Abstract
A novel three-dimensional isolation system consisting of thick rubber bearing (TNRB), disc spring bearing (DSB), and laminated rubber bearing (LRB) in series combination was designed, and its composition, principle, and isolation effect were comprehensively analyzed. By combining numerical examples, the whole structure method is used to compare and analyze the dynamic characteristics, dynamic response, and structural damage of large-span isolation structures containing new three-dimensional systems, large-span horizontal isolation structures based on LRB, and corresponding non-isolation structures under multi-dimensional seismic excitation. The results show that compared with the horizontal isolation structure based on LRB, the structure of the new three-dimensional isolation system has a 33% longer vertical natural vibration period, a 17.85% attenuation in the overall damage index, and a 36.86% increase in vertical energy dissipation capacity. It can achieve good isolation effects in both horizontal and vertical directions, which can form a favorable complement to the horizontal isolation structure based on LRB in terms of vertical isolation and energy dissipation.
1. Introduction
In recent decades, many earthquake disasters have occurred both domestically and internationally, causing not only heavy casualties but also significant damage and destruction to many buildings []. Theoretical and experimental studies [,,], as well as the occurrence of earthquake disasters [,,], have shown that technology of basic isolation can efficaciously reduce seismic damage to building structures. At present, the vast majority of basic isolation technologies adopt a reasonable structural design, which can obtain the optimal full life cost of isolation structures, greatly promoting the promotion and application of basic isolation technology and the sustainable development of the construction industry. Therefore, the technology of basic isolation has been widely used in earthquake-prone areas in many countries, especially in countries such as Japan and the United States [,]. In 2007, multiple departments of the National Natural Science Foundation of China jointly proposed a major research plan on “Dynamic Catastrophe of Major Projects”, which focused on studying the damage and rupture evolution process of major projects under strong earthquake conditions for eight years. The damage mechanism and collapse mechanism of major projects were revealed, and a simulation system for dynamic disasters of major projects was established [,,].
At present, domestic and foreign scholars have achieved some important results in the research of three-dimensional isolation technology [,,]. Researchers have developed many different and innovative 3D isolation devices based on air springs, disc springs, thick rubber, hydraulic energy storage units, etc. [,,]. Shi Yundong et al. [] analyzed the swing performance of three-dimensional isolation devices and studied the influence of source mechanism type and site category; Liu Yixin et al. [] developed a disc spring-self-resetting friction sliding three-dimensional isolation bearing and studied mechanical properties and application analysis in prefabricated frame structures. Zhang Lili et al. [] and He Wenfu et al. [] developed a sliding 3D seismic isolation device based on lead core rubber bearings, which can achieve decoupling of vertical and horizontal performance of the bearings. Eltahawy et al. [] studied the sway mechanism of three-dimensional isolation and the influence of structural and isolation layer design parameters on the sway performance. Takahashi et al. [] combined rubber bearings with air springs to form a three-dimensional seismic isolation device, which was applied to practical engineering buildings for analysis and research. In the current research on isolation bearings, research on three-dimensional isolation devices tends to focus more on their mechanical properties and seismic performance evaluation of isolation structures, while there is a relative lack of analysis and damage calculation for structures containing three-dimensional isolation devices (especially large-span structures). Furthermore, seismic time history records and related seismic damage data obtained from rare (especially) major earthquakes such as the Tangshan earthquake, Wenchuan earthquake, and Kumamoto earthquake in recent years, both domestically and internationally, indicate that in areas of high intensity, especially near fault seismic areas, the vertical component of seismic motion tends to be stronger, and even horizontal seismic effects may be exceeded, becoming the dominant cause of structural damage [,,]. Therefore, it is necessary to strengthen the research on the isolation effect of three-dimensional isolation structures further in order to promote the development and application of three-dimensional isolation structures.
This paper narrates a novel series of combination three-dimensional seismic isolation devices (TNRB-DSB-LRB) that include thick rubber layers, disc springs, and laminated rubber bearings and do not require additional vertical dampers. Basic mechanical performance tests were conducted on the device, and the correlation between compressive stress and shear strain in various directions of the support was analyzed. For the sake of investigating the vertical and horizontal isolation effects and damage calculation of TNRB-DSB-LRB, we used finite element software SAP2000 (20.1.0 edition) to establish three-dimensional solid models of large-span isolation structures based on the TNRB-DSB-LRB three-dimensional isolation system, large-span horizontal isolation structures based on LRB, and non-isolation structures. Multiple sets of artificial seismic waves were generated using MATLAB software (R2021a edition), and a comparative study was conducted on the dynamic characteristics of the three different structures and their structural dynamic response and multi-level damage calculation results under multi-point seismic and multi-dimensional excitation.
2. The Novel 3D Isolation System
2.1. Configuration
The novel three-dimensional isolation system is composed of thick rubber bearings (TNRB), disc spring bearings (DSB), and laminated rubber bearings (LRB) in series. Both laminated rubber bearings (LRB) and thick rubber bearings (TNRB) are made of alternating layers of thin steel plates and rubber sheets after high-temperature vulcanization. The difference is that thick natural rubber gaskets are used in thick rubber bearings (TNRB). The vertical stiffness value of TNRB will be changed by the adjustment of the number of thick rubber gaskets and the thickness of the rubber layer.
A disc spring assembly is a vertical isolation component composed of multiple disc springs stacked and aligned. It is set in the middle of the thick rubber support in the excavation, with the lower part constrained by the lower sealing plate, the upper part constrained by the outer guide tube, and at the same time constrained by the rigid inner guide tube. The bottom surface of the rigid inner guide tube is welded to the lower connecting plate, and its diameter is slightly smaller than the inner diameter of the disc spring group, considering installation errors. We simultaneously controlled the height of the inner guide tube to leave some space for the vertical deformation of the disc spring assembly. The vertical isolation component composed of thick rubber bearings and disc spring assembly is connected and fixed to the lower horizontal isolation bearing through high-strength bolts, forming a three-dimensional isolation system. The novel three-dimensional isolation system called TNRB-DSB-LRB is shown in Figure 1.
Figure 1.
The configuration diagram of TNRB-DSB-LRB: (a) cross-section view; (b) visual view.
2.2. Design Principle
2.2.1. Material Properties
Rubber is an isotropic material that can be simulated using the Mooney–Rivlin [] constitutive model with tensile strain smaller than 100% and compressive strain smaller than 30%. The strain energy of rubber materials could break down into two parts: strain bias energy as well as voluminal strain energy. Therefore, the strain energy density function can be written as a first-order polynomial as follows:
In the above formula, D1 indicates whether the material can be compressed, and D1 = 0 is a special case that means the material is incompressible. In this experiment, D1 is not 0; I1, I2, and J are related to the primary elongation λ1, λ2, λ3. I1 = λ12 + λ22 + λ32, I2 = (λ1λ2)2 + (λ2λ3)2 + (λ1λ3)2, J = λ1λ2λ3. I1 and I2 are invariants of deformation tensors. C1 and C2 are parametric variables, calculating their specific values by fitting the curve of rubber material test data, as shown in Figure 2. In the figure, according to the uniaxial tensile or compression test, t1 (t1-rubber material principal stress) under different λ1 is measured, with R = 1/λ1 as the horizontal coordinate, with S = t1/2 (λ12 − 1/λ1) as the longitudinal coordinate, the test data is returned to a straight line with a slope of C2 and an intercept of the Y axis of C1.
Figure 2.
Fitting data of the Mooney–Rivlin model.
The hardness of the rubber material used in this article is 42°. After fitting by the research group, the rubber constitutive model parameters C1 are determined to be 0.1964 MPa, C2 is 4.588 × 10−3 MPa, and D1 is 0 MPa []. According to experimental measurements, the shear modulus of rubber is 0.392 MPa. The steel in the new three-dimensional support is considered as linear elastic material. Q235 is used for the steel plate, sealing plate, and connecting plate in the thick rubber support, as well as the inner and outer guide tubes and limit tubes in the device. 60Si2MnA is used for the disc spring material; its elastic modulus is 206 MPa, and the Poisson’s ratio is 0.3.
2.2.2. Dimensional Design
The example in this paper is a 90 m span long-span isolation structure, which is a Class B building stipulated in the Current Code for Seismic Design of Buildings in China. It is necessary to ensure that the compressive stress borne by the support does not exceed the compressive stress limit of 12 MPa. Combined with the surface pressure requirements and the fundamental combining numerical value of the upper load required by the vertical isolation apparatus, the diameters of LRB and TNRB supports are determined to be 600 mm. The first and second shape coefficients S1 and S2 of LRB support are 37.50 and 3.85, respectively. According to the principle that the overall thickness of bearing rubber is the same, the S2 of TNRB of the thick rubber bearing is also 3.85. TNRB’s center vacated a hole for installing a disc spring, which is called DSB; the outer diameter of the DSB is 250 mm, and the installation allowance is 10 mm, so the first shape factor S1 of the TNRB is 7.08.
Based on engineering experience, D/d is generally taken as 1.7–2.5. DSB used in the article is offered by Jiuguang Spring Co., Ltd. (in Shanghai, China), as shown in Figure 3. The internal angle of the disc spring is β, the loading force is P, the outer diameter D is 250 mm, the inner diameter d is 127 mm, the thickness t is 14 mm, the free height H is 19.6 mm, the ultimate displacement h0 is 5.6 mm, and D/d = 1.97. According to the requirements of overall bearing capacity and overall deformation, the disc spring assembly is determined to be composed of four disc springs stacked in four pairs. Due to limited support space, the disc spring assembly needs to be preloaded with a pre-pressed amount of 5.8 mm.
Figure 3.
Specific calculation diagram of disc spring components.
2.2.3. Vertical Stiffness Design
The three-dimensional isolation system adopts a series combination structure, and the lower horizontal isolation component LRB has smaller horizontal stiffness and larger vertical stiffness. Vertical stiffness of the vertical isolation apparatus is appropriately reduced compared to LRB, while in the horizontal direction, DSB has a much greater horizontal stiffness because of the existence of rigid guide rods. Accordingly, the total horizontal stiffness KH of TNRB-DSB-LRB could be regarded as equivalent to the horizontal stiffness KH1 of LRB. Overall vertical stiffness KV is calculated in series based on the vertical stiffness KV1 of LRB, KV2 of DSB, and KV3 of TNRB, as shown in Equations (2) and (3).
In the above formula, n1 represents the quantity of disc springs; n is the quantity of overlapping layers of disc springs; K is the stiffness of a single disc spring, which could be obtained from Formula (4).
In Equations (4) and (5), α is the damping index; d1 and d2 are the internal diameter and external diameter of the disc spring, respectively; h0 and b are the inner cone height and thickness of the disc spring, respectively; f, μ, and E are deformation, friction factor, and elastic modulus, respectively; C is the ratio of the external diameter of the disc spring to the inner diameter, that is, D/d.
3. Mechanical Performance Test of the Bearing
3.1. Test Mechanism and Test Specimens
As for the relevant parameters of the test device and specimens, since the tests of several support models in our research group were completed together, the test device used was the same as some specimens, and some parameters were referred to another article published by the research group []. Vertical parametric variables of compression shear test apparatus are a maximum vertical pressure of 20,000 kN, maximum vertical tension of 6000 kN, maximum vertical displacement stroke of 700 mm, and maximum speed of 3 mm/s. The horizontal parameters are a maximum shear test force of ±6000 kN, displacement stroke of ±600 mm, and maximum speed of 10 mm/s. The experimental equipment loading device test diagram is shown in Figure 4 below.
Figure 4.
Experimental loading device.
Two specimens with a diameter of 600 mm were experimentally produced—specimen one: LRB; specimen two: a new 3D seismic isolation bearing made up of TNRB, LRB, and DSB in series. For both supports, the thickness of the top and bottom sealing boards is 20 mm, with a diameter of 600 mm; the thickness of the connecting boards is 25 mm, with a diameter of 800 mm for the connecting plates in contact with the testing device and 700 mm for the remaining connecting plates. Other dimensional parameters are shown in Table 1.
Table 1.
Parametric variables of two rubber bearings.
3.2. Loading Mode
In view of the design surface pressure of 12 MPa and the bearing diameter of 600 mm, determine the specified vertical load P (3400 kN). Firstly, conduct a vertical compression function experiment and perform four times recurrent loading within the range of P ± 0.3P. The loading mode diagram is displayed in Figure 5.
Figure 5.
Vertical Displacement–Force test loading mode.
3.3. Vertical Compression Performance of Two Bearings
Under a vertical pressure P of 3400 kN and a loading frequency f of 0.1 Hz, vertical compression function experiments with 100% shear strain were conducted on two supports. The results of four loading cycles were extracted, and hysteresis curves were plotted, as displayed in Figure 6.
Figure 6.
Force–displacement curve of isolation bearing in a vertical orientation.
As can be concluded from Figure 6, both bearings maintain a large slope during the loading process. This is due to the overall vulcanization of the rubber and steel plate, which are tightly bonded to each other. Steel plates constrain the lateral metamorphosis of the rubber layer, thereby making isolation bearings have large vertical bearing capacities. As compressive stress enlarges, the slope of hysteresis curves of two bearings, namely the vertical stiffness of bearings, shows an increasing trend. Under vertical pressure, the rubber layer undergoes compression deformation, causing different vertical displacements between the two bearings. The LRB vertical displacement is less than that of a three-dimensional bearing and the slope of the latter curve is significantly increased compared to the former. This phenomenon is consistent with conventional cognition. After calculation, the area of the hysteresis energy curve of the three-dimensional isolation support is 36.86% higher than that of the LRB600 support, and the hysteresis curve is also much fuller. Therefore, the vertical stiffness and energy dissipation capability of the support are related to the thickness and characteristics of the rubber material used.
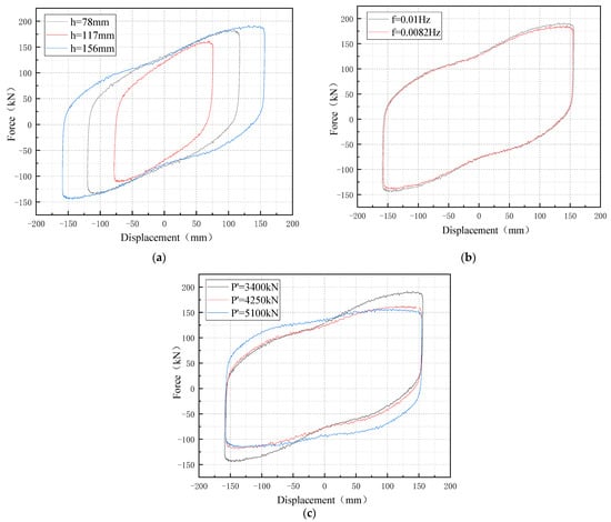
For the sake of analyzing the correlation between vertical performance and compressive stress of three-dimensional supports, we extracted third-cycle outcomes of the vertical compression load–displacement curve of the 3D bearing with various vertical pressures, loading frequencies, and pre-pressures and also drew the shear strain compression stress diagram, as shown in Figure 7a–c. We analyzed the effects of various working circumstances on the vertical stiffness of the three-dimensional bearing.
Figure 7.
Comparison of vertical force–displacement curves under different working conditions. (a) Different vertical pressures; (b) different loading frequencies; (c) different pre-pressures.
The following are shown in Figure 7a–c: (1) the vertical stiffness of the three-dimensional bearing is enhanced with an increase of vertical pressure because the increase of vertical pressure leads to an enhanced constraint influence of the steel plate on the rubber layer. At this time, the rubber layer is in a three-dimensional stress state, and the compression modulus rapidly increases. (2) Vertical stiffness of the 3D bearing is enhanced with the increase of loading frequency, but the calculation outcomes show that the influence of loading frequency is not very significant. (3) Vertical stiffness of the 3D bearing reduces little by little with an increase of preload. When the preload is 0, the vertical stiffness of the three-dimensional support is maximum; when the preload is 2720 kN, the vertical stiffness of the 3D bearing is the smallest. The addition of preload has a significant impact on the vertical stiffness of three-dimensional supports.
3.4. Horizontal Compression Performance of the Bearing
Under the condition of shear displacement h of 156 mm and loading frequency of 0.01 Hz, one 100% shear strain horizontal shear performance experiment was conducted on two supports. The experiment also underwent four cycles of loading. The hysteresis curves of the supports obtained from the experiment are displayed in Figure 8, and we can see that the hysteresis curves of both supports show a full shuttle shape. After calculation, the area of the hysteresis energy dissipation curve of the 3D isolation support is 7.1% higher than that of the LRB600 bearing, indicating that TNRB-DSB-LRB has a certain horizontal energy dissipation capability and is slightly better than the LRB600 bearing.
Figure 8.
Horizontal shear force–displacement curve of isolation bearing.
Outcomes of the third cycle of the vertical compression load–displacement curve of the 3D support under various shear displacements were measured, different loading frequencies, as well as different coaxial pressures, were extracted, and the shear strain-pressure stress diagram was drawn, as shown in Figure 9a–c.
Figure 9.
Comparison of vertical force–displacement curves under different working conditions. (a) Different shear displacement; (b) different loading frequencies; (c) different axial pressures.
It can be concluded from Figure 9a–c that (1) horizontal stiffness of the three-dimensional support enhances the growth of shear displacement, and it could be displayed from the diagram that the effect of shear displacement on the horizontal stiffness value of the three-dimensional bearing is very remarkable. (2) The horizontal stiffness of the three-dimensional bearing is enhanced with the growth of loading frequency. Due to the small difference in loading frequency selected for this experiment, the horizontal stiffness variation reflected in the final figure is not very significant. (3) The horizontal stiffness of the three-dimensional bearing reduces little by little with the enhancement of axial pressure, indicating that an increase in axial pressure has a remarkable effect on the horizontal stiffness of the three-dimensional bearing.
4. Seismic Response Analysis of Large-Span Isolated Structures
4.1. Structure Overview
The roof of the large-span [] foundation isolation structure is an orthogonal rectangular pyramid steel grid structure; the plane size is 90 m × 90 m, the height is 5.17 m, and the mesh size is 10 m × 10 m. The bottom part is a one-story reinforced concrete frame structure, 10 m high, supported by peripheral columns; the section size of peripheral columns is 1.5 m × 1.5 m. The main beam is 0.8 m × 0.4 m, the secondary beam is 0.4 m × 0.2 m, and the beam plate and column are reinforced according to the requirements of the code. The top chord layer of the truss roof is subject to a uniform constant load of 0.55 kN/m2 and live load of 0.5 kN/m2; the bottom chord layer is subject to a uniform constant load of 0.30 kN/m2 and live load of 0.30 kN/m2. The steel is Q345, and the concrete is C40. Seismic fortification intensity is 7 degrees, the design basic seismic acceleration is 0.3 g, and the earthquake group is the second group. In SAP2000, the linking unit is used to simulate rubber isolators. After defining the bearing properties, input the experimental values of the bearing stiffness ratio and damping ratio. The supports are distributed around the building model, and there is no mixed use of other types of supports. The stiffness and damping parameters of the support are derived from the test data. According to the stress ratio and axial compression ratio of the structure, the distribution of the support is determined. Its 3D finite element model is displayed in Figure 10.
Figure 10.
Structural 3D finite element model.
It is assumed that all nodes of the grid roof are ideally hinged. External loads all act on the nodes of the truss roof. The effect of the wall on structural stiffness is neglected. The general finite element software SAP2000 (20.1.0 edition) was applied to carry out a modal analysis of three structures. Among them, the first 10 natural vibration frequencies and their natural vibration periods are shown in Table 2. Model I in the table is a non-isolation model. Model II is the LRB600 horizontal isolation model. Model III is a 3D isolation model.
Table 2.
Dynamic characteristics of large-span truss structure with a span of 90 m.
From the table data, it can be seen that the first natural vibration period of Model III is 1.33 times that of Model II’s isolated structure and 4.53 times that of Model I’s non-isolated structure. Through modal analysis, for the Model I structure, mass participation coefficients of the first three modes are relatively small, representing x-translational motion, x-translational motion, and y-translational motion in sequence. For the Model II structure, the mass participation coefficients of the first three vibration modes are relatively large, and the main modal performance of the first three modes is the same as that of the Model I structure. For the Model III structure, the mass participation coefficients of the first three modes are relatively large, representing y-translational motion, x-translational motion, and z-torsional motion in sequence.
4.2. Multi-Dimensional Multi-Point Ground Motion
When the multi-point seismic waves [] are synthesized artificially on the basis of the model structure of 90 m × 90 m and the distribution of supports, the artificial wave synthesis code is written according to the requirements of related parameters. The self-power spectrum is adopted by the Kanai–Tajimi Spectrum, the hysteresis coherence function is adopted by the Harichandran and Vanmarcke model, and the time envelope function is adopted by Amin and Ang (1968), and 10 groups of 10-point seismic waves (ten rows of columns) are synthesized. The peak acceleration is 220 cm/s2. Displacement time history is gained by synthesizing acceleration time history, and the ground motion multi-position characteristics are obtained. The structure is loaded according to the 3D ratio of 1:0.85:0.65. In the three directions, the input vibration load is carried out on x, y, and z according to the corresponding proportion requirements. The 10 groups of seismic waves are named A1~A10, and their acceleration time history and displacement time history are displayed in Figure 11a and Figure 11b separately.

Figure 11.
A 3D diagram of seismic waves A1~A10. (a) Acceleration time history diagram; (b) displacement time history diagram.
4.3. Structural Seismic Response Analysis
The absolute displacement method is used to carry out multi-dimensional multi-point seismic input for long-span structures. The average value of structural response under 10 groups of seismic wave displacement time history is taken as the analysis results for the sake of reducing adverse influences of different seismic wave characteristics on the results. The seismic response under 3D seismic input is shown in Figure 12 and Figure 13.
Figure 12.
Seismic response under 3D seismic input. (a) Vertical acceleration. (b) Vertical displacement.
Figure 13.
Seismic response under 3D seismic input. (a) Horizontal acceleration. (b) Interlayer displacement.
4.3.1. Vertical Acceleration Response
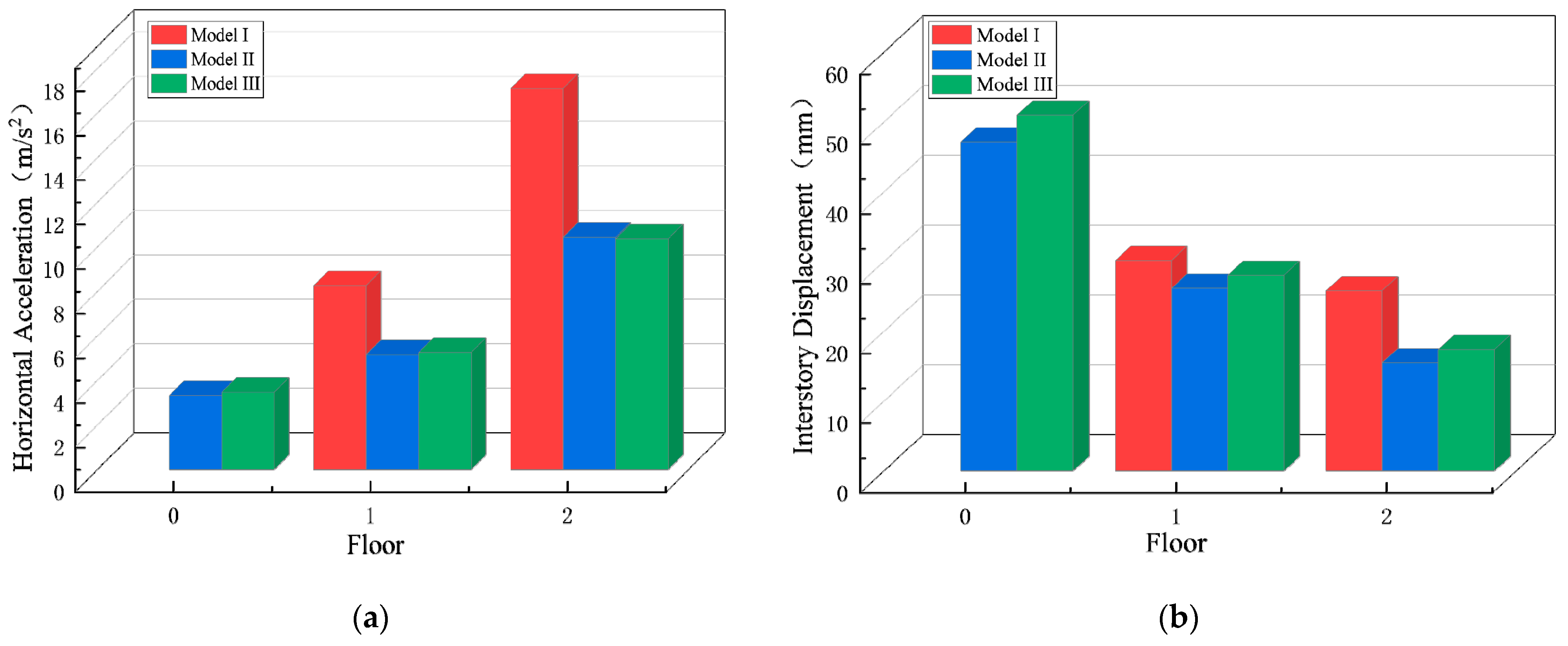
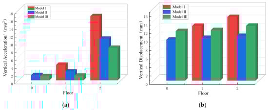
Figure 12a displays the peak vertical absolute acceleration response of three model structures, with 0, 1, and 2 on the x-axis representing the isolation layer, frame layer, and upper grid layer of the structure. We can see from the figure that (1) vertical acceleration of the grid layer structure in Model III has decreased by 21.91% compared to Model II and by 43.39% compared to Model I. This indicates that both the 3D isolation system and LRB could attenuate the vertical seismic effect of the upper structure to a certain extent, and the former has a superior vertical isolation effect. (2) The vertical acceleration response of the grid layer is much stronger than that of other layers and deserves special attention.
4.3.2. Vertical Displacement Response
Figure 12b displays vertical displacement response peaks of three model structures under the condition of 3D seismic input. As is shown from the diagram, (1) vertical displacement amplitudes of isolation layers of the LRB isolation structure and 3D seismic isolation structure are 9.64 mm and 11.67 mm, respectively (allowable vertical displacement = 0.7h0 = 16.8 mm), meeting the requirements. (2) Flexibility of the upper grid layer of non-isolated structures, LRB isolation structure, and 3D seismic isolation structure are 13.67 mm, 10.58 mm, and 10.89 mm, respectively (the limit = L2/250 = 0.36 m, L2 is the top short span), which meet the requirements, and the two kinds of seismic isolation structures show significant vertical effects. (3) In a comparative study with LRB isolation structure, crest vertical displacement of the grid layer in the 3D seismic isolation structure increases by 17.39% at most, basically due to the addition of vertical isolation element DSB in Model I reducing vertical stiffness of the isolation layer to some extent. However, it is calculated that the energy consumption capability of the latter has increased by 36.86%; (4) According to the calculation, the displacement difference of Model III under ten sets of 3D seismic input is at most 22.56 mm, which also displays a remarkable effect of seismic spectrum features on structural response.
4.3.3. Horizontal Acceleration Response
Figure 13a shows the horizontal absolute acceleration response of different model structures. It can be concluded that (1) the horizontal acceleration of the structure enhances with the increase of floors; (2) compared with the above three model structures, we can conclude that they have very similar seismic reduction effects, which are in line with the horizontal structural design characteristics of the support; but after calculation, the horizontal energy consumption of Model III is 7.2% higher than that of Model II.
4.3.4. Interlayer Displacement Response
Figure 13b displays the interlayer displacement response of three model structures, and we can draw several conclusions as follows: (1) The maximum interlayer horizontal displacement of Model II and Model III emerges in the isolation layer (limit value = 0.55Dmin = 330 mm). (2) After the seismic wave propagates upward through the isolation layer, the response trend of interlayer displacement decreases with the increase of the floor, indicating that both Model II and Model III have good isolation effect in terms of interlayer displacement response, and it can be calculated that maximum interlayer displacement of the latter is 7.55% higher than that of the former, with no significant difference between the two. Through calculation, we can draw the conclusion that the energy consumption effect of the 3D seismic isolation structure is dramatically better than that of the LRB isolation structure. (3) Maximum floor displacement of the three structural models under the action of rare earthquakes is 11/1886, 1/382, and 1/356, respectively, which conforms to provisions of the Code for Seismic Design of Buildings (the limit value of reinforced concrete frame structures is 1/50).
5. Damage Calculation
5.1. Definition of Damage Index
The seismic damage index of a structure [] is a dimensionless index that quantitatively describes the failure state of a structure or component during an earthquake. It is an important theoretical basis for people to predict disasters before earthquakes and make treatment decisions for damaged buildings after earthquakes. In the light of the multi-level fortification principle of “no damage during small earthquakes, repairable during moderate earthquakes, and no collapse during large earthquakes” in China, the structure will be in an elastic state under the action of “small earthquakes”, and will suffer corresponding degrees of damage under strong earthquakes.
The damage model of the structure or component is usually expressed by damage index D, which is generally expressed as follows:
In Formula (6): are the parameter reflecting the change of mechanical properties of the structure.
The two-parameter damage model referred to in this paper is the Park–Ang [] damage model, and the specific calculation formula is as follows:
In the Formula (7): is the actual maximum plastic deformation of the component under earthquake action; is the failure limit (final) deformation of the member under monotonic load. Qy is yield strength; is cumulative hysteretic energy consumption; β is the influence coefficient of cyclic load, which generally varies between 0 and 0.85, with an average value of 0.15.
The classification of building damage levels in China is shown in Table 3 below.
Table 3.
Classification of building damage levels.
5.2. Structural Damage Calculation
5.2.1. Local Damage of Non-Isolated Structure
The local damage calculation formula and parameters for non-isolated structures include the shear-type damage model calculation proposed by Lv Daguang et al. []. Figure 14 shows the damage to various parts of non-isolated structures under a 220 gal seismic action.
Figure 14.
Damage of each part of the non-isolated structure.
From Figure 14, it can be seen that under the action of 10 seismic waves (large earthquakes) of 220 gal, the damage to each component of the non-isolated structure is significant. The damage to trusses and columns is generally greater than 1. Although the damage to the beam components is less than 1, it has exceeded 0.65 under most seismic waves, indicating severe damage. The probability of component failure under earthquake action in this case structure is ranked as column ≈ truss > beam.
5.2.2. Local Damage of Isolation Structure
This paper adopts the calculation formula and parameters for local damage of large-span structures and isolation bearings, with reference to the shear-type damage model proposed by Lv Daguang et al. []. When calculating damage to beams [] and columns, choose the plastic hinge model. Referring to the expected damage location proposed by Wang Yingjun et al. [] using a calculation model of inter-story shear deformation of FRC beam column composite components, as well as the research on the hysteresis performance of frame structures based on plastic hinge method beam–column elements proposed by Liu Kaiqi et al. [].
The damage index of the grid layer is calculated according to the formula D = (δm/δu) + (σm − fy)/(σu − fy), δm is the vertical maximum displacement of the grid node, and δu is the vertical limit displacement of the grid node, and is calculated according to L/250, L is the length of short side of grid; respectively, σm and σu are the maximum stress and ultimate stress of member, and fy is the yield strength of member, taking 345 MPa.
Figure 15 and Figure 16 show the local damage maps of the isolated structure (LRB600 and 3D support) under the 220 gal intensity earthquake.
Figure 15.
Local damage of isolated structures. (a) Three-dimensional isolation structure. (b) LRB isolation structure.
Figure 16.
Damage comparison of each part of the three structures.
It can be seen from Figure 15 and Figure 16 that (1) under the action of 220 gal seismic waves (large earthquakes), the damage index of the truss layer of the isolation structure will exceed 1 under the action of a few seismic waves; as an important vertically stressed component, the column is greater than 1 only under the action of two groups of seismic waves. In other cases, the damage of the component is less than 1, the value is small, and the component is basically intact. (2) When the intensity of ground motion is large, damage to the upper structure is larger than that of the isolation layer, especially damage to the column and truss. The seismic failure probability of structural members is ranked as truss > column > beam > isolation bearing. (3) Compared with the non-isolated structure, the average damage index of column, beam, and truss layer of Model III after isolation under action of 10 groups of seismic waves decreased by 72.84%, 55.36%, and 47.08%, respectively. The damage index of the column, beam, and truss layer of Model II decreased by 69.07%, 45.94%, and 45.12%, respectively, compared with that of the non-isolated structure. This indicates that the seismic performance of large-span structures has been tremendously improved after earthquake isolation, and Model III is superior.
5.2.3. Floor Damage
According to the Du Xiuli model [], the value of floor damage is calculated on the basis of the formula: and In the two formulas, D is the overall damage index; Di is the damage index of the i-th component; λi is the weighting coefficient of the i-th component; n is the number of components.
The comparison of structural floor damage between isolated structures and non-isolated structures under action of 10 groups of seismic waves is shown in Figure 17. The average floor damage index of Model I, Model II, and Model III is 1.730373, 0.19894, and 0.15487, respectively.
Figure 17.
Floor damage comparison of the three structural models. (a) Concrete value; (b) mean value.
Based on the analysis in Figure 17, the following conclusions can be drawn: (1) The damage index of the isolated structure and the non-isolated structure has a very significant reduction; in a comparative study with the non-isolated structure, the floor damage index of Model III and Model II is decreased by 91.05% and 88.50%, respectively. (2) Damage to the first floor of two isolation structures under the action of a large earthquake is between 0 and 0.25, which can be considered as no damage or slight damage. It was calculated that the first-layer damage of Model III was reduced by about 22% compared with Model II.
5.2.4. Overall Damage
The calculation model for the overall damage index adopts the model proposed by Ou Jinping []: and . In the formula, N represents the number of floors in the structure. In this equation, D is the overall damage index; Di is the damage index of the i-th component; λi is the weighting coefficient of the i-th component; and n is the total number of components. The overall damage comparison between the isolated structure and non-isolated structure under the action of 10 groups of seismic waves under the action of large earthquakes is shown in Figure 18.
Figure 18.
Overall damage comparison of the three structural models. (a) Concrete value; (b) mean value.
Based on the content shown in Figure 18, we can conclude that (1) the damage index of non-isolated structures under 10 sets of 220 gal earthquake action is generally more than 1, indicating that seismic performance of non-isolated structures is poor under the action of multi-dimensional and multi-point seismic waves. Isolation structures have good seismic performance under multi-dimensional and multi-point seismic action. Under the majority of seismic waves, the overall damage of structures is generally less than 1, indicating that two types of large-span isolation structures can maintain good performance under rare earthquakes of seismic intensity. (2) From Figure 18a, it can be seen that the damage index trend of two isolation structures is almost the same. The overall damage index of Model III is less than 1 under ten sets of seismic waves, and compared with Model II, the damage index is smaller, and the isolation effect is better. (3) From Figure 18b, the overall isolation effect of the two types of isolation structures can be clearly seen. The overall damage index of Model II and Model III decreased by 55.9% and 59.3%, respectively, compared to Model I.
6. Conclusions
The TNRB-DSB-LRB three-dimensional isolation system was designed, and its seismic responses under three-dimensional strong earthquake excitation were analyzed and compared with the LRB horizontal isolation structure and non-isolation structure. Furthermore, the damage index of these three model structures was calculated contrastively. The following conclusions were drawn:
(1) The natural vibration period of large-span isolation structure (Model III) with new three-dimensional isolation bearings is 1.33 times that of horizontal isolation structure (Model II) and 4.53 times that of non-isolation structure (Model I), respectively. The longer the natural vibration period, the weaker the seismic response of the structure;
(2) Under multi-dimensional and multi-point seismic inputs, vertical acceleration of the truss layer in Model III decreased by 21.91% compared to Model II and 43.39% compared to Model I. This indicates that both the 3D isolation system and LRB isolation system can attenuate the vertical seismic effect of the upper structure to a certain extent, and the former has a better vertical isolation effect. In a comparative study with Model II, the crest vertical displacement of the truss layer in Model III increased by a maximum of 17.39%, but the vertical energy dissipation capacity of the latter increased by 36.86%;
(3) The horizontal acceleration of the structure increases with the increase of floors. Compared with Model I, Model II and Model III have very similar seismic reduction effects, which are in line with the horizontal structural design characteristics of the support. However, after calculation, the horizontal energy consumption of Model III is 7.2% higher than that of Model II. After the seismic wave propagates upwards through the isolation layer, the response trend of inter-story displacement between Model II and Model III decreases with the increase of floors. After calculation, it can be concluded that the energy consumption effect of Model III is dramatically higher than that of Model II;
(4) Under the multi-dimensional and multi-point input of multiple rare seismic waves at 7 degrees, damage indices of local components and overall structure of large-span non-isolated structures are relatively large, almost close to 1 and exceeding 1, indicating poor seismic performance of non-isolated structures under large earthquakes, especially in the truss layer and column on the first floor. After the isolation of large-span structures, the damage indices of local damage, floor damage, and overall structural damage all showed a significant decrease, all of which were less than 1, indicating that both types of isolation bearings had a good isolation effect. Moreover, overall, the multi-level damage index of Model III is slightly lower than that of Model II, indicating that 3D isolation bearings have a tremendous improvement in the seismic performance of large-span structures under large earthquakes compared to horizontal isolation bearings. For special structures such as large-span structures, special attention should be paid to nonnegligible vertical seismic effects.
Author Contributions
Conceptualization, Y.S.; Methodology, Z.G.; Software, L.F.; Validation, X.W.; Formal analysis, X.W.; Investigation, L.F.; Resources, Y.S., Z.C. and H.G.; Data curation, Z.C. and W.Q.; Writing—original draft, X.W.; Writing—review & editing, Z.G., Y.S. and W.Q.; Visualization, L.F.; Supervision, Z.G.; Funding acquisition, Z.G., W.Q. and H.G. All authors have read and agreed to the published version of the manuscript.
Funding
This research was funded by The National Natural Science Foundation of China (Grant No. 51808298 and 52208395) and the Science and Technology Plan Project of Nantong (Grant No. MS22022067). The authors appreciatively acknowledge the financial support of the above-mentioned agencies.
Data Availability Statement
The data used to support the findings of this research are available from the corresponding author upon request.
Conflicts of Interest
The authors declare that there are no conflicts of interest.
References
- Zheng, H.; Deng, Z.; Guo, L.; Liu, J.; Liu, L.; Li, T.; Zheng, H.; Zheng, T. Assessment of Building Physical Vulnerability in Earthquake-Debris Flow Disaster Chain. Int. J. Disaster Risk Sci. 2023, 14, 666–679. [Google Scholar] [CrossRef]
- Chen, Q.; Shen, Y.; Yang, L.; Liu, Y. Seismic vulnerability analysis of building structures of foundation isolation stations based on IDA. Build. Struct. 2023, 53 (Suppl. S1), 1088–1093. (In Chinese) [Google Scholar]
- Han, G.; Cao, X.; Yin, D.; Hao, L. A Brief study on Mechanical Model of three-dimensional foundation isolation device. Build. Struct. 2022, 52 (Suppl. S2), 840–845. (In Chinese) [Google Scholar]
- Wang, W.; Li, A.; Wang, X. Seismic performance of base-isolated precast concrete shear wall structure with AHW connections. Vib. Shock. 2018, 2018, 9632523. [Google Scholar] [CrossRef]
- Chen, X.; Li, X.; Liu, Z. Evaluation of earthquake disaster recovery patterns and influencing factors: A case study of the 2008 Wenchuan earthquake. All Earth 2023, 35, 132–148. [Google Scholar] [CrossRef]
- Bhattacharjee, G.; Baker, J. Using global variance-based sensitivity analysis to prioritise bridge retrofits in a regional road network subject to seismic hazard. Struct. Infrastruct. Eng. 2023, 19, 164–177. [Google Scholar] [CrossRef]
- Zhu, S. Strain-Rates from GPS Measurements in the Ordos Block, China: Implications for Geodynamics and Seismic Hazards. Remote Sens 2022, 14, 779. [Google Scholar] [CrossRef]
- Wright, M.; Wachs, S. Self-Isolation and Adolescents’ Friendship Quality: Moderation of Technology Use for Friendship Maintenance. Youth Soc. 2023, 55, 673–685. [Google Scholar] [CrossRef]
- Becker, T.C.; Yamamoto, S.; Hamaguchi, H.; Higashino, M.; Nakashima, M. Application of Isolation to High-Rise Buildings: A Japanese Design Case Study through a U.S. Design Code Lens. Earthq. Spectra 2015, 31, 1451–1470. [Google Scholar] [CrossRef]
- Gao, Z.; Huang, H.; Shen, D.; Peng, T. Study on dynamic response and damage characteristics of ultra-high arch dam under strong earthquake. Chin. J. Eng. Geophys. 2024, 21, 22–34. (In Chinese) [Google Scholar]
- Che, W.; Wang, Y.; Wu, X.; Dong, H.; Lei, X. Research on seismic performance evaluation and selection of substation building structure in high intensity area based on seismic vulnerability analysis. J. Build. Struct. 2019, 53 (Suppl. S1), 702–707. (In Chinese) [Google Scholar]
- Ma, S.; Gu, Y.; Bao, P.; Guo, C. Research on a novel seismic damage model of composite insulation wall panel joints with U-shaped reinforcement. Vib. Shock. 2019, 42, 290–298. (In Chinese) [Google Scholar]
- Liu, Q.; Luo, W.; Zhou, Y.; Ke, X.; Li, J. Seismic performance of a novel three-dimensional isolation bearing. J. Build. Struct. 2022, 57, 104818. [Google Scholar]
- Xu, J.; Gao, H.; Guo, Z.; Zhao, J.; Yang, Z.; Zhao, G.; Guo, Z.; Liu, D.; Sun, W. Key technologies research on of soil-structure interaction base story isolated structure response in 3D seismic zone. Front. Earth Sci. 2023, 11, 1254042. [Google Scholar] [CrossRef]
- He, W.; Huang, J.; Xu, H.; Chen, M. Study on seismic response of high static and low dynamic three-dimensional isolation system for nuclear power plant. J. Vib. Eng. 2019, 36, 1469–1479. (In Chinese) [Google Scholar]
- Li, X.; Liang, S.; Xue, S.; Gao, J. Experimental study on Mechanical properties of disc spring-laminated rubber three-dimensional composite isolation bearing. Build. Struct. 2021, 51, 14–20+104. (In Chinese) [Google Scholar]
- Liu, W.; Sun, X.; He, W.; Zhang, Q.; Zi, D. Experimental research and dynamic response analysis of rotating three-dimensional isolation system. J. Build. Struct. 2021, 42, 47–55. (In Chinese) [Google Scholar]
- Chen, Z.; Ding, Y.; Shi, Y.; Li, Z. Research on vertical variable stiffness three-dimensional isolation device and its isolation performance for large-span spatial structures. J. Build. Struct. 2019, 40, 35–42. (In Chinese) [Google Scholar]
- Shi, Y.; Wang, Y.; Wang, X.; Diing, Y.; Li, Z. Rocking performance of three-dimensional base isolated structures based on acceleration response spectra. J. Vib. Eng. 2023, 36, 400–409. (In Chinese) [Google Scholar]
- Liu, Y. Study on Mechanical Properties of Disc Spring-Self-Resetting Friction-Slip Three-Dimensional Isolation Bearing and Its Application in Prefabricated Frame Structures. Master’s Thesis, Xi’an University of Architecture and Technology, Xi’an, China, 2022. (In Chinese). [Google Scholar]
- Zhang, L.; Liu, W.; Xu, H.; Yang, H.; He, J. Experimental and numerical study on the nonlinear mechanical properties of oblique 3D isolation bearings. Eng. Mech. 2020, 37, 167–175. (In Chinese) [Google Scholar]
- He, W.; Liu, M.; Xu, H.; Liu, W.; Feng, D. Study on mechanical performance and seismic response of high-static-low-dynamic stiffness three-dimensional isolation system. Civ. Eng. J. 2020, 53, 41–51. (In Chinese) [Google Scholar]
- Eltahawy, W.; Ryan, K.L.; Cesmeci, S.; Gordaninejad, F. Parameters affecting dynamics of three-dimensional seismic isolation. J. Earthq. Eng. 2021, 25, 730–755. [Google Scholar] [CrossRef]
- Takahashi, O.; Aida, H.; Suhara, J.; Matsumoto, R.; Tsuyuki, Y.; Fujita, T. Construction of civil building using three dimensional seismic isolation system (Part 1, Design of building using three dimensional seismic isolation system). In Proceedings of the 14th World Conference on Earthquake Engineering (WCEE), Beijing, China, 12–17 October 2008; pp. 1–8. [Google Scholar]
- Du, H.; Han, M.; Ji, J.; Yu, J.; Wang, H. Experimental study on the effect of rigid limit on dynamic response of foundation isolation Structure. Build. Struct. 2023, 53, 15–20. (In Chinese) [Google Scholar]
- Li, T.; Yang, Y.; Dai, K.; Ge, Q.; Wang, J. Influence of ground motion duration on seismic performance of RC frame isolated by high damping rubber bearings. Eng. Struct. 2022, 262, 114398. [Google Scholar] [CrossRef]
- Hassan, L.; Billah, M. Influence of ground motion duration and isolation bearings on the seismic response of base-isolated bridge. Eng. Struct. 2020, 222, 111129. [Google Scholar] [CrossRef]
- Karakozova, A.; Kuznetsov, S. Oscillating Nonlinear Acoustic Waves in a Mooney-Rivlin Rod. Appl. Sci. 2023, 6, 10037. [Google Scholar] [CrossRef]
- Lin, R. Nonlinear Response and Damage Analysis of Long-Span Isolated Structures under Multi-Dimensional Multi-Point Seismic Input. Master’s Thesis, Nanjing University of Technology, Nanjing, China, 2013. (In Chinese). [Google Scholar]
- Gu, Z.; Feng, L.; Sun, Y.; Gong, H.; Zhu, C.; Chen, Z.; Dai, J.; Hao, F.; Zhong, X.; Qian, W. Seismic Response Analysis of a Large-Span Isolated Structure Equipped with TNRB-DSBs and LRBs. Buildings 2023, 13, 1288. [Google Scholar] [CrossRef]
- Xu, Z.D.; Zhang, T.; Huang, X.H. Dynamic analysis of three-directional vibration isolation and mitigation for long-span grid structure. J. Constr. Steel Res. 2023, 29, 7758. [Google Scholar] [CrossRef]
- Kuznetsov, S. Seismic waves and seismic barriers. Acoust. Phys. 2011, 28, 420–426. [Google Scholar] [CrossRef]
- Liu, J.; Gong, M.; Zhao, Y. Research on the effect of ground motion duration on damage index of RC frame structures. Build. Struct. 2019, 53 (Suppl. S2), 718–723. (In Chinese) [Google Scholar]
- Williams, M.; Sexsmithr, G. Seismic damage indices for concrete structures: A State-of-Art Review. Earthq. Spectra 1995, 11, 320–349. [Google Scholar] [CrossRef]
- Lv, D.; Wang, G. Decision method for optimal fortification level of seismic structures based on damage performance. J. Civ. Eng. 2001, 7, 44–49. (In Chinese) [Google Scholar]
- Xu, J.; Zhu, P.; Qu, W. Fatigue mechanical properties of concrete beams reinforced by rear-GFRP bars. J. Compos. Mater. 2022, 39, 2318–2328. (In Chinese) [Google Scholar]
- Wang, Y.; Liang, X. Study on calculation model of interlayer shear-deformation of FRC beam-column assembly for expected damage location. Eng. Mech. 2019, 36, 79–91. (In Chinese) [Google Scholar]
- Liu, K. Study on Hysteretic Properties of High-Strength Steel Flexural Members and Frame Structures Based on Plastic Hinge Beam-Column Elements. Master’s Thesis, Southwest Jiaotong University, Chengdu, China, 2021. (In Chinese). [Google Scholar]
- Du, X.; Ou, J. Earthquake damage assessment model of building structure. World. Earthq. Eng. 1991, 7, 52–58. (In Chinese) [Google Scholar]
Disclaimer/Publisher’s Note: The statements, opinions and data contained in all publications are solely those of the individual author(s) and contributor(s) and not of MDPI and/or the editor(s). MDPI and/or the editor(s) disclaim responsibility for any injury to people or property resulting from any ideas, methods, instructions or products referred to in the content. |
© 2024 by the authors. Licensee MDPI, Basel, Switzerland. This article is an open access article distributed under the terms and conditions of the Creative Commons Attribution (CC BY) license (https://creativecommons.org/licenses/by/4.0/).