Study on Bonding Behavior between High Toughness Resin Concrete with Steel Wire Mesh and Concrete
Abstract
1. Introduction
2. Experimental Investigation
2.1. Details of the Specimens
2.2. Fabrication of the Specimens
- (1)
- Casting concrete: Standard molds were used to cast the concrete.
- (2)
- Preparing wire mesh: Trim the wire mesh to the required dimensions and paste the strain gauges according to Section 2.4.
- (3)
- Preparing molds: Wooden formwork was made, placing the test and fixed sections of concrete.
- (4)
- Casting resin concrete: Pouring resin concrete in wooden formwork.
- (5)
- Removing molds: After 24 h, remove the wooden formwork and remove the foam boards from the loading section.
- (6)
- Specimen curing: The fabricated double shear specimens were cured under standard conditions for 5 days.
2.3. Materials Properties
2.4. Testing Procedure
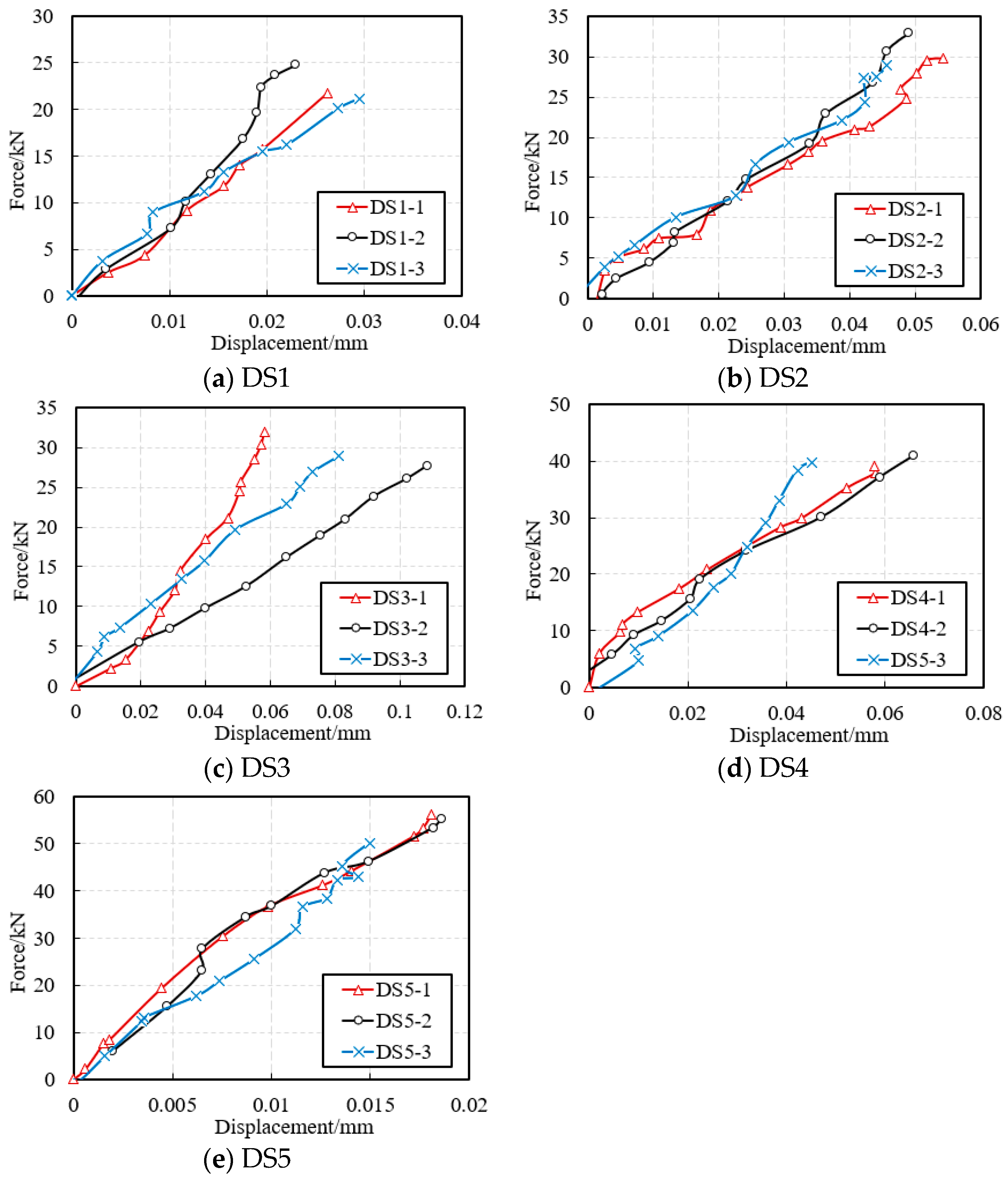
3. Test Results
3.1. Crack Patterns and Failure Modes
3.2. Maximum Load and Displacement
3.3. Strain-Distance Analysis
4. Bond-Slip Model and Bearing Capacity Formula
4.1. Bond-Slip Model
4.2. Bearing Capacity Formula
5. Conclusions
- (1)
- The failure mode of DS1 specimens was partial debonding and fracture, and the rest of the specimens were the fracture of HTRCS. The bond between the wire mesh and the resin concrete was good, and there was no obvious slip.
- (2)
- The concrete strength and reinforcement ratios of HTRCS composites were positively correlated with interfacial adhesion properties. When the concrete strength was increased from C30 to C40 and C50, the ultimate load increased by 43.4% and 43.2%, respectively. The ultimate load capacity increased by 32.1% with the reinforcement ratio of HTRCS composites increasing from 1.05% to 1.83%.
- (3)
- The stress transfer effect is positively correlated with the concrete strength and reinforcement ratio of HTRCS; the higher the concrete strength and reinforcement ratio of HTRCS, the further the stress transfer distance.
- (4)
- A bond-slip model for the interface between HTRCS and concrete is proposed and corrected according to the test parameters. The calculation formula for the interface bearing capacity is also proposed, and the test values are in good agreement with the calculated values, with an average value of 0.978.
Author Contributions
Funding
Data Availability Statement
Conflicts of Interest
References
- Guo, R.; Ren, Y.; Li, M.; Hu, P.; Du, M.; Zhang, R. Experimental study on flexural shear strengthening effect on low-strength RC beams by using FRP grid and ECC. Eng. Struct. 2021, 227, 111434. [Google Scholar] [CrossRef]
- Yang, X.; Gao, W.-Y.; Dai, J.-G.; Lu, Z.-D.; Yu, K.-Q. Flexural strengthening of RC beams with CFRP grid-reinforced ECC matrix. Compos. Struct. 2018, 189, 9–26. [Google Scholar] [CrossRef]
- Yu, R.; Xia, M.; Yi, P.; Guo, S.; Guo, R. Study on the uniaxial tensile behavior of an FRP grid-ECC composite layer. Case Stud. Constr. Mater. 2024, 20, e02909. [Google Scholar]
- Zhou, Y.W.; Guo, M.H.; Sui, L.L.; Xiong, F.; Hu, B.; Huang, Z.; Yun, Y. Shear strength components of adjustable hybrid bonded CFRP shear-strengthened RC beams. Compos. Part B Eng. 2018, 163, 36–51. [Google Scholar] [CrossRef]
- Rakgate, S.M.; Dundu, M. Strength and ductility of simple supported R/C beams retrofitted with steel plates of different width-to-thickness ratios. Eng. Struct. 2018, 40, 192–202. [Google Scholar] [CrossRef]
- Torabian, A.; Isufi, B.; Mostofinejad, D.; Ramos, A.P. Behavior of thin lightly reinforced flat slabs under concentric loading. Eng. Struct. 2019, 196, 109327. [Google Scholar] [CrossRef]
- Huixiang, M.; Zhigang, L.; Zhang, Y.; Haoran, X. Research on the Bearing Capacity of the Cross Section of Reinforced Concrete Beams Strengthened with Increasing Section Method Considering the Effect of the Second Loading. Adv. Res. 2015, 5, 1–9. [Google Scholar] [CrossRef]
- Shakir, Q.M.; Abdlsaheb, S.D. Rehabilitation of partially damaged high strength RC corbels by EB FRP composites and NSM steel bars. Structures 2022, 38, 652–671. [Google Scholar] [CrossRef]
- Shakir, Q.M.; Abdlsaheb, S.D. Strengthening of the self-compacted reinforced concrete corbels using NSM steel bars and CFRP sheets techniques. J. Eng. Sci. Technol. 2022, 17, 1764–1780. [Google Scholar]
- Singh, S.; Vummadisetti, S.; Chawla, H. Influence of curing on the mechanical performance of FRP laminates. J. Build. Eng. 2018, 16, 1–19. [Google Scholar] [CrossRef]
- Li, Y.Y.; Guo, B.; Liu, J. Research on reinforced concrete beam enlarged cross section method experiment and finite element simulation. Appl. Mech. Mater 2014, 638, 208–213. [Google Scholar] [CrossRef]
- De Lorenzis, L.; Teng, J.G. Near-surface mounted FRP reinforcement: An emerging technique for strengthening structures. Compos. Part B Eng. 2007, 38, 119–143. [Google Scholar] [CrossRef]
- Zhang, S.S.; Yu, T.; Chen, G.M. Reinforced concrete beams strengthened in flexure with near-surface mounted (NSM) CFRP strips: Current status and research needs. Compos. Part B Eng. 2017, 131, 30–42. [Google Scholar] [CrossRef]
- Liu, Z.-Q.; Guo, Z.-X.; Ye, Y. Flexural behaviour of RC beams strengthened with prestressed steel wire ropes polymer mortar composite. J. Asian Arch. Build. Eng. 2021, 21, 48–65. [Google Scholar] [CrossRef]
- Emara, M.; Rizk, M.; Mohamed, H.; Zaghlal, M. Enhancement of circular RC columns using steel mesh as internal or external confinement under the influence of axial compression loading. Frat. Integrità Strutt. 2021, 15, 86–104. [Google Scholar] [CrossRef]
- Marthong, C. Compressive behavior of galvanized steel wire mesh (GSWM) strengthened RC short column of varying shapes. Struct. Monit. Maint. 2020, 7, 215–231. [Google Scholar]
- Zhang, K.; Xuan, J.; Shen, X.; Xue, X. Investigating the Flexural Properties of Reinforced Concrete T-Beams Strengthened with High-Strength Steel Wire Mesh and Polyurethane Cement. J. Bridge Eng. 2024, 29, 86–104. [Google Scholar] [CrossRef]
- Zhao, H. Axial compressive behaviour of concrete strengthened with steel rings, wire mesh and modified high strength mortar (MHSM). Constr. Build. Mater. 2020, 250, 118938. [Google Scholar] [CrossRef]
- Yuan, F.; Chen, M.; Pan, J. Flexural strengthening of reinforced concrete beams with high-strength steel wire and engineered cementitious composites. Constr. Build. Mater. 2020, 254, 119284. [Google Scholar] [CrossRef]
- Wang, X.; Yang, G.; Qian, W.; Li, K.; Zhu, J. Tensile behavior of high-strength stainless steel wire rope (HSSSWR)-reinforced ECC. Int. J. Concr. Struct. Mater. 2021, 15, 43. [Google Scholar] [CrossRef]
- Zheng, Y.-Z.; Wang, W.-W.; Brigham, J.C. Flexural behaviour of reinforced concrete beams strengthened with a composite reinforcement layer: BFRP grid and ECC. Constr. Build. Mater. 2016, 115, 424–437. [Google Scholar] [CrossRef]
- Zheng, Y.-Z.; Wang, W.-W.; Mosalam, K.M.; Fang, Q.; Chen, L.; Zhu, Z.-F. Experimental investigation and numerical analysis of RC beams shear strengthened with FRP/ECC composite layer. Compos. Struct. 2020, 246, 112436. [Google Scholar] [CrossRef]
- Yan, M. Concrete with Steel High Toughness Resin Wire Mesh and the Reinforcement Theoretical Research on Prestressed Concrete Simply Supported Plate Beam Bridge; Southwest Jiaotong University: Chengdu, China, 2015. [Google Scholar]
- Ren, Y.; Gao, Z.; Xia, M.; Guo, R. Study on bonding behavior of FRP grid-ECC composite layer and concrete with quantitative interface treatment. Eng. Struct. 2023, 294, 116768. [Google Scholar] [CrossRef]
- GB 50010-2010; Code for Design of Concrete Structures. China Architecture & Building Press: Beijing, China, 2010.
- Dai, J.G.; Ueda, T.; Sato, Y. Development of the nonlinear bond stress-slip model of fiber reinforced plastics sheet-concrete interfaces with a simple method. J. Compos. Constr. 2005, 9, 52–62. [Google Scholar] [CrossRef]
- Ferracuti, B.; Savoia, M.; Mazzotti, C. Interface law for FRP—Concrete delamination. Compos. Struct. 2007, 80, 523–531. [Google Scholar] [CrossRef]
- Lu, X.Z.; Teng, J.G.; Ye, L.P.; Jiang, J.J. Bond–slip models for FRP sheets/plates bonded to concrete. Eng. Struct. 2005, 27, 920–937. [Google Scholar] [CrossRef]
- Lu, X.Z. Studies on FRP-Concrete Interface; Tsinghua University: Beijing, China, 2005. [Google Scholar]
- Neubauer, U.; Rostasy, F.S. Design aspects of concrete structures strengthened with externally bonded CFRP plates. In Proceedings of the 7th International Conference on Structural Faults and Repair, Edinburgh, UK, 8 July 1997; ECS Publications: Edinburgh, UK, 1997; Volume 2, pp. 109–118. [Google Scholar]












| Specimen | Concrete | Resin Concrete | Steel Wire Mesh | ||||
|---|---|---|---|---|---|---|---|
| Thickness (mm) | Width (mm) | Diameter of Single Bar (mm) | Interval (mm) | As (mm2) | |||
| DS1 | C30 | 20 | 120 | 2 | 13 × 25 | 28.3 | 1.18 |
| DS2 | C40 | 20 | 2 | 13 × 25 | 28.3 | 1.18 | |
| DS3 | C50 | 20 | 2 | 13 × 25 | 28.3 | 1.18 | |
| DS4 | C50 | 40 | 4 | 30 × 25 | 50.2 | 1.05 | |
| DS5 | C50 | 40 | 4 | 15 × 25 | 87.9 | 1.83 | |
| Materials | Tensile Strength (MPa) | Elastic Modulus (MPa) | Compressive Strength (MPa) |
|---|---|---|---|
| Resin concrete | 7.8 | 1.25 × 104 | 102.3 |
| Specimen | Pmax (kN) | (kN) | s/mm | (mm) | Failure Modes |
|---|---|---|---|---|---|
| DS1-1 | 21.18 | 22.37 | 0.026 | 0.026 | Partial debonding and fracture |
| DS1-2 | 24.75 | 0.023 | Partial debonding and fracture | ||
| DS1-3 | 21.16 | 0.029 | Partial debonding and fracture | ||
| DS2-1 | 32.92 | 32.07 | 0.054 | 0.049 | Fracture of HTRCS |
| DS2-2 | 32.31 | 0.048 | Fracture of HTRCS | ||
| DS2-3 | 30.98 | 0.046 | Fracture of HTRCS | ||
| DS3-1 | 32.05 | 32.02 | 0.061 | 0.083 | Fracture of HTRCS |
| DS3-2 | 33.86 | 0.108 | Fracture of HTRCS | ||
| DS3-3 | 30.16 | 0.081 | Fracture of HTRCS | ||
| DS4-1 | 40.05 | 40.69 | 0.058 | 0.056 | Fracture of HTRCS |
| DS4-2 | 42.14 | 0.066 | Fracture of HTRCS | ||
| DS4-3 | 39.88 | 0.045 | Fracture of HTRCS | ||
| DS5-1 | 56.89 | 53.75 | 0.018 | 0.017 | Fracture of HTRCS |
| DS5-2 | 54.73 | 0.019 | Fracture of HTRCS | ||
| DS5-3 | 49.64 | 0.015 | Fracture of HTRCS |
| Specimens | ft/MPa | EH/MPa | ||
|---|---|---|---|---|
| DS1-1 | 5.42 | 0.0125 | 2.35 | 2.0 × 104 |
| DS1-2 | 5.35 | 0.0110 | 2.35 | 2.0 × 104 |
| DS1-3 | 4.72 | 0.0120 | 2.35 | 2.0 × 104 |
| DS2-1 | 5.10 | 0.0201 | 2.77 | 2.0 × 104 |
| DS2-2 | 5.91 | 0.0134 | 2.77 | 2.0 × 104 |
| DS2-3 | 5.8 | 0.0200 | 2.77 | 2.0 × 104 |
| DS3-1 | 6.65 | 0.0172 | 2.98 | 2.0 × 104 |
| DS3-2 | 6.22 | 0.0175 | 2.98 | 2.0 × 104 |
| DS3-3 | 6.21 | 0.0190 | 2.98 | 2.0 × 104 |
| DS4-1 | 8.50 | 0.0260 | 2.98 | 2.4 × 104 |
| DS4-2 | 9.33 | 0.0197 | 2.98 | 2.4 × 104 |
| DS4-3 | 7.64 | 0.0250 | 2.98 | 2.4 × 104 |
| DS5-1 | 5.98 | 0.0195 | 2.98 | 1.9 × 104 |
| DS5-2 | 6.09 | 0.0287 | 2.98 | 1.9 × 104 |
| DS5-3 | 6.10 | 0.0190 | 2.98 | 1.9 × 104 |
| Specimens | Pu,exp/kN | Pu,cal/kN | Pu,exp/Pu,cal |
|---|---|---|---|
| DS1-1 | 21.18 | 28.03 | 0.76 |
| DS1-2 | 24.75 | 28.03 | 0.88 |
| DS1-3 | 21.16 | 28.03 | 0.75 |
| DS2-1 | 32.92 | 30.42 | 1.08 |
| DS2-2 | 32.31 | 30.42 | 1.06 |
| DS2-3 | 30.98 | 30.42 | 1.02 |
| DS3-1 | 32.05 | 31.59 | 1.01 |
| DS3-2 | 33.86 | 31.59 | 1.07 |
| DS3-3 | 30.16 | 31.59 | 0.95 |
| DS4-1 | 56.89 | 49.12 | 1.16 |
| DS4-2 | 54.73 | 49.12 | 1.11 |
| DS4-3 | 49.64 | 49.12 | 1.01 |
| DS5-1 | 40.05 | 43.72 | 0.92 |
| DS5-2 | 42.14 | 43.72 | 0.96 |
| DS5-3 | 39.88 | 43.72 | 0.91 |
| Average | 0.978 | ||
| SD | 0.115 | ||
| COV | 0.118 | ||
Disclaimer/Publisher’s Note: The statements, opinions and data contained in all publications are solely those of the individual author(s) and contributor(s) and not of MDPI and/or the editor(s). MDPI and/or the editor(s) disclaim responsibility for any injury to people or property resulting from any ideas, methods, instructions or products referred to in the content. |
© 2024 by the authors. Licensee MDPI, Basel, Switzerland. This article is an open access article distributed under the terms and conditions of the Creative Commons Attribution (CC BY) license (https://creativecommons.org/licenses/by/4.0/).
Share and Cite
Yu, Q.; Ren, Y.; Liu, A.; Yang, Y. Study on Bonding Behavior between High Toughness Resin Concrete with Steel Wire Mesh and Concrete. Buildings 2024, 14, 1341. https://doi.org/10.3390/buildings14051341
Yu Q, Ren Y, Liu A, Yang Y. Study on Bonding Behavior between High Toughness Resin Concrete with Steel Wire Mesh and Concrete. Buildings. 2024; 14(5):1341. https://doi.org/10.3390/buildings14051341
Chicago/Turabian StyleYu, Qu, Yu Ren, Anhang Liu, and Yongqing Yang. 2024. "Study on Bonding Behavior between High Toughness Resin Concrete with Steel Wire Mesh and Concrete" Buildings 14, no. 5: 1341. https://doi.org/10.3390/buildings14051341
APA StyleYu, Q., Ren, Y., Liu, A., & Yang, Y. (2024). Study on Bonding Behavior between High Toughness Resin Concrete with Steel Wire Mesh and Concrete. Buildings, 14(5), 1341. https://doi.org/10.3390/buildings14051341

