Parametric Modeling and Numerical Simulation of a Three-Dimensional Random Aggregate Model of Lime–Sand Piles Based on Python–Abaqus
Abstract
1. Introduction
1.1. Research on Mesoscopic Model Modeling
1.2. Research Ideas and Purposes
2. Meso-Model Modeling of Lime–Sand Pile
2.1. Aggregate Gradation Test
2.2. Determination of Basic Parameters of Aggregate
2.3. The Generation of Aggregate
2.4. Delivery of Aggregate
3. Numerical Simulation of Lime–Sand Pile Meso-Model
3.1. Determination and Verification of Microscopic Parameters
3.2. Mesh Generation of Mesoscopic Model
3.3. Static Simulation Analysis
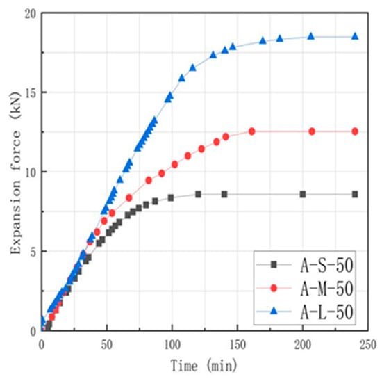
3.3.1. Different Mixing Ratio Simulation Analysis
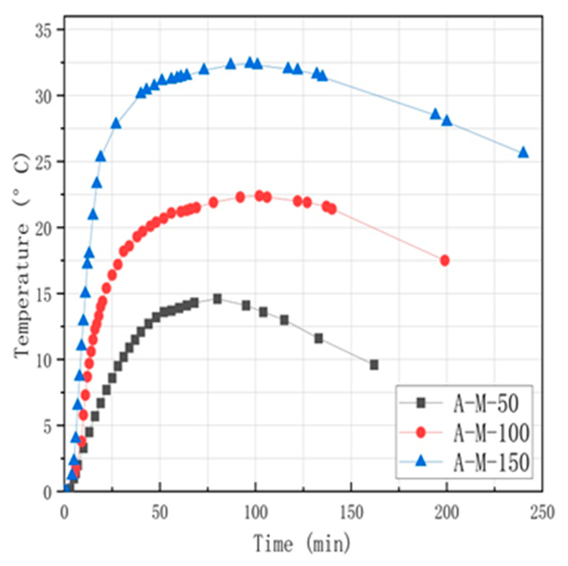
3.3.2. Simulation Analysis of Different Heights
4. Conclusions and Suggestions
- (1)
- The meso-modeling concept of lime–sand pile material is creatively proposed, the integrated generation algorithm for a spherical aggregate of different materials is developed, and the material properties and mesh generation are given by the algorithm. The Boolean intrusion discriminant algorithm is used to place the spherical aggregate, and the volume content of the aggregate is successfully improved. The obtained lime–sand pile meso-model satisfies the Fuller gradation. It is verified that the random aggregate model method can be applied to the meso-modeling of lime–sand piles. This paper effectively generates a meso-scale random model of lime–sand piles under various gradations.
- (2)
- Through numerical simulation, it is verified that under the same parameters such as height, particle size, and lime type, the expansion force increases with the increase in lime proportion, and the increase in expansion force is about 45% of that without increasing lime proportion, which is consistent with the experimental situation, but the reaction speed in the simulation is faster. The simulated expansion reaction force is similar to the experimental results of laboratory specimens, and the relative error is less than 3%.
- (3)
- Through numerical simulation, it can be verified that with the same mix ratio, particle size, and lime type, the expansion force changes little with the increase in height, which is consistent with the experimental situation. The simulated expansion reaction force is similar to the experimental results of laboratory specimens, and the relative error is less than 2%. It is verified that the change in height has no obvious effect on the expansion force.
- (4)
- Utilizing the Abaqus explicit solver, static numerical simulations of lime–sand pile specimens are conducted to verify the reliability of the meso-model obtained by the modeling algorithm presented in this paper. This model can be used for subsequent repeated tests or localized modifications.
Author Contributions
Funding
Data Availability Statement
Conflicts of Interest
References
- Chen, P.; Cui, Q. Application of Lime Soil Pile in Collapsible Loess Ground Treatment. Adv. Mater. Res. 2014, 1049–1050, 256–259. [Google Scholar] [CrossRef]
- He, Y.Q.; Zhu, Y.P. Theory and experiment of collapsible loess foundation treatment by expansion method. Civ. Build. Environ. Eng. 2009, 31, 44–48. [Google Scholar]
- Shabir, H.; Muhammad, F.; Ahmed, K.F.; Saeed, Z. Experimental evaluation of lime column as a ground improvement method in soft soils. SN Appl. Sci. 2021, 3, 799. [Google Scholar]
- Zhang, C.X.; Wang, J.L. Discussion on the effect of lime pile pre-melting treatment of island permafrost foundation. Low Temp. Build. Technol. 2022, 44, 167–170+174. [Google Scholar] [CrossRef]
- Yang, X.M.; Cheng, J.; Cai, H.C. Effect evaluation of application of quicklime pile composite foundation in island frozen soil area. J. Railw. Sci. Eng. 2022, 19, 941–948. [Google Scholar] [CrossRef]
- Wittmann, F.H.; Roelfstra, P.E.; Sadouki, H. Simulation and analysis of composite structures. Mater. Sci. Eng. 1985, 68, 239–248. [Google Scholar] [CrossRef]
- Liu, G.T.; Wang, Z.M. Numerical simulation of fracture of concrete materials by random aggregate model. J. Tsinghua Univ. (Nat. Sci. Ed.) 1996, 1, 84–89. [Google Scholar]
- Schlangen, E.; Van Mier, J.G.M. Simple lattice modle for numerical simulation of fracture of concrete materials and structures. Mater. Struct. 1992, 25, 239–248. [Google Scholar] [CrossRef]
- Walraven, J.C.; Reinhardt, H.W. Theory and experiments on the mechanical behavior of cracks in plain and reinforced concrete subject to shear loading. Heron 1991, 26, 26–35. [Google Scholar]
- Qin, W.P.; Yang, X.H.; Chen, C.Y. A fast random placement algorithm for three-dimensional convex concrete aggregate. Hydropower Energy Sci. 2006, 3, 39–42+99. [Google Scholar]
- Guan, Z.Q.; Gao, Q.H.; Gu, Y.X.; Song, C.; Shan, J. Establishment of three-dimensional finite element mesh model of composite mesostructure. Eng. Mech. 2005, S1, 67–72. [Google Scholar]
- Qin, W.; Du, C.B. Meso-level mechanical modeling of three-dimensional concrete based on CT slices. Eng. Mech. 2012, 29, 186–193. [Google Scholar]
- Avdeev, I.; Sobolev, K.; Amirjanov, A.; Hastert, A. Micromechanical Models of Structural Behavior of Concrete. MRS Online Proceeding Libr. Arch. 2010, 20, 1276–1290. [Google Scholar] [CrossRef]
- Zhu, L.; Dang, F.N.; Ding, W.H.; Xue, Y.; Zhang, L. Based on CT technology and gray level co-occurrence matrix theory, the mesoscopic damage evolution process of concrete under different loads is studied. J. Civ. Eng. 2020, 53, 97–107. [Google Scholar] [CrossRef]
- Yang, S.D.; Gao, Y.M.; Tao, Z.; Chen, W. Research on plastic damage coupling mechanical properties of concrete based on random aggregate model. J. Univ. South China (Nat. Sci. Ed.) 2023, 37, 47–52+94. [Google Scholar] [CrossRef]
- Sun, J.Y.; Xie, J.B.; Zhou, Y.; Zhou, Y. A 3D three-phase meso-scale model for simulation of chloride diffusion in concrete based on ANSYS. Int. J. Mech. Sci. 2022, 219, 107127. [Google Scholar] [CrossRef]
- Ma, B. Study on the Diffusion Characteristics of Sulfate Ions in Concrete Based on Random Aggregate Model. Master’s Thesis, Chongqing Jiaotong University, Chongqing, China, 2023. [Google Scholar]
- Liu, Y.T. Meso-Simulation Study on Compressive Properties of Recycled Concrete and Analysis of Influencing Factors. Master’s Thesis, Xi’an University of Technology, Xi’an, China, 2023. [Google Scholar]
- Wang, S.X. Study on the Size Effect of Compressive Strength of Fly Ash Geopolymer Concrete at High Temperature. Master’s Thesis, Xi’an University of Architecture and Technology, Xi’an, China, 2023. [Google Scholar]
- Liu, S.Y.; Miao, Y.C.; Li, M.H.; Selyutina, N.; Smirnov, I.; Liu, Y.; Zhang, Y. Numerical analysis of damage and deterioration of recycled thermal insulation concrete after high temperature. J. Taiyuan Univ. Technol. 2024, 10, 1–14. [Google Scholar]
- Wu, H.; Lu, S.Y.; Chen, D. Dynamic shear behavior of FRP-concrete bond interface based on concrete 3D mesoscopic model. Eng. Mech. 2024, 41, 1–16. [Google Scholar]
- Fang, Q.; Zhang, J.H.; Huan, Y.; Zhang, Y. Research on modeling method of three-dimensional mesoscopic model of fully graded concrete. Eng. Mech. 2013, 30, 14–21+30. [Google Scholar]
- Jiang, B.K.; Sun, W.J. Analysis of geometric model of recycled concrete random aggregate based on MATLAB programming language. Sichuan Cem. 2023, 6, 7–9+12. [Google Scholar]
- Cheng, S.H.; Ren, Z.G.; Li, P.P.; Shangguan, J. Numerical modeling of concrete three-dimensional random concave-convex aggregate based on LS-DYNA. J. Wuhan Univ. Technol. 2014, 36, 89–94+121. [Google Scholar]
- Tan, Y.W.; Wang, S.G.; Xu, F.; Liu, W.; Chen, X.; Ran, Y. The application status of COMSOL Multiphysics in the study of concrete durability. J. Silic. 2017, 45, 697–707. [Google Scholar] [CrossRef]
- Caballero, A.; López, C.M.; Carol, I. 3D meso-structural analysis of concrete specimens under uniaxial tension. Comput. Methods Appl. Mech. Eng. 2006, 195, 7182–7195. [Google Scholar] [CrossRef]
- Zhao, C.; Yang, Q.Y.; Zhong, X.G.; Shu, X.; Shen, M. Voronoi-RBSM coupling concrete mesoscopic modeling method. Eng. Mech. 2024, 40, 1–11. [Google Scholar]
- Guo, R.Q.; Ren, H.Q.; Zhang, L.; Long, Z.; Wu, X.; Li, Z. SHPB simulation study based on concrete meso-aggregate model. Vib. Impact 2019, 38, 107–116. [Google Scholar] [CrossRef]
- Xu, Q.; Zhou, X.S.; Cheng, Z.C. Random aggregate model and meso-mechanical analysis of concrete based on Ansys. J. Wuhan Univ. 2019, 52, 1035–1040+1047. [Google Scholar] [CrossRef]
- Jia, J.Y.; Wang, Z.R.; Xiao, K. Research on concrete crack propagation simulation system based on VC++ and ANSYS. Ind. Build. 2012, 42, 539–543+576. [Google Scholar] [CrossRef]
- Liang, J.; Lou, Z.K.; Han, J.H. Concrete aggregate modeling analysis based on AutoCAD. J. Water Conserv. 2011, 42, 1379–1383. [Google Scholar] [CrossRef]
- Cao, J.F.; Wang, X.C.; Kong, L. Application of Python Language in Abaqus, 2nd ed.; Machine Industry Press: Beijing, China, 2020; pp. 109–182. [Google Scholar]
- Qiao, Y.; Si, J.; Yuan, J.; Wang, Y.; Niu, X.; Ju, J.; Zhou, M.; He, L. Multi-Parameter Experimental Research on the Expansion Force Affecting Lime-Sand Piles under Preloading Pressure. Buildings 2024, 14, 1208. [Google Scholar] [CrossRef]
- Xu, Z.J. Monte Carlo Method; Shanghai Science and Technology Press: Shanghai, China, 1985. [Google Scholar]
- Wu, Y.H.; Xiao, Y.X.; Xu, Y.F. Establishment of three-dimensional meso-random model of concrete based on Python-Abaqus. J. Comput. Mech. 2022, 39, 566–573. [Google Scholar]
- Kerner, E.H. The elastic and thermos-elastic properties of composite media. Proc. Phys. Society. Sect. B 1956, 69, 808. [Google Scholar] [CrossRef]
- Hu, L.P.; Chen, X.D.; Zhu, X.Y.; Chen, C. Mechanical properties analysis and discrete element simulation of steel slag pervious concrete with different aggregate sizes. Compr. Util. Fly Ash 2022, 36, 69–75+132. [Google Scholar] [CrossRef]
- Pei, X.J.; Zhang, F.Y.; Wu, W.J.; Liang, S.Y. Physicochemical and index properties of loess stabilized with lime and fly ash piles. Appl. Clay Sci. 2015, 114, 77–84. [Google Scholar] [CrossRef]
- Zhang, Z.Q.; Li, Y.L.; Zhu, X.Y.; Liu, X. Meso-scale corrosion expansion cracking of ribbed reinforced concrete based on a 3D random aggregate model. J. Zhejiang Univ. -Sci. A (Appl. Phys. Eng.) 2021, 22, 924–941. [Google Scholar] [CrossRef]
- Zhang, X.R.; Cheng, Y.H.; Wu, H. Analysis of dynamic compression behavior of concrete based on 3D mesoscopic model. Explos. Impact 2024, 44, 023102. [Google Scholar]
- Zhang, X.F.; Tian, Y.; Qin, P.; Xiao, T.; Wu, J. Mesoscopic simulation of uniaxial tension of concrete with deformed aggregate based on cohesion model. Hydropower 2022, 48, 73–77. [Google Scholar]
- Ke, Y.; Deng, D.; Gao, F.; Zheng, K. Application of meso-mechanical homogeneous model in the evaluation of mechanical and thermal performance parameters of shale ceramsite aggregate. Concrete 2017, 10, 32–36. [Google Scholar]
- Yu, Q.; Chen, Z.; Yang, J.; Rong, K. Numerical Study of Concrete Dynamic Splitting Based on 3D Realistic Aggregate Mesoscopic Model. Materials 2021, 14, 1948. [Google Scholar] [CrossRef]














| Lime Type | Name | CaO + MgO | MgO | CO2 | SO3 | |
|---|---|---|---|---|---|---|
| Siliceous lime | Siliceous lime90 | CL90-Q | ≥90 | ≤5 | ≤4 | ≤2 |
| Type of Soil | Natural Water Content W (%) | Natural Density (g/cm³) | Plasticity Index | Compression Modulus (MPa) | Liquidity Factor | Shearing Strength | |
|---|---|---|---|---|---|---|---|
| C/kpa | Φ | ||||||
| Loess | 18.8 | 1.75 | 12.8 | 13.46 | <0 | 30.0 | 23.0 |
| Aggregate Type | Young’s Modulus (MPa) | Poisson’s Ratio | Natural Density (g/cm³) | Equivalent Coefficient of Linear Expansion (10−6/°C) |
|---|---|---|---|---|
| Lime matrix | 8000 | 0.30 | 2.50 | 9.40 |
| Sand aggregate | 105 | 0.20 | 1.50 | - |
| Loess aggregate | 23 | 0.40 | 1.75 | - |
| Aggregate Type | Grid Type | Grid Size | Element Number |
|---|---|---|---|
| Lime matrix | C3D4 | 3 mm | 634,800 |
| Sand aggregate | C3D4 | 1 mm | 932,225 |
| Loess aggregate | C3D4 | 1 mm | 233,056 |
| Category | Experimental Value (kN) | Simulation Value (kN) | Relative Error/% |
|---|---|---|---|
| S-4:5:1 | 8.58 | 8.81 | 2.68 |
| M-5:4:1 | 12.37 | 12.61 | 1.94 |
| L-6:3:1 | 18.48 | 18.89 | 2.22 |
| Groups | Experimental Value (kN) | Analogue Value (kN) | Relative Error/% |
|---|---|---|---|
| M-50 | 12.37 | 12.61 | 1.94 |
| M-100 | 12.42 | 12.57 | 1.21 |
| M-150 | 12.33 | 12.52 | 1.54 |
Disclaimer/Publisher’s Note: The statements, opinions and data contained in all publications are solely those of the individual author(s) and contributor(s) and not of MDPI and/or the editor(s). MDPI and/or the editor(s) disclaim responsibility for any injury to people or property resulting from any ideas, methods, instructions or products referred to in the content. |
© 2024 by the authors. Licensee MDPI, Basel, Switzerland. This article is an open access article distributed under the terms and conditions of the Creative Commons Attribution (CC BY) license (https://creativecommons.org/licenses/by/4.0/).
Share and Cite
Yuan, J.; Si, J.; Qiao, Y.; Sun, W.; Qiao, S.; Niu, X.; Zhou, M.; Ju, J. Parametric Modeling and Numerical Simulation of a Three-Dimensional Random Aggregate Model of Lime–Sand Piles Based on Python–Abaqus. Buildings 2024, 14, 1842. https://doi.org/10.3390/buildings14061842
Yuan J, Si J, Qiao Y, Sun W, Qiao S, Niu X, Zhou M, Ju J. Parametric Modeling and Numerical Simulation of a Three-Dimensional Random Aggregate Model of Lime–Sand Piles Based on Python–Abaqus. Buildings. 2024; 14(6):1842. https://doi.org/10.3390/buildings14061842
Chicago/Turabian StyleYuan, Jia, Jianhui Si, Yong Qiao, Wenshuo Sun, Shibo Qiao, Xiaoyu Niu, Ming Zhou, and Junpeng Ju. 2024. "Parametric Modeling and Numerical Simulation of a Three-Dimensional Random Aggregate Model of Lime–Sand Piles Based on Python–Abaqus" Buildings 14, no. 6: 1842. https://doi.org/10.3390/buildings14061842
APA StyleYuan, J., Si, J., Qiao, Y., Sun, W., Qiao, S., Niu, X., Zhou, M., & Ju, J. (2024). Parametric Modeling and Numerical Simulation of a Three-Dimensional Random Aggregate Model of Lime–Sand Piles Based on Python–Abaqus. Buildings, 14(6), 1842. https://doi.org/10.3390/buildings14061842

