The Seismic Performance of Self-Centering Ribbed Floor Flat-Beam Frame Joints
Abstract
1. Introduction
2. Overview of Hybrid Joints
3. Experimental Overview
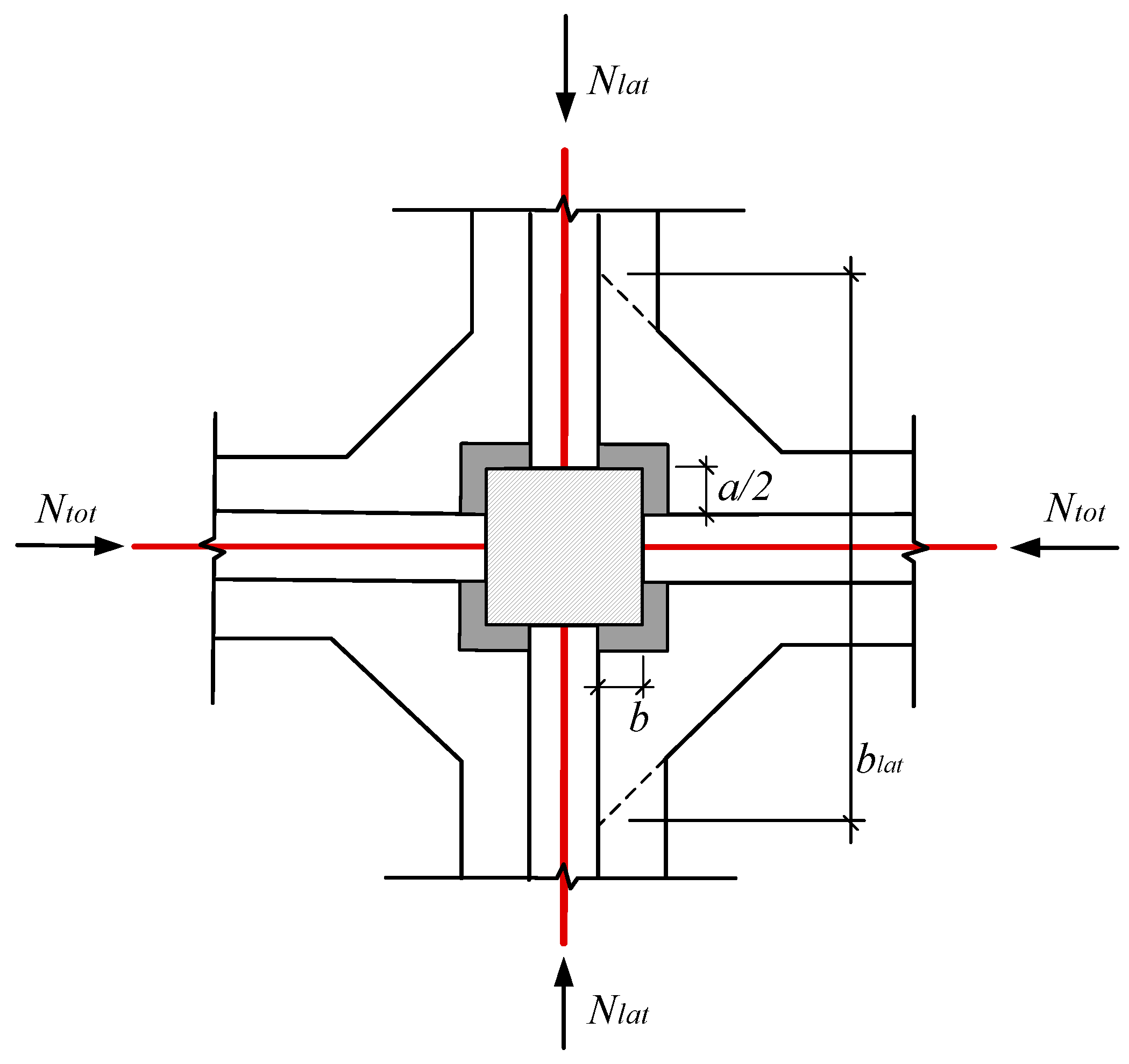
3.1. Test Piece Design
3.2. Material Properties
3.3. Experimental Loading and Measurement Plan
3.3.1. Loading Device
3.3.2. Measurement Plan
3.3.3. Loading System
4. Test Result and Discussions
4.1. Experimental Phenomena and Failure Modes
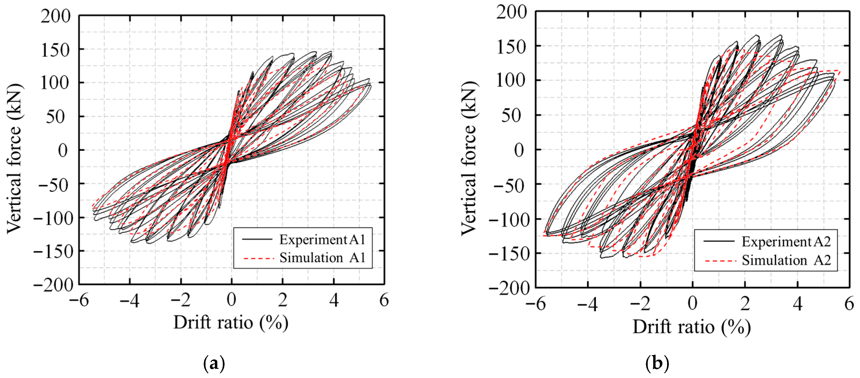
4.2. Hysteresis Curves and Skeleton Curves
4.3. Accumulated Energy Consumption
5. Finite Element Analysis
5.1. Model Establishment
5.2. Finite Element Results and Analysis
5.3. Parametric Analysis
5.3.1. Friction Coefficient
5.3.2. Laminated Layer
6. Conclusions
Author Contributions
Funding
Data Availability Statement
Conflicts of Interest
References
- Cheok, G.S.; Stone, W.C.; Kunnath, S.K. Seismic Response of Precast Concrete Frames with Hybrid Connections. ACI Struct. J. 1998, 95, 527–539. [Google Scholar] [CrossRef]
- Stanton, J.; Stone, W.C.; Cheok, G.S. A Hybrid Reinforced Precast Frame for Seismic Regions. PCI J. 1997, 42, 20–23. [Google Scholar] [CrossRef]
- Stone, W.C.; Cheok, G.S.; Stanton, J.F. Performance of Hybrid Moment-Resisting Precast Beam-Column Concrete Connections Subjected to Cyclic Loading. ACI Struct. J. 1995, 92, 229–249. [Google Scholar] [CrossRef] [PubMed]
- Priestley, M.J.N.; Macrae, G.A. Seismic tests of precast beam-to-column joint subassemblages with unbonded tendons. PCI J. 1996, 41, 64–81. [Google Scholar] [CrossRef]
- Priestley, M.J.N.; Tao, J.R. Seismic response of precast prestressed concrete frames with partially debonded tendons. PCI J. 1993, 38, 58–69. [Google Scholar] [CrossRef]
- Morgen, B.; Kurama, Y. A friction damper for post-tensioned precast concrete beam-to-column joints. PCI J. 2004, 49, 112–133. [Google Scholar] [CrossRef]
- Huang, L.; Clayton, P.M.; Zhou, Z. Seismic design and performance of self-centering precast concrete frames with variable friction dampers. Eng. Struct. 2021, 245, 112863. [Google Scholar] [CrossRef]
- Huang, L.; Zhou, Z.; Liu, H.; Si, Y. Experimental Investigation of Hysteretic Performance of Self-Centering Glulam Beam-to-Column Joint with Friction Dampers. J. Earthq. Tsunami 2021, 15, 2150005. [Google Scholar] [CrossRef]
- Guo, T.; Wang, L.; Xu, Z.K.; Hao, Y. Experimental and numerical investigation of jointed self-centering concretewalls with friction connectors. Eng. Struct. 2018, 161, 192–206. [Google Scholar] [CrossRef]
- Cortés-Puentes, W.L.; Palermo, D. Modeling of concreteshear walls retrofitted with SMA tension braces. J. Earthq. Eng. 2020, 24, 555578. [Google Scholar] [CrossRef]
- Abdulridha, A.; Palermo, D. Behaviour and modelling ofhybrid SMA-steel reinforced concrete slender shear wall. Eng. Struct. 2017, 147, 77–89. [Google Scholar] [CrossRef]
- Mohsen, K.; Abbas, S.P.; Ehsan, N.F. Experimental and numerical investigations of a new hysteretic damper for seismic resilient steel moment connections. J. Build. Eng. 2021, 43, 102811. [Google Scholar]
- Xueyuan, Y.; Shen, S.; Xuhong, L.; Mao, H. Numerical Analysis of Mechanical Behavior of Self-Centering Joint between CFDST Column and RC Beam. Buildings 2023, 13, 135. [Google Scholar] [CrossRef]
- Speicher, M.S.; DesRoches, R.; Leon, R.T. Experimental results of a NiTi shape memory alloy-based recentering beam-column connection. Eng. Struct. 2011, 33, 2448–2457. [Google Scholar] [CrossRef]
- Youssef, M.A.; Alam, M.S.; Nehdi, M. Experimental investigation on the seismic behavior of beam-column joints reinforced with super elastic shape memory alloys. J. Earthq. Eng. 2008, 12, 1205–1222. [Google Scholar] [CrossRef]
- Wang, X.; Shen, J.; Yan, X. Experimental research on a seismic behavior of slab-column structural system assembled by prestressing. China Civ. Eng. J. 1988, 3, 26–38. [Google Scholar]
- Chen, H.; Zhu, H.; Yang, Y.; Kang, X.; Wang, F. Experimental and numerical analysis of prestressed prefabricated self-centering IMS composite frame joints. J. Struct. Eng. 2023, 149. [Google Scholar] [CrossRef]
- Chen, H.; Zhu, H.; Kang, X.; Wang, F.; Zhao, Z.; Liang, S.; Yang, Y. Experimental study on shear resistance of IMS prestressed friction joints with alveolar surfaces. Structures 2022, 45, 659–669. [Google Scholar] [CrossRef]
- Guo, H.; Shi, P.; Qi, H.; Wu, B.; Pan, P.; Li, L.; Liu, K.; Wang, D. Full-scale experimental study on post-tensioned prestressed precast frame structures. J. Build. Struct. 2021, 42, 14. [Google Scholar] [CrossRef]
- Guo, H.; Liu, K.; Qi, H.; Shi, P.; Wang, D.; Li, L.; Sun, J.; Tian, Z.; Tian, L.; Geng, J.; et al. Study on a novel precast unbonded post-tensioned concrete beam-column connection. J. Build. Struct. 2019, 1, 1–10. [Google Scholar]
- Zheng, J.; Zhou, Z.; Zeng, B.; Huang, L. Seismic resilience analysis of self-centering prestressed concrete frames with generalized flag-shaped hysteretic behavior. Eng. Struct. 2023, 297, 116947. [Google Scholar] [CrossRef]
- Jiang, Z.Q.; Chen, M.-L.; Yang, Z.-S.; Li, X.-Y.; Cai, C. Cyclic loading tests of self-centering prestressed prefabricated steel beam-column joint with weakened FCP. Eng. Struct. 2022, 252, 113578. [Google Scholar] [CrossRef]
- CECS 52:2010; Technical Code for Columnslab Buliding Assembled by Monolithic Prestressing. China Planning Press: Beijing, China, 2010.
- GB/T 228.1—2010; Metallic Materials: Tensile Testing: Part 1: Method of Test at Room Temperature. Standards Press of China: Beijing, China, 2010.
- GB/T 50081—2019; Standard for Test Methods of Concrete Physical and Mechanical Properties. China Architecture & Building Press: Beijing, China, 2019.
- JGJ/T 101—2015; Specification for Seismic Test of Buildings. China Architecture & Building Press: Beijing, China, 2015.
- Qu, Z.; Ye, L. Strength deterioration model based on effective hysteretic energy dissipation for RC members under cyclic loading. Eng. Mech. 2011, 28, 45–51. [Google Scholar]
- Qu, Z.; Fu, X.; Kishiki, S.; Cui, Y. Behavior of masonry infilled Chuandou timber frames subjected to in-plane cyclic loading. Eng. Struct. 2020, 211, 110449. [Google Scholar] [CrossRef]
- Qu, Z.; Ji, X.D.; Shi, X.; Wang, Y.D.; Liu, H.Q. Cyclic loading test of steel coupling beams with mid-span friction dampers and RC slabs. Eng. Struct. 2020, 203, 109876. [Google Scholar] [CrossRef]
- Qu, Z.; Xie, J.Z.; Cao, Y.T.; Li, W.J.; Wang, T. Effects of strain rate on the hysteretic behavior of buckling restrained braces. ASCE J. Struct. Eng. 2020, 146, 06019003. [Google Scholar] [CrossRef]
- ACI Committee 318-83; Building Code Requirements for Reinforced Concrete (ACI 318-83) (Revised 1986). American Concrete Institute: Farmington Hills, MI, USA, 1986.
- ACI Committee 318-11; Building Code Requirements for Structural Concrete (ACI 318-11) and Commentary. American Concrete Institute: Farmington Hills, MI, USA, 2011.
- Attard, M.M.; Setunge, S. Stress-strain relationship of confined and unconfined concrete. ACI Mater. J. 1996, 93, 432–442. [Google Scholar]
- Légeron, F.; Paultre, P. Uniaxial confinement model for normal and high-strength concrete columns. J. Struct. Eng. ASCE 2003, 129, 241–252. [Google Scholar] [CrossRef]
- Légeron, F.; Paultre, P.; Mazars, J. Damage Mechanics Modeling of Nonlinear Seismic Behavior of Concrete Structures. J. Struct. Eng. ASCE 2005, 131, 946–955. [Google Scholar] [CrossRef]


















| Steel Type | Diameter (mm) | Strength/Mpa | Elastic Modulus/(Mpa) | Elongation Agt/% | |
|---|---|---|---|---|---|
| Yielding | Ultimate | ||||
| Reinforced bar | 16 | 482 | 657 | 2.17 × 105 | 20.1 |
| 12 | 441 | 603 | 2.05 × 105 | 22.6 | |
| 8 | 428 | 584 | 2.11 × 105 | 23.7 | |
| 6 | 406 | 552 | 2.05 × 105 | 24.3 | |
| Strands | 1 × 7 Φ S15.2 | 1786 | 1928 | 1.98 × 105 | 6.5 |
| Water Cement Ratio | Volume Content/% | Compressive Strength/MPa | Flexural Strength/MPa | Fluidity /mm | |||||
|---|---|---|---|---|---|---|---|---|---|
| 1 d | 3 d | 28 d | 1 d | 3 d | 28 d | Initial Value | 30 min | ||
| 0.145 | 1.5 | 65.0 | 72.7 | 80.5 | 8.4 | 11.8 | 10.9 | 305 | 285 |
Disclaimer/Publisher’s Note: The statements, opinions and data contained in all publications are solely those of the individual author(s) and contributor(s) and not of MDPI and/or the editor(s). MDPI and/or the editor(s) disclaim responsibility for any injury to people or property resulting from any ideas, methods, instructions or products referred to in the content. |
© 2024 by the authors. Licensee MDPI, Basel, Switzerland. This article is an open access article distributed under the terms and conditions of the Creative Commons Attribution (CC BY) license (https://creativecommons.org/licenses/by/4.0/).
Share and Cite
Chen, H.; Wang, F.; Li, L.; Liu, Q.; Kang, X. The Seismic Performance of Self-Centering Ribbed Floor Flat-Beam Frame Joints. Buildings 2024, 14, 1590. https://doi.org/10.3390/buildings14061590
Chen H, Wang F, Li L, Liu Q, Kang X. The Seismic Performance of Self-Centering Ribbed Floor Flat-Beam Frame Joints. Buildings. 2024; 14(6):1590. https://doi.org/10.3390/buildings14061590
Chicago/Turabian StyleChen, Hongyu, Fei Wang, Likun Li, Qixuan Liu, and Xiandong Kang. 2024. "The Seismic Performance of Self-Centering Ribbed Floor Flat-Beam Frame Joints" Buildings 14, no. 6: 1590. https://doi.org/10.3390/buildings14061590
APA StyleChen, H., Wang, F., Li, L., Liu, Q., & Kang, X. (2024). The Seismic Performance of Self-Centering Ribbed Floor Flat-Beam Frame Joints. Buildings, 14(6), 1590. https://doi.org/10.3390/buildings14061590
