Abstract
This study introduces a new internal diaphragm joint to connect steel beams with wall-type concrete-filled steel tubular (WCFST) columns. This study combines experimental research with numerical simulations for analysis. Firstly, one full-scale test specimen was designed and subjected to cyclic loading. The obtained failure mode and hysteresis curves illustrate that the joint specimens exhibit ample energy dissipation capacities. Subsequently, a reliable FE model was obtained based on experimental verification, and parametric analysis was conducted. The findings indicate that axial compression ratios critically affect the load-carrying capacity and displacement at failure, with a 2% reduction in capacity for each 0.1 increment in the ratio. The thicknesses of the column web and flange in the joint area are recommended to be 0.85 to 1.2 times and 1 to 1.2 times the beam flange thickness, respectively. The length of the internal diaphragm is advised to be between 0.2 and 0.3 times the width of the cross-section. Overall, these results significantly enrich our understanding of WCFST systems and will inform future design and construction best practices.
1. Introduction
In China, the drive toward industrializing building construction has significantly supported the proliferation of prefabricated steel-structured buildings [1]. This initiative is robustly supported at multiple governmental levels, including national, provincial, and municipal [2,3]. Among the technologies propelling this trend, concrete-filled steel tubular (CFST) columns are prominent due to their remarkable structural performance, cost-efficiency, and speed of construction [4,5]. These columns are extensively used in high-rise prefabricated buildings. Yet, their conventional designs often result in columns that extend beyond the wall line in residential applications, which can interfere with architectural aesthetics and functionality. Wall-typed CFST (WCFST) columns represent a design evolution aimed specifically at overcoming this challenge by aligning the column’s width with that of the building wall. This innovation not only prevents protrusions, thereby preserving the interior space integrity, but also significantly upgrades the quality of assembled steel-structured houses [6,7,8]. This approach reflects an advanced integration of structural functionality and architectural design, yielding more efficient and aesthetically pleasing living spaces.
Beam–column joints are crucial force transmission pathways in structural connections. The internal diaphragm joint is the most common type of joint utilized in CFST columns. Pioneering research on this joint configuration has been conducted by Nishiyama and Fujimoto, among others [9,10,11,12], who have extensively studied diaphragm joints and internal diaphragm joints equipped with stiffening ribs. Their findings affirm that the initial stiffness of most joint specimens aligns well with theoretical predictions, manifested through high stiffness, robust ductility, and excellent seismic resistance capabilities. Further explorations by Dawe [13] on CFST columns connected to H-beams, featuring both tension and compression reinforcement plates, as well as reinforced end plates, reveal that such reinforcements significantly enhance joint stiffness, thereby optimizing the material properties of steel beams. In a detailed investigation, Jianguo Nie [14,15] assessed several types of joints, including external ring plate joints, internal diaphragm joints, and bolt-anchored internal joints within steel tube concrete columns. Their studies, particularly focusing on three internal diaphragm joints under low-cyclic reciprocating load tests, elucidated that internal diaphragms adeptly transmit both beam end moments and shear forces. Notably, while these joints generally demonstrate high ductility and load-bearing capacities, their mechanical performance excels, particularly during beam-end failures. Conversely, joint performance is compromised during domain or weld failures. Expanding on these research foundations, Lü Xilin [16] collaborated with Tanaka Kiyoshi from the Fujita Technological Research Institute in Japan to develop a series of cross-shaped internal diaphragm joints. Their collective experimental work, which involved analyzing strains in steel beams, internal diaphragms, and column flange areas of the joint region, provided deeper insights into the joint domain’s force transmission mechanisms and the influence of various joint configurations on mechanical performance.
Traditional internal diaphragm joints, however, pose significant challenges in concrete casting within WCFST columns due to their restrictive cross-sectional widths. Addressing the unique sectional characteristics of WCFST columns, Liu and Huang [17,18,19] introduced an innovative side-plate connection joint, which, despite delivering commendable seismic performance, detrimentally influences the aesthetic integrity of buildings due to its external positioning on column walls. In response to these challenges, this study pioneers a novel internal diaphragm joint specifically designed for WCFST columns that adeptly resolves concrete casting difficulties. As delineated in Figure 1, this new joint configuration entails pre-welding a fixed-length internal diaphragm with the column’s steel plate at the factory, notably omitting vertical diaphragms within WCFST columns. Following this initial assembly, upper and lower column segments are welded together in the factory to form a unified column structure. Onsite, steel beams are connected to the columns using traditional internal diaphragm joint techniques. This newly introduced joint replaces traditional configurations with four smaller-sized internal diaphragms, excluding vertical diaphragms from the steel tube concrete column walls. This modification not only simplifies the welding process but also enlarges the apertures for concrete pouring, thus enhancing the ease of concrete application and ensuring superior quality control over the concrete within the joint area.
Figure 1.
The novel internal diaphragm joint.
The aim of this study was to rigorously evaluate the seismic performance of WCFST column–beam joints equipped with internal diaphragms. This evaluation involved testing one full-scale specimen experimentally and analyzing 28 FE models. Comprehensive analyses were conducted to examine the failure patterns, load-bearing capacity, ductility, stiffness, and energy dissipation capabilities of these specimens. Through detailed discussions and reporting, this study provides an in-depth investigation of the structural responses and performance metrics under seismic loads. The findings from both experimental and FE analyses are instrumental in enhancing the design theory of these joints.
2. Experimental Program
2.1. Specimen Design
In this study, one specimen was designed following the “Standard for Design of Steel Structures” (GB50017-2017) [20], ensuring that their dimensions matched those used in actual engineering projects. Typical mid-column joints from these projects were selected as the primary focus of the research. Consequently, a specimen of beam-to-column joints, JD1, was meticulously fabricated for comprehensive analysis. The primary objective of this experiment was to assess whether the seismic performance of these joints satisfied the criteria established by relevant standards.
The steel column was divided into three sections and welded together at the factory. The upper and lower sections shared identical cross-sections, with dimensions D, B, t, and tf being 550 mm, 180 mm, 8 mm, and 6 mm, respectively. The middle section, which served as the joint domain, eliminated the central diaphragm tf and instead incorporated an internal diaphragm. The internal diaphragm measured 125 mm × 156 mm × 18 mm and was aligned with the upper and lower flanges of the steel beam. The steel beams were of H-shape, with dimensions Hb, Bb, twb, and tfb specified as 400 mm, 180 mm, 8 mm, and 14 mm, respectively. The column had a total height Hc of 2600 mm, while the beam had a total length Lb of 1600 mm.
The key features of the specimens are illustrated in Figure 2. The steel materials in JD1 were Q235B. For specimen fabrication, commercial concrete with a design grade of C30 was utilized.
Figure 2.
Drawing for manufacturing (in mm).
2.2. Material Properties
In accordance with the standard [21,22], three coupon tests were conducted for each steel plate (Figure 3). Table 1 presents the average mechanical properties obtained from the coupon tests, including the yield strength (fy), tensile strength (fu), elastic modulus (E), and elongation (δ). The measured yield-to-tensile strength ratios of Q235B steel consistently exceeded 1.3, and the elongation rates were all greater than 20%.
Figure 3.
Test of steel material properties. (a) Standard specimen size. (b) Standard specimens before stretching. (c) Standard specimens while stretching. (d) Standard specimens after pulling off.
Table 1.
Material properties of steel coupons.
Three standard concrete cubes (150 mm × 150 mm × 150 mm) were fabricated and cured under the same conditions as the joint specimens. The concrete cubes were tested in accordance with GB50010-2010 [23]. The test results are presented in Table 2 and Figure 4, including the compressive strength test value for cubic specimens (fcu), the average value from the compressive strength test for concrete specimens (fcu,m), the standard compressive strength value for cubic specimens (fcu,k), the compressive strength in the axial direction (fck), and the average axial compressive strength (fcm). The derivation of these values follows specific formulas: Formula (1) is used to calculate the standard compressive strength value for cubic specimens (fcu,k). Formula (2) is used to determine the compressive strength in the axial direction (fck), and Formula (3) is used to derive the average axial compressive strength (fcm). In these formulas, represents the standard deviation of the cubic strength, and denotes the coefficient of variation for concrete.
Table 2.
Material properties of concrete cubes.
Figure 4.
Test of concrete material properties.
2.3. Test Setup
Quasi-static testing methods on structures are currently one of the most widely used methods for studying the force and deformation characteristics of structures or structural components. These tests apply specific loading or displacement control to subject specimens to low-cycle repeated loading, leading to a test method where specimens are subjected to forces from the beginning until failure, thus revealing the non-elastic load-deformation characteristics of structures or structural components.
This experiment utilized a quasi-static testing method, applying repeated horizontal loads under a constant axial load. Figure 5 illustrates the experimental apparatus used. For this test, with considerations from actual engineering practices, the axial compression ratio of the column was set at 0.47, while the applied vertical load amounted to 1740.58 kN. Additionally, to facilitate horizontal free sliding, a roller was positioned between the jack and the reaction beam. This arrangement ensured the maintenance of a constant vertical load even as the reciprocating horizontal load was executed. The imposed axial load corresponded to approximately 40% of the column’s ultimate load capacity. To administer the lateral cyclic load at the mid-point of the loading beam, an MTS hydraulic actuator with a stroke capacity of ±250 mm was employed. The end of the beam was connected to the base beam via a linkage rod, which permitted unfettered horizontal movement of the beam end. This linkage rod was equipped with a precision sensor that effectively measured the vertical force exerted on the beam end, ensuring accurate data collection during the experiment.
Figure 5.
Experimental apparatus.
The configuration of measurement points is detailed in Figure 6. Here, D1 to D5 denote linear variable differential transformers (LVDTs) strategically placed to measure the horizontal displacement along the height of the column. R1 and R2 are inclinometers tasked with assessing the rotation angle of the steel beam. Additionally, M1 represents a magnetostrictive displacement sensor designed to measure the horizontal displacement at the loading point. Furthermore, 27 strain gauges were installed in the plastic hinge zones of the column and beam. These gauges are critical for recording longitudinal, transverse, and shear strains, providing comprehensive data essential for analyzing structural behavior under varying loads. This setup ensures the precise monitoring and reporting of structural responses, which is vital for accurately evaluating the system’s performance during testing.
Figure 6.
The layout of the measurement points.
Before formal loading, preloading was performed to eliminate gaps between different components. Subsequently, cyclic loading was carried out in accordance with the loading strategy depicted in Figure 7 (referencing [24]), where F, Fy, ∆, and ∆y are the horizontal load, yield load, horizontal displacement, and yield displacement, respectively. The test was stopped under the following conditions: (i) if the specimen showed signs of steel plate buckling, steel plate tearing, or concrete crushing; (ii) if it could not withstand the axial load or the horizontal load; and (iii) if the horizontal load decreased below 85% of the peak horizontal force. These stopping criteria were strategically implemented to prevent excessive damage to the apparatus and ensure safety during the experimental procedure.
Figure 7.
Loading strategy.
3. Test Results and Discussion
3.1. Failure Modes
As depicted in Figure 8, the primary failure mode for the specimens is bulging in the region where the beam flange and web are located. The dominant failure mode is the beam hinge mechanism, where the plastic hinge is situated at a distance from the column edge, specifically around 0.7 to 1.2 times the beam’s height.
Figure 8.
The destruction process of JD1.
For JD1, at a load level of 3∆y, slight twisting was observed on the outer flange of the top cover plate of the steel beam on the east side and the outer flange of the bottom support plate of the steel beam on the west side. At a load level of 3.5∆y, the load peaked. At this point, slight bulging was observed in the web plates of the steel beams on both the east and west sides. Specifically, the web plate of the east-side steel beam was concave toward the north, while that of the west-side steel beam bulged toward the south. Simultaneously, the buckling of the upper and lower flanges of the steel beams increased, and slight twisting occurred at the ends of the beams. At a load level of 4.0∆y, the buckling of the upper and lower flanges of the steel beams on both the east and west sides became more pronounced, and the bulging of the web plates of the beams was more evident. Additionally, there were six loud noises heard during the process. At a load level of 4.5∆y, the load-bearing capacity of the specimen had fallen below 80% of the peak load, indicating that the specimen had failed and could no longer sustain further loading. Consequently, the experiment was concluded.
3.2. Hysteresis Curves and Skeleton Curves
Figure 8 shows the hysteresis curves for the specimen, where P represents the lateral load and ∆ signifies the lateral displacement at the loading point. The force-measuring device of the MTS system was used to obtain the values of P, and the reading of M1 was used to obtain ∆, as indicated in Figure 6. In Figure 8, the following observations can be drawn: (1) Prior to yielding, the specimen remains in the elastic phase. During this stage, the relationship between the load and deformation is nearly linear, and there is no notable change in the slope of the curve. After unloading, the joint exhibits minimal residual deformation, allowing the hysteresis loop to effectively close in a very small area. This behavior signifies no significant stiffness degradation at this stage, and the energy dissipated is minimal. (2) After yielding, the joint transitions into the plastic phase. As the cyclic displacement increases, the slope of the loading curve gradually decreases, with the rate of decrease accelerating. When comparing the slopes of the successive loading curves, it is evident that each subsequent loading curve has a reduced slope relative to its predecessor, indicating a continuous degradation in component stiffness under repeated loading. In this phase, the area of the hysteresis loop continuously enlarges, and the loop cannot fully close and instead forms a continuous hysteresis curve. With further increases in cyclic displacement, the load-bearing capacity also increases until it reaches the ultimate load-bearing capacity. Upon continued loading, a descending segment appears in the hysteresis curve, indicating a decrease in the load-bearing capacity of the specimen. (3) Throughout the loading process, each loading or unloading curve exhibits a small segment of slippage. This phenomenon occurs because the end of the steel beam in the specimen is connected to the linkage rod via lug plates. The diameter of the pin is slightly smaller than the hole in the lug plate, resulting in an installation gap that facilitates this slippage. However, the hysteresis curves of the specimen appear robust and symmetrical overall, showing no significant pinching effects. Additionally, the hysteresis loops at different loading levels largely overlap, indicating that the joint specimen exhibits excellent deformation capability, strong energy dissipation capacity, and superior seismic performance.
In Figure 9, the skeleton curves for all test specimens are presented, and the following observations can be drawn: In the initial stages of loading, the specimen remains in the elastic phase, where the relationship between load and deformation is nearly linear. As the load increases, the specimen reaches its yield point and transitions into the plastic phase, causing the backbone curve to exhibit nonlinearity. The slope of this curve decreases as the load increases, indicating a gradual degradation in the specimen’s stiffness. As the loading continues to increase to the peak load, the specimen enters the failure stage, where its load-bearing capacity declines continuously. Overall, the backbone curves in both the pushing and pulling directions are very similar, highlighting consistent mechanical behavior under tensile and compressive stresses.
Figure 9.
Specimen skeleton curve.
Table 3 provides a comprehensive summary of the detailed test results for the specimen. It indicates that the yield loads of the specimens were approximately 0.80 times the peak loads. The θu values of all the specimens exceed 2.0%, indicating that their inelastic deformation capacity meets the inter-story drift angle requirements (0.02 radians) of GB 50011-2010 [23] and AISC 341-10 [24].
Table 3.
Summary of the test results.
3.3. Ductility
The yield displacement Δy and ultimate displacement Δu listed in Table 3 were used to calculate the ductility coefficient (μ) of each specimen.
The μ of the specimen was about 3.1, while that reported in previous research [16,17,18,19,25] was about 3.0. This indicates that the joint possessed inherent ductility without compromising the structural functionality of the building.
3.4. Energy Dissipation Capacities
To evaluate the energy dissipation capacities of the specimens, the area enclosed by the hysteresis curve can be considered. This can be expressed using the equivalent viscous damping coefficient (ζeq) and the cumulative energy dissipation. Specifically, ζeq can be calculated by taking the ratio of the area enclosed by curve ABCD in Figure 10 to the combined area of triangles OBE and OBF.
Figure 10.
Calculation of the equivalent viscous damping coefficient.
The cumulative energy dissipation for all specimens is presented in Figure 11. Notably, specimen JD1 exhibited an equivalent viscous damping ratio (ζeq,p) of 0.44. This performance stands out compared to previous studies in [26,27], which reported an equivalent viscous damping ratio of 0.176 for an outward-extending end-plate joint and approximately 0.3 for a double-side plate joint. Furthermore, the ζeq,p for a steel–concrete composite joint was estimated at 0.3, while an ordinary reinforced concrete joint typically exhibits a ratio of around 0.1. These comparisons illustrate that the seismic performance of JD1 is substantially better than that of the steel–concrete composite joint, indicating a superior capability in energy dissipation and overall seismic resilience.
Figure 11.
Cumulative energy dissipation curve.
3.5. Stiffness Degradation
Peak stiffness (Ki) is commonly used to assess stiffness degradation due to cumulative damage in structures. The calculation method for this metric is provided in Formula (6).
In the formula, Ki represents the stiffness value for the i cycle; +Fi and −Fi denote the positive and negative peak load values for the i cycle, respectively; and +Xi and −Xi are the positive and negative peak displacement values for the i cycle, respectively.
Figure 12 illustrates the stiffness degradation curves for the specimen. It is evident from these curves that the stiffness degradation occurs in a relatively uniform and gradual manner, with no significant abrupt reductions observed. This behavior suggests that the joint specimens possess robust energy dissipation capabilities, a desirable characteristic for enhancing seismic resilience in structural components.
Figure 12.
Stiffness degradation curve.
4. FE Analysis
4.1. FE Modeling
A sophisticated 3D finite element model of the proposed joint was developed using ABAQUS(2022), a nonlinear finite element (FE) analysis software. To effectively simulate concrete and steel, C3D8R and S4R elements were employed, respectively. These element types, S4R for shell elements and C3D8R for continuum elements, are renowned for their adaptability in most structural nonlinear analyses [28,29]. An optimal mesh density was established through a mesh convergence analysis, which balanced the need to minimize computational time while ensuring model accuracy. Consequently, small mesh sizes were selected for the FE model to enhance the resolution of the simulations. The interaction between the concrete and the inner surface of the steel tube was modeled using a surface-to-surface contact approach. A friction coefficient of 0.3 was assigned to this contact interface [30], reflecting realistic interaction conditions between these materials during stress application. This detail is critical for accurately capturing the joint’s behavior under load. Both physically and geometrically nonlinear analyses were conducted, taking into account the nonlinear effects of large displacements.
4.2. Material Modeling
This study used the dual-line dynamic reinforcement model [31] to describe the elastic–plastic behavior of steel, as shown in Equation (7).
where E and fy are from Table 1. E1 is the tangent modulus, which is taken as 0.01 E.
The concrete encapsulated within steel tubes is subjected to a high confining pressure owing to the constraining effect of the steel pipes, which enhances its compressive strength. Consequently, the stress–strain relationship for constrained concrete was utilized, with detailed parameters available in [32]. To accurately replicate the characteristics of the core concrete in the column, the damaged concrete plasticity model was employed, as detailed in a study by Yang et al. [33]. This model effectively simulates the nonlinear, inelastic behavior of concrete under various loading conditions, capturing both the damage and plastic deformation aspects critical to realistic structural analysis.
4.3. Applied Loads and Boundary Conditions
In the experiment, the bottom hinge of the wall-type steel pipe concrete column had a large torsional stiffness along the vertical axis, which could constrain the rotation of the specimen, and lateral support was set at the beam end. In the FE model, the bottom reference point Uy, Uz translational displacement, and the rotational displacement MZ along the vertical axis were constrained. Uy, Uz displacement constraints were set at the beam end. The specific constraints are presented in Figure 13.
Figure 13.
Model boundary conditions.
4.4. Confirmation of FE Modeling
To demonstrate the reliability of the numerical simulation, this comparison not only compares the current results but also validates them against experimental results in the WCFST column-to-beam connection detailed in the existing literature [34], namely DSP1.
Figure 14a shows the correlation between the hysteresis curves derived from both physical testing and finite element (FE) analyses of a particular specimen. Despite the finite element model demonstrating slightly improved performance in terms of load-bearing capacity, stiffness, and energy dissipation capabilities over the experimental results for the joint specimens, it is important to recognize the reasons for this difference. The FE analysis typically represents a more idealized experimental scenario, which does not account for the potential geometric initial imperfections and residual stresses that often arise during the specimen-fabrication process. Moreover, inherent limitations in laboratory testing, such as unavoidable errors stemming from friction and gaps, can further contribute to discrepancies between theoretical predictions and actual experimental outcomes. These differences underscore the importance of understanding the idealized nature of simulation results and the need for careful interpretation when comparing them to practical experiments.

Figure 14.
Comparison of tests and finite element analysis results. (a) Comparison of hysteresis curves in the experiment and finite element analysis. (b) Comparison of the experiment and finite element failure modes of JD1. (c) Comparison of the experiment and finite element failure modes of DSP1.
Additionally, Figure 14b details the failure modes observed in specimens JD1 and DSP1, where both the experimental and FE analysis results indicated that failure was primarily due to local buckling in the beam flanges. This consistency between the two methodologies highlights critical failure mechanisms. It also reaffirms the value of FE analysis as a predictive tool, albeit with an understanding of its limitations related to idealized conditions and the necessity to integrate empirical data to validate and refine theoretical models. This synergy between experimental and theoretical approaches is crucial for advancing structural engineering practices, ensuring both reliability and efficiency in the design and assessment of structural components.
5. Parametric Analysis
To evaluate the impact of variables such as the axial compression ratio, column web thickness, column flange thickness, and diaphragm length on the joint’s load-bearing capacity and ductility, 28 specimens were generated using the validated finite element (FE) model. All FEA specimens had the same geometric parameters as the test specimen JD1.
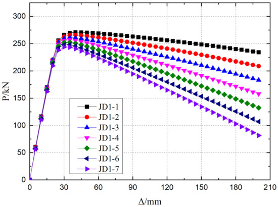
5.1. Effect of the Compression Ratio
This section delves into the influence of varying design axial compression ratios on the mechanical performance of joint specimens. The axial ratios examined were 0.2, 0.3, 0.4, 0.5, 0.6, 0.7, and 0.8. The detailed model parameters are outlined in Table 4.
Table 4.
Effect of the compression ratio.
Figure 15 illustrates the load–displacement curves of the joints subjected to different axial compression ratios, while Table 4 displays the associated differences in the load-bearing capacity and ductility across these ratios. A comparative analysis of these curves and the tabulated data allows for several key observations:
Figure 15.
Load–displacement curves of joints.
- (1)
- As the axial compression ratio increases, there is a noticeable yet modest decline in the yield load, ultimate load-bearing capacity, and failure load of the specimens. The reduction in load-bearing capacity with each incremental increase of 0.1 in the axial compression ratio is less than 2%, showing a relatively uniform rate of decrease. This illustrates that while the axial compression ratios influence the structural performance, the overall impact within the observed range is not severe.
- (2)
- Specimen ductility decreases as the axial compression ratio increases, although the rate of decrease progressively diminishes. By carefully managing the axial compression ratio in the design phase, desirable levels of ductility in the joints can be preserved. This control is critical for ensuring the structural responses remain predictable and manageable under load.
- (3)
- There is a slight effect of the axial compression ratio on yield displacement, which contrasts with its significant impact on failure displacement. Increasing the axial compression ratio reduces the failure displacement; this trend can mainly be attributed to the increment in the second-order effects post-yielding. As the axial load rises, these second-order effects become more pronounced, influencing the deformation characteristics and susceptibility to failure. The interaction between axial loads and bending moments highlights the importance of second-order analysis in structural assessments, particularly at higher axial compression ratios.
These findings highlight the critical importance of incorporating the axial compression ratio in both the design and evaluation phases of structural joints. Controlling this parameter offers a way to optimize joint performance, especially in terms of balancing load-bearing capacities with the requisite ductility for safety and serviceability. Adjustments to the axial compression ratio should, therefore, be made judiciously, with these behavioral trends in mind, to tailor the joint characteristics to specific engineering demands and compliance with design standards.
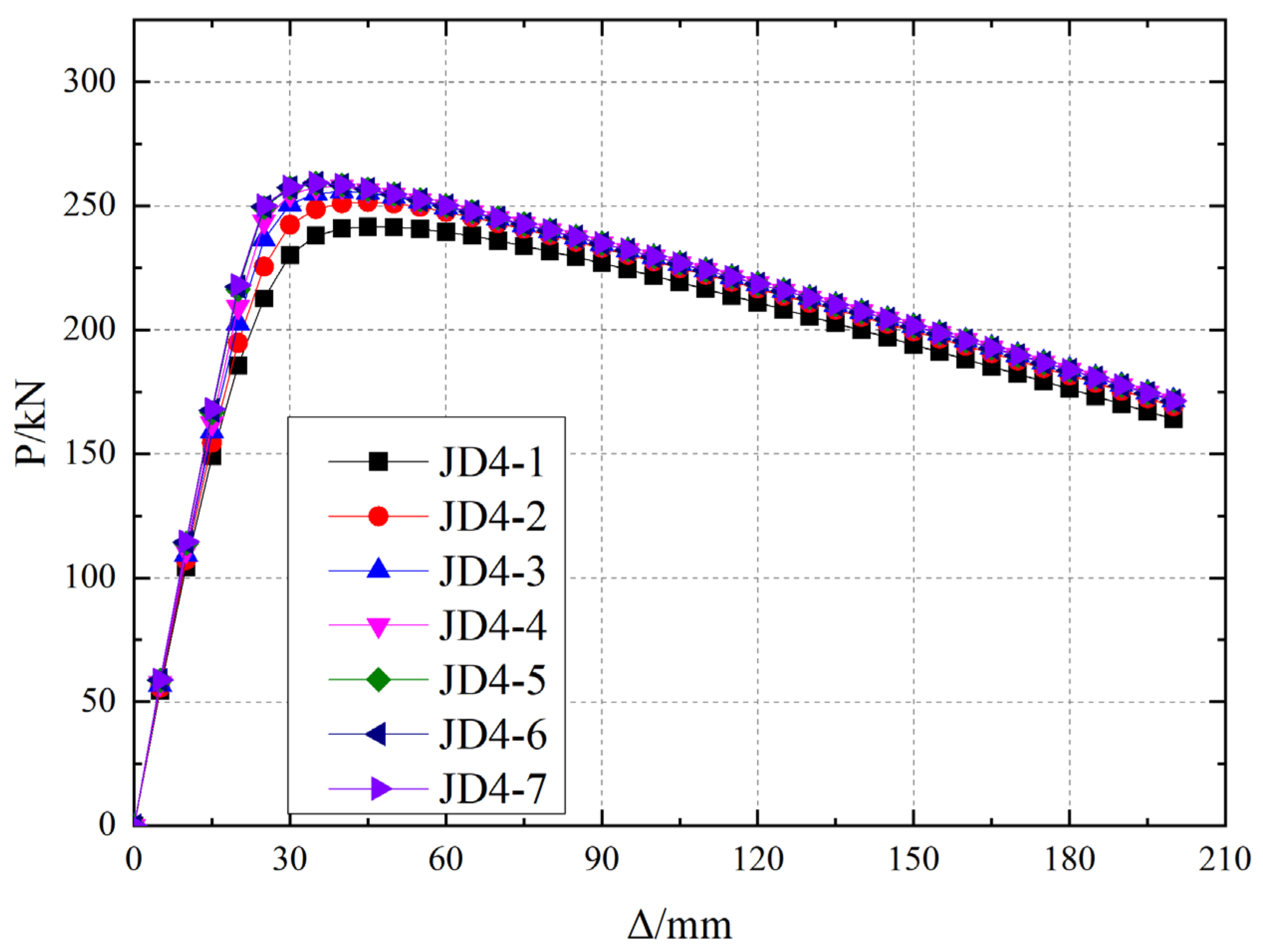
5.2. Effect of the Column Web Thickness
This section methodically explores the effects of varying web thicknesses within the joint region of columns on the load-bearing capacity and ductility of joints. Details regarding model parameters are outlined in Table 5.
Table 5.
Effect of the column web thickness.
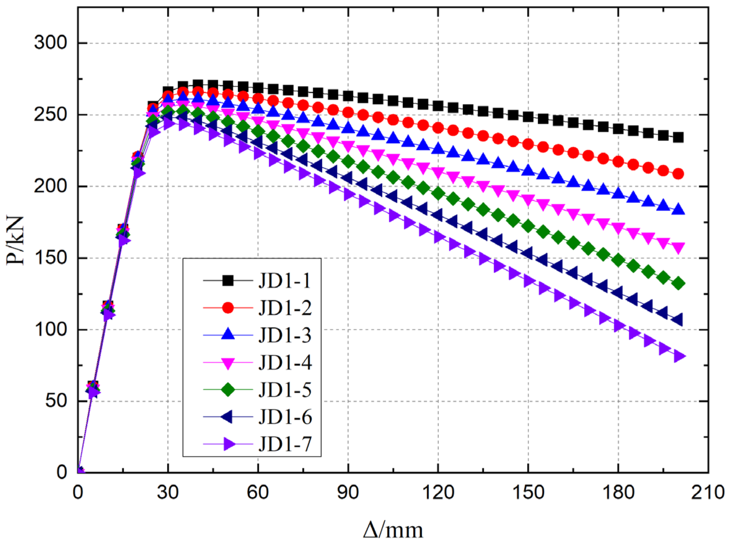
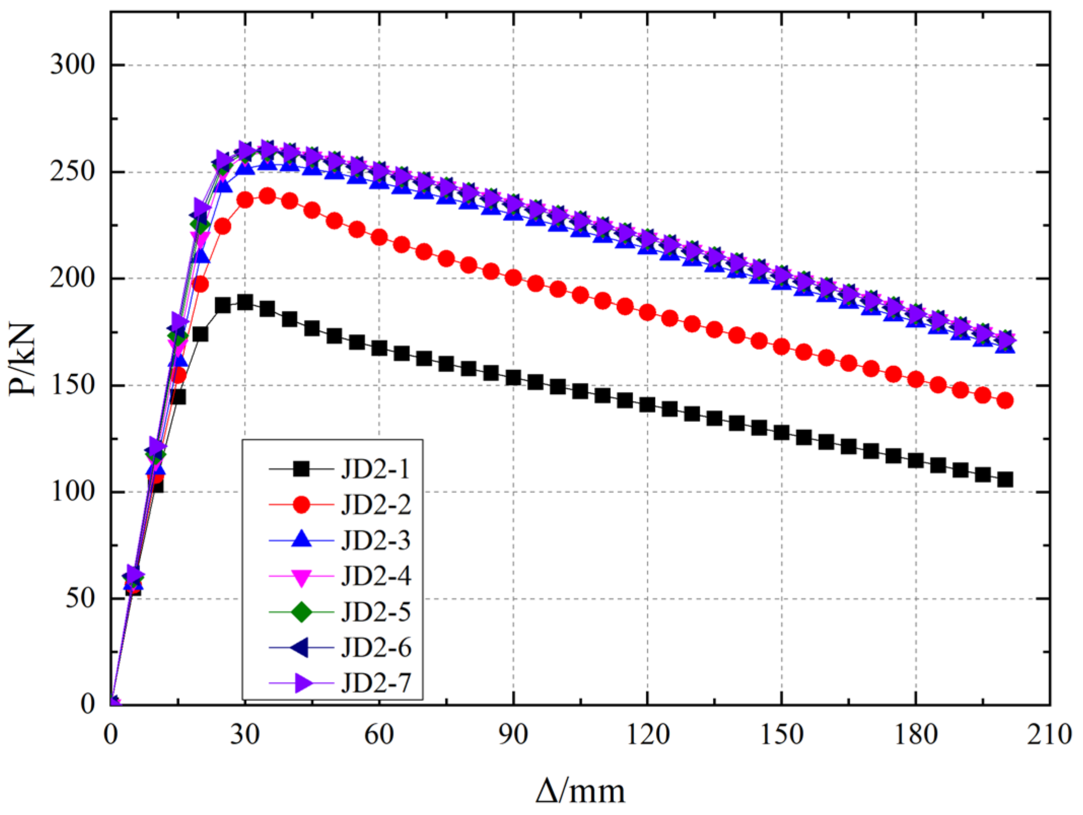
Figure 16 illustrates the load–displacement curves for joints subjected to different column web thicknesses, while Table 5 provides comparative data on the load-bearing capacity and ductility across these variations. The analysis of these curves and the tabulated data yields the following notable observations:
Figure 16.
Load–displacement curves of joints.
- (1)
- Insufficient web thickness in the joint region leads to a marked decline in the load-bearing capacity of the joints. Specifically, specimens JD2-1 and JD2-2 display significantly lower load-bearing capacities than other samples. With incremental increases in web thickness, there is a noted, albeit modest, enhancement in both the yield load-bearing capacity and the ultimate load-bearing capacity, with improvements ranging from 0.1% to 2.3%.
- (2)
- Initial increases in the web thickness substantially improve the ductility of the joint when starting from a relatively thin state. Nevertheless, as the web thickness approaches an optimal level, further increments yield diminishing returns in terms of enhancement in ductility, eventually leading to stabilization.
Figure 17 shows the stress contour plots that reveal the damage states of JD2-1, JD2-3, JD2-5, and JD2-7 under varying thicknesses of the column web in the joint region. Analyzing the stress distribution within each joint provides additional insights:
Figure 17.
Stress contour plots in the damage states. (a) JD2-1. (b) JD2-3. (c) JD2-5. (d) JD2-7.
- (1)
- JD2-1 and JD2-2 reach the yield stress early within the webs of the column in the joint area, leading to premature failure. This condition significantly compromises the load-bearing capacity of these joints, categorizing their failure mode explicitly as joint region failure.
- (2)
- JD2-3 features a plastic hinge that forms concurrently at the column web and beam ends. This intermediate state between joint region failure and beam end plastic hinge failure underlines the importance of ensuring adequate web thickness in the joint area during design considerations to circumvent this type of failure.
- (3)
- JD2-4 to JD2-7 demonstrate a typical failure mode of beam–column joints, characterized by the formation of plastic hinges at the beam ends. In these instances, regions connected to the beam ends and the internal diaphragm exhibit elevated stress levels, while most of the joint region remains within the elastic phase. Comparisons between Figure 17c,d indicate that an increase in column web thickness lessens the stress concentration, reduces the extent of plastic development, and subtly enhances both the load-bearing capacity and ductility of the joints.
Based on these findings, maintaining a prudently defined range regarding the thickness of the column web in the joint area is critical during design. A web that is too thin may fail to satisfy load-bearing capacity and ductility requirements, while excessively thick webs can lead to material inefficiency and increased costs. It is, therefore, recommended that the web thickness of the column in the joint region be set between approximately 0.85 and 1.2 times the thickness of the beam flanges in design specifications. This approach strikes a balance between structural performance and material efficiency.
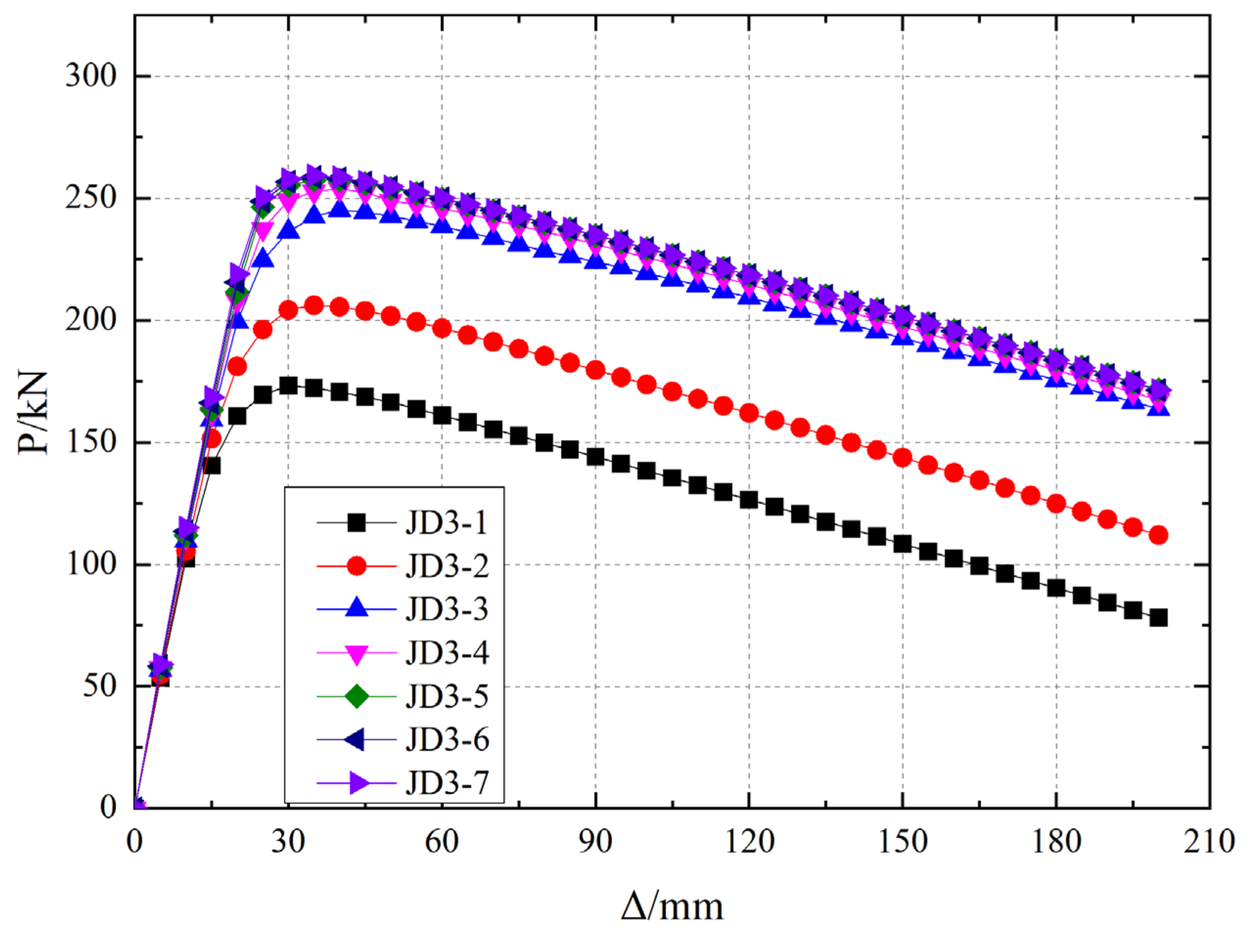
5.3. Effect of Column Flange Thickness
This section rigorously examines the effects of variations in the column flange thickness within the joint region on the load-bearing capacity and ductility of structural joints. The model parameters are comprehensively outlined in Table 6.
Table 6.
Effect of the column flange thickness.
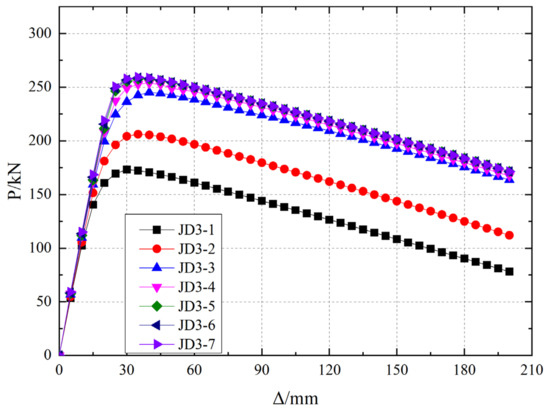
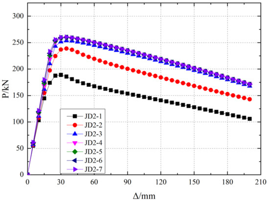
Figure 18 displays the load–displacement curves for the joints subjected to different column flange thicknesses, and Table 6 enumerates the corresponding variations in the load-bearing capacity and ductility. An analysis of these curves alongside the tabulated data yields several insights:
Figure 18.
Load–displacement curves of joints.
- (1)
- There is a pronounced enhancement in the yield load, ultimate load, and failure load of the joint as the thickness of the column flange in the joint area increases. Nonetheless, the rate of increase in load-bearing capacity diminishes as the flange thickness grows, transitioning from a rate of 20% to as low as 0.27%. The considerable variability in the load-bearing capacity among the samples JD3-1 to JD3-4 suggests that an insufficient column flange thickness substantially undermines the joint’s performance. Conversely, for samples JD3-5 to JD3-7, the load-bearing capacity differences are marginal, less than 0.5%, indicating that beyond a certain threshold, additional thickness does little to further bolster the load-bearing capacity.
- (2)
- For joint areas with a minimal flange thickness, enhancing the flange thickness significantly improves ductility. However, once the flange thickness is deemed sufficient, further increases only marginally affect ductility enhancement.
Figure 19 shows the stress contour plots that depict the damage states of JD3-1, JD3-3, JD3-5, and JD3-7 under various column web thicknesses in the joint region. Analyzing the stress distributions across each joint provides further understanding.

Figure 19.
Stress contour plots in the damage states. (a) JD3-1. (b) JD3-2. (c) JD3-3. (d) JD3-4. (e) JD3-5. (f) JD3-7.
- (1)
- For JD3-1 and JD3-2, yielding primarily occurs in the flanges of the steel beams, with most of the web retaining its elastic properties. Significant plastic development is observed in the column flange area of the joint, accompanied by noticeable bulging of the steel plates. The ultimate failure typifies a weak joint with failure localized in this area.
- (2)
- JD3-3 and JD3-4 exhibit considerable plastic deformation in the column flange area and slight bulging of the steel plates. Both the flanges and webs of the steel beams have transitioned to a plastic state. This condition indicates a critical state, where plastic hinges form simultaneously in the column flange area and at the beam ends.
- (3)
- In samples JD3-5 to JD3-7, aside from minor plastic development connected to steel beams, the rest of the column flange area remains largely elastic. This scenario exemplifies a failure mode designed to introduce plastic hinges predominantly at the beam ends, adhering to the “strong column, weak beam, and stronger joint” design principle. A comparison of Figure 19e,f demonstrates that an increased flange thickness gradually restricts the extent of plastic development in the joint area, subtly enhancing both the load-bearing capacity and ductility.
Given these findings, it is important to ensure that the thickness of the column flange in the joint area is neither too thin—to control excessive plastic development and uphold the design ethos of strong joints and weaker members—nor unduly thick—to prevent material overuse and waste. An optimal flange thickness of 1.0 to 1.2 times the thickness of the beam flange is advised for the column flange in the joint area, balancing structural efficacy with resource efficiency in design considerations.
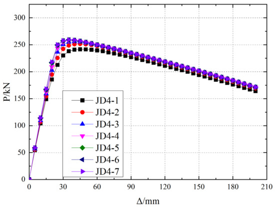
5.4. Effect of the Diaphragm Length
This section extensively explores the influence of varied diaphragm lengths on the load-bearing capacity and ductility of steel structure joints. Table 7 presents the specifics of the model parameters.
Table 7.
Effect of diaphragm length.
Figure 20 depicts the load–displacement curves for joints subjected to different diaphragm lengths, and Table 7 illustrates the variations in the load-bearing capacity and ductility corresponding to these lengths. From the analysis of these curves and the data in the table, important findings emerged:
Figure 20.
Load–displacement curves of joints.
- (1)
- An increase in the diaphragm length significantly enhances the yield load, ultimate load, and failure load of the specimens. A direct comparison between JD4-1 and JD4-2 showed considerable variability in the load-bearing capacity, with changes in the diaphragm length when it is relatively short. For instance, extending the diaphragm by 20 mm resulted in load-bearing capacity differences ranging from 1.7% to 4.3%. In contrast, for JD4-3 to JD4-7, where the diaphragm length was more optimal, further increases still improved the load-bearing capacity, though the increments were less substantial, with growth rates below 1%.
- (2)
- At shorter diaphragm lengths, modifications to the length markedly influenced the specimen’s ductility. However, once the diaphragm length reached an optimal value, increases in ductility tended to decelerate and eventually stabilize with further length increments.
Figure 21 displays stress contour plots that illustrate the damage states of JD4-1 through JD4-6 under varying diaphragm lengths. These visual comparisons of the stress distribution across each joint highlight the following insights:
Figure 21.
Stress contour plots in the damage states. (a) JD4-1. (b) JD4-2. (c) JD4-3. (d) JD4-4. (e) JD4-5. (f) JD4-7.
- (1)
- JD4-1 and JD4-2 showed significant plastic development in both the steel beams and joint regions. The formation of plastic hinges at both the column flanges and beam ends occurred nearly simultaneously, indicating a transitional state between joint failure and beam-end failure. This leads to these joints having a relatively lower load-bearing capacity.
- (2)
- JD4-3 to JD4-7 demonstrated a classic joint failure mode where plastic hinges were predominantly developed at the beam ends. With longer diaphragm lengths, the plastic development within the column’s web and flange in the joint region became increasingly confined, slightly enhancing the specimens’ ductility and load-bearing capacity.
- (3)
- The robustness of the joints, attributed to the columns’ flange and web thickness coupled with a relatively low beam-to-column stiffness ratio, prevented premature joint area failure, even with shorter diaphragm lengths. Variations in the diaphragm length could notably influence the timing and degree of plastic phase onset in the steel components of the joint, consequently affecting the mode of failure.
To prevent excessive plastic development within the joint area and ensure failure via plastic hinge formation at the beam ends, diaphragm lengths should not be excessively short. However, overly large diaphragm dimensions might complicate the concrete-casting process. Diaphragm lengths should be approximately 0.2 to 0.3 times the width of the cross-section to balance effective control of plastic development with practical considerations in construction and material efficiency.
6. Conclusions
Based on experimental and numerical investigations, this study introduced and examined a joint specifically designed for beam-to-WCFST column connections. The research findings enable several key conclusions:
- (1)
- The internal diaphragm joints designed for WCFST columns successfully met the seismic design principles of a “strong joint and weak member,” as evidenced by high ductility coefficients exceeding 3.1 and an equivalent viscous damping coefficient around 0.44. The plastic hinge tended to form at a distance of about 0.7 to 1.2 times the beam height from the column edge, indicating effective energy dissipation and failure prevention at critical points.
- (2)
- An increase in the axial compression ratio was correlated with reduced ductility in the specimens. Each 0.1 increase in the ratio resulted in a 2% decrease in the load-carrying capacity and altered displacement at failure. By carefully managing the axial compression ratio during design, enhanced ductility can be achieved, thereby optimizing joint performance. Additionally, the thickness of the column web and flange in the joint area is crucial in dictating the failure mode; an overly thin web or flange can lead to premature joint failure, whereas appropriate sizing can boost both ductility and load-bearing capacity.
- (3)
- For optimal performance, the thickness of the column web and flange in the joint area should be about 0.85 to 1.2 times and 1 to 1.2 times the thickness of the beam flange, respectively. Moreover, the recommended length of the internal diaphragm should range between 0.2 and 0.3 times the width of the cross-section. These specifications are crucial for ensuring the structural integrity and functionality of the joints in WCFST systems.
Overall, this study’s insights substantially broaden our understanding of WCFST systems and provide valuable guidance for future design and construction practices aiming to enhance safety and efficiency in seismic applications.
Author Contributions
H.L. (Hanchao Liu): methodology, investigation, software, and writing—original draft. H.L. (Honggang Lei): conceptualization and supervision. Y.H.: resources and supervision. Y.C.: methodology and writing—review and editing. F.X.: methodology. All authors have read and agreed to the published version of the manuscript.
Funding
This research received no external funding.
Data Availability Statement
Data are contained within the article.
Conflicts of Interest
Authors Yuqi Huang and Yongchang Chen were employed by the company Xi’an University of Architecture and Technology Design and Research Institute Co., Ltd. Author Feng Xu was employed by the company Xi’an Longhu Real Estate Development Co., Ltd. The remaining authors declare that the research was conducted in the absence of any commercial or financial relationships that could be construed as a potential conflict of interest.
References
- Hao, J.; Xue, Q. Research and Progress of Prefabricated-Steel-Structure Buildings; China Architecture & Building Press: Beijing, China, 2022; p. 262. [Google Scholar]
- General Office of the State Council. Notice of the General Office of the State Council on Printing and Distributing the Action Plan for Peaking Carbon Emissions by 2030; General Office of the State Council: Beijing, China, 2021; Volume 23. [Google Scholar]
- Kexin, B.Z.; Consulting Co. Ltd. China Prefabricated-Building Industry Policies [EB/OL]; Beijing Zhiren Kexin Consulting Co., Ltd.: Beijing, China, 2022. [Google Scholar]
- Wei, J.; Ying, H.; Yang, Y.; Zhang, W.; Yuan, H.; Zhou, J. Seismic performance of concrete-filled steel tubular composite columns with ultra high performance concrete plates. Eng. Struct. 2023, 278, 115500. [Google Scholar] [CrossRef]
- Zhang, X.; Liu, X.; Zhang, S.; Wang, J.; Fu, L.; Yang, J.; Huang, Y. Analysis on displacement-based seismic design method of recycled aggregate concrete-filled square steel tube frame structures. Struct. Concr. 2023, 24, 3461–3475. [Google Scholar] [CrossRef]
- Hao, J.P.; Sun, X.L.; Xue, Q.; Fan, C.L. Research and application of prefabricated-steel-structure building system. J. Eng. Mech. 2017, 34, 1–13. [Google Scholar] [CrossRef]
- Sun, X.L.; Hao, J.P.; Xue, Q.; Fan, C.L.; Liu, H.C.; He, M.N. Experimental study on seismic behaviour of walled concrete-filled steel tubular columns. J. Build Struct. 2018, 39, 92–101. [Google Scholar] [CrossRef]
- Hao, J.; Xue, Q.; Huang, Y.; Liu, H. Research of prefabricated building–based system theory. Xi’An Univ. Archit. Technol. (Nat. Sci. Educ.) 2019, 51, 14–20+26. [Google Scholar] [CrossRef]
- Nishiyama, I.; Morino, S.; Sakino, K.; Nakahara, H.; Fujimoto, T.; Mukai, A.; Inai, E.; Kai, M.; Fukumoto, T.; Mori, K.; et al. Summary of Research on Concrete Filled Structural Steel Tube Column System Carried Out under the US Japan Cooperative Research Program on Composite and Hybrid Structures; BRI Research Paper No. 147; Building Research Institute: Tsukuba, Japan, 2002. [Google Scholar]
- Nishiyama, I.; Fujimoto, T.; Fukumoto, T.; Yoshioka, K. Inelastic force-deformation response of jointshear panels in beam-column moment connections to concrete-filled tubes. J. Struct. Eng. 2004, 130, 244–252. [Google Scholar] [CrossRef]
- Fujimoto, T.; Inai, E.; Tokinoya, H.; Kai, M.; Mori, K.; Mori, O.; Nishiyama, I. Behavior of beam-to-column connection of CFT column system under seismic force. In Proceedings of the 6th ASCCS International Conference on Steel-Concrete Composite Structure, Los Angeles, CA, USA, 22–24 March 2000. [Google Scholar]
- Fujimoto, T.; Inai, E.; Kai, M.; Mori, K.; Mori, O.; Nishiyama, I. Behavior beam-to-colunm connetion of CFT colunm system. In Proceedings of the 12th WCEE World Conference on Earthquake Engineering, Auckland, New Zealand, 30 January–4 February 2000. [Google Scholar]
- Dawe, J.L.; Grondin, G.Y. W-shape beam to RHS column connections. Can. J. Civ. Engrg. 1990, 17, 788–797. [Google Scholar] [CrossRef]
- Nie, J.; Xu, G. Study on shear resistance properties of concrete column nodes of square steel tubes. J. Tsinghua Univ. (Sci. Technol.) 2009, 49, 798–802. [Google Scholar] [CrossRef]
- Nie, J.; Qin, K.; Zhang, G. A study on bending bearing capacity of block nodes in square steel tubular concrete column. J. Archit. Civ. Eng. 2005, 1, 42–49+54. [Google Scholar]
- Lü, X.; Li, X.; Xu, Y. Design method for connection of concrete column and steel beam of square steel tub. J. Tongji Univ. (Nat. Sci.) 2002, 1, 1–5. [Google Scholar]
- Huang, Y. Mechanical behaviors of side-plate joint between walled concrete-filled steel tubular column and H-shaped steel beam. Adv. Steel Constr. 2020, 16, 346–353. [Google Scholar]
- Liu, H.; Hao, J.; Xue, Q.; Sun, X. Seismic performance of a wall-type concrete-filled steel tubular column with a double-side-plate I-beam connection. Thin Walled Struct. 2021, 159, 107175. [Google Scholar] [CrossRef]
- Liu, H.; Hao, J.; Xue, Q.; Huang, Y.Q. Stress response and initial stiffness of side-plate connections to WCFT columns. Adv. Steel Constr. 2021, 17, 306–317. [Google Scholar]
- GB50017-2017; Standard for Design of Steel Structures. Standards Press of China: Beijing, China, 2017. Available online: https://www.chinesestandard.net/PDF/English.aspx/GB50017-2017 (12 December 2017).
- GB/T2975-2018; Sampling Positions and Sample Preparation for Mechanical Property Tests of Steel and Steel Products. Standards Press of China: Beijing, China, 2018.
- GB/T228.1-2010; Metallic Materials—Tensile Testing—Part 1: Method of Test at Room Temperature. Standards Press of China: Beijing, China, 2016.
- GB50011-2010; Code for Seismic Design of Buildings. 2016 Version; China Architecture & Building Press: Beijing, China, 2016.
- American Institute of Steel Construction Inc.—AISC. Seismic Provisions for Structural Steel Buildings; AISC: Chicago, IL, USA, 21 May 2002; Supplements 1 and 2. [Google Scholar]
- Yang, L.; Ye, M.; Huang, Y.; Dong, J. Study on mechanical properties of displacement-amplified mild steel bar joint damper. Iran. J. Sci. Technol. Trans. Civ. Eng. 2023, 1–14. [Google Scholar] [CrossRef]
- Wang, X. Behavior Research and Aseismic Design Criterion on New-Type Connections of Concrete-Filled Square Tubular Column and Steel Beam. Master’s Thesis, Xi’an University of Architecture & Technology, Xi’an, China, 2008. [Google Scholar]
- He, Y.; Huang, P.; Leng, Q.; Xiao, A. Study on shear carrying capacity of high-strength-bolts end-plate connection for concrete-filled square steel-tube column. Build Struct. 2010, 40, 83–86. [Google Scholar]
- ABAQUS Standard User’s Manual, version 5.8; Hibbit, Karlsson, Sorensen: Pawtucket, RI, USA, 1998.
- Han, L.; Yao, G.; Tao, Z. Performance of concrete-filled thin-walled steel tubes under pure torsion. Thin Walled Struct. 2007, 45, 24–36. [Google Scholar] [CrossRef]
- Jafari, A.; Beheshti, M.; Shahmansouri, A.A.; Bengar, H.A. Cyclic response and damage status of coupled and hybrid-coupled shear walls. Structures 2024, 61, 106010. [Google Scholar] [CrossRef]
- Shi, Y.; Wang, M.; Wang, Y. Experimental and constitutive model study of structural steel under cyclic loading. J. Constr. Steel Res. 2011, 67, 1185–1197. [Google Scholar] [CrossRef]
- Tao, Z.; Wang, Z.B.; Yu, Q. Finite element modeling of concrete-filled steel stub columns under axial compression. J. Constr. Steel Res. 2013, 89, 121–131. [Google Scholar] [CrossRef]
- Yang, S.L.; Zhang, L.; Zhang, J.B.; Fu, B.; Tong, G.; Jing, T. Seismic behavior of concrete-filled wide rectangular steel tubular (CFWRST) stub columns. J. Constr. Steel Res. 2022, 196, 107402. [Google Scholar] [CrossRef]
- Liu, H.; Lei, H.; Huang, Y. Seismic performance of the WCFTC-beams joint with high-strength double-side plates. J. Constr. Steel 2024, 218, 108727. [Google Scholar] [CrossRef]
Disclaimer/Publisher’s Note: The statements, opinions and data contained in all publications are solely those of the individual author(s) and contributor(s) and not of MDPI and/or the editor(s). MDPI and/or the editor(s) disclaim responsibility for any injury to people or property resulting from any ideas, methods, instructions or products referred to in the content. |
© 2024 by the authors. Licensee MDPI, Basel, Switzerland. This article is an open access article distributed under the terms and conditions of the Creative Commons Attribution (CC BY) license (https://creativecommons.org/licenses/by/4.0/).