveal the shear mechanisms of C-PSW/CEs. A relationship respecting the shear force–drift ratio response combined with the formulas of shear stiffness and yielding force for seismic C-PSW/CE design is proposed.

2. Experimental Program

2.1. Specimen Design and Material Properties

The test objectives were to analyze the failure modes of C-PSW/CEs under the influences of lateral loading and double-sided concrete thickness and their effects on the shear resistance, concrete damage, and shear behaviors of infill steel plates. Accounting for the dimensional limitation and loading capacity of experimental devices, three 1/3-scale C-PSW/CE specimens were designed. The test specimens consisted of steel plates, double-sided cast-in-place RC encasements, headed studs, and pin-connected boundary steel frames, as presented in Figure 1. The height-to-width ratio of the infill plate was 1.0, and its height and width were both 1180 mm. Code JGJ/T 380-2015 (technical specification for steel plate shear walls) stipulates a slender ratio (the ratio of height to thickness) of steel plates in buckling-restrained steel plate shear walls ranging from 100 to 600 [29]. This provision aims to avoid choosing stocky steel plates because their demand on the concrete thickness for buckling restraint is weak. Combined with the loading capacity of the horizontal actuator and the conditions of stud welding, the steel plate thickness was selected as 3 mm, corresponding to a slender ratio of 393.3. The cross-sections of boundary beams and columns were H-shaped. They could remain elastic under the shear forces resulting from the infill steel plate and the compressions resulting from concrete panels. Headed studs with a 12 mm diameter were welded on the infill steel plate with a center distance of 240 mm, meeting the requirements proposed in [24,26,30].
Three specimens were denoted as CSPW-20, CSPW-30, and CSPW-40. The number represented the thickness of a concrete panel on a single side in mm. As specified by AISC 341, the concrete panel thickness shall ensure the shear yielding of the infill steel plate under lateral loading [1]. To meet such a requirement, a formula of the thickness demand on the concrete panel was proposed by the authors, which can retrain the buckling of the steel plate before its shear yielding [25]. For the 3 mm thick steel plate, the minimum single-side concrete thickness is calculated as 18.6 mm. Therefore, specimens CSPW-20, -30 and -40 met this demand. The corresponding reinforcement ratios were 0.58%, 0.35%, and 0.46%, which met the requirement specified by AISC 341 [1].
The tests in this study were conducted in the same time period as the tests of C-PSW/CEs with single-sided concrete encasements [28]. Hence, the material properties of steel and concrete are the same. To avoid repetition, the correlative important information was presented. The average concrete compressive strengths on two sides were 41.3 MPa and 40.7 MPa, respectively. The Young’s modulus, yield strength, and ultimate strength of the steel plate were 198 GPa, 294 MPa, and 411 MPa, respectively, which are taken as the averages of the tensile coupon tests.

2.2. Test Setup and Instrumentations

As mentioned above, the test setup and instrumentation arrangements of these tests and those in [28] are similar. The test setup and loading device are shown in Figure 2 and Figure 3, respectively. The bottom beam of the specimen was bolted to the foundation beam and the top beam was fixed to the loading beam with high-strength bolts. Two out-of-plane supports were arranged on the side faces of the loading beam. The foundation beam was anchored to the base. The column on the east side is named Column A, and the column on the west side is named Column B. A monotonic horizontal loading was applied from the MTS horizontal actuator to the loading beam. The direction of loading is from east to west, namely, to the reaction wall. The displacement-controlled loading level was 1.41 mm, resulting in a 0.1% drift angle increase in the C-PSW/CE specimen. The test would be terminated when the strength of the specimen deteriorated more than 15%.
Linear variable differential transformers (LVDTs) or displacement transducers and strain gauges were used to monitor the specimen behaviors. As shown in Figure 3, the in-plane LVDTs DI-1 to DI-10 were attached to measure the horizontal displacements along the centerlines of the top and bottom beams, the shear deformations of the shear wall, and the slips of the foundation beam. The out-of-plane LVDTs DO-1 to DO-3 were arranged on the surfaces of the concrete panel to monitor the out-of-plane displacements. The shear strains of the steel plate were measured by the strain gages R1 to R10 on the two horizontal cross-sections between the upper headed stud rows.

3. Experimental Observations and Results

3.1. Representative Behaviors of Specimen CSPW-20

The analysis on shear behaviors was represented by specimen CSPW-20. The lateral loading–drift ratio (V-θ) relationship is depicted by Figure 4. Five key points were marked to identify the different phases. The yielding, peak, and ultimate points were gained from the original lateral load–drift ratio curve. The yielding point was identified by the energy equivalent method [21]. The cracking, crushing, and buckling points were gained from the observation and instrument readings, which will be discussed later. The yield shear force Vy was 736.1 kN at the drift ratio θy = 0.39%. The maximum shear force Vm was 919.8 kN, corresponding to the drift ratio θm = 0.89%. In the pre-yield phase, the shear force V linearly ascended with the incremental drift ratio, where the curve slope reduced twice. In the post-yield phase, V ascended at a relatively slow rate until Vm, and then, V-θ declined slowly until V reduced to 85% of Vm.
The shear cracking of concrete panels initiated at θ = 0.13%, near the end of the first linear branch of the V-θ response. As shown in Figure 5, the concrete cracks were adjacent and parallel to the diagonal line of the shear wall. Their angles relative to the horizontal direction were about 45°. The concrete encasement crushed at the corner at θ = 0.22%, corresponding to the middle of the second linear branch, as shown in Figure 6. At θy = 0.39%, more diagonal cracks formed and developed, and the crushed concrete spalled at the corner, as shown in Figure 7. Then, a remarkable nonlinearity of the V-θ response commenced (see Figure 4). Some separations were observed between the concrete side faces and the boundary steel flanges, indicating that the relative deformation between the infill steel plate and concrete panels increased.
After the maximum lateral loading Vm was reached, the concrete encasements between the outer studs and steel frame deformed as a moment-resisting frame in the compression-only boundary condition. Thereby, the arc-shaped cracks formed at the edges, resulting from the vertical cracks in bending, and connected the diagonal ones in shear, as shown in Figure 8. At θ = 3.23%, the shear strength deteriorated by 85%. Figure 9 and Figure 10 show the failure modes of the concrete panels. The corner concretes fully spalled. The crushing of concrete and the separation between the concrete panel and steel plate considerably extended along the steel flanges. Some concrete compression strut failures occurred near the corner, and meanwhile, the widths of diagonal cracks increased slightly. Concretes spalled at the stud locations due to the buckling of the infill steel plate. Three buckling half-waves and tearing cracks had developed in the infill steel plate, as illustrated in Figure 11.
The shear strain–drift ratio relationships, represented as Ri-θ relationships, of the infill steel plate are shown in Figure 12, where RA1 and RA2 were the average shear strains of the measured cross-sections. Additionally, R5 and R9 were excluded because they were unworkable during the test on specimen CSPW-20. These two cross-sections generally exhibited similar shear strain responses. The Ri-θ curves nearly followed linear relationships with different slopes. According to the yield shear strain of the steel (2186 με), the elastic, elasto-plastic, and plastic ranges could be identified. Cross-sections No. 1 and 2 entered the elasto-plastic range at θ = 0.43% and 0.42%, and ended at θ = 0.9% and 0.83%, respectively. The averages of RA1 and RA2 both reached the yield strain at θ = 0.59%. Such behaviors demonstrated that specimen CSPW-20 reached Vm after the full shear yielding of the infill steel plate. The out-of-plane displacements for the buckling of the infill steel plate were captured by DO-1 and -2, as shown in Figure 13. DO-2 significantly ascended at θb = 1.61%, implying the onset of steel plate buckling. DO-1 obviously ascended at the drift ratio of 1.97%. After the steel plate buckling, DO-2 and -1 increased at high speeds.
According to the test results of specimen CSPW-20, the shear behaviors of the C-PSW/CE are governed by the steel plate. Concrete panels postponed the steel plate buckling to the plastic range, and contributed a proportion of the loading resistance to the C-PSW/CE. Two zones with different deformation modes were observed in the concrete encasement. One was the shear zone in the concrete within the stud group region. The other was outside the stud group region identified as the compression-only zone. Such deformation modes were in accordance with the single-sided concrete encasement in the C-PSW/CE established in [28], which is illustrated in Figure 14. Interactions between these zones could be inflected by the arc-shaped cracks and compression strut failures near the corner. In general, compression along the principal direction dominated the shear capacity of the concrete panel.

3.2. Comparisons of Specimens CSPW-30 and -40

The effects of concrete thickness on the V-θ relationship are shown in Figure 15. The development patterns of the V-θ curves of specimens CSPW-20, -30, and -40 were similar in the early phase. The shear stiffness of the C-PSW/CE increased with the increase in concrete thickness. When the drift ratio of specimen CSPW-30 was 0.91%, its shear force reached 930 kN, closing to the loading capacity of the MTS horizontal actuator. As a result, the loading process was terminated. In the same situation, specimen CSPW-40 was terminated at the drift ratio of 0.67%. Based on the measured shear strains, however, both steel plates yielded in shear. Although these two specimens had not failed, their V-θ curves and behaviors were enough for this investigation.
The average shear strain–drift ratio responses (RA1, RA2, and RAA-θ) of specimens CSPW-20 and -30 are compared in Figure 16, where RAA was the average of the total shear strains. The infill steel plates exhibited similar shear behaviors. The RAA-θ slope of specimen CSPW-20 was slightly larger than that of specimen CSPW-30, due to the difference in the shear contribution of the concrete panels. The crack patterns of specimens CSPW-30 and -40 at θ = 0.62% are compared in Figure 17. The concrete damage process slowed down as the concrete panel thickness increased. Nevertheless, concrete cracks in all three specimens started to be observed at θ = 0.13%. Their cracking patterns were also similar.
According to the test results, increasing the concrete thickness strengthened the lateral resistance of specimens and caused the concrete panel degradation, while it has minimal influences on the initiation of concrete cracks. The steel plates of specimens CSPW-20, 30, and 40 all yielded in shear before their buckling, fulfilling the requirements from AISC 341-16, thereby demonstrating that the concrete thickness demand proposed by the authors is appropriate [1,25]. For the shear capacity, the yield shear forces of CSPW-20, 30, and 40 were 736.1 kN, 845.9 kN, and 868.0 kN, respectively, which exceeded the nominal shear strength of 603.6 kN specified by [1]. Obviously, the contributions of the concrete panels supported such responses. For the ductility, the yield and ultimate drift ratios (θy and θu) of specimen CSPW-20 were 0.39% and 3.23%, respectively, where θu was significantly higher than the drift ratio limit of 2.5% for the highest risk category of lateral-resisting component per SEI/ASCE 7-16, and θu = 8.3θy was close to the level of Limited Safety (LS) (θu = 10θy) per FEMA 356 [31,32].

4. Finite Element Model of the C-PSW/CE

4.1. Establishment of FEM

The establishment of FEM for C-PSW/CE was proposed by the authors’ previous work [28]. Therefore, some descriptions were omitted, and the correlative important information was presented. FEM was established in ABAQUS 2020, combining the XFEM and the cohesive contacts, as illustrated in Figure 18. The boundary frame consisted of beam elements (B31) and shell elements (S4R). In ABAQUS 2020, B31 is a linear beam element in 3D space; S4R is a four-node reduced-integral shell element, which is used to simulate thin or medium-thick shell structures. The S4R element takes into account the bending deformation of the shell and the thin film strains. As its cross-section was H-shaped, the shell elements were taken as the inner flanges (in dark yellow in Figure 18) and the beam elements were used to simulate the outer flanges and webs with T-shaped cross-section (in dark red in Figure 18). The cross-sections were assembled by coupling their overlapped nodes. The mesh sensitivity analysis results illustrated that the element dimensions of the infill steel plate and concrete panels should be the same as and smaller than 20 mm × 20 mm.
The beam–column joints were pin-connected, and thereby their in-plane rotational degrees of freedom (DoF) were unconstrained. The out-of-plane DoF of all beam elements in the boundary frame and the translational DoF of the bottom beam elements in the boundary frame were restrained. A horizontal monotonic loading was applied onto the top beam elements of the boundary frame.
The edge lines between the steel plate and boundary frame were tied. The relationships of the overlapped element nodes between the steel plate and headed studs as well as those of rebars, studs, and concrete panels were DoF coupling. A contact relationship with “hard” normal behavior was considered on the surfaces between the concrete panels and boundary frame. In a “hard” contact, there is no limit to the amount of pressure that can be transmitted between two surfaces. When the pressure between the two surfaces becomes zero or negative, the two surfaces are separated and the constraints on the corresponding nodes are released at the same time. The “hard” contact is a constraint relationship between element nodes. It is assigned for the constraint of the normal element nodes, which were located in a pair of surfaces along the normal direction. When a “hard” contact constraint relationship is inserted to two pairs of element nodes, they become rigid under compression, but the “hard” contact offers minimal resistance in the tensile direction. For the contact surfaces between steel plate and concrete panels, their tangential behaviors included the effects of cohesiveness and friction and their normal behaviors were “hard” contact. The friction would be in effect when the cohesive contact was failed. The “hard” contact is always in effect. When the cohesive effect failed, the friction with the coefficient of 0.3 [33] would work.
The cracking and crushing of concrete are the representations of its damage initiation and failure. In this paper, the concrete cracking was simulated by XFEM. The concrete damaged plasticity (CDP) model and the traction–separation law were employed to the properties of concrete. The constitutive relationship of concrete material (presented in [24]) was simulated by the CDP model. The elastic modulus of concrete was 30 GPa and its Poisson’s ratio was 0.2. The compressive test results of the concrete cubes indicated that the strength grade of concrete was C30 by the code for the design of concrete structure [34]. Thereby, the nominal compressive and tensile strengths of concrete were assigned as 20.1 MPa and 2.01 MPa, respectively, according to the design code [34]. The damage initiation criterion of the traction–separation law of the concrete material followed the maximum principal stress, equal to its nominal tensile strength. In contrast to the tectonic response models used by Javadi for elastic–plastic behaviors in compression and fully brittle behaviors in elasticity in tension [35], XFEM regions were embedded into the area of the stud group, as illustrated in Figure 18.
The constitutive relationships of the steel materials were simulated by the bilinear hardening model, with a hardening stiffness that is 1.0% of elastic modulus. The Young’s modulus and Poisson’s ratio were 206 GPa and 0.3, respectively. The yield strength of the rebars was 300 MPa, the yield strength of the studs was 240 MPa, and the yield strength of the steel plate was 235 MPa.

4.2. Validation of Finite Element Model

The shear responses of specimen CSPW-20 were compared between the experiment and FEM to validate the accuracy of FEM. The boundary conditions and geometric and material properties of FEM were the same as those of the test specimens. Some inevitable differences, however, existed in the constitutive relationships of materials. The V-θ responses between the test and FEM are compared in Figure 19, which revealed a significant agreement. The Vy values of the experiment and FEM were 736.1 kN and 728.4 kN, corresponding to the θy values of 0.39% and 0.33%, respectively. Their different stiffnesses were mainly caused by the inevitable imperfections in the test specimens and setup, which could not be comprehensively simulated in FEM. The experiment and FEM had close peak shear forces of 919.8 kN and 912.8 kN, respectively. There were some disagreements in the post-yielding, because the stress–strain relationships of the infill steel plate in FEM were not totally the same as the test specimens, and the infill steel plate dominated the post-yield responses of C-PSW/CE. FEM simplified the stress–strain relationship of steel after the yield point, where the yielding plateau and strain hardening were replaced by a linear branch. The cracking patterns and principal stresses of the concrete panel at θ = 0.40% and the out-of-plane deformation of infill steel plate at θ = 3.23% are illustrated in Figure 20 and Figure 21, which were similar to the test results, as shown in Figure 7 and Figure 13. Figure 22 revealed similar development patterns and inflection points for the out-of-plane displacements of the infill steel plate between the test and FEM at DO-2 location. Comparisons between the FEM and test indicated that the established FEM can simulate the shear stiffness, the yielding point of C-PSW/CE, the damages of concrete, and the buckling of the steel plate with reasonable accuracies. Such responses were adequate for the finite element analyses and proposing the mechanics-based model of the shear force–drift ratio of C-PSW/CE.

5. Finite Element Analysis on Shear Behaviors of C-PSW/CEs

To investigate the shear mechanisms and shear capacities of C-PSW/CEs, the shear forces and resultant forces of the inclined cross-sections were analyzed by finite element method. The shear forces of the C-PSW/CEs, steel plate, and concrete panel were denoted as V, Vs, and Vc, respectively. Vs represented the average of the horizontal shear forces, and therefore, Vc = V − Vs. The resultant forces of the inclined cross-sections were calculated by the static equilibrium. Accordingly, these forces could represent the area integral of principal stresses, and were denoted as the principal tensile force and compressive force. For the concrete panels and steel plate, the corresponding principal tensile and compressive forces were denoted Vc-T, Vc-C, Vs-T, and Vs-C.

5.1. Parameters of FEM Specimens

A total of 35 FEM specimens were simulated to analyze the effects of parameters on the lateral responses of C-PSW/CEs. The identical information included the following. The length and height of C-PSW/CEs were equal to 3000 mm; the cross-section of the boundary frame was W360 × 818; the stud groups were arranged with 600 mm spacing and 300 mm edge distance; the stud diameter was 16 mm; and the reinforcement ratio was 0.75%. In addition, FEM specimens had identical material properties. The analysis parameters were the steel plate thickness and concrete panel thickness. The FEM specimens were labelled as CSPW-TSx-TCx, where TS represented the thickness of the steel plate, TC represented the single-side concrete panel thickness, and x represented the corresponding value in mm. Information of FEM specimens is listed in Table 1.

5.2. Distributions and Developments of Internal Forces

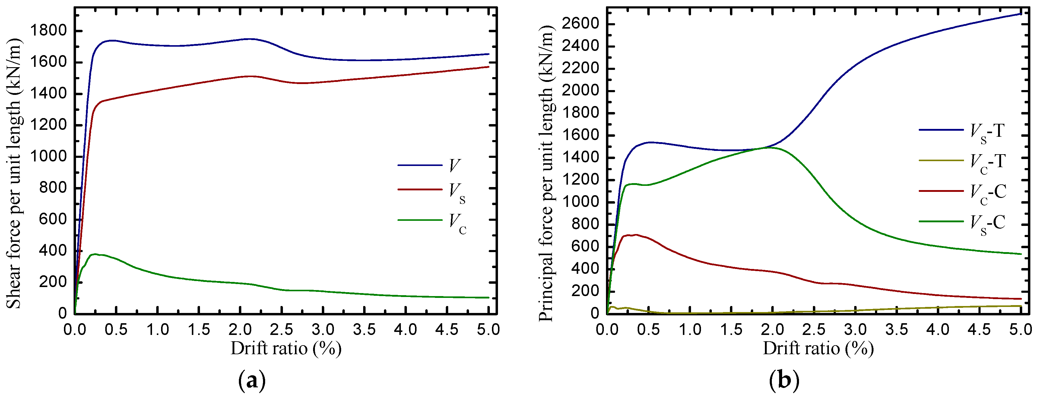
The distributions and developments of the internal forces of C-PSW/CE were representatively revealed by specimens CSPW-TS10-TC70, CSPW-TS10-TC100, and CSPW-TS10-TC200. The developments of V, Vs, and Vc of specimen CSPW-TS10-TC70 are illustrated in Figure 23a. The Vs-θ curve of the steel plate followed a linear relationship until θ = 0.14%, and yielded at θ = 0.26%. The shear force of the concrete panel, Vc, reached the peak at θ = 0.24%. After that, the degradation in Vc could be compensated by the hardening of Vs. The shear loading V was up to the shear yield strength (per unit length) Vy = 1738.7 kN/m with θy = 0.38%. Post-yielding, Vs ascended while Vc descended, and therefore, V almost formed a plateau until the drift ratio of 2.11%. Then, Vs markedly dropped because of the steel plate buckling, thereby reducing V drastically. Beyond θ = 2.42%, V gradually ascended until the drift ratio of 5.0%.
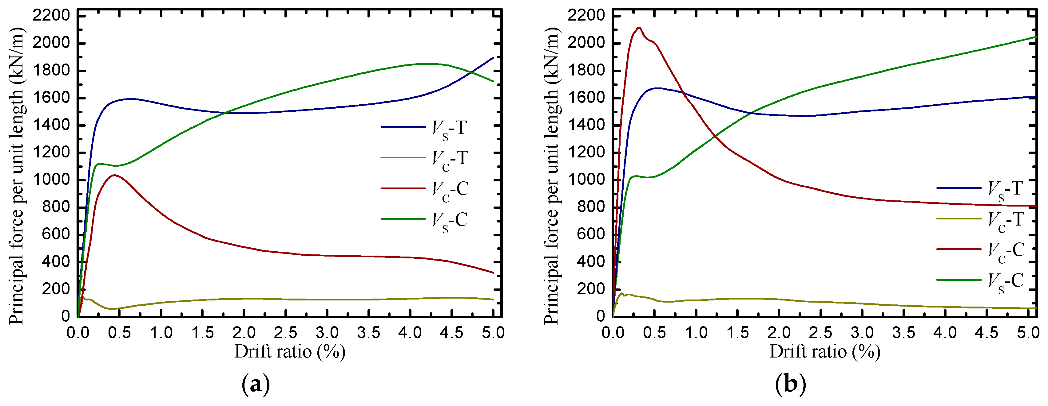
The curve of Vc-C (the principal compressive force of the concrete panels) was highly different from that of Vc-T (the principal tensile force of the concrete panels), as illustrated in Figure 23b. Vc-C had a similar development mode to Vc, while Vc-T remained at a low magnitude. Due to the behaviors of the concrete encasement in tension and compression, the principal compressive force of the steel plate, Vs-C, was lower than its principal tensile force Vs-T before Vc-C reached its maximum value. As Vc-C declined, Vs-C started to ascend and Vs-T descended. When the steel plate buckled, Vs-C drastically dropped and Vs-T started to increase. Comparing Figure 23a,b, the shear capacity of the concrete encasement was governed by its compression along the principal direction. Due to the differences between Vs-T and Vs-C, the steel plate could not reach its theoretical shear stiffness and yield strength. Nevertheless, owing to the contribution of the concrete encasement, the shear stiffness and strength of specimen CSPW-TS10-TC70 exceeded those of the 10 mm thick steel plate yielding in shear.
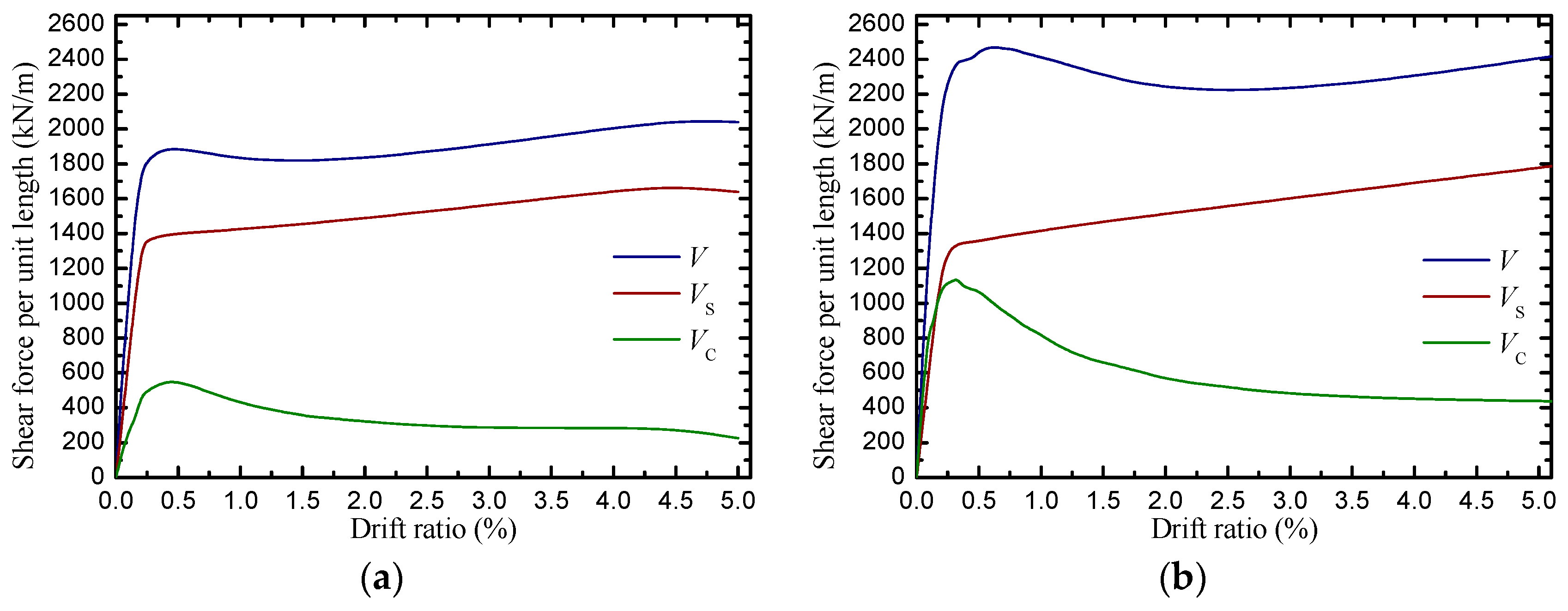
The shear force and principal force responses of specimens CSPW-TS10-TC100 and -200 are compared in Figure 24a,b, which suggests that the shear stiffness, yield shear force, and yield drift ratio of specimen C-PSW/CE would increase by increasing the concrete thickness. The Vy values of specimens CSPW-TS10-TC100 and -200 were 1883.9 kN/m and 2467.3 kN/m, respectively, corresponding to θy = 0.40% and 0.51%, respectively. Compared to specimen CSPW-TS10-TC70, V of specimen CSPW-TS10-TC100 formed a hardening phase beyond θ = 1.43%, and incorporated a larger buckling drift ratio of 4.23% without an apparent decrease in V. V of specimen CSPW-TS10-TC200 gradually descended after θy, because the concrete panels that took a relatively high portion of shear resistance degraded.
Figure 25a,b show that Vc-C of the concrete panel increased significantly and Vc-T increased slightly with the increase in concrete thickness. Accordingly, the differences between Vs-C and Vs-T of the steel plate increased as the concrete thickness increased. However, such increased differences slightly affected the development patterns of the steel plate shear force Vs, because Vc-C was mainly transferred from the boundary frame. The inflection points for Vs-C and Vs-T of specimen CSPW-TS10-TC100 at θ = 4.23% confirmed the buckling of the steel plate.

5.3. Shear Force–Drift Ratio Responses of Specimen C-PSW/CE

Parametric analysis on the V-θ responses was conducted to assess the shear resistances of specimen C-PSW/CE. As illustrated in Figure 26, the shear resistances of specimen C-PSW/CE obviously increased with the increase in concrete thickness. Four phases of V-θ responses were identified as elastic, elasto-plastic, yielding, post-yielding, and buckling. In the elastic phase, V increased with the increase in θ linearly until concrete cracking. For the elasto-plastic phase, cracks grew and the corner crushed in the concrete panels, and this ended with the shear yielding of the steel plate. Some features in such early phases were captured as follows. At the drift angle of about 0.14%, the concrete initial cracks ended the linearity of V-θ relationships, while the peak shear of the concrete encasement and the steel plate yielding occurred closely. As the concrete increased, the yielding points (Vy, θy) were postponed. In the post-yielding phase, V-θ responses could develop a plateau or stiffening phase. Nevertheless, such responses were changed when the concrete panels of specimen C-PSW/CE took a relative high portion of shear loading. After infill steel plate buckling, V drastically reduced, thereby decreasing the ductility of specimen C-PSW/CE.
The shear capacity of specimen C-PSW/CE was correlated with the thicknesses of the steel plate and concrete panel. The secant stiffness of the cracking point (approximately to the drift ratio of 0.14%) was taken as the initial stiffness of specimen C-PSW/CE, and it increased with the increase in thicknesses of the steel and concrete panels. The slope between the concrete cracking point and the steel plate yielding point was the post-cracking stiffness. It increased with the increase in steel plate thickness, while it decreased with the increase in concrete thickness. The yield shear capacity of specimen C-PSW/CE, which is the first peak load of the V-θ curve, increased with the increase in steel web thickness and concrete thickness. If the steel plate buckled before θ = 5.0%, the ultimate point would form, corresponding to the buckling point. As the concrete thickness increased, the ultimate load of specimen C-PSW/CE increased, with identical steel plate thickness.

6. Mechanics-Based Model of Shear Force–Drift Ratio (V-θ)

A mechanics-based model was proposed to assess the V-θ responses of specimen C-PSW/CE. This model was labeled as SDM. Depending on the results of the tests and finite element analysis, SDM was established with reasonable simplicity. Three key points were identified in the V-θ responses, involving the concrete cracking point, yielding point, and buckling point. Linearly connecting them, the V-θ relationship of SDM is depicted in Figure 27. K represented the initial stiffness and Kt represented the hardening stiffness. θcr took the value of 0.14%. K was the fitting slope between the origin and cracking points of the FEM V-θ curves, where θcr = 0.14%. K is expressed in Equation (1), where Ks and Kc are the steel shear modulus and the concrete shear modulus, respectively, ts and tc are the thickness of the steel plate and the total thickness of the concrete panels, and l is the width of the wall.
Vy of SDM was fitted by the lowest value in the post-yielding phase. Vy was the sum of Vsy and Vcm, where Vsy was the yield shear force of the steel plate, as expressed in Equation (2); Vcm was the peak shear force of the concrete panels, developed by their principal compressive force, as expressed in Equation (3). The nominal yield strength of steels was labeled as fy. The nominal compressive strength of concrete was labeled as fc. Combining the shear resistance contributions of the steel plates with the concrete panel, Kt and Vy were developed in Equations (4) and (5). Table 2 compared the K and Vy values, which were derived by test, FEM, and SDM. It indicated that SDM can reasonably and safely predict the V-θ relationship of specimen C-PSW/CE.
K = 0.8 K s t s + 0.135 K c t c l
V s y = 0.58 t s l f y
V c m = 0.135 t c l f c
K t = V s y V c m 0.4 0.3 G s t s l
V y = 0.58 t s f y + 0.135 t c f c l V c m / V s y 0.36 0.58 t s f y + 0.11 t c f c l V c m / V s y > 0.36

7. Conclusions

This paper experimentally and numerically studied the mechanical characteristics and internal forces of structural members, shear capacities, and failure models of C-PSW/CEs. The analysis findings clearly deduced the relationships between the shear force and drift ratio of C-PSW/CEs with different parameters. The following conclusions can be drawn.
(1) Concrete panels exhibited two deformation zones for the lateral load resistance. The shear zones located in the stud group are attributed to the shear forces of the stud group. The compression zones at the corners resulted from the compression from the boundary steel frame. As a result, their shear resistance mainly depended on the compression along the principal direction.
(2) The infill steel plate yielded in shear with the buckling restraints from the concrete panels. However, the principal compression transferred from the concrete panel to the steel plate was highly different from the principal tension. The shear yielding of the steel plate was postponed, thereby improving the ductility of C-PSW/CEs.
(3) Although the steel plate cannot reach the theoretical values of the shear strength and stiffness, the concrete panels additionally resisted portions of the lateral loading in C-PSW/CEs, thereby complementing the properties of the steel plate and improving the shear stiffness and strength of C-PSW/CEs.
(4) The interactions between the steel plate and concrete panels were positive. The concrete panels could constrain the prior buckling of the steel plate and had marginal effects on the developed patterns of the steel plate shear force in the pre-buckling phases. Furthermore, the steel plate shear yielding and the peak shear force of the concrete panels occurred closely. Overall, concrete slowed down the damage process of C-PSW/CEs under lateral loading.
(5) The developed mechanics-based model for the shear force–drift ratio responses involved the concrete cracking point, yielding point, and buckling point, which could reasonably and safely predict the shear responses of C-PSW/CEs.

Author Contributions

X.W.: Methodology, Software, Data Curation, Writing—Original Draft, Formal analysis, Investigation. Y.Q.: Conceptualization, Methodology, Software, Validation, Investigation, Project administration, Data Curation, Writing—Review and Editing. H.W.: Resources, Formal analysis, Writing—Review & Editing. D.C.: Resources, Formal analysis, Writing—Review and Editing. All authors have read and agreed to the published version of the manuscript.

Funding

This research was funded by the National Natural Science Foundation of China (Grant No. 52008283) and the Postgraduate Research & Practice Innovation Program of Jiangsu Province (Grant No. SJCX23_1745), which are gratefully acknowledged.

Data Availability Statement

The data that support the findings of this study are available from the corresponding author upon reasonable request. The data are not publicly available due to privacy.

Conflicts of Interest

The authors declare no conflicts of interest.

References

  1. AISC. ANSI/AISC 341-16 Seismic Provisions for Structural Steel Buildings; American Institute of Steel Construction (AISC): Chicago, IL, USA, 2016. [Google Scholar]
  2. Zhao, Q.H.; Astaneh-Asl, A. Cyclic behavior of traditional and innovative composite shear walls. J. Struct. Eng. 2004, 130, 271–284. [Google Scholar] [CrossRef]
  3. Arabzadeh, A.; Soltani, M.; Ayazi, A. Experimental investigation of composite shear walls under shear loadings. Thin Walled Struct. 2011, 49, 842–854. [Google Scholar] [CrossRef]
  4. Shafaei, S.; Farahbod, F.; Ayazi, A. The wall-frame and the steel-concrete interactions in composite shear walls. Struct. Des. Tall Spec. 2018, 27, e1476. [Google Scholar] [CrossRef]
  5. Guo, L.; Li, R.; Rong, Q.; Zhang, S. Cyclic behavior of SPSW and CSPSW in composite frame. Thin Walled Struct. 2012, 51, 39–52. [Google Scholar] [CrossRef]
  6. Feng, X.; Yu, J.; Shen, J. Seismic behavior of composite steel plate shear walls with rubber-coated uplift-restrained studs. J. Constr. Steel Res. 2021, 182, 106683. [Google Scholar] [CrossRef]
  7. Hou, J.; Guo, L.; Yan, J. Steel plate-restraining panel interaction behavior in buckling-restrained steel plate shear walls. Thin Walled Struct. 2021, 169, 108348. [Google Scholar] [CrossRef]
  8. Farahbakhshtooli, A.; Bhowmick, A. Seismic collapse assessment of composite plate shear walls. J. Struct. Eng. 2020, 146, 04020266. [Google Scholar] [CrossRef]
  9. Luo, Q.; Wang, W.; Sun, Z.; Xu, S.; Wang, B. Seismic performance analysis of corrugated-steel-plate composite shear wall based on corner failure. J. Constr. Steel Res. 2021, 180, 106606. [Google Scholar] [CrossRef]
  10. Jin, S.; Bai, J. Experimental investigation of buckling-restrained steel plate shear walls with inclined-slots. J. Constr. Steel Res. 2019, 155, 144–156. [Google Scholar] [CrossRef]
  11. Jin, S.; Yang, S.; Bai, J. Numerical and experimental investigation of the full-scale buckling-restrained steel plate shear wall with inclined slots. Thin Walled Struct. 2019, 144, 106362. [Google Scholar] [CrossRef]
  12. Shafaei, S.; Farahbod, F.; Ayazi, A. Concrete stiffened steel plate shear walls with an unstiffened opening. Structures 2017, 12, 40–53. [Google Scholar] [CrossRef]
  13. Meghdadaian, M.; Ghalehnovi, M. Improving seismic performance of composite steel plate shear walls containing openings. J. Build. Eng. 2019, 21, 336–342. [Google Scholar] [CrossRef]
  14. Ayazi, A.; Shafaei, S. Steel-concrete composite shear walls using precast high performance fiber reinforced concrete panels. Struct. Des. Tall Spec. 2019, 28, e1617. [Google Scholar] [CrossRef]
  15. Yang, X.; Xu, L.; Pan, J. Mechanical behavior of full-scale composite steel plate shear wall restrained by ECC panels. J. Build. Eng. 2021, 44, 102864. [Google Scholar] [CrossRef]
  16. Rassouli, B.; Shafaei, S.; Ayazi, A.; Farahbod, F. Experimental and numerical study on steel-concrete composite shear wall using light-weight concrete. J. Constr. Steel Res. 2016, 126, 117–128. [Google Scholar] [CrossRef]
  17. Guo, L.; Ma, X.; Li, R.; Zhang, S. Experimental research on the seismic behavior of CSPSWs connected to frame beams. Earthq. Eng. Eng. Vib. 2011, 10, 65–73. [Google Scholar] [CrossRef]
  18. Jiang, L.; Zheng, H.; Hu, Y. Experimental seismic performance of steel- and composite steel-panel wall strengthened steel frames. Arch. Civ. Mech. Eng. 2017, 17, 520–534. [Google Scholar] [CrossRef]
  19. Wei, M.; Liew, J.Y.R.; Du, Y.; Fu, X. Seismic behavior of novel partially connected buckling-restrained steel plate shear walls. Soil Dyn. Earthq. Eng. 2017, 103, 64–75. [Google Scholar] [CrossRef]
  20. Liu, W.; Li, G.; Jiang, J. Mechanical behavior of buckling restrained steel plate shear walls with two-side connections. Eng. Struct. 2017, 138, 283–292. [Google Scholar] [CrossRef]
  21. Hu, Y.; Zhao, J.; Zhang, D.; Li, Y. Cyclic performance of concrete-filled double-skin steel tube frames strengthened with beam-only-connected composite steel plate shear walls. J. Build. Eng. 2020, 31, 101376. [Google Scholar] [CrossRef]
  22. Wang, D.; Zhang, Y.; Zhu, Y.; Wu, C.; Zhou, Y.; Han, Q. Mechanical performance of sustainable modular prefabricated composite shear panels under cyclic loading. J. Constr. Steel Res. 2021, 179, 106423. [Google Scholar] [CrossRef]
  23. Li, Z.; Ge, L.; Qi, Y.; Geng, Y.; Teng, J. Design and experimental study of a buckling-restrained steel plate shear wall with novel buckling-restrained panels for improving bearing capacity and energy dissipation. Eng. Struct. 2021, 244, 112812. [Google Scholar] [CrossRef]
  24. Qi, Y.; Gu, Q.; Sun, G.; Zhao, B. Shear force demand on headed stud for the design of composite steel plate shear wall. Eng. Struct. 2017, 148, 780–792. [Google Scholar] [CrossRef]
  25. Qi, Y.; Gu, Q.; Sun, G.; Zhao, B.; Wang, H. Concrete panel thickness demand for the design of composite steel plate shear wall. Struct. Des. Tall Spec. 2019, 28, e1605. [Google Scholar] [CrossRef]
  26. Qi, Y.; Gu, Q.; Sun, G.; Zhao, B.; Wang, H. Tensile force and bending moment demands on headed stud for the design of composite plate shear wall. Adv. Steel Constr. 2019, 15, 338–348. [Google Scholar] [CrossRef]
  27. Lei, J.; Qi, Y.; Gu, Q. Mechanisms of plasticity development and energy dissipation on concrete-encased steel plate shear wall with boundary steel frame under cyclic loading. Case Stud. Constr. Mater. 2023, 18, e02089. [Google Scholar] [CrossRef]
  28. Qi, Y.; Gu, Q.; Wang, H. Study on the shear mechanism and resistance of single-side concrete-encased composite plate shear wall. Thin Walled Struct. 2022, 180, 109876. [Google Scholar] [CrossRef]
  29. JGJ/T 380-2015; Technical Specification for Steel Plate Shear Walls. China Architecture and Building Press: Beijing, China, 2015.
  30. Astaneh-Asl, A. Seismic Behavior and Design of Composite Steel Plate Shear Walls; Structural Steel Educational Council: Moraga, CA, USA, 2002. [Google Scholar]
  31. SEI/ASCE 7-16; Minimum Design Loads and Associated Criteria for Buildings and Other Structures. American Society of Civil Engineers (ASCE): Reston, VA, USA, 2016.
  32. FEMA 356; Prestandard and Commentary for the Seismic Rehabilitation of Buildings. Federal Emergency Management Agency (FEMA): Washington, DC, USA, 2000.
  33. Rahnavard, R.; Hassanipour, A.; Mounesi, A. Numerical study on important parameters of composite steel-concrete shear walls. J. Constr. Steel Res. 2016, 121, 441–456. [Google Scholar] [CrossRef]
  34. GB50010-2010; Design of Concrete Structures. China Architecture and Building Press: Beijing, China, 2015.
  35. Javadi, M.; Saavedra Flores, E.I.S.; Yanez, S.J.; Avudaiappan, S.; Pina, J.C.; Guzmán, C.F. Investigation of the influence of design parameters on the strength of steel–concrete composite shear walls by finite element simulations. Buildings 2023, 13, 187. [Google Scholar] [CrossRef]
Figure 1. Specimen components (without RC).
Figure 1. Specimen components (without RC).
Buildings 14 01972 g001
Figure 2. Test setup and instrumentation arrangements.
Figure 2. Test setup and instrumentation arrangements.
Buildings 14 01972 g002
Figure 3. Loading device.
Figure 3. Loading device.
Buildings 14 01972 g003
Figure 4. V-θ response of specimen CSPW-20.
Figure 4. V-θ response of specimen CSPW-20.
Buildings 14 01972 g004
Figure 5. Onset of concrete cracking.
Figure 5. Onset of concrete cracking.
Buildings 14 01972 g005
Figure 6. Onset of concrete crushing.
Figure 6. Onset of concrete crushing.
Buildings 14 01972 g006
Figure 7. Separations and spalling of concrete.
Figure 7. Separations and spalling of concrete.
Buildings 14 01972 g007
Figure 8. Arc-shaped cracks and concrete spalling.
Figure 8. Arc-shaped cracks and concrete spalling.
Buildings 14 01972 g008
Figure 9. Concrete failure on the north side.
Figure 9. Concrete failure on the north side.
Buildings 14 01972 g009
Figure 10. Concrete failure on the south side.
Figure 10. Concrete failure on the south side.
Buildings 14 01972 g010
Figure 11. Buckling and tearing cracks of the steel plate.
Figure 11. Buckling and tearing cracks of the steel plate.
Buildings 14 01972 g011
Figure 12. Shear strain–drift ratio responses. (a) Cross-section No. 1. (b) Cross-section No. 2.
Figure 12. Shear strain–drift ratio responses. (a) Cross-section No. 1. (b) Cross-section No. 2.
Buildings 14 01972 g012
Figure 13. Out-of-plane displacements of the wall.
Figure 13. Out-of-plane displacements of the wall.
Buildings 14 01972 g013
Figure 14. Deformation model of RC panels [28].
Figure 14. Deformation model of RC panels [28].
Buildings 14 01972 g014
Figure 15. V-θ responses of specimens CSPW-20, -30, -40.
Figure 15. V-θ responses of specimens CSPW-20, -30, -40.
Buildings 14 01972 g015
Figure 16. Shear strain–drift ratio θ curves of specimens CSPW-20 and -30.
Figure 16. Shear strain–drift ratio θ curves of specimens CSPW-20 and -30.
Buildings 14 01972 g016
Figure 17. Concrete cracks at θ = 0.62%. (a) Specimen CSPW-30. (b) Specimen CSPW-40.
Figure 17. Concrete cracks at θ = 0.62%. (a) Specimen CSPW-30. (b) Specimen CSPW-40.
Buildings 14 01972 g017
Figure 18. Finite element model of the C-PSW/CE.
Figure 18. Finite element model of the C-PSW/CE.
Buildings 14 01972 g018
Figure 19. Comparison of V-θ responses.
Figure 19. Comparison of V-θ responses.
Buildings 14 01972 g019
Figure 20. Principal stresses and cracks of the concrete panel.
Figure 20. Principal stresses and cracks of the concrete panel.
Buildings 14 01972 g020
Figure 21. Out-of-plane deformation of the steel plate.
Figure 21. Out-of-plane deformation of the steel plate.
Buildings 14 01972 g021
Figure 22. Comparison of the out-of-plane displacements.
Figure 22. Comparison of the out-of-plane displacements.
Buildings 14 01972 g022
Figure 23. Internal forces of specimen CSPW-TS10-TC70. (a) Shear force–drift ratio responses. (b) Principal force–drift ratio responses.
Figure 23. Internal forces of specimen CSPW-TS10-TC70. (a) Shear force–drift ratio responses. (b) Principal force–drift ratio responses.
Buildings 14 01972 g023
Figure 24. Shear force–drift ratio responses. (a) Specimen CSPW-TS10-TC100. (b) Specimen CSPW-TS10-TC200.
Figure 24. Shear force–drift ratio responses. (a) Specimen CSPW-TS10-TC100. (b) Specimen CSPW-TS10-TC200.
Buildings 14 01972 g024
Figure 25. Principal force–drift ratio responses. (a) Specimen CSPW-TS10-TC100. (b) Specimen CSPW-TS10-TC200.
Figure 25. Principal force–drift ratio responses. (a) Specimen CSPW-TS10-TC100. (b) Specimen CSPW-TS10-TC200.
Buildings 14 01972 g025
Figure 26. V-θ responses of the FEM specimens. (a) Specimen CSPW-TS5-TC60~100. (b) Specimen CSPW-TS15-TC60~100. (c) Specimen CSPW-TS15-TC120~200. (d) Specimen CSPW-TS20-TC60~100.
Figure 26. V-θ responses of the FEM specimens. (a) Specimen CSPW-TS5-TC60~100. (b) Specimen CSPW-TS15-TC60~100. (c) Specimen CSPW-TS15-TC120~200. (d) Specimen CSPW-TS20-TC60~100.
Buildings 14 01972 g026
Figure 27. V-θ relationship of SDM.
Figure 27. V-θ relationship of SDM.
Buildings 14 01972 g027
Table 1. Details of the finite element specimen.
Table 1. Details of the finite element specimen.
SpecimenTS (mm)TC (mm)
CSPW-TS5-TCx560, 70, 80, 90, 100
CSPW-TS10-TCx1060, 70, 80, 90, 100, 120, 140, 160, 180, 200
CSPW-TS15-TCx1560, 70, 80, 90, 100, 120, 140, 160, 180, 200
CSPW-TS20-TCx2060, 70, 80, 90, 100, 120, 140, 160, 180, 200
Table 2. Comparisons of K and Vy values.
Table 2. Comparisons of K and Vy values.
SpecimenK
(kN × 106)
Equation (1)
(kN × 106)

(%)
Vy
(kN)
Equation (5)
(kN)

(%)
CSPW-20 (test)0.280.30−7.14736.1744.1−1.09
CSPW-30 (test)0.310.34−9.68845.9809.24.34
CSPW-40 (test)0.340.38−11.76868.0874.4−0.74
CSPW-TS5-TC601.571.523.182836.32840.46−0.15
CSPW-TS5-TC701.681.623.572943.62973.12−1.00
CSPW-TS5-TC801.741.711.723081.13105.78−0.80
CSPW-TS5-TC901.831.811.093154.03238.44−2.68
CSPW-TS5-TC1001.901.91−0.533296.23371.1−2.27
CSPW-TS10-TC602.552.463.535042.95065.9−0.46
CSPW-TS10-TC702.642.553.415215.35228.7−0.26
CSPW-TS10-TC802.702.651.855378.95391.5−0.23
CSPW-TS10-TC902.852.753.515345.95282.91.18
CSPW-TS10-TC1002.942.843.405455.55415.60.73
CSPW-TS10-TC1203.033.04−0.335771.55680.91.57
CSPW-TS10-TC1403.143.23−2.876001.65946.20.92
CSPW-TS10-TC1603.433.430.006225.36211.60.22
CSPW-TS10-TC1803.543.62−2.266490.66476.90.21
CSPW-TS10-TC2003.583.82−6.706672.06742.2−1.05
CSPW-TS15-TC603.413.390.597142.47110.40.45
CSPW-TS15-TC703.503.490.297310.77273.20.51
CSPW-TS15-TC803.633.591.107467.37436.00.42
CSPW-TS15-TC903.713.680.817631.37598.80.43
CSPW-TS15-TC1003.783.780.007792.17761.60.39
CSPW-TS15-TC1203.873.97−2.588202.18087.21.40
CSPW-TS15-TC1404.054.17−2.968230.67990.52.92
CSPW-TS15-TC1604.264.36−2.358477.58256.12.61
CSPW-TS15-TC1804.394.56−3.878734.18521.42.44
CSPW-TS15-TC2004.434.75−7.229000.08786.72.37
CSPW-TS20-TC604.214.33−2.859157.99154.90.03
CSPW-TS20-TC704.304.42−2.799339.99317.70.24
CSPW-TS20-TC804.364.52−3.679602.39480.51.27
CSPW-TS20-TC904.404.62−5.009710.59643.30.69
CSPW-TS20-TC1004.504.72−4.899822.29806.10.16
CSPW-TS20-TC1204.784.91−2.7210112.410,131.7−0.19
CSPW-TS20-TC1404.855.10−5.1510613.810,457.31.47
CSPW-TS20-TC1605.105.30−3.9211034.910,783.02.28
CSPW-TS20-TC1805.205.49−5.5810970.810,565.93.69
CSPW-TS20-TC2005.305.69−7.3611252.310,831.23.74
Disclaimer/Publisher’s Note: The statements, opinions and data contained in all publications are solely those of the individual author(s) and contributor(s) and not of MDPI and/or the editor(s). MDPI and/or the editor(s) disclaim responsibility for any injury to people or property resulting from any ideas, methods, instructions or products referred to in the content.

Share and Cite

MDPI and ACS Style

Wang, X.; Qi, Y.; Wang, H.; Chen, D. Study on the Shear Behaviors and Capacity of Double-Sided Concrete-Encased Composite Steel Plate Shear Walls by Experiment and Finite Element Analysis. Buildings 2024, 14, 1972. https://doi.org/10.3390/buildings14071972

AMA Style

Wang X, Qi Y, Wang H, Chen D. Study on the Shear Behaviors and Capacity of Double-Sided Concrete-Encased Composite Steel Plate Shear Walls by Experiment and Finite Element Analysis. Buildings. 2024; 14(7):1972. https://doi.org/10.3390/buildings14071972

Chicago/Turabian Style

Wang, Xintao, Yi Qi, Huafei Wang, and Dingxin Chen. 2024. "Study on the Shear Behaviors and Capacity of Double-Sided Concrete-Encased Composite Steel Plate Shear Walls by Experiment and Finite Element Analysis" Buildings 14, no. 7: 1972. https://doi.org/10.3390/buildings14071972

APA Style

Wang, X., Qi, Y., Wang, H., & Chen, D. (2024). Study on the Shear Behaviors and Capacity of Double-Sided Concrete-Encased Composite Steel Plate Shear Walls by Experiment and Finite Element Analysis. Buildings, 14(7), 1972. https://doi.org/10.3390/buildings14071972

Note that from the first issue of 2016, this journal uses article numbers instead of page numbers. See further details here.

Article Metrics

Back to TopTop