Investigation into the Characteristics of Expansion and Compression Deformation of Interbedded Weak Expansive Rocks in Water Immersion
Abstract
1. Introduction
2. Experimental Scheme Design
2.1. Test Equipment
2.2. Experiment Method
3. Analysis of Experiment Results
3.1. Orthogonal Experimental Analysis
3.2. Expansion and Compression Deformation Trend Analysis
3.2.1. Thickness Ratio as Control Condition
3.2.2. Occurrence as Control Condition
3.2.3. Loading as Control Condition
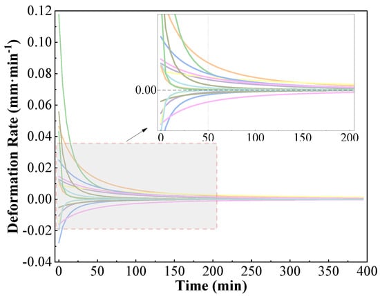
3.3. Time-History Analysis of Expansion and Compression Deformation
3.4. Expansion Force Fitting
4. Conclusions
- The overburden loading has the most significant effect on the expansion and compression deformation of sandstone–mudstone interbedded structure samples. Its orthogonal test effect curve showed a clear monotonic decreasing trend and the decrease was the largest. The increase in overburden loading and rock inclination angle will cause the sample to change from expansion to compression deformation. The change in layer thickness ratio will only affect the absolute value of deformation, but will not change the deformation trend of the sample.
- The expansion and compression deformation of sandstone interbedded with mudstone samples has obvious three-stage characteristics, 0~50 min for the rapid deformation stage, 50~200 min for the slow deformation stage, and 200 min later for the completed development stage. In addition, the deformation stability rate of the sample under load is obviously faster, which is about 5~7 times that under no load. However, when the overburden loading value exceeds the expansion force of the sample, the difference in the deformation stability period of the sample is not significant.
- The expansion force of the sample decreases with the increase in the layer thickness ratio level and the inclination angle of the rock layer, and the reduction ranges are 8.91~38.68% and 51.00~58.83%, respectively. Therefore, the influence of rock occurrence on the expansion force of the sample is more significant.
Author Contributions
Funding
Data Availability Statement
Conflicts of Interest
References
- Liu, X.; Chen, X.; Song, X. Physical simulation test on deformation and failure mechanism of soft and hard interbedded rock masses. Chin. J. Rock Mech. Eng. 2023, 42, 3980–3995. [Google Scholar] [CrossRef]
- Liu, Z.; Zhang, R.; Lan, T.; Zhou, Y.; Huang, C. Laboratory test and constitutive model for quantifying the anisotropic swelling behavior of expansive soils. Appl. Sci. 2024, 14, 2255. [Google Scholar] [CrossRef]
- Li, H.; Wang, J.; Li, H.; Wei, S.; Li, X. Experimental study on deformation and strength characteristics of interbedded sandstone with different interlayer thickness under uniaxial and triaxial compression. Processes 2022, 10, 285. [Google Scholar] [CrossRef]
- Wang, R.; Cheng, J.; Gao, L.; Li, Z.; Qi, Y.; Wang, M.; Ding, B. Research on the swelling mechanism of high-speed railway subgrade and the induced railway heave of ballastless tracks. Transp. Geotech. 2021, 27, 100470. [Google Scholar] [CrossRef]
- Maheshwari, P. Analysis of deformation of linear viscoelastic two layered laminated rocks. Int. J. Rock Mech. Min. Sci. 2021, 141, 104681. [Google Scholar] [CrossRef]
- Wu, Q.; Liu, Y.; Tang, H.; Kang, J.; Wang, L.; Li, C.; Wang, D.; Liu, Z. Experimental study of the influence of wetting and drying cycles on the strength of intact rock samples from a red stratum in the Three Gorges Reservoir area. Eng. Geol. 2023, 314, 107013. [Google Scholar] [CrossRef]
- Tian, Y.; Wu, F.; He, L.; Tian, H.; Huang, M.; Chen, W. Investigation of 3D printing sand core technology on the mechanical behaviors of soft–hard interbedded rock masses. J. Mater. Civ. Eng. 2023, 35, 04023440. [Google Scholar] [CrossRef]
- Luo, P.; Li, D.; Ma, J.; Zhou, A.; Zhang, C. Experimental investigation on mechanical properties and deformation mechanism of soft-hard interbedded rock-like material based on digital image correlation. J. Mater. Res. Technol. 2023, 24, 1922–1938. [Google Scholar] [CrossRef]
- Qin, Y.; Yang, G.; Liu, B.; Xu, J. Study on deformation and failure mechanism of low-dip red bed slope with soft-hard interbedded structure: A case study of Chishui, China. Nat. Hazards 2024, 1–19. [Google Scholar] [CrossRef]
- Chen, G.; Cai, P.; Zhan, J.; Yang, Y.; Yao, Z.; Yu, Z. Deformation patterns and failure mechanisms of soft-hard-interbedded anti-inclined layered rock slope in Wolong open-pit coal mine. Appl. Sci. 2024, 14, 3082. [Google Scholar] [CrossRef]
- Dai, Z.; Huang, K.; Chi, Z.; Chen, S. Model test study on the deformation and stability of rainfall-induced expansive soil slope with weak interlayer. Bull. Eng. Geol. Environ. 2024, 83, 76. [Google Scholar] [CrossRef]
- Goodman, R.; Bray, J. Toppling of rock slopes. proceedings, specialty conference on rock engineering for foundations and slopes. Boulder 1976, 2, 739–760. [Google Scholar]
- Zhang, B.; Tang, H.; Fang, K.; Ding, B.; Gong, Q. Experimental study on deformation and failure characteristics of interbedded anti-inclined rock slopes induced by rainfall. Rock Mech. Rock Eng. 2024, 57, 2933–2960. [Google Scholar] [CrossRef]
- Zhang, B.; Tang, H.; Sumi, S.; Ding, B.; Zhang, L.; Ning, Y. Exploring the deformation and failure characteristics of interbedded anti-inclined rock slopes: Insights from physical modelling tests. Rock Mech. Rock Eng. 2024, 57, 1603–1628. [Google Scholar] [CrossRef]
- Dong, M.; Zhang, F.; Lv, J.; Hu, M.; Li, Z. Study on deformation and failure law of soft-hard rock interbedding toppling slope base on similar test. Bull. Eng. Geol. Environ. 2020, 79, 4625–4637. [Google Scholar] [CrossRef]
- Ye, W.; Gao, C.; Liu, Z.; Wang, Q.; Su, W. A Fuzzy-AHP-based variable weight safety evaluation model for expansive soil slope. Nat. Hazards 2023, 119, 559–581. [Google Scholar] [CrossRef]
- Wyllie, D.; Wood, D. Stabilization of toppling rock slope failures. In Proceedings of the 33rd Highway Geology Symposium, Engineering Geology and Environmental Constraints in Vail, Colorado, 1982; Colorado Geological Survey: Denver, CO, USA, 1983. [Google Scholar]
- Wyllie, D. Toppling rock slope failures-examples of analysis and stabilization. Rock Mech. 1980, 13, 89–98. [Google Scholar] [CrossRef]
- Liu, Y.; Huang, D.; Peng, J.; Guo, Y. Analysis of the effect of rock layer structure on the toppling failure evolution of soft-hard interbedded anti-dip slopes. Eng. Fail. Anal. 2023, 145, 107005. [Google Scholar] [CrossRef]
- Wang, R.; Zheng, Y.; Chen, C.; Zhang, W. Theoretical and numerical analysis of flexural toppling failure in soft-hard interbedded anti-dip rock slopes. Eng. Geol. 2023, 312, 106923. [Google Scholar] [CrossRef]
- Yu, J. Study on reasonable construction method for tunnels in contact zone of red clay and sandstone interbedded with mudstone. Mod. Tunn. Technol. 2021, 58, 174–181. [Google Scholar] [CrossRef]
- Zhao, D.; Ji, Q.; Wang, G. Research on mechanical characteristics of large-span tunnels in bedding mudstone with sandstone strata. Tunn. Constr. 2021, 41, 740–748. [Google Scholar] [CrossRef]
- Zhao, D.; He, Q.; Ji, Q.; Wang, F.; Tu, H.; Shen, Z. Similar model test of a mudstone-interbedded–sandstone-bedding rock tunnel. Tunn. Undergr. Space Technol. 2023, 140, 105299. [Google Scholar] [CrossRef]
- Liu, W.; Chen, J.; Chen, L.; Luo, Y.; Shi, Z.; Wu, Y. Deformation evolution and failure mechanism of monoclinic and soft-hard interbedded strata: Study of muzhailing tunnel. J. Perform. Constr. Facil. 2021, 35, 04021042. [Google Scholar] [CrossRef]
- Chen, J.; Liu, W.; Chen, L.; Luo, Y.; Li, Y.; Gao, H.; Zhong, D. Failure mechanisms and modes of tunnels in monoclinic and soft-hard interbedded rocks: A case study. KSCE J. Civ. Eng. 2020, 24, 1357–1373. [Google Scholar] [CrossRef]
- Zhang, Z.; Wang, T. Failure modes of weak interlayers with different dip angles in red mudstone strata, Northwest China. Bull. Eng. Geol. Environ. 2023, 82, 156. [Google Scholar] [CrossRef]
- Wang, T.; Yan, C. Investigating the influence of water on swelling deformation and mechanical behavior of mudstone considering water softening effect. Eng. Geol. 2023, 318, 107102. [Google Scholar] [CrossRef]
- Dai, Z.; Guo, J.; Yu, F.; Zhou, Z.; Li, J.; Chen, S. Long-term uplift of high-speed railway subgrade caused by swelling effect of red-bed mudstone: Case study in Southwest China. Bull. Eng. Geol. Environ. 2021, 80, 4855–4869. [Google Scholar] [CrossRef]
- Wang, B.; Wang, Q.; Zhang, R.; Wang, T.; Zhang, T.; Liang, K. Large scale model test of water swelling deformation of mudstone under lateral confinement. J. Disaster Prev. Mitig. Eng. 2020, 40, 337–342. [Google Scholar] [CrossRef]
- Xue, Y.; Wang, Q.; Ma, L.; Wang, B.; Zhang, T. Experimental study on in-situ flooding response characteristics of mudstone foundation for high-speed railway. J. China Railw. Soc. 2020, 42, 144–150. [Google Scholar] [CrossRef]
- Yang, G.; Ding, J. Model test on expansion and shrinkage deformation in expansive soil roadbed. China J. Highw. Transp. 2006, 19, 23–29. [Google Scholar] [CrossRef]
- Duan, J.; Yang, G.; Liu, Y.; Kan, J.; Qiu, M. Deformation characteristics of double-line ballastless track subgrade under water immersion of expansive rock foundation. J. Cent. South Univ. Sci. Technol. 2020, 51, 156–164. [Google Scholar] [CrossRef]
- Cui, X.; Wang, Q.; Zhang, R.; Wang, C.; Xue, Y. Expansive deformation test on ballastless track of expansive mudstone. J. Railw. Sci. Eng. 2017, 14, 2339–2344. [Google Scholar] [CrossRef]
- Cao, Z. Field soaking tests on the moderate-strong expansive soil ground of the high-speed railway subgrade. J. Railw. Sci. Eng. 2022, 19, 3467–3476. [Google Scholar] [CrossRef]
- Duan, J.; Yang, G.; Liu, Y.; Kan, J.; Zhang, L. Influence of water immersion on mechanical and deformation behaviors of expansive soil subgrade for ballastless track. J. China Railw. Soc. 2022, 44, 119–126. [Google Scholar] [CrossRef]
- Zhao, S.; Zheng, J.; Yang, J. Stability analysis of embankment slope considering water absorption and softening of subgrade expansive soil. Water 2022, 14, 3528. [Google Scholar] [CrossRef]
- Lan, T.; Zhang, R.; Yang, B.; Meng, X. Influence of swelling on shear strength of expansive soil and slope stability. Front. Earth Sci. 2022, 10, 849046. [Google Scholar] [CrossRef]
- Li, J.; Wang, Q.; Zhang, R.; Zhang, T.; Wang, T.; Liang, K. Experimental study on swelling law of expansive soil during humidification. Hydro-Sci. Eng. 2018, 3, 86–94. [Google Scholar] [CrossRef]
- Zuo, Q.; Li, P.; Li, X.; Chen, F. Swelling damage evolution of argillaceous slate in a water-rich environment. Q. J. Eng. Geol. Hydrogeol. 2023, 56, qjegh2022-128. [Google Scholar] [CrossRef]
- Kang, Y.; Gu, J.; Wei, M. Mechanical properties and acoustic emission characteristics of soft-hard interbedded rocks under different loading rates. J. Northeast. Univ. (Nat. Sci.) 2023, 44, 399–407. [Google Scholar] [CrossRef]
- Huang, F.; Zhou, Y.; Li, T.; Hu, X. Laboratory experimental study on mechanical properties and failure modes of soft and hard interbedded rock mass. J. China Coal Soc. 2020, 45, 230–238. [Google Scholar] [CrossRef]
- Han, B.; Fu, Q.; Wang, C. Numerical simulation for creep characteristics of soft and hard interphase rock mass. J. Phys. Conf. Ser. 2020, 1600, 012075. [Google Scholar] [CrossRef]
- TB 10102-2023; Specification for Soil Test of Railway Engineering. China Railway Publishing House: Beijing, China, 2023.










| Model Number | Measuring Center Distance | Measuring Range | Repeatability | Diameter of Light Speed | Straightness | Supply Voltage | Installation Mode |
|---|---|---|---|---|---|---|---|
| HG-C1200 | 200 mm | ±80 mm | 70 μm | About 50 μm | ±0.1% F.S | 24 V | Support |
| Rocks Samples | Natural Water Content (%) | Natural Density (g/cm3) | Dry Density (g/cm3) | Particle Density (g/cm3) | Optimal Water Content (%) | Single-Axis Compressive Strength (MPa) | Expansion Ratio (%) | Expansion Force (MPa) | Cohesive Force (MPa) | |
|---|---|---|---|---|---|---|---|---|---|---|
| Natural | Drying | |||||||||
| Mudstone | 19.17 | 2.07 | 2.47 | 2.77 | 21 | 0.964 | 20.4 | 1.3 | 0.055 | 11.3 |
| Sandstone | 13.19 | 2.30 | 2.60 | 2.69 | 13 | 0.748 | 6.98 | 0.1 | 0.015 | 30.0 |
| Level | Investigation Factors | ||
|---|---|---|---|
| Thickness Ratio (Sandstone: Mudstone) | Occurrence | Loading | |
| 1 | 1:1 | Flat Layer (the inclination angle is 0°) | 0 kPa |
| 2 | 2:1 | Oblique Layer (the inclination angle is 30°) | 12.5 kPa |
| 3 | 3:1 | Vertical Layer (the inclination angle is 90°) | 25 kPa |
| Test Number | A (Thickness Ratio) | B (Occurrence) | C (Loading) | D (Blank Column) | Expansion and Compression Deformation Value (mm) |
|---|---|---|---|---|---|
| 1 | 1 | 1 | 1 | 1 | 2.28 |
| 2 | 1 | 2 | 3 | 2 | −0.61 |
| 3 | 1 | 3 | 2 | 3 | −0.22 |
| 4 | 2 | 1 | 3 | 3 | −0.06 |
| 5 | 2 | 2 | 2 | 1 | −0.19 |
| 6 | 2 | 3 | 1 | 2 | 1.12 |
| 7 | 3 | 1 | 2 | 2 | 0.10 |
| 8 | 3 | 2 | 1 | 3 | 0.99 |
| 9 | 3 | 3 | 3 | 1 | −0.20 |
| K1 | 1.450 | 2.320 | 4.390 | 1.890 | |
| K2 | 0.870 | 0.190 | −0.310 | 0.610 | |
| K3 | 0.890 | 0.700 | −0.870 | 0.710 | |
| k1 | 0.483 | 0.773 | 1.463 | 0.630 | |
| k2 | 0.290 | 0.063 | −0.103 | 0.203 | |
| k3 | 0.297 | 0.233 | −0.290 | 0.237 | |
| R | 0.193 | 0.710 | 1.753 | 0.427 |
| Thickness Ratio | Occurrence | Expansion Force (kPa) |
|---|---|---|
| Thickness Ratio 1:1 | Flat Layer | 19.08 |
| Oblique Layer | 14.53 | |
| Vertical Layer | 9.35 | |
| Thickness Ratio 2:1 | Flat Layer | 19.36 |
| Oblique Layer | 9.09 * | |
| Vertical Layer | 7.97 | |
| Thickness Ratio 3:1 | Flat Layer | 17.38 |
| Oblique Layer | 8.91 * | |
| Vertical Layer | 7.88 |
Disclaimer/Publisher’s Note: The statements, opinions and data contained in all publications are solely those of the individual author(s) and contributor(s) and not of MDPI and/or the editor(s). MDPI and/or the editor(s) disclaim responsibility for any injury to people or property resulting from any ideas, methods, instructions or products referred to in the content. |
© 2024 by the authors. Licensee MDPI, Basel, Switzerland. This article is an open access article distributed under the terms and conditions of the Creative Commons Attribution (CC BY) license (https://creativecommons.org/licenses/by/4.0/).
Share and Cite
Wang, Y.; Li, Y.; Qin, H.; Zhu, Y.; Yao, Y.; Jin, J.; Zheng, T.; Qian, Q.; Chen, D. Investigation into the Characteristics of Expansion and Compression Deformation of Interbedded Weak Expansive Rocks in Water Immersion. Buildings 2024, 14, 1901. https://doi.org/10.3390/buildings14071901
Wang Y, Li Y, Qin H, Zhu Y, Yao Y, Jin J, Zheng T, Qian Q, Chen D. Investigation into the Characteristics of Expansion and Compression Deformation of Interbedded Weak Expansive Rocks in Water Immersion. Buildings. 2024; 14(7):1901. https://doi.org/10.3390/buildings14071901
Chicago/Turabian StyleWang, Yaning, Yuchen Li, Haoyu Qin, Yangui Zhu, Yibo Yao, Jin Jin, Tao Zheng, Qingting Qian, and De Chen. 2024. "Investigation into the Characteristics of Expansion and Compression Deformation of Interbedded Weak Expansive Rocks in Water Immersion" Buildings 14, no. 7: 1901. https://doi.org/10.3390/buildings14071901
APA StyleWang, Y., Li, Y., Qin, H., Zhu, Y., Yao, Y., Jin, J., Zheng, T., Qian, Q., & Chen, D. (2024). Investigation into the Characteristics of Expansion and Compression Deformation of Interbedded Weak Expansive Rocks in Water Immersion. Buildings, 14(7), 1901. https://doi.org/10.3390/buildings14071901
