Next Article in Journal
Analysis of the Effect of Loading Rate on Mechanical Properties of Fissured Rock Materials and Acoustic Emission Characteristic Parameters
Next Article in Special Issue
Design Approach on Bearing Capacity of the Cross-Bracing with Different Types of Joint Connection in Steel Lattice Transmission Towers
Previous Article in Journal
Experimental Study on the Bearing Behavior and Failure Model of Digging Hold Foundation in Rock Ground
Previous Article in Special Issue
Experimental Study on the Performance of Glass/Basalt Fiber Reinforced Concrete Unidirectional Plate under Impact Load
 
 
Font Type:
Arial Georgia Verdana
Font Size:
Aa Aa Aa
Line Spacing:
Column Width:
Background:
Article

A Hydration-Based Integrated Model to Evaluate Properties Development and Sustainability of Oyster Shell Powder–Cement Binary Composites

1
Department of Civil and Environmental Engineering, Hannam University, Daedeok-Gu, Daejeon 34430, Republic of Korea
2
Department of Architectural Engineering, Department of Integrated Energy and Infra System, Kangwon National University, Chuncheon-si 24341, Republic of Korea
*
Author to whom correspondence should be addressed.
Buildings 2024, 14(6), 1578; https://doi.org/10.3390/buildings14061578
Submission received: 25 March 2024 / Revised: 21 May 2024 / Accepted: 28 May 2024 / Published: 30 May 2024
(This article belongs to the Special Issue Low-Carbon and Green Materials in Construction—2nd Edition)

Abstract

Currently, oyster shell powder (OSP) is becoming more widely used in the production of cement-based materials. The purpose of this study is to propose a predictive model that can predict the properties of concrete materials incorporating oyster shell powder. The methods of this prediction model are given as follows. First, based on the measurement results of the heat of hydration in the first 7 days, the prediction parameters of the hydration model are obtained. Secondly, based on the hydration model, the measured results of the heat of hydration were extrapolated, and the heat of hydration from the start of stirring to day 28 was calculated. From the calculation results, the developments of compressive strength, ultrasonic velocity, and surface electrical resistivity were estimated. Finally, we evaluated the CO2 emissions of concrete incorporating oyster shell powder. The CO2 emissions corresponding to unit compressive strength and unit surface electrical resistivity were calculated. The important conclusions of the prediction model are given as follows. First, for different substitution amounts of oyster shell powder, the model result shows that the ultimate value of the heat of hydration corresponding to the unit cement mass is the same, i.e., 454.27 J/g. While the substitution amount of oyster shell powder increases from 0% to 30%, the model result shows that the cumulative 28-day hydration heat for 1 g cement increases the powder amount from 405.7 J/g to 419.3 J/g. Secondly, as the amount of substituted oyster shell powder increases from 0% to 30%, the model result shows that the cumulative 28-day heat of hydration per gram of cementitious material decreases this amount from 405.7 J/g to 293.4 J/g. Compressive strength, ultrasonic pulse velocity, and surface electrical resistivity can all be expressed as exponential functions of the heat of hydration. For compressive strength, ultrasonic pulse velocity, and surface electrical resistivity, the coefficients of determination for the simulation results and experimental results are 0.8396, 0.7195, and 0.9408, respectively. Finally, as the amount of substituted oyster shell powder increases from 0% to 30%, the model result shows that the CO2 emission per unit of compressive strength increases from 10.18 kg/MPa to 16.51 kg/MPa. As the amount increases from 0% to 30%, the model result shows that the CO2 emission corresponding to the unit surface electrical resistivity does not change significantly. In summary, the importance of this model is that it can predict various properties of concrete mixed with oyster shell powder, reduce the number of experiments, and promote the engineering application of oyster shell powder concrete.

1. Introduction

1.1. Experimental Studies on Oyster Shell Powder Concrete

With the development of the cement industry, low-carbon requirements have be-come more important. Replacing part of the cement with other materials is the most direct way to reduce carbon emissions. In addition, oyster shell powder (OSP) is a by-product of the marine industry. Its main component is calcium carbonate [1]. It has the characteristics of a filling material and can be used in the cement industry [2].
Currently, there are many experimental studies on the application of OSP in the cement industry [3]. Liao et al. [4] found that, when the calcined temperature was 950 degrees, the raw material cost and CO2 emissions of mortar could be reduced. Ubachukwu and Okafor [5] found that the addition of OSP made the setting time of concrete longer while increasing the slump. Soltanzadeh et al. [6] reported that OSP can reduce concrete cost and increase the sustainability of blended concrete. Naqi et al. [7], for high-volume slag concrete, found that the calcined OSP can make the microstructure finer. Liu et al. [8] combined OSP with limestone and slag to produce ternary supplementary cementitious materials (SCMs) and found that the ternary SCMs can refine the pore structure. Seo et al. [9] presented that calcined OSP can be used as an expansive additive to produce concrete, and that the optimum contents of calcined OSP were 3% mass of the binder. Song et al. [10] made water-repellent concrete using superhydrophobic oyster shell powder and found that the concrete could reduce water absorption.

1.2. The Effect of Oyster Shell Powder on Cement Hydration

On the basis of a literature survey, we found that after oyster shell powder replaces part of the cement, it mainly has three effects, namely dilution effect, nucleation effect, and chemical effect. A detailed description of each effect is given as follows.

1.2.1. Dilution Effect

When OSP is used to replace part of the cement, the mass ratio of water to cement will change. As the water–cement ratio increases, the hydration rate of the cement increases, which can be called a dilution effect [11]. This dilution effect on the increase in cement hydration degree is not obvious in concrete with a high water–binder ratio [11]. However, in concrete with a low water–binder ratio, the dilution effect on the increase in the cement hydration degree is obvious [12], which can compensate to a certain extent for the reduction in compressive strength caused by the reduction in cement mass. Some researchers [12] reported that for concrete with a low water–binder ratio, when filler is used to replace cement, the compressive strength does not decrease significantly.

1.2.2. Nucleation Effect

During the hydration process of cement, hydration products cover the surface of unhydrated cement. When filler is added, part of the hydration products can be generated on the surface of the filler, reducing the thickness of the hydration products on the cement surface, making it easier for capillary water to reach the unhydrated cement surface. This is the nucleation effect [11]. Generally speaking, as the filler surface area increases, the nucleation effect becomes obvious [13]. In addition, the nucleation effect is also related to the chemical composition of the filler. Generally speaking, the nucleation effect of limestone powder is better than that of stone powder [13]. This is because calcium ions are generated after the limestone powder dissolves, and its chemical affinity with cement is better than that of stone powder.

1.2.3. Chemical Effect

The main component of OSP is calcium carbonate. In recent years, researchers have discovered that calcium carbonate can react with the aluminum phase in cementitious materials to generate hemicarboaluminate or monocarboaluminate [14]. This is the chemical reaction between OSP and aluminum in the binder [14]. As the amount of aluminum in the cementitious material increases, the chemical reactions of OSP become apparent [15]. Generally speaking, for ordinary Portland cement, the reactivity of calcium carbonate is very low. At 180 days, calcium carbonate reflects 5% [14].

1.3. The Necessity of a Hydration Model

Hydration modeling is of great importance for cement-based materials. The hydration model is theoretically studied. Through the hydration model, the reaction degree of cement-based materials can be predicted, and the composition and pore distribution of hydration products can also be predicted, thereby estimating the durability of concrete.
Although, currently, there are many hydration models, the main shortcomings of previous works and the novelties of this work are given as follows.
First, previous models mainly focused on Portland cement concrete [16,17,18,19], and research on concrete with admixtures is relatively limited. Although some models consider the effect of mineral admixtures, such as silica fume [20], fly ash [21] and slag [22], so far, none have considered the effect of oyster shell powder. Contrastively, this study considers the effect of oyster shell powder on cement hydration.
Secondly, most of the previous models which focus on the prediction of material properties [21,22], and the prediction of sustainability, such as CO2 emissions, and surface electrical resistivity, are very limited. Contrastively, this study considers not only the evaluation of hydration and overall properties, but also conducts a sustainability analysis.
Thirdly, the calculation method of the previous hydration model was too complicated and used many complex formulas [14,21,22], which made it difficult for most researchers to understand and also affected the promotion of the model. Contrastively, the proposed hydration model in this study is very simple and only consists of three parameters, which is much easier for other researchers to understand.

1.4. Outline of the Study

The main chapters of this article are described as follows. Section 1 is an introduction. Section 2 summarizes the experimental methods and experimental results of OSP concrete in our previous research. Section 3 presents the performance prediction model based on the hydration model. Section 5 contains the discussion. Section 6 presents the conclusions.

2. Experimental Results of OSP Concrete in Our Previous Research [23]

The main experimental results have been reported in our previous study [23]. In this study, in order to ensure the completeness of the paper and facilitate the readers’ understanding of the model, the outline of the experiment is only summarized. The used cement is ordinary Portland cement, and the cement replacement rates of OSP are 0, 15%, and 30% (shown in Table 1). The CO2 emissions of OSP concrete are much lower than those of ordinary cement (shown in Table 2). For microscopic experiments such as the heat of hydration, cement slurries were used. The experiments on the heat of hydration were carried out using cement slurries (the results are shown in the Appendix A). The experimental instrument was a TAM-air isothermal calorimeter. The test time was from the start of stirring to the end of the 7 days.
For the compressive strength test, ultrasonic pulse velocity (UPV) test, and surface electrical resistivity test, mortar specimens were used. The mass ratio of sand to cementitious material was 2.5:1. The mortar specimens underwent sealed curing with a surrounding temperature of 20 °C. The compressive strength, ultrasonic pulse velocity, and surface electrical resistivity tests were conducted at days 3, 7, and 28.
For the compressive strength test specimens (the results of which are shown in Table 3), cubic mortar test specimens were used, the dimensions of which were 50 mm × 50 mm × 50 mm. Compressive strength was measured according to specification ASTM C109 [23,24].
For the ultrasonic pulse velocity test specimens (the results of which are shown in Table 4), cylindrical mortar test specimens were used, the diameter and height of which were 100 mm and 200 mm, respectively. Ultrasonic velocities were measured according to specification ASTM C597-16 [23,25].
For the surface electrical resistivity specimen (the results of which are shown in Table 5), cylindrical mortar specimens were used with a diameter of 100 mm and a height of 200 mm. The surface electrical resistivity was measured according to specification RILEM TC154-EMC [23]. Surface electrical resistivity is an important indicator of durability against chloride ion attack [26]. The corrosion of steel bars caused by chloride ions can be roughly divided into two stages. The first stage is the chloride ion penetration stage, and the second one is the steel bar corrosion stage. In the first stage, as the surface electrical resistivity increases, the chloride ion diffusion coefficient decreases, and the durability life of the first stage increases. In the second stage, as the surface electrical resistivity increases, the corrosion current density decreases and the durability life of the second stage also increases. Hence, it can be found that, as the surface electrical resistivity increases, the whole service life of chloride-induced corrosion also increases.
Table 1. Mixtures of mortar specimens.
Table 1. Mixtures of mortar specimens.
Cement
(kg/m3)
OSP
(kg/m3)
Water
(kg/m3)
Sand
(kg/m3)
OSP0568.160.00284.081420.41
OSP15482.9485.22284.081420.41
OSP30397.71170.45284.081420.41
Table 2. Densities and CO2 emissions of mortar component.
Table 2. Densities and CO2 emissions of mortar component.
CementOSPWaterSand
Density (kg/m3)3200260010002700
CO2 emissions (kg/kg)0.86 [27]0.001784 [28]0.000196 [27,29]0.003 [29]
Table 3. Test results of compressive strength (MPa).
Table 3. Test results of compressive strength (MPa).
3 Days7 Days28 Days
OSP028.138.149.2
OSP1520.325.332.1
OSP3013.316.221.1
Table 4. Test results of UPV (m/s).
Table 4. Test results of UPV (m/s).
3 Days7 Days28 Days
OSP04152.24362.14464.2
OSP154023.14137.24281.3
OSP303611.23757.33882.1
Table 5. Test results of surface electrical resistivity (kΩ·cm).
Table 5. Test results of surface electrical resistivity (kΩ·cm).
3 Days7 Days28 Days
OSP014.821.234.7
OSP1514.120.130.5
OSP3010.515.222.5
The summary of the test results is given as follows. For the heat of hydration, as the substitution amount of OSP increases, the heat of hydration decreases; but when the value of the heat of hydration is normalized to the mass of the cement, the heat of hydration increases (the detailed test results of hydration heat are shown in the Appendix A). For compressive strength (shown in Table 3), ultrasonic pulse velocity (shown in Table 4), and surface electrical resistivity (shown in Table 5), each set of results decreases as the amount of OSP substitution increases.

3. Hydration Model for Cement–OSP Binary Blends

3.1. Evaluation of Hydration Heat

In this study, since the water–binder ratio used was 0.50, the OSP dilution effect on the increase in cement hydration degree played a lesser role. In addition, no obvious chemical reactions were observed in the OSP before 28 days, so in the simulations, the nucleation effect of OSP was mainly considered.
The steps of the integrated model are described as follows.
The first step is to decrease the parameters of the hydration model using the experimental results based on the isothermal cumulative hydration heat of the first 7 days for 1 g cement.
The second step is to extrapolate the results of hydration heat based on the hydration model, calculate the cumulative hydration heat from the beginning of mixing to 28 days based on 1 g binder (binder means the mass of cement plus the mass of OSP), and use the cumulative hydration heat of 1 g cementitious material to calculate various macroscopic properties of the mortar.
The third step is to estimate sustainability based on macroscopic properties, compressive strength, and surface electrical resistivity, such as CO2 emissions per unit of compressive strength and unit surface electrical resistivity.
There are many hydration models now, and the three-parameter equation (TPE) is one of the simple and practical models. A three-parameter equation for cumulative hydration heat is shown as follows [30]:
Q(t) = Q0·α
α = exp[−b·(tc)]
where Q(t) is the test results for cumulative hydration heat normalized by cement mass, Q0 is the hydration heat of 1 g fully hydrated cement, α is the degree of hydration of cement, b is the reaction rate parameter, and c is the shape parameter. When the value of c is −1, the degree of hydration is a logarithmic function of time. This trend is consistent with the test results of the hydration experiment [14].
Given the test results for the hydration heat normalized by cement mass in this previous work [23], the parameters of the hydration model can be determined as follows (shown in Table 6).
b0, b15, and b30 are the reaction rate parameters b, for the control, 15% OSP, and 30% OSP specimens, respectively. For these three specimens, the values of Q0 and c are the same, and only the values of b are different. The value of Q0 is 454.27, which is within the range of the heat of hydration released when 1 g cement is fully hydrated [31]. Moreover, as the OSP content increases, the value of the reaction rate also increases. This means that OSP can accelerate the hydration of cement, but it does not change the essence of cement hydration.
A comparison of the test and analysis results is shown in Figure 1. The analysis results generally agree with the test results. From a mixing time up to about 10 h, the test results are slightly higher than the analysis results. This is because the three-parameter equation model does not consider the hydration heat from the initial contact period [31].

3.2. Evaluating Properties Development Using the Hydration Model

In cement–OSP blends, OSP is almost a chemically inert filler. In hydration heat tests, given the limits of the testing equipment, only the first 7 days of heat can be measured [23]. However, with the proposed model, hydration heat beyond 7 days can be calculated. The calculated results are shown in Figure 2. Figure 2a shows the heat normalized by the cement mass from mixing to 700 h. As the OSP content increases, heat normalized by the cement mass increases due to the nucleation effect. Figure 2b shows the calculated results of cement hydration degree. The trend of cement hydration degree is consistent with the trend of hydration heat in Figure 2a. In the early stages of hydration, the degree of hydration increases rapidly. In the later stages of the hydration reaction, the hydration reaction enters a plateau period, and the growth of the hydration degree becomes slow, which is consistent with the test results of the hydration degree [23]. Figure 2c shows the heat normalized by the cement-plus-OSP mass. As the OSP content increases, heat normalized by the cement-plus-OSP mass decreases due to the dilution effect. This means that, although the nucleation effect can accelerate cement hydration, it cannot compensate for the reduction caused by the dilution effect.
Figure 3a shows the relationship between the compressive strength and the calculated hydration heat. For all three specimens at all test ages (3, 7, and 28 days), compressive strength is generally an exponential function of hydration heat. The coefficient of determination of regression is 0.8396. In summary, our proposed model can overcome the weakness of hydration heat test machines and expand the test results for hydration heat over a longer period. Figure 3b shows the relationship between UPV and the calculated hydration heat. For all three specimens at each of all test ages (3, 7, and 28 days), UPV is generally an exponential function of hydration heat. The coefficient of determination of regression is 0.7195. Figure 3c shows the relationship between the surface electrical resistivity and the calculated hydration heat. For all three specimens at all test ages (3, 7, and 28 days), surface electrical resistivity is an exponential function of hydration heat. The coefficient of determination of regression is 0.9406.

3.3. Evaluation of Sustainability of Cement–OSP Blends

In this study, three indicators are used to measure the sustainability of mortar containing OSP, which are CO2 emissions per unit volume, CO2 emissions per unit of compressive strength, and CO2 emissions per unit of surface electrical resistivity. The formula for calculating CO2 emissions per unit volume is given as follows:
C V = i = 1 i = 4 m i C O 2 i
where Cv means the CO2 emission of unit volume mortar, while mi and CO2i mean the CO2 emission of mortar components, respectively (mi is shown in Table 1, and CO2i is shown in Table 2).
The formula for calculating CO2 emissions per unit of compressive strength is given as follows:
C F = C V fc 28
where CF and fc28 mean the CO2 emissions per unit of compressive strength and the 28-day compressive strength, respectively.
The formula for calculating CO2 emissions per unit of surface electrical resistivity is given as follows:
C R = C V R 28
where CR and R28 mean CO2 emissions per unit of surface electrical resistivity and the 28-day surface electrical resistivity, respectively.
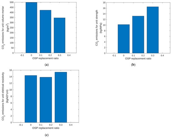
Figure 4a shows the CO2 emissions per unit volume of mortar. As the OSP content increases, the CO2 emissions per unit volume decrease because the amount of carbon emissions from OSP is much smaller than that of cement. Figure 4b shows the CO2 emissions per unit of compressive strength. As the OSP content increases, the CO2 emissions per unit of compressive strength increase. This is because, although the CO2 emissions per unit volume decrease, the 28-day compressive strength decreases more significantly as the OSP content increases. In other words, if the CO2 per unit of compressive strength is used as an indicator, OSP concrete is unsustainable. Figure 4c shows the CO2 emissions per unit of surface electrical resistivity. As the OSP content increases, the CO2 emissions per unit of surface electrical resistivity increase. This is because, although the CO2 emissions per unit volume decrease, the 28-day surface electrical resistivity decreases more significantly as the OSP content increases. In other words, if the CO2 per unit of surface electrical resistivity is used as an indicator, OSP concrete is unsustainable.
In our previously published paper [23], experiments were performed on oyster shell powder, such as hydration heat, compressive strength, ultrasonic pulse velocity, and surface electrical resistivity. In this study, a new binary hydration model of cement–oyster shell powder is proposed. On the basis of the hydration model, the heat of hydration, compressive strength, ultrasonic pulse velocity, and surface electrical resistivity of cement-based materials with different oyster shell powder contents at different ages were predicted. In this way, multiple mix ratios, multi-ages, and multi-experimental verification were systematically used, which prove the correctness of the model proposed in this article.

4. Summary of Methodology

The hydration model is a theoretical model. Theoretical models are based on formulas that generally describe the kinetics of hydration reactions. These formulas also contain some undetermined parameters, and relevant experimental results are needed to determine the values of these undetermined parameters.
In this study, the proposed formula contains three parameters to be determined. Based on the experimentally measured cumulative heat of hydration, MATLAB 2024a software was used to regress and obtain the values of the undetermined parameters. The regression process is described as follows. First, based on the measurement results that do not contain oyster shell powder, the values of Q0, b0, and c in Equations (1) and (2) are obtained. Then, assuming that the values of Q0 and c remain unchanged, the value of b15 was obtained by using the test results of the hydration heat of the 15% OSP specimen, and the value of b30 was obtained by using the test results of the hydration heat of the 30% OSP specimen.
Once the values in these formulas are obtained, these formulas can be used to calculate the cumulative heat of hydration. During the hydration process of cement, as the heat of hydration is released, the compressive strength increases, and the surface electrical resistivity and ultrasonic pulse velocity also increase. The overall trend of growth of these changes is consistent, and they are all different expression formats of hydration reactions. Therefore, we can predict the development of properties from the heat of hydration.
Through the predicted values of compressive strength and surface electrical resistivity, the CO2 emissions corresponding to compressive strength and surface electrical resistivity units can be calculated, which are the indicators for sustainability assessment.
In summary, other researchers can use the methodology proposed by us to estimate various properties of cement-based materials with various filler materials, and the methodology proposed in this study has broad practicality.

5. Discussion

The ability of hydration models to predict the properties of concrete materials is not a mathematical accident, but a real response to cement chemistry. As the hydration reaction proceeds, it manifests thermally as the release of hydration heat, mechanically as an increase in compressive strength and ultrasonic pulse velocity, and in terms of durability as an increase in surface electrical resistivity. In other words, the degree of hydration reaction can be used as a measure of the fundamental material properties of cement-based materials.
The proposed model takes into account the dilution and nucleation effects of oyster shell powder. The dilution effect is accounted for by normalization based on the heat of hydration per gram of cement. The nucleation effect is considered using Equation (2). The mathematical result shows that, as the amount of oyster shell powder increases, the value of b in Equation (2) decreases and the hydration of the cement is accelerated.
The limitations of the proposed model and future research directions mainly include the following aspects.
First, the chemical effects of oyster shell powder were not considered. For Portland cement, which has a low aluminum content, the chemical reactivity of oyster shell powder is not significant. However, for LC3-type cement [15], due to its higher aluminum content, the chemical reactivity of oyster shell powder will increase. The chemical effect of oyster shell powder needs to be considered in future research to increase the practicality of the model.
Secondly, the content of the hydration reaction products was not carefully analyzed. As the hydration reaction proceeds, various hydration products of cement, such as calcium hydroxide (CH), calcium silicate hydrate (CSH), etc., are gradually generated [17]. The model proposed in this article does not quantitatively calculate the amount of these hydration products. It needs to be combined with thermodynamic models in the future to quantitatively calculate the amount of hydration products.
Finally, sustainability encompasses many aspects, such as CO2 emissions, energy consumption, and natural resource consumption [32]. This article only considers the emissions of CO2. If the CO2 emission data in Table 2 are changed to energy consumption data, the energy consumption of OSP concrete can be roughly estimated. In future research, more life cycle analysis projects need to be considered to expand the function of the model.

6. Conclusions

In the binary system of cement and oyster shell powder, oyster shell powder mainly has a diluting effect and nucleating effect on the cement. This paper uses a three-parameter hydration model to consider the effect of oyster shell powder on cement hydration and calculate the cement hydration degree. The thermal–mechanical–sustainable properties of concrete are predicted through the degree of hydration.
This paper presents a model that can predict the property development and sustainability of cement-based materials incorporating OSP. The main conclusions of this study are as follows.
First, using the experimental results of the first 7 days of isothermal hydration heat of 1 g cement and the three-parameters equation (TPE), the model result shows that, for all of the mixtures, the ultimate heat release of 1 g cement is 454.27 J and the shape coefficient of the TPE is −0.72, but the reaction rate parameter is different. For 0%OSP, 15%OSP, and 30%OSP, the reaction rate parameters are 12.89, 10.60, and 9.17, respectively. As the amount of OSP substitution increases, the reaction speed becomes faster, which is mainly due to the nucleation effect of OSP.
Secondly, based on the hydration model, the results of the heat of hydration were extrapolated and the heat of hydration for up to 28 days was calculated. The model results show that, for 0%OSP, 15%OSP, and 30%OSP, the 28-day cumulative hydration heat rates of 1 g binder are 405.7 J/g, 351.8 J/g, and 293.4 J/g, respectively. This is due to the dilution effect of OSP. Moreover, based on the cumulative heat of hydration of 1 g binder, the developments of compressive strength, ultrasonic pulse velocity, and surface electrical resistivity were predicted. The macro properties of hardening concrete can be expressed as an exponential function of the cumulative heat of hydration. For compressive strength, ultrasonic pulse velocity, and surface electrical resistivity, the coefficients of determination of the simulation and experimental results are 0.8396, 0.7195, and 0.9408, respectively.
Third, combined with the emission of carbon dioxide, the CO2 emission corresponding to compressive strength and surface electrical resistivity units at the age of 28 days were calculated. The model result shows that, for 0%OSP, 15%OSP, and 30%OSP, the CO2 emissions corresponding to unit strength are of 10.18 kg/MPa, 13.20 kg/MPa, and 16.51 kg/MPa, respectively, but the CO2 emission corresponding to surface electrical resistivity units does not change significantly.
In summary, the model proposed in this article can systematically evaluate the thermal–mechanical–durable–sustainable performance of the OSP–cement binary system and promote the development of OSP cement-based materials.

7. Final Remarks

The novelties of the model proposed in this article mainly include the following aspects.
First, the proposed model can be used to evaluate the hydration properties of cement and oyster shell powder. The models proposed by previous researchers are not suitable for binary mixtures of cement and oyster shell powder.
Secondly, this article not only evaluates the thermal and mechanical properties, but also evaluates the sustainable performance. Previous researchers did not consider the evaluation of sustainability.
Thirdly, the model proposed in this article is very simple and only includes three parameters. The models proposed by previous researchers are very complex and contain a large number of parameters.
The contributions of this article are mainly in the following aspects.
First, an environmentally friendly cement–oyster shell powder binary hybrid material is developed. The model can be used to predict the thermal–mechanical–sustainable performance of various oyster shell powder contents, reducing the amount of experiments and the cost of the experiments.
Secondly, the prediction program developed in this study can be combined with other engineering software packages to enhance and expand the functions of these engineering software packages in material design and sustainable assessment.
Finally, the procedure developed in this study has the potential to be generalized, and the main object of this study is cement–oyster shell powder binary hybrid materials. For other fillers similar to oyster shell powder, such as quartz power and limestone powder, their mechanisms of action are similar to that of oyster shell powder, with mainly a dilution effect and a nucleation effect. The model proposed in this study also has potential applications. The purpose of the performance prediction model proposed in this article is not to replace experiments, but to provide necessary assistance for the material experiments of oyster shell powder concrete.

Author Contributions

S.-J.K.: Investigation, data curation, writing—original draft. X.-Y.W.: Supervision, methodology, funding acquisition. All authors have read and agreed to the published version of the manuscript.

Funding

This work was supported by the National Research Foundation of Korea (NRF) grant funded by the Korea government (MSIT) (Grant No. RS-2023-00208720).

Data Availability Statement

Data will be made available upon request.

Conflicts of Interest

The authors declare that they have no known competing financial interests or personal relationships that could have appeared to influence the work reported in this paper.

Appendix A

Test Results of Hydration Heat

The test results of hydration heat of control paste, OSP15% paste, and OSP30% paste are shown as follows. Figure A1 and Figure A2 show the measurement results of the cumulative heat of hydration. The heat of hydration in Figure A1 is based on per gram units of cementitious material, and the heat of hydration in Figure A2 is based on per gram units of cement. The measurement results in Figure A1 show that adding OSP can reduce the release of hydration heat, and the measurement results in Figure A2 show that OSP can accelerate the hydration reaction of cement [23].
Figure A1. Cumulative hydration heat of 1 g binder.
Figure A1. Cumulative hydration heat of 1 g binder.
Buildings 14 01578 g0a1
Figure A2. Cumulative hydration heat of 1 g cement.
Figure A2. Cumulative hydration heat of 1 g cement.
Buildings 14 01578 g0a2

References

  1. Luo, K.; Zhang, M.; Jiang, Q.; Wang, S.; Zhuo, X. Evaluation of using oyster shell as a complete replacement for aggregate to make eco-friendly concrete. J. Build. Eng. 2024, 84, 108587. [Google Scholar] [CrossRef]
  2. Shao, S.; Zhu, H.; Guo, M.; Zhang, Y. Application of waste oyster shells in construction: Overview, constitutive modeling, and life cycle assessment. J. Build. Eng. 2024, 87, 108965. [Google Scholar] [CrossRef]
  3. Ruslan, H.N.; Muthusamy, K.; Mohsin, S.M.S.; Jose, R.; Omar, R. Oyster shell waste as a concrete ingredient: A review. Mater. Today Proc. 2022, 48, 713–719. [Google Scholar] [CrossRef]
  4. Liao, Y.; Li, W.; Da, B.; Meng, Y.; Chen, D. Research on properties of waste oyster shell mortar: The effect of calcination temperature of oyster shell powder. Case Stud. Constr. Mater. 2023, 19, e02639. [Google Scholar] [CrossRef]
  5. Ubachukwu, O.A.; Okafor, F.O. Towards green concrete: Response of oyster shell powder-cement concrete to splitting tensile load. Niger. J. Technol. 2020, 39, 363–368. [Google Scholar] [CrossRef]
  6. Soltanzadeh, F.; Emam-Jomeh, M.; Edalat-Behbahani, A.; Soltan-Zadeh, Z. Development and characterization of blended cements containing seashell powder. Constr. Build. Mater. 2018, 161, 292–304. [Google Scholar] [CrossRef]
  7. Naqi, A.; Siddique, S.; Kim, H.-K.; Jang, J.G. Examining the potential of calcined oyster shell waste as additive in high volume slag cement. Constr. Build. Mater. 2020, 230, 116973. [Google Scholar] [CrossRef]
  8. Liu, S.; Zhang, Y.; Liu, B.; Zou, Z.; Liu, Q.; Teng, Y.; Zhang, L.V. Sustainable use of waste oyster shell powders in a ternary supplementary cementitious material system for green concrete. Materials 2022, 15, 4886. [Google Scholar] [CrossRef] [PubMed]
  9. Seo, J.H.; Park, S.M.; Yang, B.J.; Jang, J.G. Calcined oyster shell powder as an expansive additive in cement mortar. Materials 2019, 12, 1322. [Google Scholar] [CrossRef]
  10. Song, Q.; Wang, Q.; Xu, S.; Mao, J.; Li, X.; Zhao, Y. Properties of water-repellent concrete mortar containing superhydrophobic oyster shell powder. Constr. Build. Mater. 2022, 337, 127423. [Google Scholar] [CrossRef]
  11. Bentz, D.P. Influence of water-to-cement ratio on hydration kinetics: Simple models based on spatial considerations. Cem. Concr. Res. 2006, 36, 238–244. [Google Scholar] [CrossRef]
  12. Bonavetti, V.; Donza, H.; Menéndez, G.; Cabrera, O.; Irassar, E.F. Limestone filler cement in low w/c concrete: A rational use of energy. Cem. Concr. Res. 2003, 33, 865–871. [Google Scholar] [CrossRef]
  13. Maekawa, K.; Ishida, T.; Kishi, T. Multi-Scale Modeling of Structural Concrete; CRC Press: London, UK, 2009; 672p. [Google Scholar]
  14. Bentz, D.P. Modeling the influence of limestone filler on cement hydration using CEMHYD3D. Cem. Concr. Compos. 2006, 28, 124–129. [Google Scholar] [CrossRef]
  15. Scrivener, K.; Martirena, F.; Bishnoi, S.; Maity, S. Calcined clay limestone cements (LC3). Cem. Concr. Res. 2018, 114, 49–56. [Google Scholar] [CrossRef]
  16. Park, K.-B.; Noguchi, T.; Plawsky, J. Modeling of hydration reactions using neural networks to predict the average properties of cement paste. Cem. Concr. Res. 2005, 35, 1676–1684. [Google Scholar] [CrossRef]
  17. Lothenbach, B.; Winnefeld, F. Thermodynamic modelling of the hydration of Portland cement. Cem. Concr. Res. 2006, 36, 209–226. [Google Scholar] [CrossRef]
  18. Lin, F.; Meyer, C. Hydration kinetics modeling of Portland cement considering the effects of curing temperature and applied pressure. Cem. Concr. Res. 2009, 39, 255–265. [Google Scholar] [CrossRef]
  19. Zhang, Z.; Liu, Y.; Huang, L.; Yan, P. A new hydration kinetics model of composite cementitious materials, Part 1: Hydration kinetic model of Portland cement. J. Am. Ceram. Soc. 2020, 103, 1477–2271. [Google Scholar] [CrossRef]
  20. Zelić, J.; Rušić, D.; Krstulović, R. A mathematical model for prediction of compressive strength in cement–silica fume blends. Cem. Concr. Res. 2004, 34, 2319–2328. [Google Scholar] [CrossRef]
  21. Baert, G.; Belie, N.D.; Schutter, G.D. A multicompound model for the hydration of Portland cement–fly ash binders. J. Mater. Civ. Eng. 2011, 23, 761–766. [Google Scholar] [CrossRef]
  22. Kolani, B.; Buffo-Lacarrière, L.; Sellier, A.; Escadeillas, G.; Boutillon, L.; Linger, L. Hydration of slag-blended cements. Cem. Concr. Compos. 2012, 34, 1009–1018. [Google Scholar] [CrossRef]
  23. Xuan, M.-Y.; Cho, H.-K.; Wang, X.-Y. Performance improvement of waste oyster-shell powder–cement binary system via carbonation curing. J. Build. Eng. 2023, 70, 106336. [Google Scholar] [CrossRef]
  24. ASTM C109/C109M-20; Standard Test Method for Compressive Strength of Hydraulic Cement Mortars (Using 2-in. or [50-mm] Cube Specimens). ASTM International: West Conshohocken, PA, USA, 2020.
  25. ASTM C597-22; Standard Test Method for Ultrasonic Pulse Velocity through Concrete. ASTM International: West Conshohocken, PA, USA, 2022.
  26. Chen, D.; Mahadevan, S. Chloride-induced reinforcement corrosion and concrete cracking simulation. Cem. Concr. Compos. 2008, 30, 227–238. [Google Scholar] [CrossRef]
  27. Miller, S.A.; John, V.M.; Pacca, S.A.; Horvath, A. Carbon dioxide reduction potential in the global cement industry by 2050. Cem. Concr. Res. 2018, 114, 115–124. [Google Scholar] [CrossRef]
  28. Jeon, J.H.; Son, Y.H.; Kim, D.G.; Kim, T.J. Estimation of life cycle CO2 emissions using oyster shells and bottom ash as materials for soil-mixing and a drainage layer. J. Clean. Prod. 2020, 270, 122477. [Google Scholar] [CrossRef]
  29. Yang, K.-H.; Jung, Y.-B.; Cho, M.-S.; Tae, S.-H. Effect of supplementary cementitious materials on reduction of CO2 emissions from concrete. J. Clean. Prod. 2015, 103, 774–783. [Google Scholar] [CrossRef]
  30. Sargam, Y.; Wang, K. Hydration kinetics and activation energy of cement pastes containing various nanoparticles. Compos. Part B Eng. 2021, 216, 108836. [Google Scholar] [CrossRef]
  31. Riding, K.A.; Poole, J.L.; Folliard, K.J.; Juenger, M.C.G.; Schindler, A.K. Modeling hydration of cementitious systems. ACI Mater. J. 2012, 109, 225–234. [Google Scholar]
  32. Gartner, E.; Hirao, H. A review of alternative approaches to the reduction of CO2 emissions associated with the manufacture of the binder phase in concrete. Cem. Concr. Res. 2015, 78, 126–142. [Google Scholar] [CrossRef]
Figure 1. Analysis of cumulative heat normalized by cement. (a) Cumulative heat normalized by cement–0%OSP. (b) Cumulative heat normalized by cement–15%OSP. (c) Cumulative heat normalized by cement–30%OSP.
Figure 1. Analysis of cumulative heat normalized by cement. (a) Cumulative heat normalized by cement–0%OSP. (b) Cumulative heat normalized by cement–15%OSP. (c) Cumulative heat normalized by cement–30%OSP.
Buildings 14 01578 g001
Figure 2. Calculation results of hydration heat from mixing to 28 days. (a) Cumulative hydration heat normalized by cement mass. (b) Hydration degree of cement. (c) Cumulative hydration heat normalized by binder mass.
Figure 2. Calculation results of hydration heat from mixing to 28 days. (a) Cumulative hydration heat normalized by cement mass. (b) Hydration degree of cement. (c) Cumulative hydration heat normalized by binder mass.
Buildings 14 01578 g002
Figure 3. Property predictions using cumulative hydration heat. (a) Relation between cumulative hydration heat and compressive strength. (b) Relation between cumulative hydration heat and UPV. (c) Relation between cumulative hydration heat and surface electrical resistivity.
Figure 3. Property predictions using cumulative hydration heat. (a) Relation between cumulative hydration heat and compressive strength. (b) Relation between cumulative hydration heat and UPV. (c) Relation between cumulative hydration heat and surface electrical resistivity.
Buildings 14 01578 g003
Figure 4. Analysis of sustainability of cement–OSP binary composite. (a) CO2 emissions of 1 m3 mortar. (b) CO2 emissions of unit compressive strength. (c) CO2 emissions of unit surface electrical resistivity.
Figure 4. Analysis of sustainability of cement–OSP binary composite. (a) CO2 emissions of 1 m3 mortar. (b) CO2 emissions of unit compressive strength. (c) CO2 emissions of unit surface electrical resistivity.
Buildings 14 01578 g004
Table 6. Parameters of the hydration model.
Table 6. Parameters of the hydration model.
Q0b0b15b30c
454.2712.8910.609.17−0.72
Disclaimer/Publisher’s Note: The statements, opinions and data contained in all publications are solely those of the individual author(s) and contributor(s) and not of MDPI and/or the editor(s). MDPI and/or the editor(s) disclaim responsibility for any injury to people or property resulting from any ideas, methods, instructions or products referred to in the content.

Share and Cite

MDPI and ACS Style

Kwon, S.-J.; Wang, X.-Y. A Hydration-Based Integrated Model to Evaluate Properties Development and Sustainability of Oyster Shell Powder–Cement Binary Composites. Buildings 2024, 14, 1578. https://doi.org/10.3390/buildings14061578

AMA Style

Kwon S-J, Wang X-Y. A Hydration-Based Integrated Model to Evaluate Properties Development and Sustainability of Oyster Shell Powder–Cement Binary Composites. Buildings. 2024; 14(6):1578. https://doi.org/10.3390/buildings14061578

Chicago/Turabian Style

Kwon, Seung-Jun, and Xiao-Yong Wang. 2024. "A Hydration-Based Integrated Model to Evaluate Properties Development and Sustainability of Oyster Shell Powder–Cement Binary Composites" Buildings 14, no. 6: 1578. https://doi.org/10.3390/buildings14061578

APA Style

Kwon, S.-J., & Wang, X.-Y. (2024). A Hydration-Based Integrated Model to Evaluate Properties Development and Sustainability of Oyster Shell Powder–Cement Binary Composites. Buildings, 14(6), 1578. https://doi.org/10.3390/buildings14061578

Note that from the first issue of 2016, this journal uses article numbers instead of page numbers. See further details here.

Article Metrics

Back to TopTop