Abstract
Precast concrete structures are popular in the building industry because of their high efficiency and environmental friendliness. In this paper, the U-type reinforcement ferrule connection technique was applied to study the seismic performance of precast concrete shear walls. Five shear wall finite element models and four shear wall specimens were prepared. Both experiments and finite element analysis were conducted to explore the impact of parameters on the work performance of precast reinforced concrete shear walls, such as the variety of post-cast concrete, the form of horizontal joints, and the buckle length of U-type reinforcements. On this basis, the mechanism of failure as well as the characteristics of hysteresis, ductility, and energy dissipation capacity were analyzed. According to the analytical results, the cast in situ reinforced concrete shear wall is inferior to the precast shear wall with post-cast epoxy resin concrete in terms of seismic performance. In addition, the specimen with a keyway on the horizontal joint interface outperforms the specimen without a keyway. With an increase in the buckle length of the U-type reinforcement, there is a rise in the sectional height and stiffness of the hidden beam at the bottom of the wall, while the horizontal load-bearing capacity of the wall is improved. However, its ductility and energy dissipation capacity are decreased. As revealed by a thorough analysis, the construction scheme most suitable for precast shear wall horizontal joints adopts epoxy resin concrete as the post-cast material, the buckle length of U-type reinforcements is approximately one-third the height of the horizontal joint, and there is a keyway at the interface of the joint.
1. Introduction
Precast construction represents a significant trend in the development of the building industry, showing various advantages, such as integration, industrialization, high efficiency, environmental friendliness, high energy efficiency, and reduced emissions. Shear wall structures are the most common types of precast concrete construction; their seismic performance is largely determined by the stability of connection between the precast walls. Currently, there are some popular methods of connection for shear walls, such as adopting dependable steel bar connections [1], creating a keyway at the joint [2,3], and using superior materials at the joint, such as fiber concrete, polymer concrete, ultra-high-performance concrete material, etc. [4,5,6].
The outcome of connection can be guaranteed by traditional steel bar connection methods like the grout sleeve splicing of bars, bolt anchoring, and rebar lapping in grout-filled holes. However, it is difficult to install nodes in the proper position. Also, the construction is high in cost but low in efficiency. Because of this, Yu et al. [7] proposed to simplify the method of steel bar connection for precast shear walls through the U-type reinforcement ferrule connection technique. To evaluate the reliability of the U-type reinforcement ferrule connection technique, Zhou et al. [8] assessed the anchorage performance of the U-type reinforcement ferrule. Lu et al. [9] and Jiao et al. [10] conducted a plane pseudo-static experiment using the U-type reinforcement ferrule connection technique for shear walls, and Gao et al. [11] investigated the bending performance of the out-of-plane shear wall. According to these studies, the precast shear wall connected through a U-type reinforcement ferrule meets the relevant seismic standards. It is easy to achieve U-type reinforcement through ferrule connection, as only the U-type reinforcement of the upper precast wall and the lower precast wall are lap-spliced to each other to form closed loops. Then, the horizontal bars are inserted at the corners of the closed loops, with the horizontal bars tied with a U-type reinforcement, as shown in Figure 1 [12]. Finally, the concrete is poured to form the post-cast horizontal joint for connecting the two precast walls, which is referred to as a precast concrete shear wall with a horizontal joint.
Figure 1.
Schematic diagram of U-typed reinforcement connection technique.
Epoxy resin concrete is a variety of composite material that contains epoxy resin, a curing agent, sand, gravel aggregate, and other ingredients [13]. It is advantageous over conventional silicate concrete in terms of tensile strength, crack resistance, material uniformity, and integrity. Natarajan et al. [14] replaced a portion of cement by weight with epoxy resin, revealing that the compressive strength of epoxy resin concrete is improved. Qian et al. [15] conducted axial tension testing to investigate the tensile properties of non-reinforced and reinforced epoxy resin concretes. According to the test results, the tensile strength of epoxy resin concrete is higher than that of ordinary concrete. Epoxy resin concrete performs well in crack resistance, exhibiting strong bond properties between the epoxy resin concrete and the reinforcement. Also, the specimen showed high integrity. Sun et al. [16] explored the bond performance between ordinary strength concrete and epoxy resin concrete, showing that the bond strength increases as the epoxy resin concrete ages. Liang et al. [17] studied the impact of different epoxy resin dosages on the mechanical properties of modified cement concrete. The results show that epoxy resin accelerates the hydration reaction. Compared with the concrete containing no epoxy resin, compressive strength and flexural strength was increased. Due to its high performance in interface bonding strength with concrete, thermal stability, chemical resistance, and mechanical properties [18], epoxy resin matrix is widely used in the context of reinforcement engineering for such purposes as concrete crack and structural repair and road construction [19,20].
For the treatment of the bonding interface between old and new concrete, Rizkalla et al. [21] studied various horizontal joints of precast shear walls, reporting that the mechanical properties of shear walls with keyways are superior to those of ordinary horizontal joint shear walls. Julio et al. [22] explored different technologies applicable to treat the bonding interface between old and new concretes. According to the results, the bonding strength of the interface treated by sandblasting is the highest, but the construction efficiency is lower, which makes the reserved keyway more suitable for precast structures. Jang et al. [23] conducted tests on the flexural performance of precast concrete members with joint grouting. The test results show that the precast members performed better in bonding and bending resistance when polymer cement mortar was taken as the grouting material. Wu et al. [24] analyzed the impact of keyways on the interfacial bond strength between UHPC-NC through shear testing, the results of which showed that the interfacial bond strength can be improved by setting a single keyway at the interface. Zhang et al. [25] analyzed the impact of keyway parameters on the interfacial shear performance of UHPC-NC. According to the analytical results, trapezoidal multi-keyway treatment maximizes the interfacial shear strength, and planting reinforcement prevents the keyway from brittle failure. Jiang et al. [26] investigated the mode of shear failure occurring at the UHPC-NC interface given different keyway numbers. It was demonstrated that the shear stiffness of the specimen reaches its maximum when the keyway number is three. Moreover, as this number increases, the overall shear capacity of the specimen improves.
The finite element analysis method is also applicable to the performance analysis of precast shear wall structures and epoxy resin concrete. Zhou et al. [27] employed ABAQUS (2020) software to investigate the mechanical mechanism underlying the anchorage performance of U-type reinforcement ferrule connections, subsequently proposing a suitable anchorage length. A bearing capacity model was proposed considering the bond and dowel actions simultaneously, and it could predict the bearing capacity well. Jin et al. [28] analyzed the mechanical performance of joint connections in epoxy resin concrete truss structures using ABAQUS finite element simulation. Their results indicate that the numerical model can accurately simulate and predict the strength and failure behavior of the specimens. The interface between the new and old concrete in precast concrete structures can be simulated using surface-to-surface contact, and the tangential action is based on the Coulomb friction model. Ref. [29] and EU Norms [30] provide recommendations for the value of the friction coefficient.
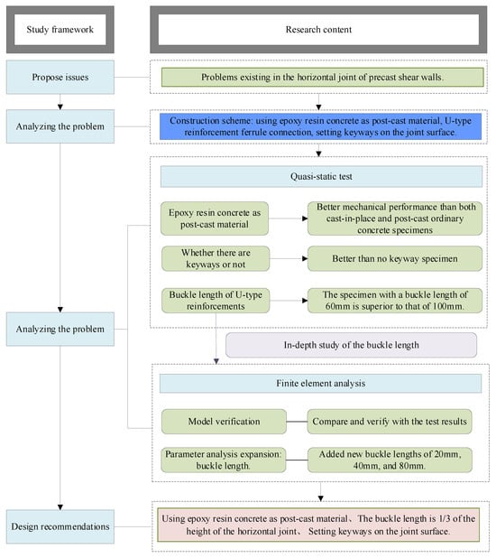
This paper aims to improve the shear resistance of the precast shear wall with horizontal joints through the U-type reinforcement ferrule connection technique. Four shear wall specimens and five finite element models are prepared with the buckle length of the U-type reinforcement ferrule, joint materials, and joint form (with or without keyway) as the design parameters. Both quasi-static testing and finite element simulation are performed to analyze the influence of each parameter on the bending and shear performance of the precast shear wall with a horizontal joint. On this basis, the optimal construction scheme is developed for the horizontal joint of the precast shear wall. This study provides guidance on the application of epoxy resin concrete in prefabricated concrete structures, which is conducive to improving the work performance of precast concrete structures. The research methodology and steps of this paper are outlined in Figure 2.
Figure 2.
Flowchart of research work.
2. Test Summary
2.1. Test Piece Design
Four shear wall specimens are prepared to investigate the effect of three parameters on the seismic performance of the shear wall: the specimen fabrication method, the buckle length of the U-type reinforcement, and the type of joint. The details of the specimens are presented in Table 1.
Table 1.
Details of the specimens.
The specimen consists of a shear wall, a loading beam, and a ground beam. The wall is 680 mm in net height, 750 mm in width, 150 mm in thickness, 500 mm in precast wall height, 180 mm in horizontal joint height, 100 mm in the width of the reserved keyway, and 35 mm in depth. The shear span ratio λ is approximately 1.05. The horizontal reinforcement in the precast wall is 8 mm in diameter. The vertical reinforcement (U-type reinforcement) is 8 mm and 12 mm in diameter (configured at the end of the wall). The U-type reinforcement extended from the ground beam has a diameter of 8 mm and 12 mm. Figure 3 shows the dimensions of the specimens.
Figure 3.
Specimen dimensions and reinforcement (in mm).
2.2. Basic Mechanical Properties of Materials
According to the method proposed in Reference [31], the strengths of concretes and steel bars were measured separately. On average, the cube compressive strength of the precast concrete is measured to be 42.1 MPa. The mix ratio of epoxy resin concrete is shown in Table 2. The average cube compressive strength is measured to be 55.9 MPa. The average yield strength of 8 mm steel bar is measured to be 361.1 MPa. The average yield strength of 12 mm steel bar is measured to be 360.0 MPa. In addition, the average elastic modulus of the steel bar is determined as 2.0 × 105 MPa.
Table 2.
Epoxy resin concrete mix ratio [31].
2.3. Loading Device and Loading Scheme
Figure 4 illustrates the facility used for load test. The horizontal reciprocating load is applied by a 20,000 kN horizontal actuator, and a vertical load of 200 kN is applied by the loading beam to the wall, at an axial compression ratio of 0.09. This test consists of two stages: load control and displacement control. Before the specimen yields, load control is exercised, and the load is applied progressively. The amount of loading control is a multiple of the predicted cracking load, such as 0.2 Pcr and 0.4 Pcr. After the specimen yields, displacement control load is applied. At this time, the amount of loading control is a multiple of the yield displacement Δy, such as 2Δy, 3Δy, etc. Each stage of loading is repeated three times. When the load-bearing capacity of the specimen drops below 85% of the peak load, the test is terminated [32].
Figure 4.
Loading test device.
3. Failure Characteristics of Specimen
- (1)
- Specimen EHY−1−60
When the load reaches 102.8 kN, horizontal cracks first emerge at the point of connection between the post-cast horizontal joint and the precast wall. Then, the crack develops rapidly. With the increase in reciprocating load, horizontal cracks appear at the bottom of the precast wall and then develop diagonally. When the load rises to 285.4 kN, the specimen yields. The yield displacement denoted as Δy is 4.36 mm. Subsequently, the load of displacement control is applied. With the increase of displacement, diagonal cracks further develop on the wall. The horizontal cracks emerging at the upper joint surface gradually develop toward the perimeter of the keyway, which leads to the connection with some diagonal cracks of the wall. When Δ = 3Δy, the diagonal cracks of the wall are extended to the top of the wall, with the maximum width of cracks reaching 4.5 mm. When the specimen is subject to the peak load of 449.0 kN, the concrete of the wall shows signs of spalling, and the post-cast epoxy resin concrete joint is slightly damaged. When Δ = 4Δy, the horizontal load drops to 85% of the peak load. At this point, the test is terminated. At this time, the angle at which the main diagonal crack (i.e., the red crack marker line) develops is about 35°~41°, and the angle at which the vice diagonal crack (i.e., the blue crack marker line) develops is about 34°~39°. The horizontal crack developing at the upper joint surface is visible, indicating the bending failure of the specimen. In this case, the failure mode is bending-shear failure. The ultimate state of the failed specimen is shown in Figure 5.
Figure 5.
Failure condition of specimen EHY−1−60.
- (2)
- Specimen EHY−1−100
The failure of specimen EHY−1−100 follows a similar process to specimen EHY−1−60. When the load reaches 123.9 kN, horizontal cracks first emerge at the point of connection between the post-cast horizontal joint and the precast wall. As the reciprocating load increases, the cracks develop gradually into cross oblique cracks. When the load rises to 336.6 kN, the specimen yields, and the yield displacement denoted as Δy is 4.79 mm. When Δ = 2Δy, X-shaped shear oblique cracks develop along the main and vice diagonals of the wall, with a width of 0.2 mm. When Δ = 3Δy, the specimen is subject to the peak load of 504.7 kN. Afterwards, the cracks emerging at the keyway between the upper and lower joint surfaces of the horizontal joint develop rapidly, while the cracks emerging at the keyway on the upper joint surface penetrate the horizontal joint and meet some diagonal cracks in the wall. In this case, the post-cast epoxy resin concrete is damaged to a greater extent. At this time, the angle at which the crack develops in the main diagonal direction is about 28°~54°, and the angle at which the crack develops in the vice diagonal direction is about 26°~48°. The angle range of wall oblique crack distribution is wider, the spacing between cracks is smaller, and oblique cracks penetrate the horizontal joint. This indicates that the shear failure of the specimen is more significant. The failure mode is shear-bending failure. Figure 6 shows the ultimate state of the failed specimen.
Figure 6.
Failure of the specimen EHY−1−100.
- (3)
- Specimen EHY−2−60
When the load reaches 123.3 kN, cracks first emerge at the point of connection between the post-cast horizontal joint and the precast wall. With the increase of the reciprocating load, horizontal cracks emerge at the bottom of the precast wall. Then, the cracks develop diagonally. When the load rises to 308.5 kN, the horizontal crack emerging at the interface of the upper joint continues to expand. When the specimen yields, the yield displacement denoted as Δy is 6.88 mm. Then, the load of displacement control is applied. With the increase of displacement, the diagonal cracks on the precast wall further develop. At this time, the interface between the ground beam and the horizontal joint cracks. When Δ = 2Δy, the specimen is subject to the peak load of 430.4 kN. At this time, the cracks on the surface of the horizontal joint develop with a width of 0.1 mm, meet some diagonal cracks of the wall, and expand to the post-cast joint area. When Δ = 3Δy, the load drops to 85% of the peak load, and the test is terminated. At this time, the angle at which the crack develops along the main diagonal direction is about 20°~40°, and the angle at which the crack develops along the vice diagonal direction is about 20°~38°. The cracks are mostly concentrated on the upper surface of the horizontal joint. The specimen shows visible bending failure, and the failure mode is bending-shear failure. Figure 7 shows the ultimate state of the failed specimen.
Figure 7.
Failure of the specimen EHY−2−60.
- (4)
- Specimen EZJ
When the load reaches 30.0 kN, cracks first appear at the bottom of the cast in situ wall. With the increase of the reciprocating load, horizontal cracks emerge at the point of connection between the bottom of the wall and the ground beam. Then, diagonal cracks develop due to diagonal extension. When the load is raised to 347.1 kN, the specimen yields, and the yield displacement denoted as Δy is 5.43 mm. Then, the load of displacement control is applied. With the increase of displacement, diagonal cracks increasingly emerge and expand. When the displacement is 7.61 mm, the specimen is subject to a peak load of 377.4 kN. When Δ = 2Δy, the width of the main and vice diagonal cracks is 0.1 mm, and the concrete on the left side of the bottom of the wall crumbles. At this point, the load declines to 85% of the peak load, and the test is terminated. At this time, the angle at which the crack develops along the main diagonal direction is about 35°~46°, and the angle at which the crack develops along the vice diagonal direction is about 30°~46°. The cracks are evenly distributed mainly near the bottom of the wall. The specimen shows signs of bending failure, and the failure mode is bending-shear failure. The ultimate state of the failed specimen is shown in Figure 8.
Figure 8.
Failure of the specimen EZJ.
By comparing the process of how each specimen fails, the following conclusions can be drawn.
(1) Compared to the cast in situ specimen, there is an improvement in the cracking load, yield load, peak load, and ultimate load of the precast specimens with the epoxy resin concrete cast. In addition, the number of total loading cycles is greater relative to the cast in situ specimen, indicating the advantage of the precast shear wall with epoxy resin concrete cast in mechanical properties over the cast in situ specimen.
(2) Compared to the precast shear wall without keyways at the joint surface, the precast shear wall with keyways is outperformed in load-bearing capacity and the capacity to withstand deformation. Also, the failure of the keyway-free specimen occurs mainly at the horizontal joint and its surface.
(3) Among these specimens, the cracking load, yield load, peak load, and ultimate load of the precast shear wall EHY−1−100 are invariably the highest, indicating that the buckle length of the U-type reinforcements is one of the factors affecting the load-bearing capacity of the wall. A greater buckle length of the U-type reinforcements means a higher load-bearing capacity of the wall.
4. Experimental Results and Analysis
4.1. Hysteresis Curve
Figure 9 shows the hysteresis curve of each specimen.
Figure 9.
Hysteresis curve of the specimens.
During the test, the loading beam end of the specimen EHY−1−60 is unevenly loaded in the later stage of loading, which causes localized crushing of concrete at the loading beam end and the slight slippage of the ground beam. Consequently, there are errors in the positive hysteresis curve of the test. When the specimen EZJ is loaded, the ground beam undergoes slight slippage, thus leading to errors in the positive hysteresis curve of the test. For this reason, the negative hysteresis curves of the specimens EHY−1−60 and EZJ are analyzed.
According to Figure 8, the following results are found:
(1) The hysteresis curve of the specimen EHY−1−60 is relatively enriched, indicating an excellent performance of the specimen in terms of plastic deformation and energy dissipation. The hysteresis curves of the other three specimens show an obvious sign of pinching, implying the poor performance of the specimen in ductility and energy dissipation.
(2) Compared with the cast in situ specimen EZJ, the precast shear wall specimens EHY−1−60, EHY−2−60, and EHY−1−100 have a larger hysteresis loop and perform better in deformation and energy dissipation. It is indicated that the precast shear wall of the horizontal joint concrete post-cast with epoxy resin outperforms the cast in situ specimen in terms of mechanical properties.
(3) Compared with the precast shear wall specimen EHY−2−60, the hysteresis curve of the specimen EHY−1−60 is more enriched, and it outperforms the specimen EHY−2−60 in deformation and energy dissipation, indicating that the keyway at the interface of the horizontal joint plays a role in improving the performance of the shear wall in ductility and energy dissipation.
(4) Compared with the precast shear wall specimens EHY−1−60 and EHY−2−60, the peak load of specimen EHY−1−100 is greater, indicating that a greater buckle length of the U-type reinforcements leads to a higher horizontal load-bearing capacity of the wall.
4.2. Skeleton Curve
Figure 9 presents the skeleton curves of each specimen. Table 3 lists the data of each characteristic point of the skeleton curve. Below are the findings from Figure 10 and Table 3:
Table 3.
The measurement data on feature points of skeleton curve for each specimen.
Figure 10.
Skeleton curve.
(1) Compared with the cast in situ specimen EZJ, there is a significant increase in the cracking load, peak load, and ultimate load of the shear wall specimens with a horizontal joint post-cast with epoxy resin concrete. In reference [33], the same method of steel reinforcement connection as proposed in this paper is used, but the post-cast concrete is ordinary micro-expansion concrete. Also, the strength of the post-cast concrete is 22.8% higher relative to the prefabricated wall. According to the experimental results, the maximum load-bearing capacity and ductility coefficient of prefabricated shear walls with a U-type reinforcement ferrule are lower compared to cast-in-place specimens. This illustrates the advantage of post-cast epoxy resin concrete in prefabricated structures.
(2) Compared to the specimens EHY−1−60 and EHY−2−60, the load values at each characteristic point of the specimen EHY−1−100 are the largest, with its peak load reaching 504.7 kN, which is 12.4% higher compared to the specimen EHY−1−60 (with keyway, buckle lengths of 60 mm) and 17.3% higher relative to the specimen EHY−2−60 (without keyway, buckle lengths of 60 mm).
(3) The ductility coefficient of the specimen EHY-1-60 is the largest. Comparatively, the ductility coefficient of the specimens EHY−1−100, EHY−2−60 and EZJ is reduced by 17.2%, 32.5%, and 48.7%, respectively.
Obviously, the best solution for improving the horizontal load-bearing capacity of the wall is to “use epoxy resin concrete for horizontal joints, set keyways at the joint surface of horizontal joints, and use the U-type reinforcement ferrule with a buckle length of 100 mm”, despite the limited ductility of the wall. Also, the best solution for improving the ductility of wall displacement is to “use epoxy resin concrete for horizontal joints, set keyways at the joint surface of horizontal joints, and use U-type reinforcements buckle lengths of 60 mm”, with a higher load-bearing capacity reached. In summary, setting keyways at the joint surface and post-casting epoxy resin concrete at the horizontal joint is beneficial to improving the load-bearing capacity and ductility of the wall, while increasing the buckle length of U-type reinforcement enhances the load-bearing capacity of the wall, although the ductility of the wall declines.
There are four longitudinal steel bars passing through the buckle range of U-type reinforcement, with the longitudinal steel bars and U-type reinforcement connected to form a reinforcement skeleton. The post-casting of epoxy resin concrete plays a similar role to the construction of a hidden beam. When the buckle length of U-type reinforcement increases, there is a rise in the section height and stiffness of the hidden beam. Due to the high strength and high coherence of epoxy resin concrete, as well as the favorable factors such as keyways at the joint surface, the hidden beam is approximately an embedded end of the upper precast shear wall. If the hidden beam (horizontal joint) is taken as a fixed end, the net height of the wall decreases, the shear span ratio declines, and the horizontal load-bearing capacity and the initial stiffness are improved, but the performance in energy dissipation deteriorates.
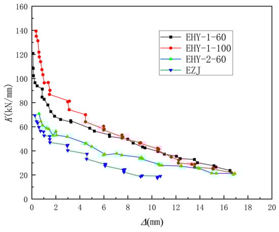
4.3. Stiffness Degradation Curve
Figure 11 shows a comparison of the stiffness degradation curve of the specimens. In this figure, K refers to the secant stiffness of the specimen [31]. From Figure 11, the following conclusions can be drawn.
Figure 11.
Stiffness degradation curve.
(1) The initial stiffness of the cast-in-place specimen EZJ is 69.4 kN/mm. Compared with the specimen EZJ, the initial stiffness of the specimens EHY−1−100, EHY−1−60, and EHY−2−60 increases by approximately 102%, 72.9%, and 2.2%, respectively. The initial stiffness of the shear wall with post-pouring epoxy resin concrete is greater compared to the cast-in-place specimen, while that of the keyway-free specimen shows no significant improvement, which is almost the same as that of the cast-in-place specimen.
(2) Compared with the specimen EHY−1−100, the initial stiffness of the specimen EHY−1−60 is slightly lower, but it declines at a lower rate.
(3) The stiffness of the specimen EHY−1−60 with the keyway is consistently higher than that of the keyway-free specimen EHY−2−60. Also, the stiffness declines at a relatively low rate in the later stage.
4.4. Energy Dissipation Performance
Figure 12 shows the energy dissipation properties of each specimen. The data on cumulative energy dissipation are listed in Table 4. Below are the main findings.
Figure 12.
Cumulative energy dissipation by the specimens.
Table 4.
Cumulative energy dissipation by each specimen.
(1) Compared with the cast in situ specimen EZJ, the shear wall specimens with a horizontal joint post-cast with epoxy resin concrete perform better in energy dissipation. Compared with the specimen EZJ, the cumulative energy dissipation of EHY−1−60, EHY−1−100, and EHY−2−60 increases by 518%, 236%, and 204%, respectively. In reference [7], the steel bars are connected in the same way as described in this paper. However, the test results show that the precast shear wall specimens with post-cast ordinary concrete but without keyways at the joint perform worse in energy dissipation capacity than the cast-in-place shear wall specimens. In this paper, the energy dissipation capacity of the prefabricated shear wall specimens is higher than that of the cast-in-place specimens. This is because the post-cast ordinary concrete is difficult to pour, and defects exist [7]. Epoxy resin concrete can effectively prevent this because of its high bonding performance with ordinary concrete. In addition, the keyways at the joint can improve the overall performance as well.
(2) Compared with the specimen EHY−2−60 without keyways at the joint surface, the specimens EHY−1−60 and EHY−1−100 with keyways at the joint surface perform better in cumulative energy dissipation. Therefore, setting keyways at the joint surface can improve the capacity of cumulative energy dissipation by the specimens.
(3) Relative to the specimen EHY−1−100 with U-type reinforcement that has a buckle length of 100 mm, the specimen EHY−1−60 performs better in cumulative energy dissipation. Therefore, the optimal buckle length of U-type reinforcement is set to one-third the height of the horizontal joint.
5. Finite Element Analysis
5.1. Establishment of Model
In this paper, the finite element software ABAQUS is used to model and analyze the wall. Concrete is modeled using the CPS4-type two-dimensional shell unit, while rebars are modeled using the T2D2-type two-dimensional truss unit. A structured mesh technique is used to divide the mesh, with the loading beam and ground beam are treated as secondary parts of the specimen. The mesh size is 100 mm. The mesh size at the precast wall and horizontal joint is set to 50 mm, and the mesh size of the reinforcement is set to 60 mm, as shown in Figure 13. The rebar model is integrated into the concrete model. The interface contact between precast concrete and post-cast epoxy resin concrete is modeled using tie constraints and surface-to-surface contact models. The normal action is governed by “hard contact”, and the tangential action is reliant on the Coulomb friction model. According to the calculation results, the friction coefficient µ between the epoxy resin concrete and the ordinary concrete interface is set to 1.4.
Figure 13.
Mesh division of the model (with EHY−1−60 as an example).
The boundary conditions of the model are consistent with those set for the test, and the bottom of the ground beam is taken as the fixed constraint. At the same time, the center of the top surface of the loading beam is taken as the reference point to prevent the loading beam from stress concentration during the loading process. The analysis is conducted in two steps. Firstly, a 200 kN axial force is applied at the reference point. Then, a reciprocating load is applied. The loading system is the same as used in the test. The boundary conditions and loading methods under the finite element model are shown in Figure 14.
Figure 14.
Boundary conditions and loading methods.
5.2. Constitutive Models of Materials
The constitutive model of normal concrete and rebar is simulated using the subroutine developed by Fang Zihu through ABAQUS [34], and normal concrete is simulated using the MCFT model under cyclic loading as proposed by Fang Zihu [35]. Figure 15a shows not only the compressive and tensile stress–strain relationships of the concrete in the MCFT model under cyclic loading but also the loading–unloading path of cyclic loading. The parameters that need to be inputted by the subroutine include the compressive strength of the concrete (), the ratio of minimum residual strength to compressive strength of the concrete (α), and the strain corresponding to the starting point of the minimum residual strength of the concrete (. In this paper, the number of state variables dependent on the solution in the non-independent variables of the concrete is 10. , α = 0.3, and . The hysteretic model of steel bar takes into account the interaction between the steel bar and the concrete. The steel bar model used in the subroutine is shown in Figure 15b. The physical parameters that the subroutine needs to input include the initial stiffness of steel bar , the yield strength of steel bar , and the ratio of the hardening stiffness of the steel bar to the initial stiffness . In this paper, the number of state variables dependent on the solution in the non-independent variables of the steel bar is 10. , , and . Epoxy resin concrete is simulated using the Concrete Damage Plasticity model, and the stress–strain relationship is determined by the fitting function in the early stage of research (Equation (1)). The undetermined parameters a and b are determined using the mass ratio of epoxy resin to curing agent. In this paper, a = 0.7 and b = 5. Table 5 lists the main parameters of the epoxy resin concrete model.
Figure 15.
Material model in subroutine.
Table 5.
Parameters of epoxy resin concrete model.
5.3. Model Verification
The stress distribution of the wall and rebar of the specimens EHY−1−60 and EHY−1−100 is captured through finite element analysis, as shown in Figure 16 and Figure 17. In the specimen EHY−1−60, the higher stress of the wall is distributed at the bottom of the shear wall and the keyway of the horizontal joint, while the highest stress of the rebar arises at the left side of the lower joint surface of the horizontal joint. In the specimen EHY−1−100, a higher stress of the wall concentrates at the bottom of the wall and the post-cast horizontal joint, while the highest stress of the rebar arises at the vertical rebar of the hidden column at the joint surface of the upper part of the horizontal joint. The stress distribution of the above specimens shows the same pattern of distribution as the test results.
Figure 16.
Stress distribution of the specimen EHY−1−60.
Figure 17.
Stress distribution of the specimen EHY−1−100.
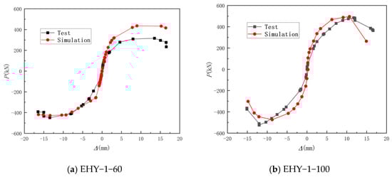
As shown in Figure 18 and Figure 19, a comparison is performed between the test results and the results of simulating the hysteresis curves and the skeleton curves for specimens EHY−1−60 and EHY−1−100. The statistical comparison is detailed in Table 6. The simulation result differs from the test result of the peak load by approximately 5%. On average, the difference in maximum displacement is roughly 10%. The positive fitting of the hysteresis curve of the specimen EHY−1−60 is slightly worse, for the reasons mentioned above. The skeleton curve of the specimen EHY−1−60 is basically consistent with the test results in the negative direction. Overall, the results of finite element analysis are basically consistent with the test results, and the finite element model established in this paper is applicable to approximately simulate the mechanical properties of precast shear walls with horizontal joints.
Figure 18.
Comparison between simulated hysteresis curve and tested hysteresis curve.
Figure 19.
Comparison between simulated skeleton curve and tested skeleton curve.
Table 6.
Comparison between experimental strength and simulated strength.
5.4. Effect of Buckle Length of the U-Type Reinforcements on Seismic Performance of the Shear Wall
To fully reveal the impact of the buckle length of the U-type reinforcement on the seismic performance of precast shear walls with post-cast epoxy resin concrete, the previous experimental study is referenced to establish the finite element model of shear walls with a buckle length of 20 mm, 40 mm, and 80 mm. They are denoted as EHY−1−20, EHY−1−40, and EHY−1−80, accordingly. The loading system is identical to that used for the test.
5.4.1. Comparison and Analysis of Stress and Plastic Damage Distribution of Each Specimen
Figure 20 shows the distribution of stress and epoxy resin concrete damage in each specimen. The distribution of stress in each specimen is comparable, with higher stresses concentrated at the horizontal joint and keyways. With the increase of the fastening length, the higher stress in the horizontal joint gradually shifts from the keyway of the lower joint surface to the keyway of the upper joint surface. Meanwhile, the maximum stress shows a trend of oblique development. From the distribution of damage in each specimen, it can be seen that the damage caused to the epoxy resin concrete of the specimens EHY−1−20, EHY−1−40, and EHY−1−60 is mainly concentrated at the keyway of the lower surface of the joint, while the damage caused to the specimens EHY−1−80 and EHY−1−100 is mainly concentrated at the keyway of the upper surface of the joint, showing a trend of gradual oblique development. With the increase of buckle length, the horizontal joint acts as a constraint at the fixed end of the wall, which causes a shift of the damage to the upper joint surface. Also, the shear failure becomes increasingly obvious.

Figure 20.
Stress distribution and epoxy resin concrete plastic damage distribution.
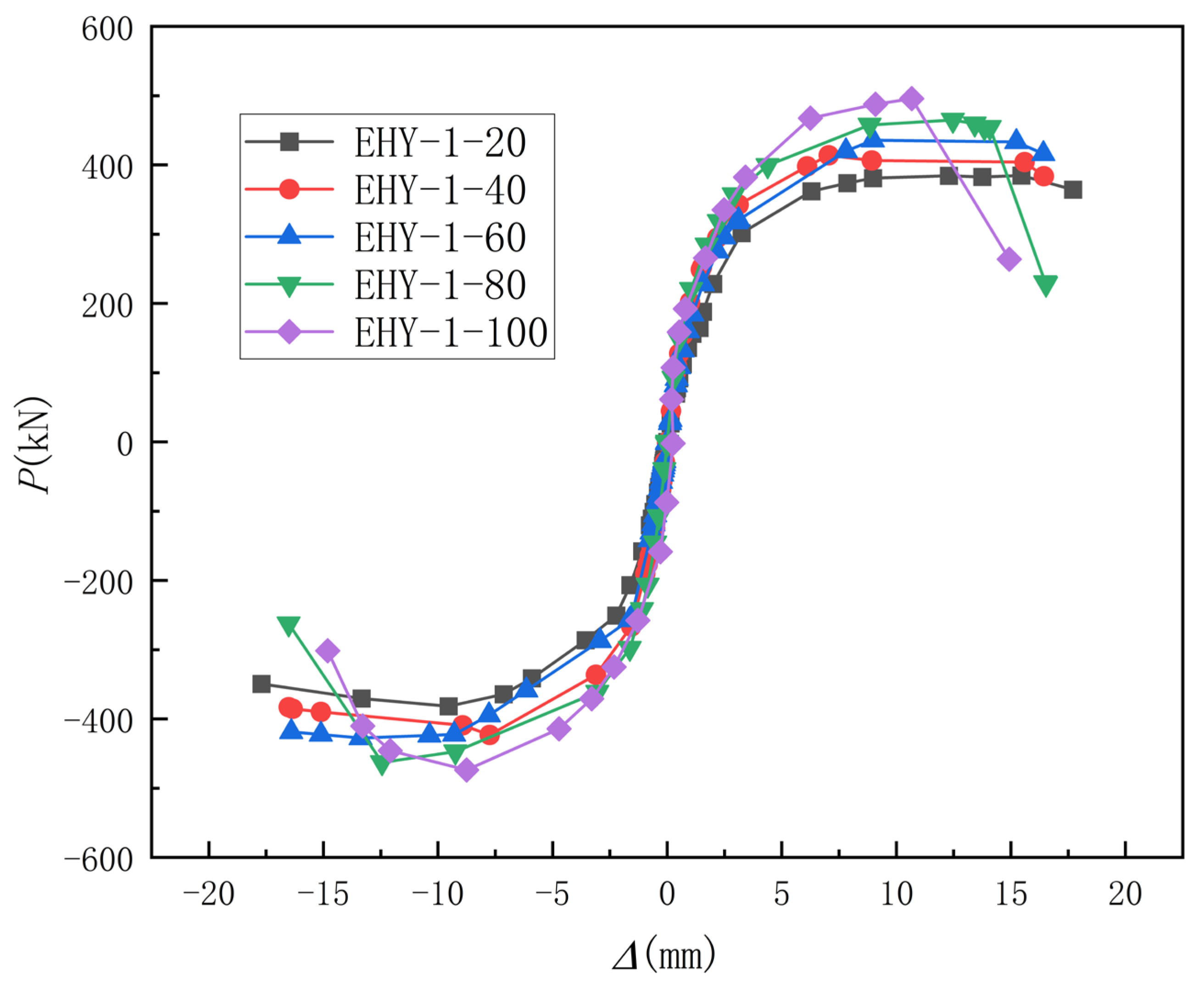
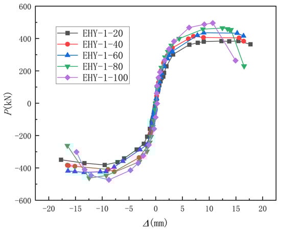
5.4.2. Comparison and Analysis of Skeleton Curves of Each Specimen
Figure 21 shows the skeleton curve of each specimen. The data of each feature point are shown in Table 6. Apparently, with the increase in buckle length of the U-type reinforcement, the initial stiffness and load-bearing capacity of the specimen is improved gradually. Compared with the specimen EHY−1−20, the peak load of the specimens EHY−1−40, EHY−1−60, EHY−1−80, and EHY−1−100 increases by 9.3%, 12.7%, 21.1%, and 26.5%, respectively. Relative to the specimen with a 60 mm buckle length of the U-type reinforcement, the load-bearing capacity is lower among the specimens with a buckle length of 20 mm or 40 mm, although the capability to withstand deformation is comparable. Also, the load-bearing capacity increases when the buckle length of the specimens increases to 80 mm and 100 mm. However, the descending section of the curve becomes steeper, the capability to withstand deformation is weakened, and brittle failure occurs in the specimens abruptly after the peak load is reached. Therefore, the specimen with a 60 mm buckle length of the U-type reinforcement achieves the best seismic performance. Roughly, the optimal buckle length of the U-type reinforcement is one-third the height of the horizontal joint.
Figure 21.
Comparison of the skeleton curves of each specimen.
5.4.3. Comparison and Analysis of Ductility of Each Specimen
Table 7 lists the ductility coefficients of each specimen. Obviously, the ductility coefficient of the specimen decreases progressively with the increase in buckle length of the U-type reinforcement. Meanwhile, the performance of the shear wall in withstanding deformation deteriorates continuously. Compared with the specimen EHY−1−20, the ductility coefficient of the specimens EHY−1−40, EHY−1−60, EHY−1−80, and EHY−1−100 is reduced by 8.2%, 33.1%, 33.3%, and 44.7%, respectively. The main reason for this is observed in the test; that is, the greater the buckle length of the U-type reinforcement, the greater the section height and stiffness of the hidden beam at the bottom of the wall, and the more similar the role of the horizontal joint to the new fixed end of the wall. If the horizontal joint is treated as a fixed end, the net height of the wall decreases, and the horizontal load-bearing capacity increases. By contrast, the ability to withstand deformation is weakened.
Table 7.
Ductility coefficient of each specimen.
6. Conclusions and Prospects
6.1. Conclusions
In this paper, seismic performance testing, finite element simulation, and parameter analysis are conducted to study the precast shear walls with horizontal joints post-cast with epoxy resin concrete. The main conclusions of this paper are as follows:
(1) The bonding performance between epoxy resin concrete and ordinary concrete is excellent, and the seismic performance of the shear wall with post-cast epoxy resin concrete is better than the cast in situ concrete shear wall. Compared with the cast-in-place concrete shear wall, the horizontal load-bearing capacity of the post-cast epoxy resin concrete shear wall increases by 14.0–33.7%, the ductility coefficient increases by 31.4–94.8%, and the cumulative amount of energy consumption increases by 204–518%. Therefore, epoxy resin concrete is applicable as the post-cast material for the horizontal joint of the precast shear wall.
(2) The load-bearing capacity, ductility, and energy dissipation capacity of the shear wall with keyways on the horizontal joint interface are higher than those without keys on the joint interface, by about 4.3%, 48.2%, and 314%, respectively. Therefore, the keyways on the joint interface are effective in improving the seismic performance of the shear wall.
(3) Regarding the U-type reinforcement ferrule connection technique applied to precast shear walls, the buckle length of the U-type reinforcement is one of the critical factors affecting the seismic performance of the shear wall. With a rise in the buckle length of the U-type reinforcement, there is an increase in the section height and stiffness of the hidden beam at the bottom of the wall, and the horizontal load-bearing capacity of the wall increases. However, the ability to withstand deformation is weakened. For example, relative to the specimen with the U-type reinforcement that is 60 mm in buckle length, the peak load of the specimen with the buckle length of 100 mm increases by 12.4%. By contrast, the ductility coefficient and cumulative energy dissipation are reduced by 20.8% and 84.2%, respectively.
(4) An excellent performance in horizontal load-bearing capacity and withstanding deformation is achieved by the precast shear wall with post-cast epoxy resin concrete at the horizontal joint, keyways at the joint interface, and a 60 mm buckle length of the U-type reinforcement. It produces the best seismic performance. Therefore, the optimal buckle length of the U-type reinforcement is approximately one-third the height of the horizontal joint.
6.2. Prospects
(1) Considering the poor fluidity of epoxy resin, it is necessary to strictly control the temperature during the production of epoxy resin concrete. Meanwhile, it should be ensured that the epoxy resin is fully mixed with the aggregate. Further research will be focused on how to simplify the preparation process, improve production efficiency, and reduce production costs.
(2) The analysis conducted in this paper is limited to the impact of buckle length of the U-type reinforcement on the work performance of the precast shear wall. Therefore, it is worth further exploring other influencing factors, such as mechanical strength, the position of the post-pouring area, the method of treatment, the axial compression ratio, and so on. Notably, the difference in strength between precast concrete and post-cast epoxy resin concrete has a significant impact on the mechanical properties of precast components. According to a previous study [36], when the strength of post-cast epoxy resin concrete approaches or slightly exceeds that of precast concrete, precast components perform best in mechanical properties. As revealed by this test, the difference in strength between the two is approximately 33%. However, due to space limitations, a detailed analysis was not carried out; this will require further research.
Author Contributions
Conceptualization, X.Z.; Methodology, P.C.; Software, Z.L.; Writing—original draft, Z.L. and J.W.; Writing—review & editing, P.C. and S.X.; Project administration, X.Z. All authors have read and agreed to the published version of the manuscript.
Funding
This research was funded by the National Natural Science Foundation of China, grant number 51678389.
Data Availability Statement
Data are contained within the article.
Conflicts of Interest
The authors declare no conflict of interest.
References
- Fan, H.; Zhang, Y.; Zhang, Y.; Jiang, H.; Du, L.; Liu, Q. Mechanical Properties and Energy Conservation Analysis for The New Connection of The Fabricated Shear Wall. IOP Conf. Ser. Earth Environ. Sci. 2021, 804, 022–094. [Google Scholar] [CrossRef]
- Hu, R.; Fang, Z.; Shi, C.; Benmokrane, B.; Su, J. A review on seismic behavior of ultra-high performance concrete members. Adv. Struct. Eng. 2021, 24, 1054–1069. [Google Scholar] [CrossRef]
- Basereh, S.; Okumus, P.; Aaleti, S. Seismic retrofit of reinforced concrete shear walls to ensure reparability. In Structures Congress; American Society of Civil Engineers: Reston, VA, USA, 2020; pp. 498–509. [Google Scholar]
- Choi, W.C.; Yun, H.D.; Cho, C.G.; Feo, L. Attempts to apply high-performance fiber-reinforced cement composite (HPFRCC) to infrastructures in South Korea. Compos. Struct. 2014, 109, 211–223. [Google Scholar] [CrossRef]
- Sharma, S.; Aaleti, S.; Okumus, P. Experimental testing of RC shear wall seismic retrofit using selective weakening, self-centering, and Ultra High-performance concrete. Resilient Cities Struct. 2023, 2, 76–90. [Google Scholar] [CrossRef]
- Gopal, B.A.; Hejazi, F.; Hafezolghorani, M.; Voo, Y.L. Shear Strength of Dry and Epoxy Joints for Ultra-High-Performance Fiber-Reinforced Concrete. ACI Struct. J. 2020, 117, 279–288. [Google Scholar] [CrossRef]
- Yu, Z.W.; Peng, X.D.; Guo, W.; Peng, M.P. Seismic performance of precast concrete shear wall with U-type reinforcements ferrule connection. J. Zhejiang Univ. (Eng. Sci.) 2015, 49, 975–984. (In Chinese) [Google Scholar]
- Zhou, J.; Zhi, X.; Fan, F.; Jiao, A.; Qian, H. Experimental and numerical investigation on failure behavior of ring joints in precast concrete shear walls. Adv. Struct. Eng. 2020, 23, 118–131. [Google Scholar] [CrossRef]
- Lu, X.; Wang, L.; Wang, D.; Jiang, H. An innovative joint connecting beam for precast concrete shear wall structures. Struct. Concr. 2016, 17, 972–986. [Google Scholar] [CrossRef]
- Jiao, A.L.; Zhang, Z.S.; Gao, Y.F. Quasi-static test of full-scale structure on precast shear walls with annular closed reinforcements. World Earthq. Eng. 2017, 33, 211–221. (In Chinese) [Google Scholar]
- Gao, Y.F.; Jiao, A.L.; Zhang, Z.S.; Liu, J.; Zhi, X.D. Tests on out-of-plane bending of precast shear walls with annular closed reinforcements. Build. Struct. 2016, 2, 439–442. (In Chinese) [Google Scholar]
- Chen, F.; Yu, Z.; Yu, Y.; Zhai, Z.; Liu, Q.; Li, X. Experimental Investigation of Seismic Performance of Precast Concrete Wall–Beam–Slab Joints with Overlapping U-Bar Loop Connections. Materials 2023, 16, 3318. [Google Scholar] [CrossRef] [PubMed]
- Beeldens, A.N.N.E.; Monteny, J.; Vincke, E.; De Belie, N.; Van Gemert, D.; Taerwe, L.; Verstraete, W. Resistance to biogenic sulphuric acid corrosion of polymer-modified mortars. Cem. Concr. Compos. 2001, 23, 47–56. [Google Scholar] [CrossRef]
- Natarajan, S.; Neelakanda Pillai, N.; Murugan, S. Experimental investigations on the properties of epoxy-resin-bonded cement concrete containing sea sand for use in unreinforced concrete applications. Materials 2019, 12, 645. [Google Scholar] [CrossRef] [PubMed]
- Qian, Y.; Li, Z.; Jin, Y.; Wang, R. Experimental Study on Axial Tension Members of a New Epoxy Resin Concrete. Sci. Adv. Mater. 2021, 13, 2005–2015. [Google Scholar] [CrossRef]
- Sun, N.; Song, Y.; Hou, W.; He, S.; Lin, W. Experimental study on factors influencing ERC-NSC interface bonding performance. Eng. Fail. Anal. 2022, 142, 106819. [Google Scholar] [CrossRef]
- Liang, X.J. Preparation and durability experimental analysis of epoxy resin modified cement concrete. J. Funct. Mater. 2023, 54, 3217–3223. (In Chinese) [Google Scholar]
- Xiang, Q.; Xiao, F. Applications of epoxy materials in pavement engineering. Constr. Build. Mater. 2020, 235, 117529. [Google Scholar] [CrossRef]
- Rahman, M.M.; Akhtarul Islam, M. Application of epoxy resins in building materials: Progress and prospects. Polym. Bull. 2022, 79, 1949–1975. [Google Scholar] [CrossRef]
- Sneed, L.H.; Verre, S.; Ombres, L.; Carloni, C. Flexural behavior RC beams strengthened and repaired with SRP composite. Eng. Struct. 2022, 258, 114084. [Google Scholar] [CrossRef]
- Rizkalla, S.H.; Serrette, R.L.; Heuvel, J.S.; Attiogbe, E.K. Multiple shear key connections for precast shear wall panels. PCI J. 1989, 34, 104–120. [Google Scholar] [CrossRef]
- Julio, E.N.; Branco, F.A.; Silva, V.D. Concrete-to-concrete bond strength. Influence of the roughness of the substrate surface. Constr. Build. Mater. 2004, 18, 675–681. [Google Scholar] [CrossRef]
- Jang, J.; Lee, H.; Ha, K.; Kim, H.K.; Yang, B. Flexural Strength of Precast Concrete Segments with Joint Grouts. In Proceedings of the 22nd Conference on Structural Mechanics in Reactor Technology, San Francisco, CA, USA, 18–23 August 2013. [Google Scholar]
- Wu, X.G.; Zhang, X.C. Investigation of short-term interfacial bond behavior between existing concrete and precast ultra-high performance concrete layer. J. Build. Struct. 2018, 39, 156–163. (In Chinese) [Google Scholar] [CrossRef]
- Zhang, Y.; Wu, J.; Shao, X.; Hou, C. Experiment on interfacial shear properties between ultra-high performance concrete and normal strength concrete. China Civ. Eng. J. 2021, 54, 81–89. (In Chinese) [Google Scholar]
- Jiang, X.; Song, H.; Li, K.; Qiang, J.; Tian, J. Experimental Investigation on Shear Strength between Ultra-High-Performance Concrete and Normal Concrete Substrates. Adv. Mater. Sci. Eng. 2023, 2023, 3169912. [Google Scholar] [CrossRef]
- Zhou, J.; Zhi, X.; Fan, F.; Jiao, A.; Qian, H. Anchor design of a ring joint based on reliability in a precast shear wall structure. Appl. Sci. 2019, 9, 3361. [Google Scholar] [CrossRef]
- Jin, Y.J.; Zhao, Y.; Xie, X.Y.; Zhang, X.; Cai, J.w. Simulation Analysis of Joint Connection of New Epoxy Resin Concrete Truss Structure. Int. J. Perform. Eng. 2021, 1, 143–154. [Google Scholar]
- LV, X.; Yu, Z.; Shan, Z. Seismic behaviour of frame structures with assembly of prefabricated concrete beam. J. Build. Eng. 2021, 40, 102765. [Google Scholar] [CrossRef]
- EN1992-1-2; European Standard. Euro-Code2: Design of Concrete Structures-Part1: General Rules and Rules for Buildings. European Committee for Standardization: Bruxelles, Belgium, 2021.
- Wang, J.Y. Research and Application on Horizontal Joint Structural of Precast Reinforced Concrete Shear Wall; Tianjin Chengjian University: Tianjin, China, 2022. (In Chinese) [Google Scholar]
- JGJ/T 101-2015; Specification for Seismic Test of Buildings. China Architecture & Build Press: Beijing, China, 2015.
- Jiao, A.L.; Zhang, P.S.; Li, Y.H. Tests on seismic behavior of pre-cast shear walls with annular closed reinforcements. J. Build. Struct. 2015, 05, 103–109. [Google Scholar] [CrossRef]
- Fang, Z.H.; Zhen, Y.; Li, X.P. Steel hysteretic model of reinforced concrete structures. Eng. J. Wuhan Univ. 2018, 7, 613–619. (In Chinese) [Google Scholar] [CrossRef]
- Fang, Z.H.; Zhou, Y.; Jian, X.Y. MCFT model of concrete structures subjected to cyclic loading. Earthq. Eng. Eng. Vib. 2015, 35, 73–78. (In Chinese) [Google Scholar] [CrossRef]
- Chen, P.Q.; Xu, S.; Zhou, X.J.; Xu, D.Z. An Experimental Study on Flexural-Shear Behavior of Composite Beams in Precast Frame Structures with Post-Cast Epoxy Resin Concrete. Buildings 2023, 13, 3137. [Google Scholar] [CrossRef]
Disclaimer/Publisher’s Note: The statements, opinions and data contained in all publications are solely those of the individual author(s) and contributor(s) and not of MDPI and/or the editor(s). MDPI and/or the editor(s) disclaim responsibility for any injury to people or property resulting from any ideas, methods, instructions or products referred to in the content. |
© 2024 by the authors. Licensee MDPI, Basel, Switzerland. This article is an open access article distributed under the terms and conditions of the Creative Commons Attribution (CC BY) license (https://creativecommons.org/licenses/by/4.0/).