Dynamic Response Analysis Method of a High-Strength RC Beam Subjected to Long-Duration Blast Loading
Abstract
1. Introduction
2. Design of High-Strength Beams
3. Reference Beam Explosion Test
4. Numerical Modeling
5. Numerical Model Validation
6. Pressure–Impulse Curve
6.1. Reference Beam P-I Curve
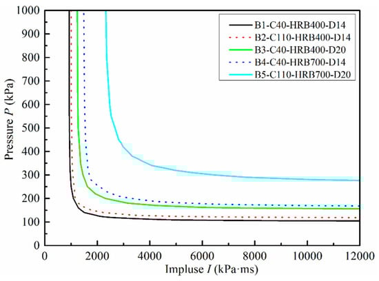
6.2. P-I Curve of the High-Strength Beam
7. Conclusions
- (1)
- The overall bending of reinforced concrete beams is obtained via explosive chamber experiments with a long-duration pulse of 80–105 ms.
- (2)
- A single-degree-of-freedom model with an idealized bilinear resistance function is proposed based on the overall bending mode. The resistance function is developed using a novel approach combined with a three-dimensional improved steel–concrete separated finite-element model.
- (3)
- Through the normalized P-I analysis method with the ductility criterion given by the UFC 3-340-02 design code, the peak overpressure 202 kPa, corresponding to the hazardous state of the ordinary beams, is obtained, while the peak overpressure thresholds for high-strength beams reaches 500 kPa, significantly higher than that of ordinary beams.
- (4)
- The analytical method does not accurately predict the shear-dominated deformation and fracture behavior of each member. Meanwhile, the validation of damage overpressure thresholds for high-strength beams is insufficient.
- (5)
- In the next work, long-duration blast loading experiments of high-strength concrete beams will be carried out to explore the damage mode, especially for the end-supported shear failure. Meanwhile, the pulse of the shock wave will be broadened from 100 ms to the order of seconds, supporting the validation of P-I diagrams in the quasi-static region.
Author Contributions
Funding
Data Availability Statement
Acknowledgments
Conflicts of Interest
References
- Clubley, S.K. Long duration blast loading of cylindrical shell structures with variable fill level. Thin-Walled Struct. 2014, 85, 234–249. [Google Scholar] [CrossRef]
- Denny, J.W.; Clubley, S.K. Long-duration blast loading & response of steel column sections at different angles of incidence. Eng. Struct. 2019, 178, 331–342. [Google Scholar] [CrossRef]
- Cannon, L.; Clubey, S.K. Structural response of simple partially-clad steel frames to long-duration blast loading. Structures 2021, 32, 1260–1270. [Google Scholar] [CrossRef]
- Li, Y.; Algassem, O.; Aoude, H. Response of high-strength reinforced concrete beams under shock-tube induced blast loading. Constr. Build. Mater. 2018, 189, 420–437. [Google Scholar] [CrossRef]
- Aoude, H.; Dagenais, F.P.; Burrell, R.P.; Saatcioglu, M. Behavior of ultra-high performance fiber reinforced concrete columns under blast loading. Int. J. Impact Eng. 2015, 80, 185–202. [Google Scholar] [CrossRef]
- Mahmoud, A.; Ehab, E.S. Seismic Performance of GFRP-Reinforced Concrete Rectangular Columns. J. Compos. Constr. 2016, 20, 04015074. [Google Scholar] [CrossRef]
- Yang, S.; Liu, Z.; Wang, S.; Zhong, W.; Zhang, R.; Yao, X. Dynamic response and failure analysis for urban bridges under far-field blast loads. Eng. Struct. 2023, 285, 116043. [Google Scholar] [CrossRef]
- Wang, Y.; Chen, Q.; Zhao, Z.; Qiang, H.; Yang, K.; Wang, X. Design and performance evaluation framework for seismically isolated reinforcement concrete columns subjected to blast loads. Structures 2022, 45, 2239–2252. [Google Scholar] [CrossRef]
- Liao, Z.; Tang, D.; Li, Z.; Xue, Y.; Shao, L. Study on explosion resistance performance experiment and damage assessment model of high-strength reinforcement concrete beams. Int. J. Impact Eng. 2019, 133, 103362. [Google Scholar] [CrossRef]
- Zhou, X.W.; Wang, X.; Zhang, R.; Zhang, G.; Xiong, R. An Experimental Study of the Effects of Different Reinforcement Ratios on the Impact Resistance Behaviors of Reinforced Concrete Beams. J. Texting Eval. 2020, 48, 2162–2184. [Google Scholar] [CrossRef]
- Magnusson, J.; Hallgren, M.; Ansell, A. Air-blast-loaded, high-strength concrete beams, Part I: Experimental investigation. Mag. Concr. Res. 2010, 62, 127–136. [Google Scholar] [CrossRef]
- Guo, X.; Ding, C.X.; Wei, P.J.; Yang, R.S. Theoretical analysis of the interaction between blasting stress wave and linear interface crack under high in-situ stress in deep rock mass. Int. J. Rock Mech. Min. Sci. 2024, 176, 105723. [Google Scholar] [CrossRef]
- Zhang, C.W. The active rotary inertia driver system for flutter vibration control of bridges and various promising applications. Sci. China Technol. Sci. 2023, 66, 390–405. [Google Scholar] [CrossRef]
- Huang, H.; Yao, Y.F.; Liang, C.J.; Ye, Y.X. Experimental study on cyclic performance of steel-hollow core partially encased composite spliced frame beam. Soil Dyn. Earthq. Eng. 2022, 163, 107499. [Google Scholar] [CrossRef]
- Wang, Y.D.; Yang, S.; Han, M.; Yang, X. Experimental Study of Section Enlargement with Reinforced Concrete to Increase Shear Capacity for Damaged Reinforced Concrete Beams. Appl. Mech. Mater. 2013, 256, 1148–1153. [Google Scholar] [CrossRef]
- Li, C.J.; Hassan, A. Influence of UHPFRC jacketing on the static, blast and post-blast behaviour of doubly-reinforced concrete beams. Int. J. Impact Eng. 2023, 179, 104656. [Google Scholar] [CrossRef]
- Krauthammer, T.; Bazeos, N.; Holmquist, T. Modified SDOF Analysis of RC Box-Type Structures. J. Struct. Eng.-ASCE 1986, 112, 726–744. [Google Scholar] [CrossRef]
- Krauthammer, T. Shallow-Buried RC Box-Type Structures. J. Struct. Eng. 1984, 110, 3. [Google Scholar] [CrossRef]
- Carta, G.; Stochino, F. Theoretical models to predict the flexural failure of reinforced concrete beams under blast loads. Eng. Struct. 2013, 49, 306–315. [Google Scholar] [CrossRef]
- Al-Thairy, H. A modified single degree of freedom method for the analysis of building steel columns subjected to explosion induced blast load. Int. J. Impact Eng. 2016, 94, 120–133. [Google Scholar] [CrossRef]
- Bruhl, J.C.; Varma, A.H. Analysis and Design of One-Way Steel-Plate Composite Walls for Far-Field Blast Effects. J. Struct. Eng. 2021, 147, 04020288. [Google Scholar] [CrossRef]
- Xu, J.; Wu, C.; Li, Z.X. Analysis of direct shear failure mode for RC slabs under external explosive loading. Int. J. Impact Eng. 2014, 69, 136–148. [Google Scholar] [CrossRef]
- Nassr, A.A.; Razaqpur, A.G.; Tait, M.J.; Campidelli, M.; Foo, S. Strength and stability of steel beam columns under blast load. Int. J. Impact Eng. 2013, 55, 34–48. [Google Scholar] [CrossRef]
- Peng, Q.; Zhou, D.Y.; Wu, H.; Ma, L.L.; Fang, Q. Experimental and numerical studies on dynamic behaviors of RC slabs under long-duration near-planar explosion loadings. Int. J. Impact Eng. 2022, 160, 104085. [Google Scholar] [CrossRef]
- Zeng, F.; Feng, X.W.; Huang, C.; Xu, Q.; Xiao, G.Z.; Tain, R. Modified discrete numerical model for reinforced concrete structures. Explos. Shock Waves 2022, 42, 065102. [Google Scholar] [CrossRef]
- GB 55002-2021; Building Design Code. China Construction Industry Press: Beijing, China, 2021.
- Zeng, F.; Liu, N. Evaluation software of damage grade of strong shock wave structure JUST-PANDA and its application. In Proceedings of the National Conference on Explosive Mechanics, Tongxiang, China, 3–5 November 2018. [Google Scholar]
- Zeng, F.; Xiao, G.Z.; Feng, X.W.; Huang, C.; Tian, R. A damage assessment method for masonry structures subjected to long duration blast loading. Explos. Shock Waves 2021, 41, 105101. [Google Scholar] [CrossRef]
- UFC 3-34002-2008; Structures to Resist the Effects of Accidental Explosions. US Department of Defense: Washington, DC, USA, 2008.
- Task Committee on BlastResistant Design. Design of Blast Resistant Buildings for Petrochemical Facilities, 2nd ed.; ASCE: Reston, VA, USA, 2010. [Google Scholar]


















| Beam Sample | Grand of Concrete | Longitudinal Bar Grade | Diameter of Longitudinal bar/mm | Reinforcement Ratio |
|---|---|---|---|---|
| B1-C40-HRB400-D14 | C40 | HRB400 | 14 | 0.85% |
| B2-C110-HRB400-D14 | C110 | HRB400 | 14 | 0.85% |
| B3-C40-HRB400-D20 | C40 | HRB400 | 20 | 1.74% |
| B4-C40-HRB700-D14 | C40 | HRB700 | 14 | 0.85% |
| B5-C110-HRB700-D20 | C110 | HRB700 | 20 | 1.74% |
| Experimental Conditions | P1 Explosion Height (mm) | P2 Explosion Height (mm) | P3 Explosion Height (mm) | P4 Explosion Height (mm) | P5 Explosion Height (mm) | Charge Mass (kg) |
|---|---|---|---|---|---|---|
| Exp 1 | 990 | 990 | 990 | 980 | 980 | 0.5 |
| Exp 2 | 950 | 930 | 945 | 900 | 910 | 0.9 |
| Exp 3 | 950 | 940 | 920 | 900 | 900 | 1.15 |
| Beam Sample | Yield Strength Ry (kN) | Elastic Stiffness ke (kN/m) | Plastic Stiffness kp (kN/m) | kp/ke |
|---|---|---|---|---|
| B1-C40-HRB400-D14 | 77.3 | 123.5 | 0.015 | |
| B2-C110-HRB400-D14 | 88.9 | 154.7 | 0.014 | |
| B3-C40-HRB400-D20 | 109.8 | 203.1 | 0.021 | |
| B4-C40-HRB700-D14 | 112.2 | 167.1 | 0.019 | |
| B5-C110-HRB700-D20 | 197.5 | 242.1 | 0.018 |
Disclaimer/Publisher’s Note: The statements, opinions and data contained in all publications are solely those of the individual author(s) and contributor(s) and not of MDPI and/or the editor(s). MDPI and/or the editor(s) disclaim responsibility for any injury to people or property resulting from any ideas, methods, instructions or products referred to in the content. |
© 2024 by the authors. Licensee MDPI, Basel, Switzerland. This article is an open access article distributed under the terms and conditions of the Creative Commons Attribution (CC BY) license (https://creativecommons.org/licenses/by/4.0/).
Share and Cite
Zhao, H.; Zeng, F.; Feng, X.; Wang, S.; Huang, C.; Liu, N.; Zhang, J. Dynamic Response Analysis Method of a High-Strength RC Beam Subjected to Long-Duration Blast Loading. Buildings 2024, 14, 1612. https://doi.org/10.3390/buildings14061612
Zhao H, Zeng F, Feng X, Wang S, Huang C, Liu N, Zhang J. Dynamic Response Analysis Method of a High-Strength RC Beam Subjected to Long-Duration Blast Loading. Buildings. 2024; 14(6):1612. https://doi.org/10.3390/buildings14061612
Chicago/Turabian StyleZhao, Haochuan, Fan Zeng, Xiaowei Feng, Shouqian Wang, Chao Huang, Na Liu, and Jian Zhang. 2024. "Dynamic Response Analysis Method of a High-Strength RC Beam Subjected to Long-Duration Blast Loading" Buildings 14, no. 6: 1612. https://doi.org/10.3390/buildings14061612
APA StyleZhao, H., Zeng, F., Feng, X., Wang, S., Huang, C., Liu, N., & Zhang, J. (2024). Dynamic Response Analysis Method of a High-Strength RC Beam Subjected to Long-Duration Blast Loading. Buildings, 14(6), 1612. https://doi.org/10.3390/buildings14061612

